Yield, Agronomic and Forage Quality Traits of Different Quinoa (Chenopodium quinoa Willd.) Genotypes in Northeast China
Abstract
1. Introduction
2. Materials and Methods
2.1. Planting Material and Growth Conditions
2.2. Quinoa Crop Phenology and Leaf Chlorophyll
2.3. Sampling, Yield and Yield Components
2.4. Fodder Nutritional Quality Analysis
2.5. Statistical Analysis
3. Results
3.1. Forage Yield and Morphological Traits of Quinoa during Grain Filling
3.2. Grain Yield and Yield Components of Quinoa during Maturity/Ripening
3.3. Nutritional Forage Quality of Quinoa Plants during Different Growth Stages
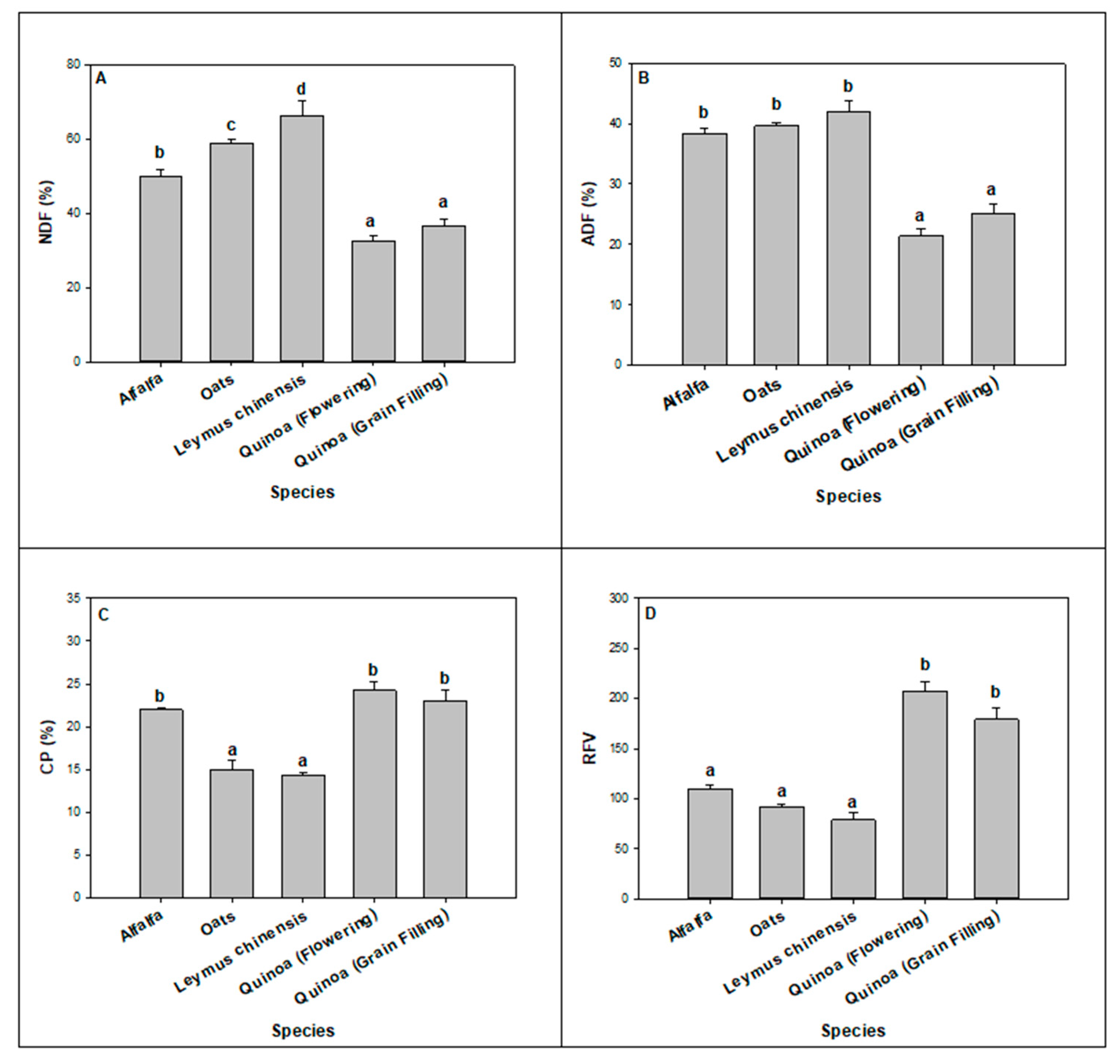
3.4. Comparison between Studied Pastures
4. Discussion
4.1. Grain-Producing Quinoa: Yield Components
4.2. Fodder-Producing Quinoa: Morphology and Quality Traits
4.3. The Advantages and Disadvantages of Quinoa Fodder during Different Stages
4.4. Future Applications of Quinoa Plants in Animal Feeding (Industry)
5. Conclusions
Supplementary Materials
Author Contributions
Funding
Acknowledgments
Conflicts of Interest
References
- Gómez-Caravaca, A.M.; Iafelice, G.; Lavini, A.; Pulvento, C.; Caboni, M.F.; Marconi, E. Phenolic Compounds and Saponins in Quinoa Samples (Chenopodium quinoa Willd.) Grown under Different Saline and Nonsaline Irrigation Regimens. J. Agric. Food Chem. 2012, 60, 4620–4627. [Google Scholar] [CrossRef]
- Wright, K.H.; Pike, O.A.; Fairbanks, D.J.; Huber, C.S. Composition of Atriplex hortensis, Sweet and Bitter Chenopodium quinoa Seeds. J. Food Sci. 2002, 67, 1383–1385. [Google Scholar] [CrossRef]
- PROINPA. Quinoa, an Ancient Crop to Contribute to World Food Security; Technical Report. 37th; FAO Conference: Rome, Italy, July 2011. [Google Scholar]
