Next Article in Journal
Solar Heat for Industrial Processes (SHIP): An Overview of Its Categories and a Review of Its Recent Progress
Previous Article in Journal
A Comprehensive Decade-Long Review of Advanced MPPT Algorithms for Enhanced Photovoltaic Efficiency
Previous Article in Special Issue
Limits of Harmonic Stability Analysis for Commercially Available Single-Phase Inverters for Photovoltaic Applications
 
 
Font Type:
Arial Georgia Verdana
Font Size:
Aa Aa Aa
Line Spacing:
Column Width:
Background:
Article

Computational Intelligence-Based Modeling of UAV-Integrated PV Systems

by
Mohammad Hosein Saeedinia
,
Shamsodin Taheri
* and
Ana-Maria Cretu
Department of Computer Science and Engineering, Université du Québec en Outaouais Gatineau, Gatineau, QC J8X 3X7, Canada
*
Author to whom correspondence should be addressed.
Solar 2025, 5(4), 45; https://doi.org/10.3390/solar5040045
Submission received: 10 July 2025 / Revised: 20 August 2025 / Accepted: 25 September 2025 / Published: 3 October 2025
(This article belongs to the Special Issue Efficient and Reliable Solar Photovoltaic Systems: 2nd Edition)

Abstract

The optimal utilization of UAV-integrated photovoltaic (PV) systems demands accurate modeling that accounts for dynamic flight conditions. This paper introduces a novel computational intelligence-based framework that models the behavior of a moving PV system mounted on a UAV. A unique mathematical approach is developed to translate UAV flight dynamics, specifically roll, pitch, and yaw, into the tilt and azimuth angles of the PV module. To adaptively estimate the diode ideality factor under varying conditions, the Grey Wolf Optimization (GWO) algorithm is employed, outperforming traditional methods like Particle Swarm Optimization (PSO). Using a one-year environmental dataset, multiple machine learning (ML) models are trained to predict maximum power point (MPP) parameters for a commercial PV panel. The best-performing model, Rational Quadratic Gaussian Process Regression (RQGPR), demonstrates high accuracy and low computational cost. Furthermore, the proposed ML-based model is experimentally integrated into an incremental conductance (IC) MPPT technique, forming a hybrid MPPT controller. Hardware and experimental validations confirm the model’s effectiveness in real-time MPP prediction and tracking, highlighting its potential for enhancing UAV endurance and energy efficiency.

1. Introduction

Integration of photovoltaic (PV) technology into vehicle technologies is an effective solution to meet energy demands and extend operational range. Some studies focus on PV-powered charging stations for electric vehicles, highlighting their environmental benefits and energy efficiency. For instance, some studies [1,2] examine the benefits of such systems and their impact on reducing environmental emissions. Additionally, researchers in [3] propose an approach to optimize the location of solar-powered charging stations. While some studies consider PV systems as part of the power infrastructure for vehicles, others take a different approach by directly integrating this technology into the vehicles themselves. This integration can extend the vehicles’ operational range [4,5], reduce their greenhouse gas emissions [6], and allow vehicles to utilize their full power at all speeds with minimal maintenance costs [7,8]. Among the various vehicular systems that leverage PV technology, unmanned aerial vehicles (UAVs) stand out due to their diverse applications, including power facility maintenance, traffic monitoring, geographic studies, surveillance, and more [9,10,11]. Given the limited onboard battery capacity, integrating PV modules into UAVs offers a practical solution to extend flight endurance and reduce reliance on ground-based charging. This has led to growing interest in the design and control of UAV-integrated PV systems [12]. Unlike ground-based or vehicle-mounted PV systems, UAV-mounted PV modules experience continuous changes in orientation due to flight dynamics [13]. These movements affect the incident solar angle, temperature, and irradiance, which in turn influence the system’s output characteristics, especially the maximum power point (MPP), which represents the specific point on the current-voltage (I-V) curve where the product of voltage and current yields the highest power output under given conditions [14]. Maintaining operation at the MPP is essential for optimal energy harvesting. It is typically achieved through maximum power point tracking (MPPT) algorithms [14,15], which adjust system parameters in real-time to follow the optimal power point. To achieve optimal performance in solar-powered vehicles, researchers have performed related studies that provide valuable insights into the integration problem of a PV module with UAVs, which shows the most complex form of movement among various vehicles. In [16], the variation of the duty cycle is discussed to examine the impact of vehicle movement on the MPP of an integrated PV system, focusing primarily on the movement of a ship while neglecting other parameters beyond its movement.
Similarly, the authors of [17] investigate the effects of vehicle movement on the performance of an integrated PV module through extensive field measurements. This study demonstrates how the movement of surface vehicles can significantly reduce the efficiency of conventional MPPT methods, such as perturb and observe (P&O), dropping efficiency from 95% to 55%. To study the effect of movement of the UAV, specifically on the MPPT of its integrated PV system, researchers explored various MPPT techniques. These include conventional methods like P&O and incremental conductance (IC), as well as more advanced approaches such as fuzzy logic-based control [15]. As with any PV system, from fixed installations to those integrated into moving vehicles, MPPT control modules play an important role in UAV power management by continuously adjusting the operating point of the PV system during flight in addition to conventional methods, some studies propose simplified approaches, such as determining the MPP by regulating the output voltage of a buck-boost converter through a trial-and-error process [18]. These approaches minimize the need for input sensors, reducing both system weight and cost. Proposed solutions in the aforementioned research are using improved versions of the conventional MPPT techniques [13,14,15,16,17,19,20,21]. Nevertheless, it is important to note that the response time of these methods has to be considered to reach MPP under fast-changing conditions.
Optimal utilization of a UAV-integrated PV system requires a comprehensive examination that goes beyond the scope of existing literature. The design and implementation must address technical demands while accounting for variables such as solar irradiation, ambient temperature, and the placement of the PV module on the UAV. Although many modeling studies focus on stationary PV systems, they fail to capture the random movements and variable orientations encountered in UAV applications, which involve six degrees of freedom. To design UAV-integrated PV systems capable of maintaining MPP under dynamic conditions, it is crucial to develop accurate models that can predict the system’s output characteristics in real time.
To achieve this, the existing modeling methods of PV modules must first be analyzed. Recently proposed PV panel modeling techniques, capable of capturing the behavior of PV modules based on their unknown parameters, can be broadly classified into analytical models [22] and optimization-based models [23]. Analytical modeling derives PV system parameters using the physical principles of PV cells and their governing equations, while optimization-based methods extract these parameters using objective functions and prior experimental measurements. Although these models address various scenarios, they generally assume fixed PV panels, rendering them inadequate for applications where random movements and varying operational conditions influence power output.
Given that the specifications of a PV model change with UAV’s movement and operational conditions, the current literature does not adequately address this challenge. In this context, which involves significant complexity, moving beyond conventional methods is necessary. Computational intelligence-based approaches, including metaheuristic optimization algorithms and machine learning (ML) techniques, are expected to offer effective solutions. A number of studies have applied such methods to MPPT challenges, utilizing techniques like GA-optimized artificial neural network (ANN) MPPT [24], fuzzy logic and ANN MPPT [25], particle swarm optimization (PSO)-based MPPT [26], and reinforcement learning algorithm-based MPPT [27]. Additionally, some research has employed ML approaches to model fixed PV systems under varying environmental conditions, demonstrating their capability to manage system complexities efficiently [28,29].
To overcome the gap of the current body of research, this paper proposes, to the best of our knowledge, for the first time in the literature, a ML-based model to cope with the UAV-integrated PV module dynamic and continuous movement, and the high burden of calculations. To achieve the stated goal, the study defines the following objectives:
  • Develop a machine learning framework capable of accurately forecasting the maximum power point under diverse UAV flight conditions and movement patterns.
  • Design a hybrid MPPT controller that integrates predictive modeling with real-time optimization for enhanced tracking performance.
  • Validate the proposed system through comprehensive simulation and hardware experiments to demonstrate its effectiveness in real-world scenarios.
To this aim, first, a one-year environmental historical dataset gathered for the Canadian capital region [30] is processed through the PV module empirical driven equations (EDE) in combination with the grey wolf optimization algorithm (GWO) to obtain a target MPP dataset related to a flying UAV. GWO is used for adaptively finding the PV module diode ideality factor for different conditions of its placement, and its superiority is assessed compared to PSO. The aforementioned dataset is used to train ML models to predict the MPP parameters of a commercial ET-M53695 PV panel. Then, the performance of the developed ML models is evaluated based on test error metrics. Moreover, a hybrid ML-based MPPT technique is employed based on the trained model. Finally, experimental measurements and hardware experimental tests implemented by dSPACE MicrolabBox are presented to validate the performance of the trained model. The proposed approach can be used in the MPP control and design of PV panels integrated into UAVs. The main contributions of the paper are as follows.
  • A novel approach is employed to translate the complex movements of the UAV-integrated PV module into fundamental operational angles of the PV module.
  • A new solution based on GWO is proposed to compute the PV module diode ideality factor for different placement conditions of the PV module.
  • A series of ML algorithms, which predict the MPP parameters of the UAV-integrated PV panel based on the environmental and placement conditions of the UAV, are validated to provide a prediction of the PV panel output in every instance of UAV flight.
  • A hybrid MPPT technique using the integration of the proposed ML-based model with an IC MPPT is implemented experimentally.
This paper is organized as follows:
Section 2 presents the methodology, including the mathematical modeling of UAV movement and its impact on PV module orientation, as well as the adaptive calculation of the diode ideality factor using GWO. Section 3 details the development of the machine learning-based MPP prediction model, including dataset preparation, model training, and computational cost analysis. Section 4 discusses the results, including model performance, experimental validation, and hardware implementation of the hybrid MPPT controller. And finally, Section 5 concludes the paper by summarizing the key contributions and outlining potential future work.

