Mentha aquatica L. Populations from the Hyrcanian Hotspot: Volatile Oil Profiles and Morphological Diversity
Abstract
:1. Introduction
2. Materials and Methods
2.1. Plant Material
2.2. Morphological Trait Analysis
2.3. Phytochemical Analysis
2.3.1. Essential Oil (EO) Extraction
2.3.2. GC–MS Analysis
2.4. Statistical Analysis
3. Results
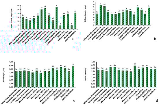
3.1. Morphological Trait Diversity
3.2. Essential Oil Concentration (EOC)
3.3. Correlations between Morphological Traits
3.4. Essential Oil Constituents
3.5. Cluster Analysis for Morphological Traits
3.6. Cluster Analysis for Essential Oil Constituents
3.7. Principal Component Analysis (PCA) of Morphological Traits
3.8. PCA for Essential Oil Constituents
4. Discussion
5. Conclusions
Author Contributions
Funding
Institutional Review Board Statement
Informed Consent Statement
Data Availability Statement
Conflicts of Interest
References
- Fierascu, R.; Fierascu, I.; Baroi, A.; Ortan, A. Selected aspects related to medicinal and aromatic plants as alternative sources of bioactive compounds. Int. J. Mol. Sci. 2021, 22, 1521. [Google Scholar] [CrossRef]
- Coimbra, A.; Ferreira, S.; Duarte, A.P. Biological properties of Thymus zygis essential oil with emphasis on antimicrobial activity and food application. Food Chem. 2022, 393, 133370. [Google Scholar] [CrossRef] [PubMed]
- Wang, Z.; Cheng, Y.; Zeng, M.; Wang, Z.; Qin, F.; Wang, Y.; He, Z. Lotus (Nelumbo nucifera Gaertn.) leaf: A narrative review of its Phytoconstituents, health benefits and food industry applications. Trends Food Sci. Technol. 2021, 112, 631–650. [Google Scholar] [CrossRef]
- Djamila, B.; Zohra, K.F.; Lahcene, K.; Zohra, R.F. Drying methods affect the extracts and essential oil of Mentha aquatica L. Food Biosci. 2021, 41, 101007. [Google Scholar] [CrossRef]
- Anwar, F.; Abbas, A.; Mehmood, T.; Gilani, A.H.; Rehman, N.U. Mentha: A genus rich in vital nutra-pharmaceuticals—A review. Phytother. Res. 2019, 33, 2548–2570. [Google Scholar] [CrossRef]
- Salehi, B.; Stojanović-Radić, Z.; Matejić, J.; Sharopov, F.; Antolak, H.; Kręgiel, D.; Sharifi-Rad, J. Plants of genus Mentha: From farm to food factory. Plants 2018, 7, 70. [Google Scholar] [CrossRef]
- Moetamedipoor, S.A.; Saharkhiz, M.J.; Khosravi, A.R.; Jowkar, A. Essential oil chemical diversity of Iranian mints. Ind. Crops Prod. 2021, 172, 114039. [Google Scholar] [CrossRef]
- Hughes, A.R.; Inouye, B.D.; Johnson, M.T.; Underwood, N.; Vellend, M. Ecological consequences of genetic diversity. Ecol. Lett. 2008, 11, 609–623. [Google Scholar] [CrossRef] [PubMed]