- González, J.A.; Gallardo, M.; Hilal, M.B.; Rosa, M.D.; Prado, F.E. Physiological responses of quinoa (Chenopodium quinoa) to drought and waterlogging stresses: Dry matter partitioning. Botanic. Stud. 2009, 50, 35–42. [Google Scholar]
- Jacobsen, S.-E.; Monteros, C.; Corcuera, L.; Bravo, L.A.; Christiansen, J.; Mujica, A. Frost resistance mechanisms in quinoa (Chenopodium quinoa Willd.). Eur. J. Agron. 2007, 26, 471–475. [Google Scholar] [CrossRef]
- Christensen, S.A.; Pratt, D.B.; Pratt, C.; Nelson, P.T.; Stevens, M.R.; Jellen, E.N.; Coleman, C.E.; Fairbanks, D.J.; Bonifacio, A.; Maughan, P.J. Assessment of genetic diversity in the USDA and CIP-FAO international nursery collections of quinoa (Chenopodium quinoa Willd.) using microsatellite markers. Plant. Genet. Resour. 2007, 5, 82–95. [Google Scholar] [CrossRef]
- Tan, M.; Temel, S. Performance of Some Quinoa (Chenopodium quinoa Willd.) Genotypes Grown in Different Climate Conditions. Turk. J. Field Crop. 2018, 27, 180–186. [Google Scholar] [CrossRef]
- Gongbu, T.; Wang, M.; Zhang, C.; Yang, Q. The biological characters and the performance of quinoa, Chenopodium quinoa willd in Tibet. Southw. China J. Agric. Sci. 1994, 364, 54–62. [Google Scholar]
- Gongbu, T.; Wang, M.; Wang, L. Research on breeding original materials of Chenopodium quinoa. Tibet’s Sci. Technol. 1996, 73, 13–17. [Google Scholar]
- Wang, M.; Gongbu, T.; Liu, Y.; Zhang, Z. Preliminary research on Chenopodium quinoa disease in Tibet. J. Yunnan Agr. Univ. 1995, 10, 88–91. [Google Scholar]
- Xiu-Shi, Y.; Pei-You, Q.; Hui-Min, G.; Ren, G. Quinoa Committee of the Crop Science Society of China Quinoa Industry Development in China. Ciencia Investig. Agraria 2019, 46, 208–219. [Google Scholar] [CrossRef]
- CSSC. Saw. Available online: http://m.quinoachina.org.cn/site/term/37.html (accessed on 5 March 2020).