2. Methodology

The dynamic nature of a UAV’s flight, characterized by continuous change in altitude, orientation, speed, and temperature, introduces significant variability in the PV system’s parameters for each movement and meteorological condition. These fluctuations lead to a considerable challenge in maintaining the PV panel at its MPP. To address this limitation, the proposed method integrates analytical analysis, metaheuristic optimization, and ML approaches. As illustrated in Figure 1, the process begins with the collection of a one-year historical meteorological dataset [16], which includes irradiance, temperature, and time-based parameters. This is combined with a synthetically generated dataset representing UAV flight properties, such as altitude, speed, and orientation angles (roll, pitch, yaw), within realistic operational ranges. These combined datasets are then processed using a new proposed approach to translate the movement of UAV to the basic placement parameters of the PV module [31], and using EDE in conjunction with the metaheuristic optimization methods, including GWO and PSO, to generate the final dataset suitable for training ML models. Finally, 23 ML-based models are trained to predict the MPP properties of the UAV-integrated PV module, enabling efficient control of the PV panel’s performance under varying UAV movements and meteorological conditions. This number of models is trained to ensure that the best available ML model is selected for the available dataset. The schematic representation of this approach is illustrated in Figure 1.
The final output of the proposed method is a predictive model capable of estimating the initial operating point of the PV module, either precisely at or near the MPP, based on nine input features: solar irradiance, ambient temperature, date, time, UAV speed, altitude, roll, pitch, and yaw. This prediction significantly reduces the computational burden on the UAV’s controller and enhances real-time MPPT responsiveness.

2.1. PV Module Angles in Terms of UAV Rotation

To identify the precise relationship between UAV movements and PV module tilt and azimuth angles when rotations occur simultaneously around all UAV axes, an in-depth mathematical analysis of their interdependence is required. To analyze the rotational movements of the UAV, the relation between the world frame and the UAV body frame must be explored. These two frames for a random condition of the UAV flight are shown in Figure 2 as well.
The UAV’s roll, pitch, and yaw movements alter the body frame’s orientation relative to the fixed frame. Rotational matrices, here the Tait–Bryan rotation matrix, establish the trigonometric relationships needed to compute the new body frame [32]:
R TB = Cos ψ Cos θ Sin ϕ Sin ψ Sin θ Cos ϕ Sin ψ Cos ψ Sin θ + Sin ϕ Sin ψ Cos θ Sin ψ Cos θ + Sin ϕ Cos ψ Sin θ Cos ϕ Cos ψ Sin ψ Sin θ Sin ϕ Cos ψ Cos θ Cos ϕ Sin θ Sin ϕ Cos ϕ Cos θ
where θ, ϕ, and ψ are roll, pitch, and yaw angles of the UAV’s body, respectively. In order to achieve a rotated frame, the following relation between the world and body frame is established.
x b y b z b =   R TB x y z
where xb, yb, and zb represent the coordinates in the body frame, while x, y, and z denote the coordinates in the fixed frame.
In aerospace dynamics, rotation matrices are commonly used to transform vectors between coordinate frames. For this study, the body frame refers to the UAV’s local coordinate system, while the world frame (or fixed frame) represents the Earth’s reference system. The orientation of the PV module is affected by the UAV’s roll, pitch, and yaw, which are captured through rotation matrices that transform the body frame vectors into the world frame. The Z-axis of the body frame, along with its corresponding unit vector (ZBu) maintains orthogonality with respect to the UAV-integrated PV module, as illustrated in Figure 3. Since the tilt angle of the PV panel represents the number of degrees from the horizontal plane, this angle can be determined by measuring the degrees between ZBu and the horizontal plane. In order to find the mentioned angle, first, the angle between ZBu and Zu has to be investigated. Since the location of the UAV does not affect this angle, it can be determined by considering the two frames as concentric. Figure 3a,b depict the X-Y plane within the body and world frames and the associated angles from two different perspectives. In these figures, α is the angle formed between ZBu and Zu, μ is the angle that ZBu forms with the world frame X-Y plane, and ZBu′ is the projection of ZBu on the world frame X-Y plane. To calculate the angle between ZBu and Zu, the dot product formula and trigonometric functions can be used. Based on the earlier discussion about rotation matrices and their application, ZBu can be derived in the fixed frame coordination by applying the rotation equations to Zu. With Zu and ZBu available, the α can be derived as follows:
α = cos 1 ( z b z u | z b | | z u | )
Figure 3 illustrates that α and μ form two complementary angles, while ζ and μ also constitute two complementary angles. It is evident that ζ and α represent the same angles, and ζ is obtained through the calculation of α. ζ represents the angle at which the body frame X-Y plane is formed with the world frame X-Y plane and is indicative of the PV panel’s tilt angle. Furthermore, the azimuth angle of the PV panel can be determined by the angle formed between ZBu′ and the world frame’s Y axis, which is shown by η. It can be calculated as follows:
η = tan 1 ( y z b / x z b ) , η = η + 18 0 ° X Z BU > 0 η = η X Z BU < 0
where y z b and x z b are the X and Y coordinates of the ZBu in the world frame X-Y plane. The angles presented in this section enable the inclusion of UAV movement around its various axes in the PV module equations that are used in the upcoming sections.

2.2. PV Module Mathematical Governing Equations

Following the interpretation of UAV movement in terms of PV module angles in the preceding section, it is now possible to incorporate UAV movements into the analysis of its integrated PV module output power. In line with the power analysis, it becomes crucial to adaptively determine the diode ideality factor of the PV module in relation to each UAV movement. All of these concepts are elaborated upon in this section.