- Babalar, M.; Khoshsokhan, F.; Fattahi Moghaddam, M.R.; Pourmeidani, A. An evaluation of the morphological diversity and oil content in some populations of Thymus kotschyanus Boiss. & Hohen. Int. J. Hortic. Sci. Technol. 2013, 44, 119–128. [Google Scholar]
- Navabpour, S.; Yamchi, A.; Golcheshmeh, S. Assessment of genetic diversity between different accessions of calotropis procera with ISSR molecular markers. Plant Gene Res. 2021, 8, 17–28. [Google Scholar] [CrossRef]
- Hoban, S.; Archer, F.I.; Bertola, L.D.; Bragg, J.G.; Breed, M.F.; Bruford, M.W.; Hunter, M.E. Global genetic diversity status and trends: Towards a suite of Essential Biodiversity Variables (EBVs) for genetic composition. Biol. Rev. 2022, 97, 1511–1538. [Google Scholar] [CrossRef] [PubMed]
- Kim, M.; Sowndhararajan, K.; Kim, S. The Chemical Composition and Biological Activities of Essential Oil from Korean Native Thyme Bak-Ri-Hyang (Thymus quinquecostatus Celak.). Molecules 2022, 27, 4251. [Google Scholar] [CrossRef] [PubMed]
- Moshrefi-Araghi, A.; Nemati, H.; Azizi, M.; Moshtaghi, N.; Shoor, M. Association of Genetic Structure and Diversity in Iranian Wild Germplasms of Mentha longifolia L. Based on Phenotypical, Biochemical, and Molecular Markers. Chem. Biodivers. 2021, 18, 2001044. [Google Scholar] [CrossRef] [PubMed]
- Afkar, S. Evaluation of morphological traits and anti-microbial activity of local ecotypes of Mentha longifolia in Lorestan, Iran. Iran. J. Rangel. For. Plant Breed. Genet. Res. 2021, 29, 96–107. [Google Scholar]
- Esmaeili, A.; Rustaiyan, A.; Masoudi, S.; Nadji, K. Composition of the essential oils of Mentha aquatica L. and Nepeta meyeri Benth. From Iran. J. Essen. Oil Res. 2006, 18, 263–265. [Google Scholar] [CrossRef]
- Jamzad, Z. A survey of Lamiaceae in the flora of Iran. Rostaniha 2013, 14, 59–67. [Google Scholar]
- Morshedloo, M.R.; Craker, L.E.; Salami, A.; Nazeri, V.; Sang, H.; Maggi, F. Effect of prolonged water stress on essential oilcontent, compositions and gene expression patterns of mono-and sesquiterpene synthesis in two oregano (Origanum vulgare L.) Subspecies. Plant Physiol. Biochem. 2017, 111, 119–128. [Google Scholar] [CrossRef]
- Morshedloo, M.R.; Maggi, F.; Neko, H.T.; Aghdam, M.S. Sumac (Rhus coriaria L.) fruit: Essential oil variability in Iranian popu-lations. Ind. Crops Prod. 2018, 111, 1–7. [Google Scholar] [CrossRef]
- Soilhi, Z.; Sayari, N.; Benalouache, N.; Mekki, M. Predicting current and future distributions of Mentha pulegium L. in Tunisia under climate change conditions, using the MaxEnt model. Ecol. Inform. 2022, 1, 101533. [Google Scholar] [CrossRef]
- Abbaszadeh, B.; Rezaei, M.B.; Laygh haghighi, M. Investigating the morphological characteristics and compounds of the essential oil of 2 ecotypes of Mentha aquatica L. J. Med. Plant. 2011, 11, 248–257. [Google Scholar]