- Akula, R.; Ravishankar, G.A. Influence of abiotic stress signals on secondary metabolites in plants. Plant. Signal. Behav. 2011, 6, 1720–1731. [Google Scholar] [CrossRef]
- Bazile, D.; Pulvento, C.; Verniau, A.; Al-Nusairi, M.S.; Ba, D.; Breidy, J.; Hassan, L.; Mohammed, M.I.; Mambetov, O.; Otambekova, M.; et al. Worldwide Evaluations of Quinoa: Preliminary Results from Post International Year of Quinoa FAO Projects in Nine Countries. Front. Plant. Sci. 2016, 7. [Google Scholar] [CrossRef]
- Wimalasekera, R. Role of seed quality in improving crop yields. In Crop Production and Global Environmental Issues; Springer: Berlin, Germany, 2015; pp. 153–168. [Google Scholar] [CrossRef]
- Bazile, D.; Salcedo, S.; Santivañez, T. State of the Art Report on Quinoa Around the World in 2013; Bazile, D., Bertero, H.D., Nieto, C., Eds.; CIRAD: Montpellier, France, 2015; pp. 250–286. [Google Scholar]
- Bonifacio, A. El futuro de los productos andinos en la región alta y los valles centrales de los andes. In Estudio de Prospectiva Para los Productos del Alti-Plano; Organización de las Naciones Unidas para el Desarrollo Industrial: La Paz, Bolivia, 2006. [Google Scholar]
- Galwey, N. The potential of quinoa as a multi-purpose crop for agricultural diversification: A review. Ind. Crop. Prod. 1992, 1, 101–106. [Google Scholar] [CrossRef]
- Alvarez-Jubete, L.; Wijngaard, H.; Arendt, E.K.; Gallagher, E. Polyphenol composition and in vitro antioxidant activity of amaranth, quinoa buckwheat and wheat as affected by sprouting and baking. Food Chem. 2010, 119, 770–778. [Google Scholar] [CrossRef]
- Filho, A.M.M.; Pirozi, M.R.; Borges, J.T.D.S.; Sant’Ana, H.M.P.; Chaves, J.B.P.; Coimbra, J.S.D.R. Quinoa: Nutritional, functional, and antinutritional aspects. Crit. Rev. Food Sci. Nutr. 2017, 57, 1618–1630. [Google Scholar] [CrossRef]
- James, L.E.A. Chapter 1 Quinoa (Chenopodium quinoa Willd.). Adv. Food Nutr. Res. 2009, 58, 1–31. [Google Scholar] [CrossRef]
- Ogungbenle, H.N. Nutritional evaluation and functional properties of quinoa (Chenopodium quinoa) flour. Int. J. Food Sci. Nutr. 2003, 54, 153–158. [Google Scholar] [CrossRef]
- Repo-Carrasco-Valencia, R.; Serna, L.A. Quinoa (Chenopodium quinoa, Willd.) as a source of dietary fiber and other functional components. Food Sci. Technol. 2011, 31, 225–230. [Google Scholar] [CrossRef]
- Bhargava, A.; Shukla, S.; Ohri, D. Chenopodium quinoa—An Indian perspective. Ind. Crop. Prod. 2006, 23, 73–87. [Google Scholar] [CrossRef]
- Mujica-Sanchez, A.; Jacobsen, S.; Izquierdo, J.; Marathee, J. Quinua (Chenopodium quinoa Willd.): Ancestral Cultivo Andino, Alimento del Presente y del Futuro; FAO: Santiago, Chile, 2001; pp. 162–183. [Google Scholar]
- Francis, G.; Kerem, Z.; Makkar, H.P.S.; Becker, K. The biological action of saponins in animal systems: A review. Br. J. Nutr. 2002, 88, 587–605. [Google Scholar] [CrossRef]
- Mastebroek, H.D.; Limburg, H.; Gilles, T.; Marvin, H.J.P. Occurrence of sapogenins in leaves and seeds of quinoa (Chenopodium quinoa Willd). J. Sci. Food Agric. 2000, 80, 152–156. [Google Scholar] [CrossRef]
