Sign in to use this feature.

Years

Between: -

Subjects

remove_circle_outline
remove_circle_outline
remove_circle_outline
remove_circle_outline

Journals

Article Types

Countries / Regions

Search Results (14)

Search Parameters:
Keywords = main inflorescence length

Order results
Result details
Results per page
Select all
Export citation of selected articles as:
15 pages, 3581 KB  
Article
Phenotypic Variation of 933 Broomcorn Millet (Panicum miliaceum L.) Germplasm Resources
by Yuyao Kong, Xia Zhang, Haoyang Li, Yirong Qiu, Hanghang Hou, Xiaoling Zhang, Baili Feng and Qinghua Yang
Plants 2025, 14(16), 2536; https://doi.org/10.3390/plants14162536 - 15 Aug 2025
Viewed by 1044
Abstract
Studying comprehensive performance is fundamental for the effective utilisation of broomcorn millet (Panicum miliaceum L.) germplasm resources and breeding of new varieties. However, compared with other major crops, research on broomcorn millet germplasm resources is limited, and the trait variations of broomcorn [...] Read more.
Studying comprehensive performance is fundamental for the effective utilisation of broomcorn millet (Panicum miliaceum L.) germplasm resources and breeding of new varieties. However, compared with other major crops, research on broomcorn millet germplasm resources is limited, and the trait variations of broomcorn millet are unclear. In this study, three qualitative and seven quantitative traits of 933 broomcorn millet core collections were analysed to provide the basis for improving utilisation of broomcorn millet germplasm resources. The seed colour was a strong phenotypic trait and had eight variants. The 933 resources exhibited three panicle types: lateral (74.5%), scattered (18.4%), and compact (7.1%). They exhibited two inflorescence colours: green (54.7%) and purple (45.3%). Pearson’s correlation analysis revealed that 1000-seed weight significantly correlated with plant height, length of panicle, and number of main stem segments. The period of duration positively correlated with 1000-seed weight but negatively correlated with the number of uniserial panicles. Cluster analysis based on the quantitative traits indicated that all resources were divided into three groups, and each group had its respective characteristics. The analysis of core germplasm resources of broomcorn millet in this study provided a basis to explore excellent genes and for breeding of excellent varieties. Full article
(This article belongs to the Section Plant Genetic Resources)
Show Figures

Figure 1

16 pages, 3188 KB  
Article
Sex Expression and Seed Yield Stability in Thai Hemp (Cannabis sativa L.): Seasonal Effects on Dioecious Cultivars for Optimized Seed Production
by Pheeraphan Thongplew, Jakkrapong Kangsopa, Sutheera Hermhuk, Krittiya Tongkoom, Prakash Bhuyar and Nednapa Insalud
Int. J. Plant Biol. 2025, 16(2), 67; https://doi.org/10.3390/ijpb16020067 - 13 Jun 2025
Cited by 1 | Viewed by 1899
Abstract
This study investigates the environmental regulation of sex expression and seed yield stability in four Thai dioecious hemp (Cannabis sativa L.) cultivars (RPF1, RPF2, RPF3, and RPF4) under different seasonal conditions to optimize seed production. The experiment was conducted across two planting [...] Read more.
This study investigates the environmental regulation of sex expression and seed yield stability in four Thai dioecious hemp (Cannabis sativa L.) cultivars (RPF1, RPF2, RPF3, and RPF4) under different seasonal conditions to optimize seed production. The experiment was conducted across two planting periods (in-season and off-season) to evaluate the effects of varying day lengths and temperatures on growth, reproductive development, and yield. The results showed that shorter day lengths and lower temperatures during the off-season led to an increased proportion of female plants across all cultivars, except RPF3, which exhibited a stable female-to-male ratio. RPF4 had the highest increase in female plants (16%), followed by RPF1 and RPF2 (10%). Seed yield was significantly influenced by seasonal changes, with RPF3 and RPF4 consistently outperforming the other cultivars. In the in-season, RPF3 and RPF4 produced the highest seed yields, reaching 83.4 g/plant and 81.6 g/plant, respectively. During the off-season, both cultivars experienced a decline in seed yield (by 24–26%), primarily due to a reduction in seed production in secondary inflorescences. However, RPF3 compensated for this loss with a 31% increase in seed production at main inflorescences, ensuring yield stability. RPF4 maintained its high yield potential by increasing the proportion of female plants, offsetting the decline in seed yield per plant. Additionally, cumulative growing degree days (CGDD) at harvest were comparable between seasons, with values of 2434 °Cd (in-season) and 2502 °Cd (off-season), indicating that temperature accumulation remained within an optimal range for seed maturation. The study highlights the importance of cultivar selection based on yield component stability and adaptability to seasonal variations. These findings provide valuable insights for improving hemp seed production strategies in Thailand’s diverse agro-climatic conditions. Full article
Show Figures