- Mazandarani, M.; Rezaei, M.B.; Asadi, M. Morphological changes of Mentha longifolia L. species at different altitudes from 1000 to 2250 meters, Gorgan region. In Abstract of Articles of the National Conference of Iranian Medicinal Plants, 1st ed.; Gorgan University: Gorgan, Iran, 2001; p. 262. [Google Scholar]
- Andi, S.A.; Maskani, F. Essential oil chemical diversity of twenty Iranian Origanum vulgare L. subsp. viride populations. Biochem. Syst. Ecol. 2021, 98, 104323. [Google Scholar] [CrossRef]
- Binava, S.; Yavari, A.; Shokrpour, M. Study on morphological variation of Salvia mirzayanii natural populations. Iran. J. Rangel. For. Plant Breed. Genet. Res. 2021, 29, 79–95. [Google Scholar] [CrossRef]
- Biswas, P.; Nandy, S.; Dey, A.; Tikendra, L.; Nongdam, P. Molecular markers in assessing genetic clonal fidelity for In Vitro propagated endangered medicinal plants. In Molecular Genetics and Genomics Tools in Biodiversity Conservation; Springer: Singapore, 2022; pp. 97–149. [Google Scholar] [CrossRef]
- Rajeswara Rao, B.R.; Sastry, K.P.; Prakasa Rao, E.V.; Ramesh, S.I. Variation in yields and quality of geranium (Pelargonium graveolens L’Hér. ex Aiton) under varied climatic and fertility conditions. J. Essent. Oil Res. 1990, 2, 73–79. [Google Scholar] [CrossRef]
- Hassanpouraghdam, M.B.; Salimi, Y.; Morshedloo, M.R.; Asadi, M.; Rasouli, F.; Ercisli, S.; Fidan, H.; Muresan, C.C.; Marc, R.A. Stachys lavandulifolia Populations: Volatile Oil Profile and Morphological Diversity. Agronomy 2022, 12, 1430. [Google Scholar] [CrossRef]
- Guo, Q.; Liu, J.; Li, J.; Cao, S.; Zhang, Z.; Zhang, J.; Li, Y. Genetic diversity and core collection extraction of Robinia pseudoacacia L. germplasm resources based on phenotype, physiology, and genotyping markers. Ind. Crops Prod. 2022, 178, 114627. [Google Scholar] [CrossRef]
- Bozin, B.; Mimica-Dukic, N.; Anackov, G.; Zlatkovic, B.; Igic, R. Variability of content and composition of Mentha aquatica L.(Lamiaceae) essential oil in different phenophases. J. Essent. Oil Bear. Plants 2006, 9, 223–229. [Google Scholar] [CrossRef]
- Mohammadi, S.; Azizi, M.; Vaezi, J.; Taghizadeh, S.F. Gynodioecy in two Iranian endemic thymes: The comparative study on their volatile compounds, cytological and morphological traits. Acta Physiol. Plant 2021, 43, 128. [Google Scholar] [CrossRef]
- Ebadi, A.; Morshedloo, M.; Fatahi Moghaddam, M.; Yazdani, D. Evaluation of Some Population of Hypericum perforatum L. Using Agro-Morphological Traits and Most Components of Essential Oil. Plant Prod. 2012, 3, 1–14. [Google Scholar]