- Rogosic, J.; Estell, R.; Ivankovic, S.; Kezic, J.; Razov, J. Potential mechanisms to increase shrub intake and performance of small ruminants in mediterranean shrubby ecosystems. Small Rumin. Res. 2008, 74, 1–15. [Google Scholar] [CrossRef]
- Van Schooten, H.; Pinxterhuis, J. Quinoa as an alternative forage crop in organic dairy farming. In Optimal Forage Systems for Animal Production and the Environment, Proceedings of the 12th Symposium of the European Grassland Federation, Pleven, Bulgaria, 26–28 May 2003; Grassland Science in Europe: Pleven, Bulgaria, 2003; pp. 445–448. [Google Scholar]
- Baskota, S.; Islam, A. Evaluation of Forage Nutritive Value of Quinoa Cultivars; LREC Long Reports Field Days Bulletin-19; University of Wyoming: Laramie, WY, USA, 2017. [Google Scholar]
- Jian, G.; Cuijun, Y.; Guihe, L. Nutritional Evaluation of Fresh and Wilted Mixed Silage of Naked Oats (Avena nuda) and Alfalfa (Medicago sativa). Int. J. Agric. Biol. 2015, 17, 761–766. [Google Scholar] [CrossRef]
- Capstaff, N.M.; Miller, A.J. Improving the Yield and Nutritional Quality of Forage Crops. Front. Plant. Sci. 2018, 9. [Google Scholar] [CrossRef]
- Radović, J.; Sokolović, D.; Marković, J. Alfalfa-most important perennial forage legume in animal husbandry. Biotechnol. Animal Husb. 2009, 25, 465–475. [Google Scholar] [CrossRef]
- Bélanger, G.; Castonguay, Y.; Bertrand, A.; Dhont, C.; Rochette, P.; Couture, L.; Drapeau, R.; Mongrain, D.; Chalifour, F.-P.; Michaud, R. Winter damage to perennial forage crops in eastern Canada: Causes, mitigation, and prediction. Can. J. Plant. Sci. 2006, 86, 33–47. [Google Scholar] [CrossRef]
- Barsila, S.R. The fodder oat (Avena sativa) mixed legume forages farming: Nutritional and ecological benefits. J. Agric. Nat. Resour. 2018, 1, 206–222. [Google Scholar] [CrossRef]
- Stevens, E.; Armstrong, K.; Bezar, H.; Griffin, W.; Hampton, J. Fodder Oats an Overview. In Fodder Oats: A World Overview; Food and Agriculture Organization of the United Nations: Rome, Italy, 2004; pp. 1–9. [Google Scholar]
- Bilal, M.; Ayub, M.; Tariq, M.; Tahir, M.; Nadeem, M. Dry matter yield and forage quality traits of oat (Avena sativa L.) under integrative use of microbial and synthetic source of nitrogen. J. Saudi Soc. Agric. Sci. 2017, 16, 236–241. [Google Scholar] [CrossRef]
- Lin, J.; Wang, J.; Li, X.; Zhang, Y.; Xu, Q.; Mu, C. Effects of saline and alkaline stresses in varying temperature regimes on seed germination of Leymus chinensis from the Songnen Grassland of China. Grass Forage Sci. 2011, 66, 578–584. [Google Scholar] [CrossRef]
- Xu, Z.-Z.; Zhou, G.-S. Effects of water stress and nocturnal temperature on carbon allocation in the perennial grass, Leymus chinensis. Physiol. Plant. 2005, 123, 272–280. [Google Scholar] [CrossRef]
- Chen, J.; Zhu, R.; Xu, R.; Zhang, W.; Shen, Y.; Zhang, Y. Evaluation of Leymus chinensis quality using near-infrared reflectance spectroscopy with three different statistical analyses. Peer J. 2015, 3. [Google Scholar] [CrossRef] [PubMed]