Figure 1

18 pages, 3134 KB  
Article
Excavation and Functional Verification of Plant Height Gene BnGPI2-A03 in Brassica napus L.
by Hailiang Liu, Rui Ren, Wei Liu, Bo Yang, Xin He, Zhongsong Liu, Lunwen Qian and Xinghua Xiong
Agronomy 2025, 15(3), 554; https://doi.org/10.3390/agronomy15030554 - 25 Feb 2025
Viewed by 1118
Abstract
Plant height is an important agronomic trait that affects the establishment of the ideal plant type and yield formation of rapeseed. However, the genetic mechanism affecting plant height has not been fully elucidated. Building on previous genome-wide association studies (GWASs), we performed differential [...] Read more.
Plant height is an important agronomic trait that affects the establishment of the ideal plant type and yield formation of rapeseed. However, the genetic mechanism affecting plant height has not been fully elucidated. Building on previous genome-wide association studies (GWASs), we performed differential gene expression analysis using 14 shoot apex transcriptome datasets derived from materials exhibiting extreme seedling height phenotypes at the bud stage. The promoter and the first exon regions of the Glycosylphosphatidylinositol 2 gene (BnGPI2-A03) of rapeseed were identified as harboring two significant SNPs (Bn-A03-p717776 and Bn-A03-p7178917) associated with plant height. Co-expression network analysis shows that BnGPI2-A03 was associated with many hormone pathway genes, cell wall synthesis pathway genes, and transcription factor genes and formed a potential network regulating the plant height of rapeseed. To examine the function of BnGPI2-A03 on plant height in Brassica napus L., we generated transgenic plants in which BnGPI2-A03 was overexpressed using a 35 s promoter. Overexpression of BnGPI2-A03 elevated the height and main inflorescence length of the transgenic plant by an average of 17.95% and 25.92%, respectively, which showed a positive relationship with the level of BnGPI2-A03. Transcriptome sequencing analysis of the overexpressed transgenic rapeseed stem-tip tissue during the bud stage shows that BnGPI2-A03 is associated with plant cell wall synthesis and cell division pathways. The requirement of BnGPI2-A03 for plant height was further evidenced in natural germplasms by the higher expression levels of BnGPI2-A03 in the stem-tip tissue of extremely high genotypes (Hap1) relative to their ultra-short counterparts (Hap3). These discoveries highlight potential targets for the plant height genetic improvement of rapeseed in the future. Full article
(This article belongs to the Section Crop Breeding and Genetics)
Show Figures

Figure 1

24 pages, 6684 KB  
Article
What Factors Determine the Natural Fruit Set of Cephalanthera longifolia and Cephalanthera rubra?
by Laurynas Taura and Zigmantas Gudžinskas
Diversity 2024, 16(6), 333; https://doi.org/10.3390/d16060333 - 6 Jun 2024
Cited by 5 | Viewed by 1949
Abstract
The reproduction of rare and endangered plant species is one of the most important factors determining the stability and survival of their populations, and knowledge of the barriers to successful reproduction is essential for species conservation. Habitat loss and slow reproduction due to [...] Read more.
The reproduction of rare and endangered plant species is one of the most important factors determining the stability and survival of their populations, and knowledge of the barriers to successful reproduction is essential for species conservation. Habitat loss and slow reproduction due to low fruit set are usually considered the main threats to Cephalanthera longifolia and C. rubra (Orchidaceae). The aim of this study was to analyse the natural fruit set of these species during three consecutive years in Lithuania in the northern part of the temperate zone of Europe. Six populations of C. longifolia and three populations of C. rubra were studied each year from 2021 to 2023. During the study period, 49.3% to 54.4% of C. longifolia and 40.0% to 54.3% of C. rubra individuals produced no fruit. Over the three-year period, fruit set in individual populations of C. longifolia ranged from 5.2% to 19.5%, whereas fruit set in populations of C. rubra ranged from 4.1% to 18.8%. Significant weak or moderate correlations were found between plant height, inflorescence length and the number of flowers in the inflorescence and fruit set of both species. Flower position in the inflorescence had a significant effect on fruit set in both species, and the fruit set rate of lower flowers was higher than that of upper flowers. Significant but weak correlations were found between the fruit set and most of the environmental factors analysed. The results of this study suggest that the fruit set of C. longifolia and C. rubra is dependent on insect pollination of the flowers, which in turn is affected by habitat conditions. Full article
(This article belongs to the Section Biodiversity Conservation)
Show Figures