Maximum Power Point Calculations

In most instances, existing literature primarily employs the analysis of PV modules based on the PV module equivalent circuit models, notably the single diode model [22]. However, the EDE analysis utilized in this paper is proposed by [33], which has been derived and validated empirically.
To find the MPP voltage and current of the PV module, the following equations are proposed [33].
I m = ( C 0 G eff + C 1 G eff 2 ) ( I m , STC + k Im ( T c T STC ) )
V m = V m , STC + C 2 a V t ln ( G eff ) + C 3 ( a V t ln ( G eff ) ) 2 N s + K Vm ( T c T STC )
P mpp = V mpp I mpp
where the numerical parameters, including Kvm, KIm, and C0–C3, can be extracted from the manufacturers’ datasheets or the modules’ available databases. In addition, V t = N s k T c / q is the thermal voltage of PV module, as Tc is the P-N junction temperature in Kelvin, q = 1.60217646 × 10−23 C is the charge of the electron, K is the Boltzmann constant which is equal to 1.3806503 × 10−23 J/K, and Ns is the number of solar cells connected in series. STC subscription denoted the standard test condition (STC), representing cell temperature of 25 °C, irradiance of 1000 W/m2, and air mass (AM) of 1.5. Moreover, Geff is the effective irradiance ratio and is calculated based on the following equation:
G eff = f ( AM ) f ( AOI ) G K sf / G stc
where Ksf accounts for factors related to module aging, G is the effective irradiance incident on the PV module surface, Gstc is the irradiance at the STC condition, and f(AM) and f(AOI) determine the impact of changes in the solar spectral distribution and optical losses. In (8), three computable parameters must be determined in order to calculate the value of Geff.
The available solar radiation (G) that a PV module can harvest is known as the plane of array (POA) irradiance. It is a combination of the direct radiation that travels straight through the air to the PV module surface (Gdir), of the scattered sunlight caused by molecules and tiny particles in the air, which is known as diffused radiation (Gdif), and of the light that bounces off the ground or nearby surfaces and then reaches the PV surface, which is known as reflected radiation (Gref). Since the current study is performed for an UAV application, the latter component can be neglected. Therefore, the amount of available irradiance is computed as:
G eff = f ( AM ) f ( AOI ) G K sf / G stc
Direct beam radiation (Gdir) is given by [34]:
G dir = DNI × cos ( AOI )
where direct normal irradiance (DNI) is direct normal irradiance, and AOI is basically the angle between the direct sun ray and a line perpendicular to the surface of the PV module. It can be calculated as follows:
AOI = cos 1 ( cos β cos ( A φ ) sin θ T + sin β cos θ T )
where β and A are the altitude and azimuth angles of the sun, φ is the PV panel azimuth angle, and θT is the PV panel tilt angle. The altitude angle and azimuth angle of the sun are shown in Figure 4 and are computed as:
β = sin 1 ( cos L cos δ cos ω + sin L sin δ )
A = sin 1 ( cos δ sin ω cos β )
where L is the latitude of the flying UAV, ω = 15 × ( 12 S T ) is the hour angle as ST is the solar time [22], and δ is the angle between the imaginary line passing through the center of the sun and the center of the earth, and the polar axis is changing over a year. As shown in Figure 5, this angle changes between −23.45° in winter and +23.45° in summer and can be estimated by the following sinusoidal equation [34]:
δ = 23.45 sin 360 365 ( n 81 )
where n represents the day number in a year.
The diffused radiation component of the solar irradiance can be calculated as follows [34]:
G dif = DNI × C × 1 + cos θ T 2
where C is a sky diffuse factor and is calculated as:
C = 0.095   +   0.04 sin 360 365 ( n 100 )
The two other unknown parameters in (8), namely f(AM) and f(AOI), are given by [33]:
f ( AM ) = a 0   +   a 1 ( AM )   +   a 2 ( AM ) 2   +   a 3 ( AM ) 3   +   a 4 ( AM ) 4
f ( AOI ) = b 0 +   b 1 ( AOI ) + b 2 ( AOI ) 2 + b 3 ( AOI ) 3 + b 4 ( AOI ) 4 + b 5 ( AOI ) 5
where a0a5 and b0b5 can be accessed through different module specifications, which are prepared by the National Renewable Energy Laboratory (NREL) [35], and AM is the air mass, which is the amount of air within the atmosphere that the sun’s rays pass to strike the PV panel. The value of AM can be calculated by:
AM   = ( r cos β ) 2   +   2 r   +   1 r cos β
where r is the ratio of the Earth’s radius to the thickness of the atmosphere and is approximately 708.
Incorporating the impact of UAV speed on the integrated PV module’s performance involves calculating the module’s temperature in relation to the UAV speed, and this calculation can be carried out as described in [36]:
T c   =   T amb   +   G e ( d + b Speed )
where d = −3.58 and b = −0.113 are the constants that depend on the module material and construction, Tamb is the ambient temperature, and Speed is the UAV speed in m/s.
Another parameter that is still unknown in (6) is a, which is the ideality factor of the PV module diode. In general, the value of this parameter is between one and two and in numerous studies, such as [37], for example, it is considered a constant parameter. But in a real application, the amount of ideality factor is changed for various module temperatures and irradiances. Extracting this parameter for a specified condition of implementation is challenging enough and is usually done by using repetitive methods, considering the derivation of the calculated Pmpp and the measured Pmpp as its condition of convergence. In this work, a new approach is used based on GWO to extract the ideality factor of the UAV-integrated PV module.

2.3. Adaptive Calculation of Diode Ideality Factor

GWO, a metaheuristic inspired by grey wolf behavior, has advantages like fewer parameters, simplicity, and easy implementation over methods like PSO and GA [38,39]. In this optimization method, wolves are categorized as alpha, beta, delta, and omega based on their performance. Alphas lead and make decisions for the pack, betas act as alternatives, deltas hold a hierarchical position, and omegas follow orders. In the optimization problem, alpha, beta, and delta wolves represent the optimal, second optimal, and third optimal individuals, respectively.
Grey wolves hunt their prey through three main steps, including (1) pursuit, tracking, and approaching the prey, (2) chasing, encircling, and harassing the prey until it stops, and (3) attacking the prey [38].
Mathematical modeling of prey encirclement includes considering the distance between the prey and the wolves (D) using the following formula [38]:
D   =   C X P ( t ) X ( t )
X ( t + 1 ) = X p ( t ) A . D
where t indicates the iteration number, X P denotes the position vector of the prey, X is the position of a grey wolf, and A and C stand for coefficient vectors and can be calculated as follows [38]:
A   =   2 a r 1 a
C = 2 r 2
where r 1 and r 2 are two random vectors between 0 and 1, and components of a linearly decrease from 2 to 0 as the iterations progress.
According to the wolves’ behavior, the idea is that these three types of wolves have the best knowledge about the possible location of the prey. So, only the three best solutions are considered, while their position updating can be considered as follows [38]:
D α   =   C 1 X α X , D β   =   C 2 X β X , D δ   =   C 3 X δ X
X 1 = X α A 1 D α ,   X 2 = X β A 2 D β ,   X 3 =   X δ A 3 D δ X ( t + 1 ) = X 1 + X 2 + X 3 3
Using the equations provided above, the wolves adjust their positions relative to the prey. The algorithm iteratively operates until the specified stopping condition is met, which involves the search agents (wolves) reaching the objective function (prey). This process involves updating the position of omega wolves based on the movements of the other three main wolves that are exploring the search environment and are closest to the prey. This behavior is exhibited by omega wolves during the exploration phase and is determined by parameter A. Essentially, the next position of a search agent can be anywhere between its current position and the prey. When |A| is less than 1, the search agent is directed to approach the prey, while |A| greater than 1 leads the search agent to adjust its position in response to the movements of the three best-performing wolves. These concepts regarding the updating position procedure, as well as the hunting or searching behavior for a prey, are illustrated in Figure 6. In this study, the objective of the GWO is to minimize the disparity between two sets of Vmpp equations by tuning the value of the PV module ideality factor (a). The first set was discussed in the previous subsection, while the second set is validated by [40] and is calculated as follows:
V Mo   =   V M , STC   +   V T Ln ( G G STC K sf )   +   K Vm ( T c T STC )
The explained objective function can be formulated as follows:
OF   =   V m 2 V Mo 2
In the implementation of GWO in MATLAB 2024a, the number of search agents was set to 10, and the maximum number of iterations was set to 10. These values were selected based on preliminary tuning experiments to ensure a balance between convergence reliability and computational efficiency. Given the real-time constraints of the UAV-integrated PV system, a compact population and limited iteration count were preferred to reduce processing time while maintaining acceptable optimization accuracy. The bound range for the ideality factor (1 to 1.25) was adopted from experimental tests reported in [41], ensuring that the search space remained physically meaningful and consistent with observed data. The extracted ideality factors for different movements of the UAV are illustrated in Figure 7. To assess the performance of the GWO algorithm in extracting the depicted ideality factor and compare it with other metaheuristic algorithms, including PSO and moth flame optimization (MFO), the convergence curves are presented in Figure 8. These curves reveal that in each execution of the GWO, the algorithm consistently reduces the value of the objective function by adjusting the parameter a. Moreover, one can notice that GWO converges to the objective function faster than the other two algorithms. Moreover, PSO and MFO yielded an average best score (convergence error) that was 3% and 1.5% higher than that of GWO, respectively, demonstrating GWO’s superior optimization performance. This demonstrates GWO’s ability to achieve more precise ideality factor extraction. In most cases of algorithm runs, the objective function remains unchanged after the second iteration due to the limited range of a.