- Chen, J. Comparison on Agronomic Traits and Nutritional Value of 20 Alfalfa Varieties in Different Soil Conditions. Master′s Thesis, Northeast Normal University, Changchun, China, 2017. (In Chinese). [Google Scholar]
- Saha, U.; Hancock, D.; Kissel, D. How Do We Calculate Relative Forage Quality in Georgia? Agricultural and Environmental Services Laboratories Cooperative Extension Service; University of Georgia: Athens, GA, USA, 2010; pp. 1–4. [Google Scholar]
- Saha, U.; Sonon, L.S.; Hancock, D.W.; Hill, N.S.; Stewart, L.; Heusner, G.L.; Kissel, D.E. Common Terms Used in Animal Feeding and Nutrition; The University of Georgia, College of Agriculture and Environmental Sciences: Athens, GA, USA, 2010; pp. 1–19. [Google Scholar]
- Medina-Meza, I.G.; Aluwi, N.A.; Saunders, S.R.; Ganjyal, G.M. GC–MS profiling of triterpenoid saponins from 28 quinoa varieties (Chenopodium quinoa Willd.) grown in Washington State. J. Agric. Food Chem. 2016, 64, 8583–8591. [Google Scholar] [CrossRef] [PubMed]
- Angeli, V.; Silva, P.M.; Massuela, D.C.; Khan, M.W.; Hamar, A.; Khajehei, F.; Graeff-Hönninger, S.; Piatti, C. Quinoa (Chenopodium quinoa Willd.): An Overview of the Potentials of the “Golden Grain” and Socio-Economic and Environmental Aspects of Its Cultivation and Marketization. Foods 2020, 9, 216. [Google Scholar] [CrossRef] [PubMed]
- Reguera, M.; Conesa, C.M.; Gil-Gómez, A.; Haros, C.M.; Pérez-Casas, M.Á.; Briones-Labarca, V.; Bolaños, L.; Bonilla, I.; Álvarez, R.; Pinto, K.; et al. The impact of different agroecological conditions on the nutritional composition of quinoa seeds. Peer J. 2018, 6, e4442. [Google Scholar] [CrossRef]
- De Santis, G.; D’Ambrosio, T.; Rinaldi, M.; Rascio, A. Heritabilities of morphological and quality traits and interrelationships with yield in quinoa (Chenopodium quinoa Willd.) genotypes in the Mediterranean environment. J. Cereal Sci. 2016, 70, 177–185. [Google Scholar] [CrossRef]
- Fuentes, F.; Bhargava, A. Morphological Analysis of Quinoa Germplasm Grown Under Lowland Desert Conditions. J. Agron. Crop. Sci. 2010, 197, 124–134. [Google Scholar] [CrossRef]
- Kaya, E.; Aydemir, S.K. Determining the forage yield, quality and nutritional element contents of quinoa cultivars and correlation analysis on these parameters. Pakistan J. Agric. Sci. 2020, 57, 311–317. [Google Scholar] [CrossRef]
- CAS. Chinese Agricultural Society. Saw. Available online: http://www.caass.org.cn/xbnxh/kjpj54/kjcgpj7/53220/index.html (accessed on 6 March 2020).
- Brady, K.; Ho, C.-T.; Rosen, R.T.; Sang, S.; Karwe, M.V. Effects of processing on the nutraceutical profile of quinoa. Food Chem. 2007, 100, 1209–1216. [Google Scholar] [CrossRef]
- Ahmad, S.; Jabbar, M.; Khalique, A.; Shahzad, F.; Ahmad, N.; Fiaz, M.; Younas, U. Effect of different levels of NDF on voluntary feed intake, dry matter digestibility and nutrients utilization in dry Nili Ravi buffaloes. JAPS 2014, 24, 1602–1605. [Google Scholar]