Figure 1

20 pages, 6198 KB  
Article
BnPLP1 Positively Regulates Flowering Time, Plant Height, and Main Inflorescence Length in Brassica napus
by Ting Ding, Lei Cai, Yuqi He, Yuanhong Li, Entang Tian, Qianhui Zhou, Xufan Zhou, Xiaodong Wang, Kunjiang Yu and Xinjie Shen
Genes 2023, 14(12), 2206; https://doi.org/10.3390/genes14122206 - 13 Dec 2023
Cited by 4 | Viewed by 2468
Abstract
Protein prenylation mediated by the Arabidopsis thaliana PLURIPETALA (AtPLP) gene plays a crucial role in plant growth, development, and environmental response by adding a 15-carbon farnesyl group or one to two 20-carbon geranylgeranyl groups onto one to two cysteine residues at the C-terminus [...] Read more.
Protein prenylation mediated by the Arabidopsis thaliana PLURIPETALA (AtPLP) gene plays a crucial role in plant growth, development, and environmental response by adding a 15-carbon farnesyl group or one to two 20-carbon geranylgeranyl groups onto one to two cysteine residues at the C-terminus of the target protein. However, the homologous genes and their functions of AtPLP in rapeseed are unclear. In this study, bioinformatics analysis and gene cloning demonstrated the existence of two homologous genes of AtPLP in the Brassica napus L. genome, namely, BnPLP1 and BnPLP2. Evolutionary analysis revealed that BnPLP1 originated from the B. rapa L. genome, while BnPLP2 originated from the B. oleracea L. genome. Genetic transformation analysis revealed that the overexpression of BnPLP1 in Arabidopsis plants exhibited earlier flowering initiation, a prolonged flowering period, increased plant height, and longer main inflorescence length compared to the wild type. Contrarily, the downregulation of BnPLP1 expression in B. napus plants led to delayed flowering initiation, shortened flowering period, decreased plant height, and reduced main inflorescence length compared to the wild type. These findings indicate that the BnPLP1 gene positively regulates flowering time, plant height, and main inflorescence length. This provides a new gene for the genetic improvement of flowering time and plant architecture in rapeseed. Full article
(This article belongs to the Special Issue 5Gs in Crop Genetic and Genomic Improvement)
Show Figures

Figure 1

27 pages, 1933 KB  
Article
In Which Way Do the Flower Properties of the Specialist Orchid Goodyera repens Meet the Requirements of Its Generalist Pollinators?
by Emilia Brzosko, Andrzej Bajguz, Justyna Burzyńska and Magdalena Chmur
Int. J. Mol. Sci. 2023, 24(10), 8602; https://doi.org/10.3390/ijms24108602 - 11 May 2023
Viewed by 2394
Abstract
This article is the next part of a series of studies documenting the influence of flower traits on the reproductive success (RS) of orchids. Knowledge of factors influencing RS helps to understand the mechanisms and processes crucial for shaping plant–pollinator interactions. The aim [...] Read more.
This article is the next part of a series of studies documenting the influence of flower traits on the reproductive success (RS) of orchids. Knowledge of factors influencing RS helps to understand the mechanisms and processes crucial for shaping plant–pollinator interactions. The aim of the present study was to determine the role of flower structure and nectar composition in shaping the RS of the specialist orchid Goodyea repens, which is pollinated by generalist bumblebees. We found a high level of pollinaria removal (PR) and female reproductive success (fruiting, FRS) as well as a high level of variation between populations, although in certain populations pollination efficiency was low. Floral display traits, mainly inflorescence length, influenced FRS in certain populations. Among the flower traits, only the height of flowers was correlated with FRS in one population, suggesting that the flower structure of this orchid is well adapted to pollination by bumblebees. The nectar of G. repens is diluted and dominated by hexoses. Sugars were less important in shaping RS than amino acids. At the species level, twenty proteogenic and six non-proteogenic AAs were noted, along with their differentiated amounts and participation in particular populations. We found that distinct AAs or their groups mainly shaped PR, especially when correlations were considered at the species level. Our results suggest that both the individual nectar components and the ratios between them have an impact on G. repens RS. Because different nectar components influence the RS parameters in different ways (i.e., negatively or positively), we suggest that different Bombus species play the role of main pollinators in distinct populations. Full article
(This article belongs to the Special Issue Orchid Biochemistry)
Show Figures