3. Computational Intelligence MPP Model

3.1. Dataset Preparation

The ML development related to the UAV-integrated PV module is carried out based on the one-year historical environmental dataset of the Canadian capital region, which is accessible through the NREL website [35]. The dataset includes one-year data associated with the ambient temperature (°C), DNI (W/m2), and the time and date of data collection. This dataset provides high-resolution solar and meteorological data, which served as the foundation for the performed analysis.
Additionally, the height of the flight, the operational angles of the plane, and their operating speed are generated randomly in acceptable ranges. Following the classifications provided by the North Atlantic Treaty Organization (NATO) and the National American Space Agency (NASA) as documented in [42,43], the maximum flight altitude for Class I aerial vehicles, characterized as small flying vehicles (weighing under 150 kg), is set at a threshold of 6000 m. Additionally, the speed of the UAVs within Class I falls within the range encompassing their stall and top speeds, as defined by various models within this class according to [44]. This speed range is selected to be between 100 km/h and 200 km/h.
Moreover, the pitch and roll angles, which are known as the angle of attack and bank angle, respectively, are considered −30 to 30 and between −30 to 30, respectively, which is a reliable range based on [43]. Moreover, the acceptable value of the yaw angle is considered between 0 and 360 degrees in order to cover the whole space of possible flight directions. The temperature of the PV panel in the UAV’s flight height decreases by 6.5 °C for every 1000 m increase in the flying height [45].
Prior to model training, the raw data underwent a series of preprocessing steps, where the two most important ones are mentioned in the following sections. First, the raw data is processed and cleaned to remove missing or anomalous entries that could compromise model accuracy. Then, to ensure uniformity across features and facilitate convergence during training, all input variables were normalized using min-max scaling. And finally, the prepared dataset is utilized for model training.

3.2. Final Dataset Preparation

In order to achieve the final dataset, the raw data are processed with the method proposed in earlier sections. Based on the explained concepts in Section 2 and Section 3, important parameters of a UAV-integrated PV system, including the diode ideality factor and the MPP point parameters, are computed for any available UAV movement and environmental condition. In this study, the MPP power is selected as the ML target feature. The aforementioned parameter is extracted for the ET-M53695 commercial PV module. The resulting dataset, obtained after removing data points that lack logical or meaningful information, such as instances when there is no irradiance or when module placement results in absorbed irradiance falling below 100 W/m2 (a threshold at which the module ceases power generation) [46], consists of 10,656 data points. The scatter plots of the dataset predictors and target features are shown in Figure 9. These features include DNI, Speed, Roll angle, Pitch angle, Azimuth angle, Height of flight, and Temperature. The target variable is the power of MPP. Date and time are excluded from the scatter plots.

3.3. Data Normalization

Data normalization is an important step in data preprocessing. The goal of data normalization is to scale all the parameters to a common range without distorting the data points’ differences. The data is normalized between 0 and 1 according to the following equation:
x norm   =   x min x i x min x max
where xnorm, xmin, xmax, and xi are the normalized value of the sample, the minimum amount of observation in the dataset, the maximum amount in the dataset, and the current datapoint, which is normalized, respectively.

3.4. Machine Learning Models Training

In order to find the best possible ML model describing the system’s performance in the most efficient way, various ML models are trained and evaluated for the previously mentioned PV module type. To perform validation on training, a 10-fold cross-validation is utilized; also, 20% is set aside as the test set. In total, twenty-three models using six different techniques, including Gaussian process regression (GPR), linear regression (LR), support vector machine (SVM), ensemble regression trees (ERT), and artificial neural networks (ANN), are trained and evaluated.
For stepwise linear regression, the maximum number of steps is set to 1000. The kernel scale for fine Gaussian SVM, medium Gaussian SVM and coarse Gaussian SVM is set to 0.75, 3, and 12, respectively. In addition, the number of iterations for all neural network models is 1000, and the activation is set to ReLU. The first layer size is set to 10, 25, and 100 for narrow, medium, and wide neural networks, respectively. Moreover, the size of the first and second layers is set to 10 for both the bi-layered and tri-layered models, and the third layer size for the tri-layered model has been set to 10 as well.

3.5. Computational Cost of the Proposed MPP Model

All processes in this research were executed on a Dell Optiplex 9020 desktop equipped with an Intel Core i7-4790 CPU (3.6 GHz), Intel HD Graphics 4600, and 8 GB DDR3 RAM. The computational cost primarily lies in the training phase of the machine learning models and the optimization processes using GWO and data normalization.
The training phase, which involves processing historical environmental and flight data, training ML models, and validating their performance, was performed on the same hardware and took approximately 1 h.
Moreover, the inference time, which is the time the trained models take to predict the unknown parameter, is in the range of hundreds of microseconds. This rapid inference time ensures that the model can provide real-time predictions during UAV flight operations.

4. Results

4.1. Machine Learning Models Performance

As previously mentioned, the purpose of training multiple models is to evaluate and compare various options in order to select the most optimal one. The values of test RMSE and MAE for each ML algorithm are presented in Table 1. According to the presented error metrics, the rational quadratic Gaussian process regression (RQGPR) has the best performance among the other models for the ET-M53695. While the RQGPR model outperforms the other trained machine learning algorithms, it is not without limitations; the most significant being its intensive computational demands during training. However, this is not a major concern for this application, as the model is trained only once. This model can be effectively applied in MPPT studies to guide the power converter toward the precise or nearly exact MPP. Consequently, this approach significantly diminishes the response time of the converter in tracking the MPP point according to the inference time that is pointed out in Section 3.
To evaluate the training procedure, the associated errors of the predicted data points in comparison to the actual data are depicted in Figure 10a. In this figure, the red lines represent the distances (i.e., errors) between the actual and predicted values. These lines are notably short for the majority of observations, often appearing as single dots due to the minimal disparities between the actual and predicted values. This robust alignment affirms the RQGPR model’s high accuracy in predicting the UAV-integrated PV module’s MPP. Furthermore, Figure 11 reinforces the superior performance of the RQGPR model by displaying predicted values versus true responses. Conversely, Figure 10b demonstrates the unacceptable performance of the fine Gaussian support vector machine (FGSVM) by featuring longer lines, indicative of higher error values, between the actual and predicted data. This behavior underscores the limitations of the FGSVM model in accurately predicting the UAV-integrated PV module’s MPP properties.

4.2. Experimental Tests

To validate the effectiveness of the proposed model, a mobile structure capable of rotational movement along various axes, simulating the motion of the PV module when mounted on a UAV, is prepared. This experimental setup, shown in Figure 12, mainly consists of the Et-M 53695 PV panel, IV-400 PV analyzer, temperature and irradiance sensors, and a laptop for data collection from the analyzer. The parameters of the tested PV panel are presented in Table 2. The PV panel analyzer extracts PV module characteristics under varying temperature and irradiance conditions. A total of 38 distinct experimental tests to determine the MPP of the ET-M53695 module were conducted. These tests are done for various values of input dataset features. The power outputs at the MPP obtained from the experimental tests are compared to the predictions of the trained RQGPR model under the same conditions. This comparison is illustrated in Figure 13. In the majority of test cases, the experimental MPP closely aligns with or matches the predictions of the computational intelligence model. This outcome serves as strong evidence of the computational intelligence model’s effectiveness in identifying the MPP under various PV module conditions.