- Rana, A.S.; Ahmad, A.-U.-H.; Saleem, N.; Nawaz, A.; Hussian, T.; Saad, M. Differential response of sorghum cultivars for fodder yield and quality. J. Glob. Innov. Agric. Soc. Sci. 2014, 2, 6–10. [Google Scholar] [CrossRef]
- Graf, B.L.; Rojas-Silva, P.; Rojo, L.E.; Delatorre-Herrera, J.; Baldeón, M.E.; Raskin, I. Innovations in Health Value and Functional Food Development of Quinoa (Chenopodium quinoa Willd.). Compr. Rev. Food Sci. Food Saf. 2015, 14, 431–445. [Google Scholar] [CrossRef] [PubMed]
- Li, S.; Yang, Y.; Zhang, Q.; Liu, N.; Xu, Q.; Hu, L. Differential physiological and metabolic response to low temperature in two zoysiagrass genotypes native to high and low latitude. PLoS ONE 2018, 13, e0198885. [Google Scholar] [CrossRef] [PubMed]
- Rosa, M.; Prado, C.; Podazza, G.; Interdonato, R.; González, J.A.; Hilal, M.; Prado, F.E. Soluble sugars. Plant. Signal. Behav. 2009, 4, 388–393. [Google Scholar] [CrossRef]
- Zhang, X.; Ervin, E.H.; Labranche, A.J. Metabolic Defense Responses of Seeded Bermudagrass during Acclimation to Freezing Stress. Crop. Sci. 2006, 46, 2598–2605. [Google Scholar] [CrossRef]
- Lesjak, J.; Calderini, D.F. Increased Night Temperature Negatively Affects Grain Yield, Biomass and Grain Number in Chilean Quinoa. Front. Plant. Sci. 2017, 8. [Google Scholar] [CrossRef]
- Choukr-Allah, R.; Rao, N.K.; Hirich, A.; Shahid, M.; Alshankiti, A.; Toderich, K.; Gill, S.; Butt, K.U.R. Quinoa for Marginal Environments: Toward Future Food and Nutritional Security in MENA and Central Asia Regions. Front. Plant. Sci. 2016, 7. [Google Scholar] [CrossRef]
- Restrepo, L.A.M.; Vianchá, L.M.; Ballesteros, J.P. Análisis de variables estratégicas para la conformación de una cadena productiva de quinua en Colombia. INNOVAR 2005, 15, 103–119. [Google Scholar]

| Genotypes | Shoot Biomass per Plant (g DW) | Fresh/Dry Matter Ratio | Leaf/Stem Ratio | Height (cm) | Culm Thickness (mm) | Branches per Plant | Chl (SPAD Readings) |
|---|---|---|---|---|---|---|---|
| Titicaca | 37.2 d | 10.46 f | 2.49 ab | 101.0 ab | 12.2 ab | 18.3 a | 61.8 abcde |
| Rainbow | 43.6 bcd | 7.57 cde | 3.02 b | 129.0 cde | 11.9 a | 19.7 ab | 72.2 de |
| Illpa | 56.7 bc | 5.40 a | 3.12 b | 97.7 a | 16.1 cde | 21.7 abcd | 57.9 abcd |
| ZQ1 | 76.1 a | 5.99 ab | 2.86 ab | 102.7 ab | 18.6 ef | 26.3 de | 57.8 abcd |
| ZQ2 | 53.9 abc | 7.19 bcde | 3.16 b | 133.3 cde | 14.0 abc | 22.3 abcd | 55.0 abc |
| ZQ3 | 51.5 abcd | 7.20 bcde | 4.29 c | 141.7 de | 15.6 cd | 24.7 bcde | 68.1 cde |
| ZQ4 | 48.5 abcd | 7.75 e | 2.48 ab | 122.3 abcd | 15.0 bcd | 22.3 abcd | 57.1 abcd |
| ZQ5 | 53.4 abc | 7.47 bcde | 2.68 ab | 123.0 abcd | 17.2 def | 25.7 cde | 66.9 bcde |
| ZQ6 | 38.7 cd | 7.74 e | 2.58 ab | 120.3 abcd | 13.9 abc | 22.3 abcd | 75.2 e |
| Mengli 1 | 60.5 b | 6.15 abcd | 2.51 ab | 129.7 cde | 14.6 abcd | 28.3 e | 59.3 abcde |
| YY28 | 44.6 bcd | 7.69 de | 2.38 ab | 133.3 de | 16.8 cdef | 22.3 abcd | 60.7 abcde |