Figure 1

12 pages, 913 KB  
Article
Variations in Yield, Essential Oil, and Salicylates of Filipendula ulmaria Inflorescences at Different Blooming Stages
by Kristina Ložienė, Jurga Būdienė, Urtė Vaitiekūnaitė and Izolda Pašakinskienė
Plants 2023, 12(2), 300; https://doi.org/10.3390/plants12020300 - 8 Jan 2023
Cited by 5 | Viewed by 2559
Abstract
Meadowsweet (Filipendula ulmaria) is an essential oil-bearing, pharmacologically valuable medicinal plant growing wild in floodlands that are either not usually used for agriculture or have low economic value. The aim of this work was to understand the relationship between the yield [...] Read more.
Meadowsweet (Filipendula ulmaria) is an essential oil-bearing, pharmacologically valuable medicinal plant growing wild in floodlands that are either not usually used for agriculture or have low economic value. The aim of this work was to understand the relationship between the yield of F. ulmaria inflorescences and the qualitative and quantitative composition of the essential oil during flowering stages in different habitats. Five different habitats of F. ulmaria were investigated for evaluation of inflorescence characteristics (length and weight) and the quantitative and qualitative composition of essential oils in early and late blooming stages (growing stage BBCH 62–63 and BBCH 65–67/72–73, respectively). The results showed significant (p < 0.05) positive correlations between the length and weight of inflorescences both in early and in late blooming stages (r = 0.73 and r = 0.72, respectively). The early blooming stage was observed to have 1.2–2 times greater quantity of volatile oils in comparison with the late blooming stage. Salicylaldehyde and methylsalicylate were the main salicylates in both blooming stages. Spearman’s correlation showed statistically significant relationship between percentages of salicylaldehyde and methylsalicylate (r = −0.94, p < 0.05). An increase in salicylaldehyde was accompanied by a decrease in methylsalicylate in essential oils. Statistically significant relations between the investigated parameters of plant and the parameters of habitat were not detected. The dried raw material yield of F. ulmaria in 1 ha in the late blooming stage was 18–56% higher than in the early blooming stage; however, the yield of essential oil in the early flowering stage was 1.5–1.6 times higher than in the late flowering stage. The obtained research data suggest that the low economic value of floodlands—the habitats of F. ulmaria—can be increased by using these areas as natural industrial plots. Full article
(This article belongs to the Special Issue Natural Resources of Berry and Medicinal Plants Volume II)
Show Figures

Figure 1

8 pages, 1120 KB  
Proceeding Paper
Characterization and Agronomic Evaluation of Chia Germplasm in La Plata, Buenos Aires, Argentina
by María Emilia Rodríguez, Ramiro Ignacio Lobo-Zavalía, Martín Moisés Acreche, Vanesa Castaldo, Maximiliano Pérez, Aline Schneider-Teixeira, Lorena Deladino and Vanesa Yanet Ixtaina
Biol. Life Sci. Forum 2022, 17(1), 16; https://doi.org/10.3390/blsf2022017016 - 28 Oct 2022
Viewed by 2177
Abstract
Chia (Salvia hispanica L.), an ancestral crop currently revalued for its nutritional properties, is one of the main sources of omega-3 fatty acids. It is a short-day plant and sensitive to frost. The objective of this study was to assess the possibility [...] Read more.
Chia (Salvia hispanica L.), an ancestral crop currently revalued for its nutritional properties, is one of the main sources of omega-3 fatty acids. It is a short-day plant and sensitive to frost. The objective of this study was to assess the possibility of growing chia in La Plata (Buenos Aires, Argentina) (34°54′29″ S, 58°2′25″ W) by analyzing interpopulation variability between four accessions of this species. Chia was sown on February 11 in a randomized complete block design (three replicates). Ten uniform and representative plants per plot were labeled and monitored throughout the crop cycle. Phenological stages and morphological characteristics (plant height, width of the main stem, number of pairs of folded leaves and number of pairs of side shoots, and length of central inflorescence) were recorded from seedling emergence to harvest. The emergence and the first pair of unfolded leaves were recorded 3 and 10 days after sowing, respectively. The beginning of verticillaster emergence was detected after 50 days and the beginning of flowering after 66 days of sowing. The highest growth rates were achieved in CMP and EMP. After 77 days of sowing, CMP presented the highest values for the width of the main stem (10.4 mm) and height (90.89 cm), which were statistically different from EMP. The lowest variability between populations was found for the number of pairs of unfolded leaves and side shoots. The observed variability is promising for plant breeding to obtain cultivars capable of completing their cycle at this latitude. Full article
(This article belongs to the Proceedings of IV Conference Ia ValSe-Food CYTED and VII Symposium Chia-Link)
Show Figures