4.3. Hardware Test

In this section, to demonstrate the capability of the trained model in identifying points close to the MPP, a hybrid control method has been implemented on a hardware setup. As previously mentioned, the aim of this research is to provide a set of methodologies for modeling the output of a UAV-integrated PV module, and this section is presented solely as an example to validate the efficiency of this method. The utilized hardware setup is shown in Figure 14. The parameters of the hardware setup are mentioned in Table 3.
In this MPPT method, the MPP power is first estimated based on nine input parameters, including irradiance, ambient temperature, date and time of the flight, and UAV flight characteristics such as speed, altitude, roll, pitch, and yaw angles. The AI MPPT controller operates as a hybrid system that combines machine learning-based prediction with conventional incremental conductance (IC) control. Initially, the trained RQGPR model predicts the expected MPP power, which is used to guide the power electronics converter during the early cycles following any change in irradiation levels, typically caused by UAV movement or orientation shifts. Once the system stabilizes, the IC algorithm takes over to fine-tune the operating point and ensure accurate MPP tracking. It is important to note that the estimated power might be higher, lower, or equal to the actual MPP power. The control block diagram of the mentioned hybrid method is illustrated in Figure 15.
In this experimental test, dSPACE is used for two purposes. The first purpose is to simulate the UAV’s movement and control the TerraSAS ETS series PV simulator in voltage and current levels corresponding to the UAV’s motion through TerraSAS v2.0.0.4 software. The second purpose is to predict the MPP power based on nine input features and to implement the hybrid MPPT method to control the boost power electronics converter, which is implemented by Festo lab equipment.
To simulate UAV movement in the hardware test, the dSPACE system was programmed to replicate the flight scenarios previously utilized in the experimental measurements presented in Section 4.2. These scenarios reflect realistic UAV maneuvers and orientation changes. Using the mathematical model described in Section 2, dSPACE calculates the equivalent irradiance values corresponding to the UAV’s roll, pitch, and yaw angles. These irradiance values are then converted into analog voltage signals and applied to the PV simulator, effectively emulating the electrical behavior of a UAV-integrated PV module under dynamic flight conditions. The analog outputs from dSPACE pass through a custom-designed interface circuit, which scales the signals to ensure they fall within the acceptable input range of the PV simulator. This setup enables accurate reproduction of UAV motion effects on solar irradiance and allows for real-time testing of the hybrid MPPT control strategy.
In this setup, the electrical characteristics of the PV simulator are identical to those of the integrated module into the UAV’s body. In the next step, dSPACE controls the power electronics converter to ensure the simulated PV panel operates correctly. The block diagram of this hardware implementation is shown in Figure 16.
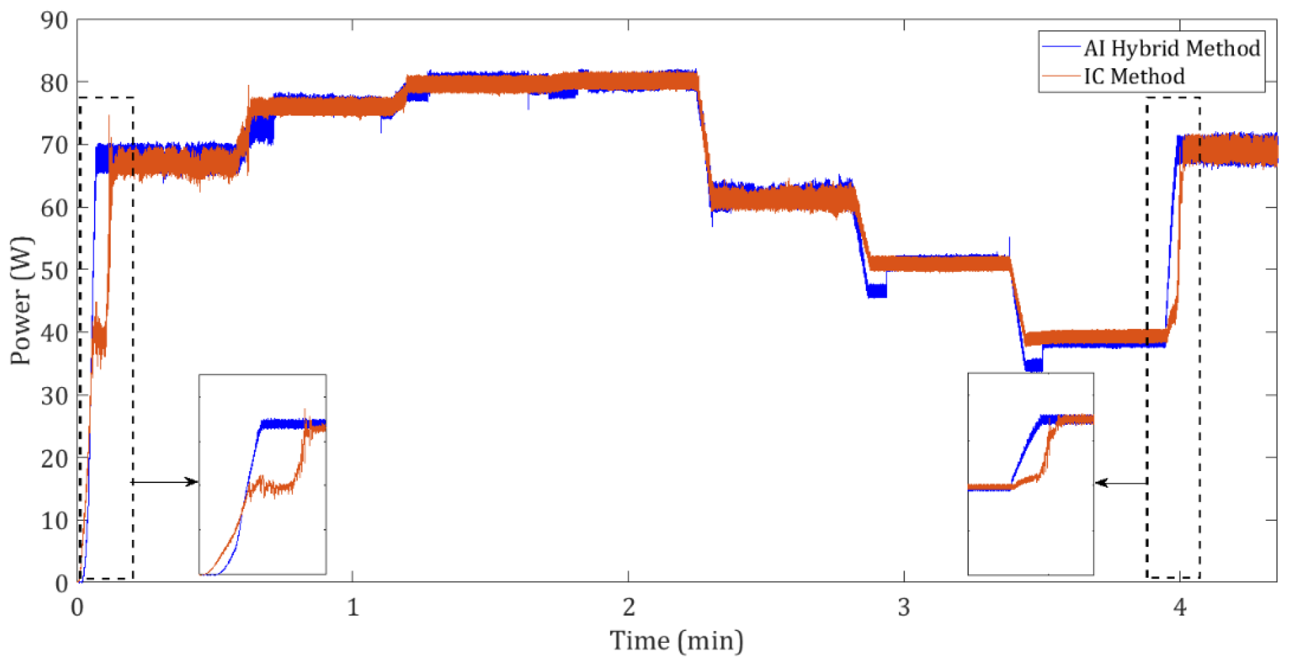
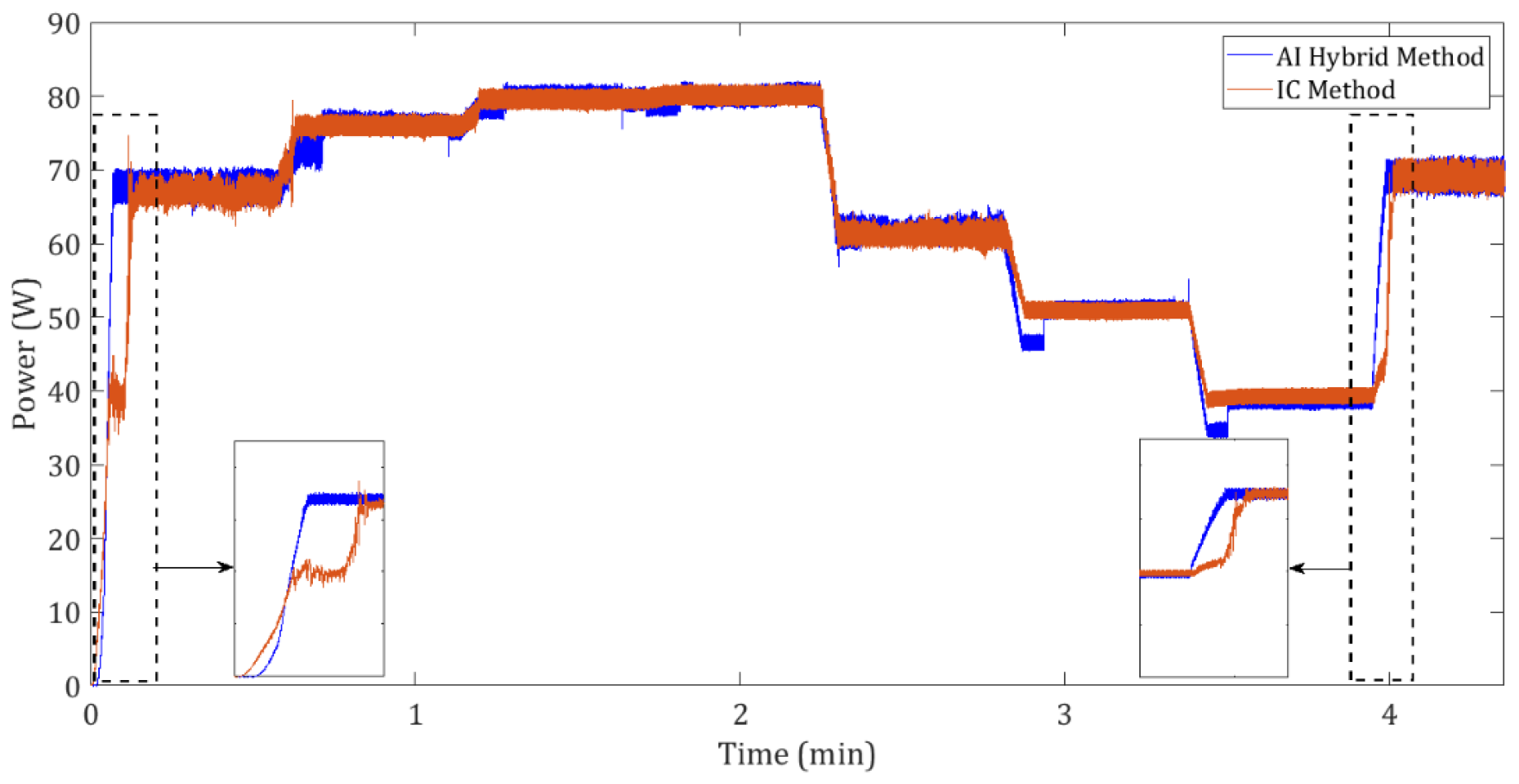
The output waveform of this hardware test showcases two key aspects: firstly, the capability of the hybrid method to regulate the PV module at its MPP, and secondly, its ability to enhance system control during significant changes in irradiance gradient, which is representative of the fast movement of the UAV. The power waveform that is shown in Figure 17 confirms the mentioned facts.
In terms of the speed of MPPT detection, the proposed hybrid method leverages ML models, allowing for near-instantaneous prediction, commonly referred to as the inference time of the trained model. In contrast, conventional algorithms typically operate on the scale of tens of milliseconds, which is relatively slow compared to the rapid inference time offered by ML-based predictions. This comparison is summarized in Table 4. To further clarify the presented table, the terms “moderate” and “simple” refer to the implementation complexity of the methods on a microcontroller. Conventional methods are straightforward to implement through basic coding, whereas the proposed method requires a more complex implementation.
Despite the promising performance of the proposed hybrid MPPT controller, several practical challenges may arise in real-world implementation. UAV platforms often have limited computational resources, which could constrain the deployment of machine learning models without further optimization. Additionally, the accuracy of MPP prediction depends heavily on reliable sensor data, which may be affected by environmental noise, calibration drift, or rapid changes in flight dynamics. The controller’s adaptability under aggressive UAV maneuvers remains a critical factor, especially in highly variable irradiance conditions. Furthermore, the model may require reparameterization to generalize across different PV technologies, and integration into existing UAV power systems could involve significant engineering effort. These limitations highlight the need for extensive field validation and potential refinements to ensure robustness and scalability in operational environments.