- Karimi, E.; Ghasemnezhad, A.; Hadian, J.; Ghorbanpour, M. Assessment of essential oil constituents and main agro-morphological variability in Satureja mutica populations. Braz. J. Bot. 2016, 39, 77–85. [Google Scholar] [CrossRef]









| No | Region | Sample Code | Longitude (N) | Latitude (E) | Elevation (m asl) | Average Annual Rainfall (mm) | Average Annual Temperature (°C) | Average Annual Relative Humidity |
|---|---|---|---|---|---|---|---|---|
| 1 | Abbas abad-Mazandaran | AA.M | 51°05′43.2″ | 36°43′51.8″ | −14 | 1125 | 18 | 80 |
| 2 | Savadkuh-Mazandaran | AS.M | 52°54′22.30″ | 36°05′10.0″ | 934 | 532 | 11.1 | 67 |
| 3 | Behshahr-Mazandaran | ABh.M | 53°35′43.95″ | 36°39′52.55″ | 370 | 630 | 17.5 | 75 |
| 4 | Chalous-Mazandaran | CH.M | 51°23′00.40″ | 36°36′16.00″ | 130 | 630 | 17.67 | 78 |
| 5 | Aliabad Katol-Golestan | FAA.G | 54°48′57.9″ | 36°44′59.7″ | 855 | 714 | 17.7 | 75 |
| 6 | Fouman 1-Gilan | FM.G1 | 49°14′06.6″ | 37°12′34.79″ | 117 | 1023 | 15.91 | 74 |
| 7 | Fouman 2-Gilan | FM.G2 | 49°11′54.1″ | 37°11′42.8″ | 133 | 1023 | 15.8 | 78 |
| 8 | Fouman 3-Gilan | FM.G3 | 49°10′53.7″ | 37°11′09.8″ | 169 | 1030 | 15.6 | 79 |
| 9 | Fouman 4-Gilan | FM.G4 | 49°09′01.8″ | 37°10′41.8″ | 209 | 1040 | 15.2 | 80 |
| 10 | Ramsar-Mazandaran | JR.M | 50°39′33.6″ | 36°49′8.2″ | 741 | 775 | 17.3 | 80 |
| 11 | Kelardasht-Mazandaran | KD.M | 51°09′30.5″ | 36°34′26.50″ | 1053 | 589 | 13.4 | 55 |
| 12 | Niloo-Gilan | NR.G | 50°14′40.3″ | 36°53′49.00″ | 616 | 926 | 15.1 | 73 |
| 13 | Rahim abad-Gilan | RA.G | 50°18′07.7″ | 37°00′12.00″ | 102 | 870 | 15.8 | 80 |
| 14 | Rudsar-Gilan | RS.G | 50°18′32.6″ | 37°07′21.8″ | −14 | 823 | 16.6 | 80 |
| 15 | Amol-Mazandaran | ZA.M | 52°21′34.5″ | 36°19′46.30″ | 311 | 671 | 17.5 | 78 |
| Trait | Ecotypes | Error | % CV |
|---|---|---|---|
| Plant height | 543.00 * | 167.00 | 18.47 |
| Plant width | 408.00 * | 69.00 | 21.27 |
| Plant length/width ratio | 0.62 * | 0.19 | 18.17 |
| Stem diameter | 0.01 * | 0.02 | 16.48 |
| Internode length | 1.64 ** | 1.35 | 18.38 |
| Branches number | 25.42 * | 4.90 | 21.49 |
| Lateral branch length | 613.64 * | 82.41 | 27.74 |
| Collar diameter | 2.16 ** | 0.11 | 6.32 |
| Leaf length | 0.47 * | 0.83 | 19.76 |
| Leaf width | 0.003 * | 0.001 | 10.05 |
| Inflorescence length | 0.04 ** | 0.005 | 12.67 |
| Inflorescence width | 0.08 ** | 0.002 | 14.47 |
| Flowers number in inflorescence | 0.04 * | 0.019 | 9.46 |
| Corolla length | 0.83 * | 0.39 | 12.47 |
| Corolla width | 0.40 * | 0.12 | 13.34 |
| Calyx width | 1.61 ** | 0.09 | 10.44 |
| Calyx length | 0.08 * | 0.034 | 18.25 |
| Leaf length/width ratio | 0.06 * | 0.132 | 21.98 |