Figure 1

18 pages, 3454 KB  
Article
Mentha aquatica L. Populations from the Hyrcanian Hotspot: Volatile Oil Profiles and Morphological Diversity
by Mohammad Bagher Hassanpouraghdam, Ahmad Mohammadzadeh, Mohammad Reza Morshedloo, Mohammad Asadi, Farzad Rasouli, Lamia Vojodi Mehrabani and Agnieszka Najda
Agronomy 2022, 12(10), 2277; https://doi.org/10.3390/agronomy12102277 - 23 Sep 2022
Cited by 11 | Viewed by 2748
Abstract
Mentha aquatica L. (Lamiaceae) is found in different parts of Iran. Its essential oil and preparations regulate bile function and are used as a stomach tonic and disinfectant. This study investigates the morphological and essential oil diversity of M. aquatica populations from the [...] Read more.
Mentha aquatica L. (Lamiaceae) is found in different parts of Iran. Its essential oil and preparations regulate bile function and are used as a stomach tonic and disinfectant. This study investigates the morphological and essential oil diversity of M. aquatica populations from the Hyrcanian hotspot of Iran. Plant samples were collected from Gilan, Golestan, and Mazandaran provinces in the Caspian Region for analysis. The results showed significant differences among the studied ecotypes for the stem diameter, collar diameter, number of inflorescences, length and width of inflorescence, sepal diameter, sepal length, and secondary stem length number. Principal component analysis showed that the first seven principal components explained 90.6% of the total variation. Moreover, essential oil concentration varied widely from 1.13% for a sample from Behshahr-Mazandaran, down to 0.27% for one from Abbas abad-Mazandaran. GC–MS analysis identified 29 constituents that accounted for 91% of the total essential oil. The main components of the essential oil were menthofuran (13.21–52.46%), 1,8-cineole (12.42–25.55%), (E)-caryophyllene (3.18–15.43%), viridiflorol (1.04–11.16%), germacrene D (1.70–8.29%), caryophyllene oxide (0.51–4.96%), neryl acetate (1.11–4.95%), p-cymene (1.55–4.77%), and β-pinene (1.7–3.45%). Overall, meaningful diversity was recorded among the populations; Rahimabad-Gilan and Behshahr-Mazandaran would be reliable selections for the food and pharmaceutical industries due to their higher yields and content of α-pinene, 1, 8-cineole, menthofuran, viridiflorol, and β-caryophyllene. Further evaluation of populations from diverse habitats is needed to guide future breeding programs. Full article
(This article belongs to the Special Issue Chemical Diversity, Yield and Quality of Aromatic Plant)
Show Figures

