Phenotypic Variation of 933 Broomcorn Millet (Panicum miliaceum L.) Germplasm Resources
Abstract
1. Introduction
2. Materials and Methods
2.1. Materials
2.2. Determination of Traits
2.3. Date Analysis
3. Results and Discussion
3.1. Diversity of Seed Colour
3.2. Diversity and Distribution of Panicle Type and Inflorescence Colour
3.3. Shannon Index of the Traits of the 933 Genotypes
3.4. Agronomic Trait Differences of Seven Quantitative Traits Among Three Qualitative Trait Groups
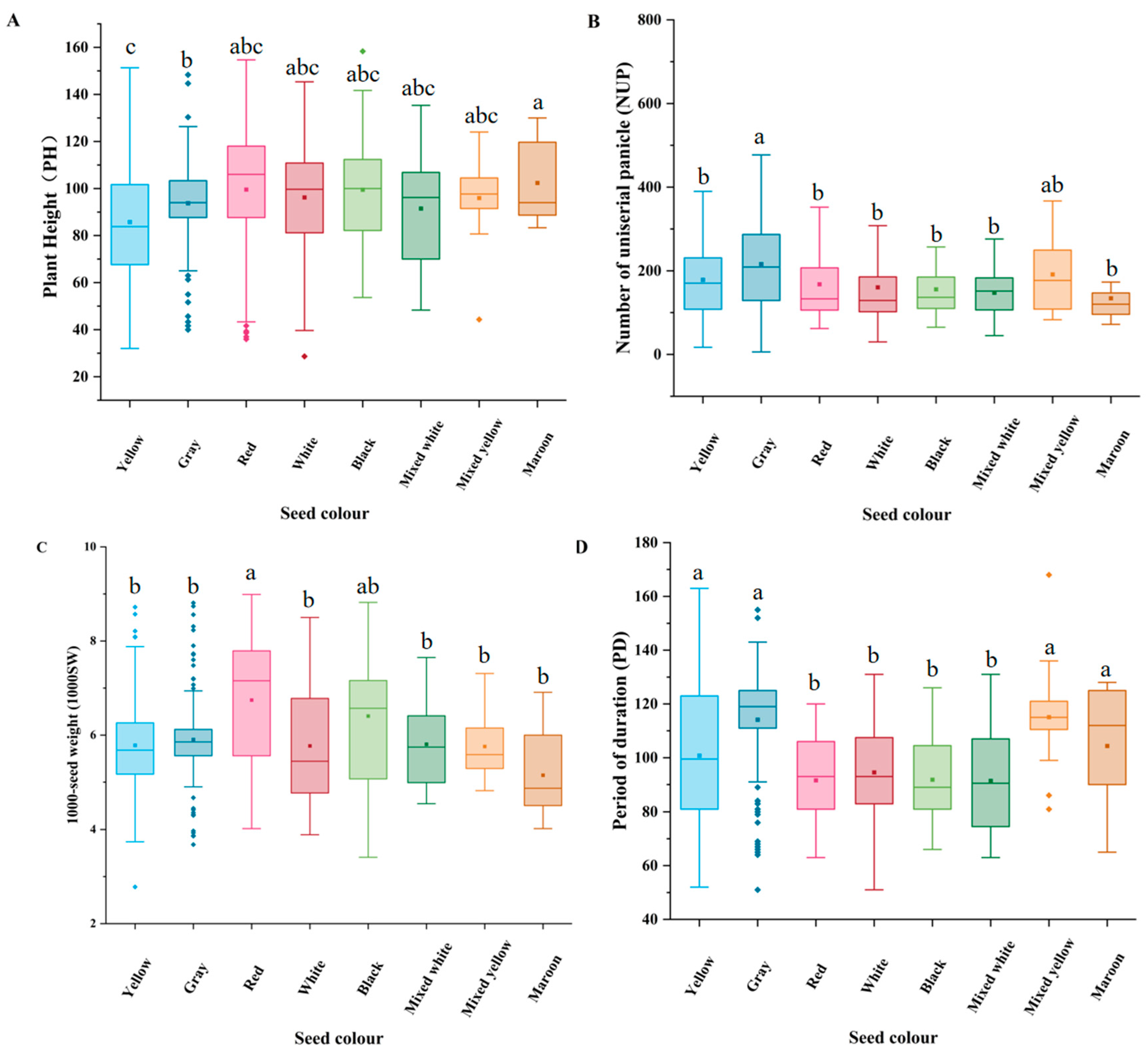
3.4.1. Differences in the Expression of Quantitative Traits Among Seed Colour Groups
3.4.2. Differences in the Expression of Quantitative Traits Among Panicle Type Groups
3.4.3. Differences in the Expression of Quantitative Traits Among Inflorescence Colour Groups
3.5. Pearson’s Correlation Analysis for the Quantitative Traits

3.6. Principal Component Analysis
3.7. Cluster Analysis of the Germplasm Resources Based on the Quantitative Traits
4. Conclusions
Author Contributions
Funding
Data Availability Statement
Acknowledgments
Conflicts of Interest
Abbreviations
References
- Motuzaite-Matuzeviciute, G.; Staff, R.A.; Hunt, H.V.; Liu, X.; Jones, M.K. The early chronology of broomcorn millet (Panicum miliaceum) in Europe. Antiquity 2013, 87, 1073–1085. [Google Scholar] [CrossRef]
- Xu, Y.; Liu, M.; Li, C.; Sun, F.; Lu, P.; Meng, F.; Zhao, X.; He, M.; Wang, F.; Zhu, X.; et al. Domestication and Spread of Broomcorn Millet (Panicum miliaceum L.) Revealed by Phylogeography of Cultivated and Weedy Populations. Agronomy 2019, 9, 835. [Google Scholar] [CrossRef]
- Liu, Y.; Ren, J.; Hu, Y.; Wang, S.; Mao, J.; Xu, Y.; Wang, M.; Liu, S.; Qiao, Z.; Cao, X. Effects of Drought Stress during the Flowering Period on the Rhizosphere Fungal Diversity of Broomcorn Millet (Panicum miliaceum L.). Agronomy 2023, 13, 2896. [Google Scholar] [CrossRef]
- Shan, Z.; Jiang, Y.; Li, H.; Guo, J.; Dong, M.; Zhang, J.; Liu, G. Genome-wide analysis of the NAC transcription factor family in broomcorn millet (Panicum miliaceum L.) and expression analysis under drought stress. BMC Genom. 2020, 21, 96. [Google Scholar] [CrossRef]