| Leaf width in lateral branches | 0.15 * | 0.108 | 12.41 |
| Leaf length in lateral branches | 0.08 * | 0.032 | 12.26 |
| Inflorescences number | 352.00 ** | 6.50 | 16.33 |
| Plant dry weight | 342.00 ** | 27.50 | 12.45 |
| NO | Compound | RI | Abbas abad-Mazandaran | Savadkuh-Mazandaran | Behshahr-Mazandaran | Chalous-Mazandaran | Aliabad Katol-Golestan | Fouman 1-Gilan | Fouman 2-Gilan | Fouman 3-Gilan | Fouman 4-Gilan | Ramsar-Mazandaran | Kelardasht-Mazandaran | Niloo-Gilan | Rahim abad-Gilan | Rudsar-Gilan | Amol-Mazandaran |
|---|---|---|---|---|---|---|---|---|---|---|---|---|---|---|---|---|---|
| 1 | α-Pinene | 932 | 1.72 | 0.90 | 1.58 | 1.68 | 1.35 | 1.91 | 1.80 | 0.76 | 1.74 | 1.70 | 1.26 | 1.49 | 1.91 | 1.23 | 1.68 |
| 2 | Sabinene | 969 | 1.37 | 0.69 | 1.26 | 1.30 | 1.35 | 1.22 | 1.58 | 0.79 | 1.00 | 1.12 | 1.12 | 1.24 | 1.49 | 0.59 | 0.97 |
| 3 | β-Pinene | 974 | 3.06 | 1.70 | 2.91 | 3.42 | 2.54 | 2.89 | 2.89 | 1.85 | 3.03 | 2.87 | 2.45 | 2.77 | 3.45 | 1.70 | 2.59 |
| 4 | β-Myrcene | 988 | 0.99 | 0.23 | 1.50 | 1.04 | - | - | 0.95 | 0.79 | 1.18 | 0.78 | 1.05 | 0.96 | 0.84 | 0.41 | 1.00 |
| 5 | n-Decane | 1000 | 1.82 | 2.08 | 2.01 | 2.06 | 2.75 | 2.21 | 2.21 | 1.54 | 2.63 | 2.18 | 2.05 | 1.91 | 1.86 | 2.57 | 2.21 |
| 6 | p-Cymene | 1022 | 1.74 | 2.09 | 4.77 | 1.94 | 2.86 | 4.60 | 4.60 | 1.55 | 3.11 | 2.98 | 3.16 | 3.17 | 2.16 | 2.49 | 3.83 |
| 7 | 1,8-Cineole | 1026 | 22.55 | 13.85 | 23.09 | 25.69 | 17.64 | 21.11 | 21.11 | 14.86 | 21.19 | 21.42 | 18.12 | 19.8 | 26.1 | 12.42 | 18.57 |
| 8 | (Z)-β-Ocimene | 1032 | - | - | 0.6 | - | - | - | - | - | - | - | - | - | - | - | - |
| 9 | cis-Sabinene hydrate | 1065 | - | - | - | 0.22 | - | 0.18 | 0.18 | 0.19 | 0.25 | - | - | 0.16 | 0.18 | 0.29 | 0.31 |
| 10 | Terpinolene | 1086 | 0.31 | 0.55 | 0.53 | 0.34 | 0.5 | 0.43 | 0.43 | 0.23 | 0.47 | 0.48 | 0.38 | 0.35 | 0.38 | 0.68 | 0.72 |
| 11 | Linalool | 1095 | 0.46 | 0 | 0.16 | 0.22 | - | - | - | 0.23 | - | 0.32 | 0.32 | 0.4 | - | 0.56 | 0.29 |
| 12 | Menthofuran | 1159 | 19.88 | 52.46 | 39.85 | 21.81 | 42.38 | 28.14 | 28.14 | 13.21 | 33.25 | 33.87 | 46.34 | 43.54 | 36.9 | 18.61 | 38.93 |
| 13 | Menthol | 1167 | 2.80 | 0 | 0 | 1.73 | 0.48 | 1.4 | 1.40 | 0.97 | 1.04 | 0.57 | 0.64 | 0.83 | 0.23 | 1.95 | 0.61 |
| 14 | Terpinen-4-ol | 1174 | 0.39 | 0.23 | 0.26 | 0.42 | 0 | 0.38 | 0.38 | 0.36 | 0.32 | 0.43 | 0.35 | 0.32 | 0.24 | 0.26 | 0.28 |
| 15 | α-Terpineol | 1186 | - | 0.20 | 0.25 | - | - | - | - | 0.25 | - | 0 | 0.22 | - | - | - | - |
| 16 | Nerol | 1227 | - | 0.34 | - | - | - | - | - | 0.93 | - | 0.68 | 0.30 | - | 0.27 | - | 0.31 |
| 17 | Carvone | 1239 | - | - | - | - | - | - | - | - | - | 0.17 | - | - | - | - | - |