Figure 1

14 pages, 3011 KB  
Article
BnKAT2 Positively Regulates the Main Inflorescence Length and Silique Number in Brassica napus by Regulating the Auxin and Cytokinin Signaling Pathways
by Dashuang Yuan, Yin Zhang, Zhen Wang, Cunmin Qu, Dongming Zhu, Huafang Wan and Ying Liang
Plants 2022, 11(13), 1679; https://doi.org/10.3390/plants11131679 - 24 Jun 2022
Cited by 7 | Viewed by 2573
Abstract
Brassica napus is the dominant oil crop cultivated in China for its high quality and high yield. The length of the main inflorescence and the number of siliques produced are important traits contributing to rapeseed yield. Therefore, studying genes related to main inflorescence [...] Read more.
Brassica napus is the dominant oil crop cultivated in China for its high quality and high yield. The length of the main inflorescence and the number of siliques produced are important traits contributing to rapeseed yield. Therefore, studying genes related to main inflorescence and silique number is beneficial to increase rapeseed yield. Herein, we focused on the effects of BnKAT2 on the main inflorescence length and silique number in B. napus. We explored the mechanism of BnKAT2 increasing the effective length of main inflorescence and the number of siliques through bioinformatics analysis, transgenic technology, and transcriptome sequencing analysis. The full BnKAT2(BnaA01g09060D) sequence is 3674 bp, while its open reading frame is 2055 bp, and the encoded protein comprises 684 amino acids. BnKAT2 is predicted to possess two structural domains, namely KHA and CNMP-binding domains. The overexpression of BnKAT2 effectively increased the length of the main inflorescence and the number of siliques in B. napus, as well as in transgenic Arabidopsis thaliana. The type-A Arabidopsis response regulator (A-ARR), negative regulators of the cytokinin, are downregulated in the BnKAT2-overexpressing lines. The Aux/IAA, key genes in auxin signaling pathways, are downregulated in the BnKAT2-overexpressing lines. These results indicate that BnKAT2 might regulate the effective length of the main inflorescence and the number of siliques through the auxin and cytokinin signaling pathways. Our study provides a new potential function gene responsible for improvement of main inflorescence length and silique number, as well as a candidate gene for developing markers used in MAS (marker-assisted selection) breeding to improve rapeseed yield. Full article
(This article belongs to the Special Issue Development and Genetic Improvement in Brassica Crops)
Show Figures

Figure 1

15 pages, 1844 KB  
Article
Stachys lavandulifolia Populations: Volatile Oil Profile and Morphological Diversity
by Mohammad Bagher Hassanpouraghdam, Yadeghar Salimi, Mohammad Reza Morshedloo, Mohammad Asadi, Farzad Rasouli, Sezai Ercisli, Hafize Fidan, Crina Carmen Muresan and Romina Alina Marc
Agronomy 2022, 12(6), 1430; https://doi.org/10.3390/agronomy12061430 - 14 Jun 2022
Cited by 8 | Viewed by 3429
Abstract
The morphological and essential oil diversity of Stachys lavandulifolia populations from the west and northwest of Iran were evaluated. The results showed a significant difference between the populations for nearly all the evaluated traits. The broadest variation ranges were recorded for the auxiliary [...] Read more.
The morphological and essential oil diversity of Stachys lavandulifolia populations from the west and northwest of Iran were evaluated. The results showed a significant difference between the populations for nearly all the evaluated traits. The broadest variation ranges were recorded for the auxiliary shoot length, leaf length in the main branch, and the number of flowers in the inflorescences. Furthermore, cluster analysis divided 13 populations into four separate groups. GC/MS analysis verified the presence of 28 components comprising up to 94/4% of the oils. The dominant constituents were α-pinene (1.07–34.87%), (E)-caryophyllene (0.45–25.99%), germacrene D (3.36–20.61%), Δ-cadinene (2.82–19.90%), bicyclogermacrene (1.72–12.08%) α-terpineol (0–11.86%), α-muurolol (0.31–11.50%), p-cymene (0.67–9.67%), β-elemene (0.63–9.31%), and sabinene (0.32–6.29%). The results revealed that natural habitats and the related geo-climatological cues influenced morphological traits and oil composition. Considering the substantial environmental variations and the broad diversity, there would be a rich selection pool for the traits of interest. The populations are a step forward in the breeding programs for the highlighted essential oil constituents needed by the pharmaceutical and related industries. Furthermore, with the future comparative study of the populations from all Iranian territories and the neighboring countries, we will have a realistic idea of the coming conservational and exploitation programs. Full article
(This article belongs to the Special Issue Chemical Diversity, Yield and Quality of Aromatic Plant)
Show Figures