| JQ3 | 81.6 a | 5.44 a | 2.07 a | 144.0 de | 19.5 f | 26.0 cde | 50.8 ab |
| Tiaoli 1 | 54.0 abc | 7.62 cde | 2.28 ab | 153.3 e | 15.5 cd | 20.3 abc | 61.4 abcde |
| Nilu | 56.4 bc | 6.09 abc | 2.07 a | 124.0 bcd | 14.3 abc | 24.7 bcde | 53.2 abc |
| Longli 3 | 51.8 abcd | 7.27 bcde | 2.68 ab | 108.3 abc | 15.0 bcd | 25.7 cde | 46.6 a |
| Mean | 53.9 | 7.14 | 2.71 | 124.7 | 15.3 | 23.3 | 60.3 |
| Genotypes | 6188.4 *** | 65.73 *** | 12.73 *** | 11,780.1 *** | 185.1 *** | 329.2 *** | 2553.7 *** |
| Shoot Biomass per Plant | Fresh/Dry Matter Ratio | Height | Culm Thickness | Branches per Plant | Chlorophyll Content | |
|---|---|---|---|---|---|---|
| Fresh/dry matter ratio | −0.786 *** | |||||
| Height | 0.075 | −0.057 | ||||
| Culm thickness | 0.696 *** | −0.555 *** | 0.183 | |||
| Branches per plant | 0.528 *** | −0.509 ** | 0.061 | 0.456 ** | ||
| Chlorophyll content | −0.425 ** | 0.304 * | 0.094 | −0.280 | −0.274 | |
| Grain weight per plant | −0.177 | 0.219 | 0.275 | −0.210 | 0.009 | −0.105 |
| Genotype | Grain Weight per Plant (g) | Thousand Grain Weight (g) | Height (cm) | Culm Thickness (mm) | Branches per Plant | Inflorescence Length (cm) | Days to Maturity (day) |
|---|---|---|---|---|---|---|---|
| Titicaca | 16.5 g | 2.86 f | 112.3 a | 7.62 ab | 9.67 abc | 29.7 a | 95 |
| Rainbow | 27.5 j | 2.16 bcde | 131.0 bc | 8.27 bc | 8.67 ab | 47.7 cde | 102 |
| Illpa | 1.7 a | 1.66 ab | 124.0 b | 13.37 f | 7.00 a | 62.7 g | 150 |
| ZQ1 | 5.6 c | 1.73 abc | 134.7 bcd | 7.88 ab | 7.00 a | 44.7 cd | 109 |
| ZQ2 | 2.6 a | 2.66 ef | 139.3 bcde | 10.45 e | 9.67 abc | 48.0 cde | 110 |
| ZQ3 | 9.9 d | 2.26 cde | 158.7 f | 9.83 de | 11.00 bcd | 58.3 fg | 115 |
| ZQ4 | 16.3 g | 1.80 abc | 138.0 bcde | 6.59 a | 11.33 bcd | 34.0 ab | 120 |
| ZQ5 | 12.7 e | 1.56 a | 159.0 f | 10.33 e | 7.00 a | 59.0 fg | 112 |
| ZQ6 | 3.7 b | 2.46 def | 152.7 ef | 8.43 bcd | 8.67 ab | 47.7 cde | 118 |
| Mengli 1 | 25.4 i | 2.06 abcd | 151.0 def | 7.88 ab | 11.67 bcd | 41.0 bc | 120 |
| YY28 | 25.4 i | 1.73 abc | 147.0 cdef | 9.86 de | 9.67 abc | 49.0 cde | 111 |
| JQ3 | 14.6 f | 1.76 abc | 159.0 f | 10.52 e | 10.67 abcd | 51.7 def | 115 |
| Tiaoli 1 | 20.4 h | 2.16 bcde | 145.7 cdef | 9.83 de | 13.67 d | 54.7 efg | 120 |
| Nilu | 16.4 g | 1.76 abc | 145.3 cdef | 7.24 ab | 11.67 bcd | 42.7 c | 122 |
| Longli 3 | 26.8 j | 1.63 ab | 140.0 bcde | 9.75 cde | 13.00 cd | 42.0 bc | 115 |
| Mean | 15.0 | 2.02 | 141.1 | 9.19 | 10.02 | 47.5 | 116 |
| Genotypes | 3381.7 *** | 6.78 *** | 7506.6 *** | 124.7 *** | 186.31 *** | 3465.2 *** | - |
| Grain Weight per Plant | Thousand Grain Weight | Height | Culm Thickness | Branches per Plant | |
|---|---|---|---|---|---|
| Thousand grain weight | −0.175 | ||||
| Height | 0.012 | −0.365 * | |||
| Culm thickness | −0.328 * | −0.210 | 0.154 | ||
| Branches per plant | 0.487 *** | 0.092 | 0.186 | −0.244 | |
| Inflorescence length | −0.333 * | −0.287 | 0.495 ** | 0.771 *** | −0.281 |
| Forage Quality Traits | Anthesis | Grain filling | T | T × G | ||||||
|---|---|---|---|---|---|---|---|---|---|---|