| 18 | Linalyl acetate | 1258 | - | - | - | - | - | - | - | 0.16 | - | - | - | - | - | - | - |
| 19 | Lavandulyl acetate | 1288 | 2.18 | - | 0.28 | 0.86 | - | - | - | 1.55 | 0.46 | 0.56 | 0.31 | 0.44 | 0.57 | 3.06 | 0.66 |
| 20 | Menthyl acetate | 1294 | 1.20 | - | - | - | - | - | - | 0.44 | - | 0.21 | 0.18 | 0.51 | - | 1.54 | 0.23 |
| 21 | Neryl acetate | 1361 | 1.01 | 4.52 | 1.12 | 2.21 | 2.5 | 0.65 | 0.65 | 4.95 | 2.17 | 2.58 | 2.71 | 1.78 | 1.49 | 1.11 | 2.3 |
| 22 | Geranyl acetate | 1381 | 0.89 | 0.31 | 0.25 | 0.59 | 0.39 | 0.49 | 0.49 | 0.70 | 0.37 | 0.27 | 0.2 | 0.28 | 0.18 | 0.80 | - |
| 23 | (E)-Caryophyllene | 1417 | 7.72 | 5.12 | 5.35 | 9.75 | 8.33 | 8.46 | 8.46 | 13.46 | 8.26 | 4.29 | 3.18 | 5.09 | 4.87 | 15.43 | 9.03 |
| 24 | α-Humulene | 1452 | 0.85 | 0.36 | - | 1.29 | 0.67 | 0.93 | 0.93 | 2.06 | 1.17 | 0.63 | 0.36 | 0.53 | 0.40 | 2.41 | 0.61 |
| 25 | trans-β-Farnesene | 1456 | 0.22 | - | - | - | - | - | - | 0.23 | - | - | - | - | - | - | - |
| 26 | Germacrene D | 1484 | 8.29 | 2.02 | 3.67 | 5.23 | 3.29 | 7.67 | 7.67 | 4.41 | 4.20 | 1.81 | 1.78 | 2.44 | 2.12 | 7.76 | 1.7 |
| 27 | Elemol | 1548 | - | 0.84 | - | - | - | 0.36 | - | 1.85 | - | - | 0.41 | - | - | 0.32 | 0.42 |
| 28 | Caryophyllene oxide | 1582 | 1.02 | 1.33 | 0.51 | 1.62 | 1.50 | 0.53 | 0.53 | 4.96 | 1.18 | 1.86 | 0.98 | 0.63 | 0.78 | 2.31 | 2.08 |
| 29 | Viridiflorol | 1592 | 8.90 | 1.04 | 2.05 | 6.81 | 2.80 | 2.45 | 2.45 | 11.16 | 2.16 | 3.8 | 1.98 | 2.16 | 2.47 | 7.66 | 0.79 |
| Total | 89.37 | 90.86 | 92 | 90.23 | 91.33 | 86.01 | 86.85 | 84.44 | 89.18 | 85.58 | 89.85 | 90.8 | 88.89 | 86.16 | 90.12 |
| Factor | Eigenvalues | Changes (%) | Cumulative Percentage of Changes |
|---|---|---|---|
| 1 | 6.88 | 31.31 | 31.31 |
| 2 | 3.75 | 17.06 | 48.37 |
| 3 | 2.58 | 11.73 | 60.11 |
| 4 | 2.19 | 9.96 | 70.08 |
| 5 | 1.85 | 8.44 | 78.52 |
| 6 | 1.44 | 6.55 | 85.07 |
| 7 | 1.21 | 5.52 | 90.60 |
| Component | |||||||
|---|---|---|---|---|---|---|---|
| PCA 1 | PCA 2 | PCA 3 | PCA 4 | PCA 5 | PCA 6 | PCA 7 | |
| Plant height | 0.713 | −0.333 | 0.91 | −0.065 | 0.395 | 0.167 | 0.254 |
| Plant width | 0.860 | −0.220 | −0.261 | 0.223 | 0.089 | 0.229 | −0.109 |
| Plant length/width ratio | −0.703 | −0.066 | 0.443 | −0.220 | 0.309 | −0.202 | 0.290 |
| Stem diameter | 0.499 | 0.400 | 0.281 | 0. 108 | −0.448 | 0.410 | 0.197 |
| Internode length | 0.174 | −0.608 | −0.100 | −0.016 | 0.358 | 0.262 | 0.418 |
| Number of branches | 0.865 | 0.053 | −0.285 | 0.139 | 0.050 | −0.250 | −0.108 |
| Lateral branch length | 0.711 | −0.232 | −0.327 | −0.140 | 0.303 | 0.335 | −0.201 |
| Collar diameter | 0.410 | 0.018 | 0.514 | 0.422 | −0.377 | 0.074 | 0.009 |