Figure 1

19 pages, 6778 KB  
Article
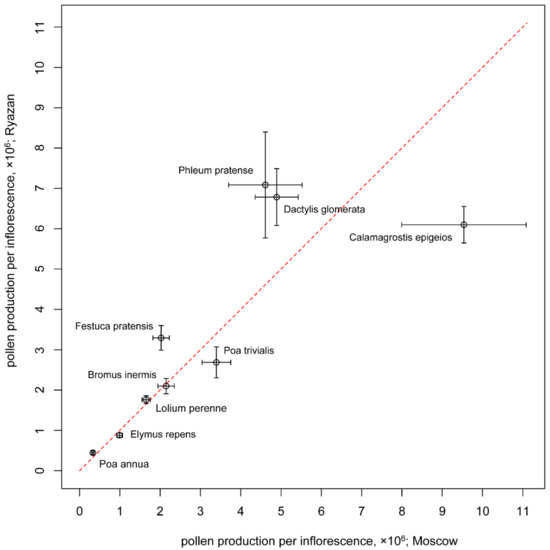
Pollen Production of Selected Grass Species in Russia and India at the Levels of Anther, Flower and Inflorescence
by Elena Severova, Yury Kopylov-Guskov, Yulia Selezneva, Vera Karaseva, Shrirang R. Yadav and Dmitry Sokoloff
Plants 2022, 11(3), 285; https://doi.org/10.3390/plants11030285 - 21 Jan 2022
Cited by 12 | Viewed by 4682
Abstract
Grasses produce large amounts of pollen and are among the main causes of pollen allergy worldwide. Quantification of the roles of individual grass species in airborne pollen is an important task, because morphologically indistinguishable pollen grains of different species may differ in allergenicity. [...] Read more.
Grasses produce large amounts of pollen and are among the main causes of pollen allergy worldwide. Quantification of the roles of individual grass species in airborne pollen is an important task, because morphologically indistinguishable pollen grains of different species may differ in allergenicity. This requires knowledge of the pollen production of individual grass species; however, accumulated data are insufficient in this respect. Attempting to fill this gap, we studied pollen production per inflorescence in 29 grass species which are widespread in Middle Russia and India. Pollen production per inflorescence is determined by the number of grains per anther, the number of flowers in a spikelet and the number of spikelets per inflorescence, with the latter parameter being the most variable. We support the hypothesis that pollen production per inflorescence differs significantly between annual and perennial grasses. The greater pollen production of perennials can be interpreted as a tendency to guarantee cross-fertilization of species with self-incompatibility. The inferred pollen/ovule (P/O) ratios suggest the occurrence of facultative xenogamy in all annuals and obligate xenogamy in most perennials in the present dataset, though some self-incompatible annuals exist outside our sampling. Earlier data indicated that the P/O ratio of the annual cereal crop rye (Secale cereale) is higher than in any annual or perennial species sampled here. A ratio of pollen production to seed set (P/S ratio) is suggested to be another efficient parameter in reproductive biology of grasses. We highlight a need for detailed studies of reproductive biology in grasses that include both pollen and seed production. We found a correlation between pollen production per anther and anther length. A rough approximation of c. 1000 pollen grains per 1 mm of the length of an anther provides an instrument for estimates of pollen production in plant communities. Full article
(This article belongs to the Section Plant Development and Morphogenesis)
Show Figures