5. Future Work

While the proposed hybrid MPPT approach has demonstrated strong performance in both simulation and hardware implementation, several avenues remain for future exploration. One promising direction is the extension of the model to accommodate other PV technologies, which may exhibit different electrical characteristics and environmental sensitivities. Additionally, incorporating further environmental variables, such as wind speed, humidity, and atmospheric pressure, could enhance the model’s predictive accuracy and robustness under dynamic operating conditions.
Long-term field testing across diverse geographic and climatic zones would also be valuable in validating the system’s generalizability. Although the current dataset originates from the Canadian capital region, the framework itself was designed to be geographically agnostic, leveraging a wide range of input parameters, including solar irradiance, temperature, UAV flight altitude, rotation angles, speed, day, and time. This adaptability suggests strong potential for deployment in varied environments.
Finally, future work may explore deeper integration of the machine learning model with other MPPT techniques to create hybrid controllers that balance precision, responsiveness, and computational efficiency, particularly for real-time applications on resource-constrained UAV platforms.

6. Conclusions

This study presents a comprehensive computational intelligence-based method for modeling and optimizing UAV-integrated photovoltaic (PV) systems under dynamic flight conditions. A novel mathematical approach was developed to translate UAV movement, specifically roll, pitch, and yaw, into the tilt and azimuth angles of the PV module, enabling accurate orientation modeling. Furthermore, a novel method utilizing the EDE of the PV module and the GWO algorithm simultaneously is developed to adaptively calculate the diode ideality factor, outperforming PSO with a 3% lower convergence error. After processing a dataset of 10,656 data points through the EDE of the PV module to determine the MPP current and voltage properties and adaptively derive the diode ideality factor, twenty-three ML models were developed for the ET-M53695 commercial PV panel. A 10-fold cross-validation method is used for model validation, and 20% of the dataset was utilized for the model testing process. Among the various trained ML models, the RQGPR model demonstrated the best performance, achieving an RMSE of 0.006. To validate the proposed approach, a series of experimental tests was conducted on a PV module using an IV-400 photovoltaic analyzer attached to a mobile mechanism capable of simulating UAV movements by rotating around its yaw, pitch, and roll axes. The predictions made by the RQGPR-trained model under the experimental conditions closely matched the actual measurements. Moreover, to show the capability of an ML-trained model in a power electronics context, a hybrid MPPT method combining AI-based techniques with traditional IC methods was implemented, showing improved performance in tracking the MPP during high variation irradiance changes. Experimental validation confirmed the model’s effectiveness in predicting MPP under various UAV movement scenarios, and a hybrid MPPT controller integrating the ML model with IC was successfully implemented in hardware. These results underscore the practical viability of the proposed approach.

Author Contributions

Conceptualization, M.H.S.; methodology, M.H.S.; software, M.H.S.; validation, M.H.S.; formal analysis, M.S; investigation, M.H.S.; resources, M.H.S.; data curation, M.H.S.; writing—original draft preparation, M.H.S.; writing—review and editing, M.H.S., S.T. and A.-M.C.; visualization, M.H.S.; supervision, S.T. and A.-M.C.; project administration, S.T. and A.-M.C. All authors have read and agreed to the published version of the manuscript.

Funding

This research received no external funding.

Data Availability Statement

The original contributions presented in this study are included in the article. Further inquiries can be directed to the corresponding author.

Conflicts of Interest

The authors declare no conflict of interest.