| Leaf length in sub-branch | 0.457 | −0.093 | 0.224 | 0.768 | 0.258 | −0.137 | −0.068 |
| Leaf width in sub-branch | 0.355 | 0.509 | −0.464 | 0.362 | 0.370 | −0.227 | −0.187 |
| Leaf length/width ratio | 0.165 | −0.465 | 0.601 | 0.460 | 0.014 | 0.116 | 0.008 |
| Leaf length in lateral branches | 0.423 | −0.552 | −0.177 | −0.243 | 0.228 | −0.401 | 0.410 |
| Leaf width in lateral branches | 0.540 | −0.588 | −0.219 | 0.276 | −0.373 | −0.164 | 0.142 |
| Inflorescence number | 0.640 | 0.473 | 0.420 | −0.012 | 0.118 | −0.231 | 0.155 |
| Inflorescence length | 0.782 | 0.385 | −0.004 | −0.358 | −0.063 | 0.056 | −0.041 |
| Inflorescence width | 0.742 | 0.096 | 0.087 | −0.571 | −0.162 | −0.030 | 0.013 |
| Flower number in inflorescence | 0.038 | −0.166 | 0.798 | −0.114 | 0.363 | −0.031 | −0.168 |
| Corolla length | −0.169 | 0.727 | −0.148 | 0.092 | 0.291 | 0.341 | 0.316 |
| Corolla diameter | 0.142 | 0.598 | 0.259 | 0.030 | 0.557 | 0.133 | −0.189 |
| Calyx length | −0.018 | 0.635 | −0.198 | 0.329 | −0.098 | 0.035 | 0.605 |
| Calyx diameter | 0.609 | 0.408 | 0.186 | −0.081 | −0.097 | −0.628 | 0.087 |
| Plant dry weight | 0.795 | 0.055 | 0.289 | −0.448 | −0.122 | 0.206 | 0.013 |
| Component | ||||||||
|---|---|---|---|---|---|---|---|---|
| PCA1 | PCA2 | PCA3 | PCA4 | PCA5 | PCA6 | PCA7 | PCA8 | |
| a-pinene | −0.625 | 0.678 | 0.131 | 0.268 | 0.086 | −0.032 | 0.074 | 0.103 |
| sabinene | −0.590 | 0.446 | 0.494 | −0.013 | −0.281 | 0.022 | 0.006 | 0.047 |
| β-pinene | −0.597 | 0.545 | 0.479 | 0.262 | 0.006 | −0.020 | −0.045 | 0.018 |
| β-myrcene | −0.165 | 0.135 | 0.460 | 0.075 | 0.662 | 0.343 | −0.224 | −0.123 |
| n-decane | −0.274 | 0.165 | −0.811 | 0.042 | −0.124 | −0.091 | 0.160 | 0.085 |
| p-cymene | −0.599 | 0.103 | −0.229 | −0.083 | 0.165 | 0.499 | 0.384 | 0.161 |
| 1,8-cineole | −0.568 | 0.473 | 0.588 | 0.212 | 0.024 | 0.027 | −0.069 | 0.091 |
| (Z)-β-ocimene | 0.241 | 0.334 | 0 | 0.710 | 0.114 | 0.258 | 0 | 0 |
| cis-sabinene hydrate | 0 | 0 | 0 | 0.001 | 0.332 | 0.016 | 0 | 0.224 |
| terpinolene | −0.219 | −0.101 | −0.826 | 0.001 | 0.332 | 0.016 | −0.068 | 0.224 |
| linalool | 0.488 | 0.259 | −0.041 | −0.318 | 0.622 | −0.281 | −0.165 | −0.076 |
| menthofuran | −0.709 | −0.576 | −0.180 | −0.199 | 0.014 | −0.149 | −0.131 | −0.220 |
| menthol | 0.489 | 0.811 | 0.010 | −0.093 | −0.020 | −0.059 | 0.109 | −0.257 |
| terpinene-4-ol | 0.196 | 0.343 | 0.489 | 0.154 | 0.432 | 0.010 | 0.441 | −0.200 |
| α-terpineol | 0.196 | 0.234 | 0.489 | 0.154 | 0.432 | 0.010 | 0.441 | 0 |
| nerol | 0.441 | −0.630 | 0.359 | 0.293 | 0.185 | −0.227 | 0.175 | 0.205 |
| carvone | 0 | 0 | 0.167 | 0.046 | 0.392 | 0 | 0.510 | 0.391 |