| Mean | Range | SEM | G | Mean | Range | SEM | G | |||
| NDF (%) | 32.7 | 30.8–39.1 | 0.576 | 178.2 ** | 36.7 | 33.2–40.7 | 0.907 | 335.4 | *** | ** |
| ADF (%) | 21.4 | 17.5–26.8 | 0.546 | 193.7 *** | 25.2 | 21.8–30.6 | 0.779 | 253.1 | *** | *** |
| CP (%) | 24.3 | 21.5–26.9 | 0.476 | 81.8 | 23.0 | 19.5–26.7 | 0.630 | 231.2 ** | ns | ns |
| WSCs (mg g−1) | 26.4 | 19.5–38.4 | 1.258 | 711.7 | 31.9 | 25.2–49.1 | 1.454 | 1292.0 *** | ** | * |
| RFV | 207.8 | 162.2–225.7 | 5.316 | 15,438.1 ** | 179.4 | 149.9–273.3 | 6.857 | 17,701.5 | *** | *** |
| Saponin content (mg g−1) | 6.23 | 3.82–9.86 | 0.310 | 82.7 *** | 4.30 | 3.20–6.30 | 0.176 | 26.7 *** | *** | *** |
| NDF | ADF | CP | WSC | RFV | Saponin | Shoot Biomass | ||
|---|---|---|---|---|---|---|---|---|
| Anthesis | ADF | 0.566 ** | ||||||
| CP | −0.141 | −0.416 * | ||||||
| WSCs | −0.125 | −0.287 | −0.052 | |||||
| RFV | −0.975 ** | −0.706 ** | 0.208 | 0.183 | ||||
| Saponin content | 0.031 | −0.177 | −0.415 * | 0.556 ** | 0.034 | |||
| Shoot biomass | −0.02 | 0.181 | 0.169 | −0.15 | −0.041 | −0.27 | ||
| Grain weight | −0.502 ** | −0.582 ** | −0.149 | 0.419 * | 0.545 ** | 0.651 ** | −0.155 | |
| Grain filling | ADF | 0.708 ** | ||||||
| CP | −0.600 ** | −0.631 ** | ||||||
| WSCs | 0.100 | 0.301 | −0.331 | |||||
| RFV | −0.966 ** | −0.796 ** | 0.615 ** | −0.132 | ||||
| Saponin | −0.059 | 0.152 | −0.377 * | 0.637 ** | −0.012 | |||
| Shoot biomass | 0.005 | −0.184 | 0.380 * | −0.059 | 0.015 | −0.156 | ||
| Grain Yield at maturity | −0.17 | 0.078 | −0.289 | 0.456 * | 0.148 | 0.269 | −0.155 | |
Publisher’s Note: MDPI stays neutral with regard to jurisdictional claims in published maps and institutional affiliations. |
© 2020 by the authors. Licensee MDPI, Basel, Switzerland. This article is an open access article distributed under the terms and conditions of the Creative Commons Attribution (CC BY) license (http://creativecommons.org/licenses/by/4.0/).
Share and Cite
Shah, S.S.; Shi, L.; Li, Z.; Ren, G.; Zhou, B.; Qin, P. Yield, Agronomic and Forage Quality Traits of Different Quinoa (Chenopodium quinoa Willd.) Genotypes in Northeast China. Agronomy 2020, 10, 1908. https://doi.org/10.3390/agronomy10121908
Shah SS, Shi L, Li Z, Ren G, Zhou B, Qin P. Yield, Agronomic and Forage Quality Traits of Different Quinoa (Chenopodium quinoa Willd.) Genotypes in Northeast China. Agronomy. 2020; 10(12):1908. https://doi.org/10.3390/agronomy10121908
Chicago/Turabian StyleShah, Syed Sadaqat, Lianxuan Shi, Zhijian Li, Guixing Ren, Bangwei Zhou, and Peiyou Qin. 2020. "Yield, Agronomic and Forage Quality Traits of Different Quinoa (Chenopodium quinoa Willd.) Genotypes in Northeast China" Agronomy 10, no. 12: 1908. https://doi.org/10.3390/agronomy10121908
APA StyleShah, S. S., Shi, L., Li, Z., Ren, G., Zhou, B., & Qin, P. (2020). Yield, Agronomic and Forage Quality Traits of Different Quinoa (Chenopodium quinoa Willd.) Genotypes in Northeast China. Agronomy, 10(12), 1908. https://doi.org/10.3390/agronomy10121908