References

  1. Yang, M.; Zhang, L.; Zhao, Z.; Wang, L. Comprehensive benefits analysis of electric vehicle charging station integrated photovoltaic and energy storage. J. Clean. Prod. 2021, 302, 126967. [Google Scholar] [CrossRef]
  2. Rodriguez, A.S.; De Santana, T.; MacGill, I.; Ekins-Daukes, N.J.; Reinders, A. A feasibility study of solar PV-powered electric cars using an interdisciplinary modeling approach for the electricity balance, CO2 emissions, and economic aspects: The cases of The Netherlands, Norway, Brazil, and Australia. Prog. Photovolt. Res. Appl. 2019, 28, 517–532. [Google Scholar] [CrossRef]
  3. Hisoglu, S.; Tuominen, A.; Huovila, A. An approach for selecting optimal locations for electric vehicle solar charging stations. IET Smart Cities 2023, 5, 123–134. [Google Scholar] [CrossRef]
  4. Wirth, H.; Neuhaus, D.H.; Kroyer, T.; Reise, C.; Schmid, A.; Eberlein, D.; Alanis, L.E.; Mittag, M.; Basler, F.; Kutter, C.; et al. Potential and Challenges of Vehicle Integrated Photovoltaics for Passenger Cars. In Proceedings of the 37th European Photovoltaic Solar Energy Conference and Exhibition, Online, 7–11 September 2020; pp. 1695–1700. [Google Scholar]
  5. Brito, M.C.; Santos, T.; Moura, F.; Pera, D.; Rocha, J. Urban solar potential for vehicle integrated photovoltaics. Transp. Res. Part D Transp. Environ. 2021, 94, 102810. [Google Scholar] [CrossRef]
  6. Ghose, D.; Pradhan, S.; Tamuli, P.; Shabbiruddin, N. Optimal material for solar electric vehicle application using an integrated Fuzzy-COPRAS model. Energy Sources Part A Recovery Util. Environ. Eff. 2019, 45, 3859–3878. [Google Scholar] [CrossRef]
  7. Chandra Mouli, G.R.; Bauer, P.; Zeman, M. System design for a solar powered electric vehicle charging station for workplaces. Appl. Energy 2016, 168, 434–443. [Google Scholar] [CrossRef]
  8. Inba Rexy, A.; Seyezhai, R. A comparative study of active power factor correction ac-dc converters for electric vehicle applications. ARPN J. Eng. Appl. Sci. 2013, 8, 9. [Google Scholar]
  9. Zheng, Y.-J.; Zhang, Z.-Y.; Yan, J.-Y.; Sheng, W.-G. Cooperative UAV Scheduling for Power Grid Deicing Using Fuzzy Learning and Evolutionary Optimization. IEEE Open J. Ind. Appl. 2023, 6, 15–33. [Google Scholar] [CrossRef]
  10. Yang, B.; Shi, H.; Xia, X. Federated Imitation Learning for UAV Swarm Coordination in Urban Traffic Monitoring. IEEE Trans. Ind. Inform. 2023, 19, 6037–6046. [Google Scholar] [CrossRef]
  11. Fang, H.; Liao, Z.; Wang, X.; Chang, Y.; Yan, L. Differentiated Attention Guided Network Over Hierarchical and Aggregated Features for Intelligent UAV Surveillance. IEEE Trans. Ind. Inform. 2023, 19, 9909–9920. [Google Scholar] [CrossRef]
  12. Chu, Y.; Ho, C.; Lee, Y.; Li, B. Development of a solar-powered unmanned aerial vehicle for extended flight endurance. Drones 2021, 5, 44. [Google Scholar] [CrossRef]
  13. Manoharan, P.; Subramaniam, U.; Babu, T.S.; Padmanaban, S.; Holm-Nielsen, J.B.; Mitolo, M. Improved Perturb and Observation Maximum Power Point Tracking Technique for Solar Photovoltaic Power Generation Systems. IEEE Syst. J. 2021, 15, 3024–3035. [Google Scholar] [CrossRef]
  14. Shashati, M.; Zeyoudi, S.A.; Khatib, O.A.; Hakim, A.; Aasim, W.F.A.W.; Okasha, M. Design and fabrication of a solar powered unmanned aerial vehicle (UAV). In Proceedings of the Advances in Science and Engineering Technology International Conferences (ASET), Dubai, United Arab Emirates, 20–23 February 2023; pp. 1–10. [Google Scholar]
  15. Suryoatmojo, H.; Mardiyanto, R.; Riawan, D.C.; Setijadi, E.; Anam, S.; Azmi, F.A. Design of MPPT based fuzzy logic for solar-powered unmanned aerial vehicle application. In Proceedings of the International Conference on Engineering, Applied Sciences, and Technology (ICEAST), Phuket, Thailand, 4–7 July 2018; pp. 1–4. [Google Scholar]
  16. Ko, S.-H.; Chao, R.-M. Photovoltaic dynamic MPPT on a moving vehicle. Sol. Energy 2012, 86, 1750–1760. [Google Scholar] [CrossRef]
  17. Messai, A.; Mellit, A.; Guessoum, A.; Kalogirou, S.A. Maximum power point tracking using a GA optimized fuzzy logic controller and its FPGA implementation. Sol. Energy 2011, 85, 265–277. [Google Scholar] [CrossRef]
  18. Safyanu, B.D.; Abdullah, M.N.; Omar, Z. Review of Power Device for Solar-Powered Aircraft Applications. J. Aerosp. Technol. Manag. 2019, 11, e4119. [Google Scholar] [CrossRef]
  19. Prasad, S.; Ulaganathan, M.; Durairaj, D.; Aljaafreh, M.J.; AlSalhi, M. Implementation of MPPT for Flexible Solar Cells embedded on unmanned aerial vehicles. In Proceedings of the IEEE International Conference on Intelligent Techniques in Control, Optimization and Signal Processing (INCOS), Tamilnadu, India, 11–13 April 2019; pp. 1–6. [Google Scholar]
  20. Shang, L.; Guo, H.; Zhu, W. An improved MPPT control strategy based on incremental conductance algorithm. Prot. Control Mod. Power Syst. 2020, 5, 14. [Google Scholar] [CrossRef]
  21. Saberi, A.; Niroomand, M.; Dehkordi, B.M. An Improved P&O Based MPPT for PV Systems with Reduced Steady-State Oscillation. Int. J. Energy Res. 2023, 2023, 4694583. [Google Scholar]
  22. Batzelis, E.I.; Kampitsis, G.E.; Papathanassiou, S.A.; Manias, S.N. Direct MPP Calculation in Terms of the Single-Diode PV Model Parameters. IEEE Trans. Energy Convers. 2015, 30, 226–236. [Google Scholar] [CrossRef]
  23. Hosseini, S.; Taheri, S.; Farzaneh, M.; Taheri, H. Modeling of snow-covered photovoltaic modules. IEEE Trans. Ind. Electron. 2018, 65, 7975–7983. [Google Scholar] [CrossRef]
  24. Kulaksız, A.A.; Akkaya, R. A genetic algorithm optimized ANN-based MPPT algorithm for a stand-alone PV system with induction motor drive. Sol. Energy 2012, 86, 2366–2375. [Google Scholar] [CrossRef]
  25. Salah, C.B.; Ouali, M. Comparison of fuzzy logic and neural network in maximum power point tracker for PV systems. Electr. Power Syst. Res. 2010, 81, 43–50. [Google Scholar] [CrossRef]
  26. Kumar, N.; Singh, B.; Panigrahi, B.K. Grid synchronisation framework for partially shaded solar PV-based microgrid using intelligent control strategy. IET Gener. Transm. Distrib. 2018, 13, 829–837. [Google Scholar] [CrossRef]
  27. Gao, Y.; Wang, S.; Dragicevic, T.; Wheeler, P.; Zanchetta, P. Artificial Intelligence Techniques for Enhancing the Performance of Controllers in Power Converter-Based Systems—An Overview. IEEE Open J. Ind. Appl. 2023, 4, 366–375. [Google Scholar] [CrossRef]
  28. Raza, M.Q.; Mithulananthan, N.; Li, J.; Lee, K.Y.; Gooi, H.B. An Ensemble Framework for Day-Ahead Forecast of PV Output Power in Smart Grids. IEEE Trans. Ind. Inform. 2019, 15, 4624–4634. [Google Scholar] [CrossRef]
  29. Gaviria, J.F.; Narváez, G.; Guillen, C.; Giraldo, L.F.; Bressan, M. Machine learning in photovoltaic systems: A review. Renew. Energy 2022, 196, 298–318. [Google Scholar] [CrossRef]
  30. Molina-Garcia, A.; Guerrero-Perez, J.; Bueso, M.C.; Kessler, M.; Gomez-Lazaro, E. A New Solar Module Modeling for PV Applications Based on a Symmetrized and Shifted Gompertz Model. IEEE Trans. Energy Convers. 2015, 30, 51–59. [Google Scholar] [CrossRef]
  31. Saeedinia, M.; Hashemi, B.; Cretu, A.-M.; Taheri, S. A Novel Computational Intelligence-Based Parameter Extraction of UAV-Integrated Photovoltaic System. IEEE Access 2024, 12, 97664. [Google Scholar] [CrossRef]
  32. Diab-Marzouk, A.; Trescases, O. SIC-based bidirectional Ćuk converter with differential power processing and MPPT for a solar powered aircraft. IEEE Trans. Transp. Electrific. 2015, 1, 369–381. [Google Scholar] [CrossRef]
  33. Tian, H.; Mancilla-David, F.; Ellis, K.; Jenkins, P.; Muljadi, E. A detailed performance model for photovoltaic systems preprint. Sol. Energy J. 2012; in press. [Google Scholar]
  34. Masters, G.M. Renewable and Efficient Electric Power Systems; John Wiley & Sons: Hoboken, NJ, USA, 2013. [Google Scholar]
  35. National Renewable Energy Laboratory. National Solar Radiation Database. Available online: https://nsrdb.nrel.gov (accessed on 3 December 2022).
  36. PV Performance Modeling Collaborative (PVPMC). Sandia Module Temperature Model. Available online: https://pvpmc.sandia.gov/modeling-steps/2-dc-module-iv/module-temperature/sandia-module-temperature-model/ (accessed on 6 June 2022).