| linalyl acetate | 0.735 | −0.366 | 0.354 | 0.237 | −0.107 | 0.263 | 0.062 | 0.115 |
| lavandulyl acetate | 0.764 | 0.407 | −0.120 | −0.122 | 0.273 | −0.143 | −0.321 | 0.118 |
| menthyl acetate | 0.651 | 0.410 | −0.221 | −0.340 | 0.274 | −0.229 | −0.263 | −0.013 |
| neryl acetate | 0.417 | −0.819 | 0.112 | 0.165 | −0.060 | −0.134 | 0.037 | −0.177 |
| geranyl acetate | 0.729 | 0.524 | 0.056 | −0.272 | −0.259 | 0.027 | 0.096 | −0.003 |
| (E)-caryophyllene | 0.757 | 0.297 | −0.389 | 0.225 | −0.111 | 0.266 | −0.010 | 0.183 |
| a-humulene | 0.836 | 0.293 | −0.270 | 0.243 | −0.068 | 0.052 | 0.073 | 0.119 |
| trans-β-farnesene | 0.836 | 0.293 | 0 | 0.243 | 0 | 0.052 | 0.073 | 0.119 |
| germacrene D | 0.380 | 0.758 | −0.093 | −0.200 | −0.257 | 0.274 | 0.219 | 0.025 |
| elemol | 0.711 | −0.584 | 0.099 | 0.147 | −0.105 | 0.220 | 0.075 | −0.045 |
| caryophyllene oxide | 0.833 | −0.349 | 0.033 | 0.315 | 0.074 | 0.006 | 0.035 | 0.167 |
| viridiflorol | 0.880 | 0.288 | 0.0294 | −0.056 | −0.038 | −0.034 | −0.037 | 0.122 |
Publisher’s Note: MDPI stays neutral with regard to jurisdictional claims in published maps and institutional affiliations. |
© 2022 by the authors. Licensee MDPI, Basel, Switzerland. This article is an open access article distributed under the terms and conditions of the Creative Commons Attribution (CC BY) license (https://creativecommons.org/licenses/by/4.0/).
Share and Cite
Hassanpouraghdam, M.B.; Mohammadzadeh, A.; Morshedloo, M.R.; Asadi, M.; Rasouli, F.; Vojodi Mehrabani, L.; Najda, A. Mentha aquatica L. Populations from the Hyrcanian Hotspot: Volatile Oil Profiles and Morphological Diversity. Agronomy 2022, 12, 2277. https://doi.org/10.3390/agronomy12102277
Hassanpouraghdam MB, Mohammadzadeh A, Morshedloo MR, Asadi M, Rasouli F, Vojodi Mehrabani L, Najda A. Mentha aquatica L. Populations from the Hyrcanian Hotspot: Volatile Oil Profiles and Morphological Diversity. Agronomy. 2022; 12(10):2277. https://doi.org/10.3390/agronomy12102277
Chicago/Turabian StyleHassanpouraghdam, Mohammad Bagher, Ahmad Mohammadzadeh, Mohammad Reza Morshedloo, Mohammad Asadi, Farzad Rasouli, Lamia Vojodi Mehrabani, and Agnieszka Najda. 2022. "Mentha aquatica L. Populations from the Hyrcanian Hotspot: Volatile Oil Profiles and Morphological Diversity" Agronomy 12, no. 10: 2277. https://doi.org/10.3390/agronomy12102277
APA StyleHassanpouraghdam, M. B., Mohammadzadeh, A., Morshedloo, M. R., Asadi, M., Rasouli, F., Vojodi Mehrabani, L., & Najda, A. (2022). Mentha aquatica L. Populations from the Hyrcanian Hotspot: Volatile Oil Profiles and Morphological Diversity. Agronomy, 12(10), 2277. https://doi.org/10.3390/agronomy12102277