Figure 1

15 pages, 695 KB  
Article
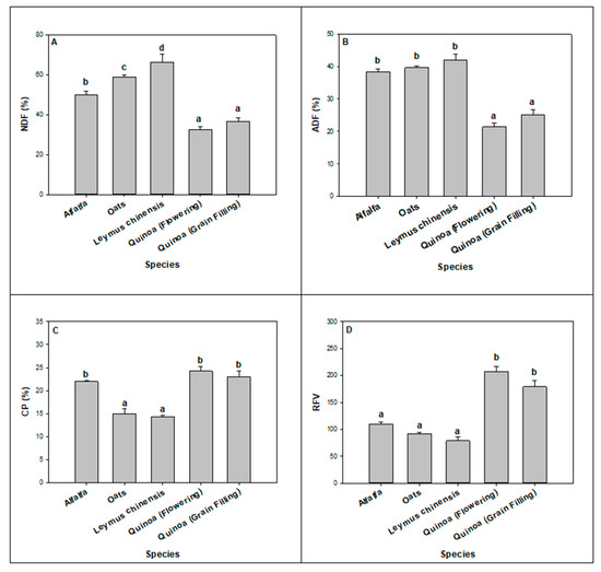
Yield, Agronomic and Forage Quality Traits of Different Quinoa (Chenopodium quinoa Willd.) Genotypes in Northeast China
by Syed Sadaqat Shah, Lianxuan Shi, Zhijian Li, Guixing Ren, Bangwei Zhou and Peiyou Qin
Agronomy 2020, 10(12), 1908; https://doi.org/10.3390/agronomy10121908 - 2 Dec 2020
Cited by 28 | Viewed by 5135
Abstract
Quinoa (Chenopodium quinoa Willd.) grain is well known as a source of nutritious human food, but the nutritional properties of quinoa as animal fodder has not been well explored. Fifteen quinoa accessions were assessed for grain and forage yields, and morphological and [...] Read more.
Quinoa (Chenopodium quinoa Willd.) grain is well known as a source of nutritious human food, but the nutritional properties of quinoa as animal fodder has not been well explored. Fifteen quinoa accessions were assessed for grain and forage yields, and morphological and quality traits during anthesis and grain filling, with the aim of selecting superior genotypes for greater production and quality traits that are well adapted to northeastern China. Variations were significant among the tested genotypes for all traits. The highest grain weight was recorded in Rainbow (27.51 g plant−1), followed by the local Chinese genotypes Longli 3, YY28 and Mengli 1. Correlation analysis revealed a significant positive association of grain yield with branches and a negative association with culm thickness and inflorescence length, whereas more branches and moderate plant height were the main yield components affecting yield. Forage shoot weight was 37.2–81.6 g plant−1, with JQ3 and ZQ1 exhibiting the highest yields. Forage yield was strongly and positively correlated with most of the morphological traits, except plant height, and was negatively associated with chlorophyll content and the fresh/dry matter ratio. Quality traits and the neutral detergent fiber (NDF) and acid detergent fiber (ADF) contents of quinoa were significantly lower than alfalfa (Medicago sativa L.), oats (Avena sativa L.) or Leymus chinensis (Trin.) Tzvel, and the crude protein (CP) content was significantly higher than all three species, reaching above 20%. The saponin content of the whole plant was higher during anthesis than during grain filling. In conclusion, genotypes having more branches and shorter and more compact main inflorescences achieved higher grain yields, whereas genotypes possessing thick stems, more branches and moderate plant height produced more forage. Hence, the results indicate that superior quinoa genotypes have great potential to solve fodder shortages in China. Full article
(This article belongs to the Section Grassland and Pasture Science)
Show Figures

Figure 1

13 pages, 459 KB  
Article
Potential Role of Lolium multiflorum Lam. in the Management of Rice Weeds
by Sara Vitalini, Francesca Orlando, Valentina Vaglia, Stefano Bocchi and Marcello Iriti
Plants 2020, 9(3), 324; https://doi.org/10.3390/plants9030324 - 4 Mar 2020
Cited by 14 | Viewed by 3566
Abstract
The phytotoxic relationships between crops and weeds can cover a role in weed management, reducing the use of chemical herbicides. Starting from the organic farmers’ experience, the study aimed to define the inhibitory action of Lolium multiflorum Lam., used as a cover crop [...] Read more.
The phytotoxic relationships between crops and weeds can cover a role in weed management, reducing the use of chemical herbicides. Starting from the organic farmers’ experience, the study aimed to define the inhibitory action of Lolium multiflorum Lam., used as a cover crop before rice sowing, against Echinochloa oryzoides (Ard.) Fritsch, one of the main rice weeds. In vitro 7-day assays were carried out in Petri dishes to compare the effect of different L. multiflorum Lam. parts, in the form of aqueous extract or powder, on the seed germination and seedling growth of Oryza sativa L. and E. oryzoides and to verify the hypothesis of a higher susceptibility of the weed. The total polyphenolic content, as the potential source of allelochemicals, in the L. multiflorum parts was measured. The results showed that both species suffer the phytotoxic action of L. multiflorum, but a more marked effect against E. oryzoides was recorded. In according with the polyphenol quantities, stem and inflorescence extracts showed the more significant species-specific inhibition. In all assays, the weed showed a stronger reduction in the root length and seedling vigor index, and, in some cases, also in the germination percentage and shoot length compared to rice. Full article
(This article belongs to the Special Issue Pesticidal Plants: From Smallholder Use to Commercialisation)
Show Figures

Figure 1

Back to TopTop