  37. Villalva, M.G.; Gazoli, J.R.; Filho, E.R. Comprehensive approach to modeling and simulation of photovoltaic arrays. IEEE Trans. Power Electron. 2009, 24, 1198–1208. [Google Scholar] [CrossRef]
  38. Mirjalili, S.; Mirjalili, S.M.; Lewis, A. Grey wolf optimizer. Adv. Eng. Softw. 2014, 69, 46–61. [Google Scholar] [CrossRef]
  39. Hou, Y.; Gao, H.; Wang, Z.; Du, C. Improved grey wolf optimization algorithm and application. Sensors 2022, 22, 3810. [Google Scholar] [CrossRef]
  40. Khenar, M.; Taheri, S.; Cretu, A.-M.; Hosseini, S.; Pouresmaeil, E. PSO-based modeling and analysis of electrical characteristics of photovoltaic module under nonuniform snow patterns. IEEE Access 2020, 8, 197484–197498. [Google Scholar] [CrossRef]
  41. Ahmed, D.R.; Abdullah, H.M.; Muhammadsharif, F.F. Utilization of device parameters to assess the performance of a monocrystalline solar module under varied temperature and irradiance. Energy Syst. 2021, 14, 229–241. [Google Scholar] [CrossRef]
  42. Castrillo, V.U.; Manco, A.; Pascarella, D.; Gigante, G. A review of Counter-UAS technologies for cooperative Defensive teams of drones. Drones 2022, 6, 65. [Google Scholar] [CrossRef]
  43. Lykou, G.; Moustakas, D.; Gritzalis, D. Defending airports from UAS: A survey on cyber-attacks and counter-drone sensing technologies. Sensors 2020, 20, 3537. [Google Scholar] [CrossRef]
  44. Gundlach, J. Designing Unmanned Aircraft Systems; AIAA: Reston, VA, USA, 2014. [Google Scholar]
  45. National Oceanic and Atmospheric Administration (NOAA); National Aeronautics and Space Administration (NASA); U.S. Air Force. U.S. Standard Atmosphere; U.S. Government Printing Office (GPO): Washington, DC, USA, 1976.
  46. ET Solar. ET Module Monocrystalline; ET-M53695 95W Datasheet; ET Solar: Pleasanton, CA, USA, 2005. [Google Scholar]
Figure 1. Proposed method block diagram.
Figure 1. Proposed method block diagram.
Solar 05 00045 g001
Figure 2. UAV body frame, fixed frame, and rotation axes.
Figure 2. UAV body frame, fixed frame, and rotation axes.
Solar 05 00045 g002
Figure 3. UAV body frame and world frame with their unity vector perpendicular to their X-Y plane and its angles with different axes from two different points of view (a) 3d view, (b) lateral view.
Figure 3. UAV body frame and world frame with their unity vector perpendicular to their X-Y plane and its angles with different axes from two different points of view (a) 3d view, (b) lateral view.
Solar 05 00045 g003
Figure 4. The Sun’s position changes during the day.
Figure 4. The Sun’s position changes during the day.
Solar 05 00045 g004
Figure 5. The position of Earth relative to the sun during the year.
Figure 5. The position of Earth relative to the sun during the year.
Solar 05 00045 g005
Figure 6. Grey wolves updating their position and attacking prey versus searching for prey.
Figure 6. Grey wolves updating their position and attacking prey versus searching for prey.
Solar 05 00045 g006
Figure 7. Diode ideality factor for various movement conditions.
Figure 7. Diode ideality factor for various movement conditions.
Solar 05 00045 g007
Figure 8. Convergence curves of (a) PSO, (b) MFO algorithm and (c) GWO algorithm.
Figure 8. Convergence curves of (a) PSO, (b) MFO algorithm and (c) GWO algorithm.
Solar 05 00045 g008
Figure 9. Utilized dataset for model training, including input features and target feature (Pmpp).
Figure 9. Utilized dataset for model training, including input features and target feature (Pmpp).
Solar 05 00045 g009
Figure 10. Error between actual and predicted datapoints for the best and worst performing trained models. (a) RQGPR, and (b) FGSVM.
Figure 10. Error between actual and predicted datapoints for the best and worst performing trained models. (a) RQGPR, and (b) FGSVM.
Solar 05 00045 g010
Figure 11. Predicted values versus true responses of RQGPR.
Figure 11. Predicted values versus true responses of RQGPR.
Solar 05 00045 g011
Figure 12. Experimental setup including ET-M53695 moving PV module, I-V 400 PV analyzer, irradiance, and temperature sensors.
Figure 12. Experimental setup including ET-M53695 moving PV module, I-V 400 PV analyzer, irradiance, and temperature sensors.
Solar 05 00045 g012
Figure 13. Experimental tests and trained model Pmpp.
Figure 13. Experimental tests and trained model Pmpp.
Solar 05 00045 g013
Figure 14. Experimental hardware setup.
Figure 14. Experimental hardware setup.
Solar 05 00045 g014
Figure 15. AI MPPT controller block diagram.
Figure 15. AI MPPT controller block diagram.
Solar 05 00045 g015
Figure 16. Experimental test configuration block diagram.
Figure 16. Experimental test configuration block diagram.
Solar 05 00045 g016
Figure 17. Experimental test output waveform. IC in red and the hybrid method in blue.
Figure 17. Experimental test output waveform. IC in red and the hybrid method in blue.
Solar 05 00045 g017
Table 1. ML Models RMSE Values.
Table 1. ML Models RMSE Values.
ModelsRMSEMAE
Gaussian Process Regression
Rational Quadratic Gaussian Process Regression (RQGPR)0.00622690.002925
Squared Exponential Gaussian Process Regression (SEGPR)0.00634060.003076
Matern 5/2 Gaussian Process Regression (M5/2GPR)0.00630580.002784
Exponential Gaussian Process Regression (EGPR)0.00660080.002773
Linear Regression
Linear Regression (LR)0.0124430.009654
Interactions Linear (IL)0.00706380.004840
Robust Linear (RL)0.0125940.008956
Stepwise Linear (SL)0.00706280.004841
Support Vector Machine Regression
Linear SVM (LSVM)0.013070.008851
Quadratic SVM (QSVM)0.012170.010168
Cubic SVM (CSVM)0.0125980.010402
Fine Gaussian SVM (FGSVM)0.131210.093069
Medium Gaussian SVM (MGSVM)0.0168560.013855
Coarse Gaussian SVM (CGSVM)0.0129840.010452
Kernel Regression
SVM Kernel (SVMK)0.0160210.012758
Least Squares Regression Kernel (LSRK)0.0211520.017202
Ensemble Trees Regression
Boosted Trees (BoT)0.026590.018965
Bagged Trees (BaT)0.0186570.012713
Artificial Neural Network Regression
Narrow Neural Network (NNN)0.0071140.004990
Medium Neural Network (MNN)0.0071140.004836
Wide Neural Network (WNN)0.00662370.004240
Bi-layered Neural Network (BNN)0.00725310.005062
Tri-layered Neural Network (TNN)0.007230.005073
Table 2. Electrical parameters of the ET-M53695 PV module.
Table 2. Electrical parameters of the ET-M53695 PV module.
ParameterVALUE
Peak power95 W
Module efficiency14.47%
Maximum power voltage18.52
Maximum power current5.13 A
Open circuit voltage22.5 V
Open circuit current5.57 A
Table 3. Hardware Setup Specification.
Table 3. Hardware Setup Specification.
Processor UnitdSPACE MicrolabBox
Power SupplySorensen 2-channel
Output Resistor25 Ω
Input Capacitor220 μF
Input Inductance2 mH
Sampling Frequency10 KHz
Table 4. Comparison of the proposed hybrid MPPT and the conventional methods.
Table 4. Comparison of the proposed hybrid MPPT and the conventional methods.
MPPT Prediction
Finding MPPT Speed for Each Instant ChangeAccuracy of the MPPT for Each Instant ChangeAbility of Tracking MPPT After Each Instant ChangeImplementation Complexity
Proposed MethodImmediateGoodExcellentModerate
Conventional methodsSlowGoodPoorSimple
Disclaimer/Publisher’s Note: The statements, opinions and data contained in all publications are solely those of the individual author(s) and contributor(s) and not of MDPI and/or the editor(s). MDPI and/or the editor(s) disclaim responsibility for any injury to people or property resulting from any ideas, methods, instructions or products referred to in the content.

Share and Cite

MDPI and ACS Style

Saeedinia, M.H.; Taheri, S.; Cretu, A.-M. Computational Intelligence-Based Modeling of UAV-Integrated PV Systems. Solar 2025, 5, 45. https://doi.org/10.3390/solar5040045

AMA Style

Saeedinia MH, Taheri S, Cretu A-M. Computational Intelligence-Based Modeling of UAV-Integrated PV Systems. Solar. 2025; 5(4):45. https://doi.org/10.3390/solar5040045

Chicago/Turabian Style

Saeedinia, Mohammad Hosein, Shamsodin Taheri, and Ana-Maria Cretu. 2025. "Computational Intelligence-Based Modeling of UAV-Integrated PV Systems" Solar 5, no. 4: 45. https://doi.org/10.3390/solar5040045

APA Style

Saeedinia, M. H., Taheri, S., & Cretu, A.-M. (2025). Computational Intelligence-Based Modeling of UAV-Integrated PV Systems. Solar, 5(4), 45. https://doi.org/10.3390/solar5040045

Article Metrics

Back to TopTop