- Balli, D.; Bellumori, M.; Masoni, A.; Moretta, M.; Palchetti, E.; Bertaccini, B.; Mulinacci, N.; Innocenti, M. Proso Millet (Panicum miliaceum L.) as Alternative Source of Starch and Phenolic Compounds: A Study on Twenty-Five Worldwide Accessions. Molecules 2023, 28, 6339. [Google Scholar] [CrossRef]
- Liu, M.; Qiao, Z.; Zhang, S.; Wang, Y.; Lu, P. Response of broomcorn millet (Panicum miliaceum L.) genotypes from semiarid regions of China to salt stress. Crop J. 2015, 3, 57–66. [Google Scholar] [CrossRef]
- Yuan, Y.; Liu, L.; Gao, Y.; Yang, Q.; Dong, K.; Liu, T.; Feng, B. Comparative analysis of drought-responsive physiological and transcriptome in broomcorn millet (Panicum miliaceum L.) genotypes with contrasting drought tolerance. Ind. Crops Prod. 2022, 177, 114498. [Google Scholar] [CrossRef]
- Tang, J.; Li, X.; Zhang, Y.; Yang, Y.; Sun, R.; Li, Y.; Gao, J.; Han, Y. Differential Flavonoids and Carotenoids Profiles in Grains of Six Poaceae Crops. Foods 2022, 11, 2068. [Google Scholar] [CrossRef]
- Goron, T.L.; Raizada, M.N. Genetic diversity and genomic resources available for the small millet crops to accelerate a New Green Revolution. Front. Plant Sci. 2015, 6, 157. [Google Scholar] [CrossRef]
- Pexová Kalinová, J.; Tříska, J.; Hořejší, K. Comparison of the Main Constituents in Two Varieties of Proso Millet Using GC–MS. Foods 2023, 12, 2294. [Google Scholar] [CrossRef]
- Zhang, Z.; Zhang, J.; Lu, P.; Wu, B.; Liu, M.; Gao, J.; Wang, C.; Bai, K.; Guo, G. Six Underutilized Grain Crops for Food and Nutrition in China. Plants 2022, 11, 2451. [Google Scholar] [CrossRef]
- Han, M.; Wang, H.; Zhang, M.; Zhang, Y.; Romanova, N.; Ivanistau, A.; Yang, Q.; Feng, B. Gluten-starch microstructure analysis revealed the improvement mechanism of Triticeae on broomcorn millet (Panicum miliaceum L.). Int. J. Biol. Macromol. 2024, 262, 130222. [Google Scholar] [CrossRef] [PubMed]
- Habiyaremye, C.; Matanguihan, J.B.; D’Alpoim Guedes, J.; Ganjyal, G.M.; Whiteman, M.R.; Kidwell, K.K.; Murphy, K.M. Proso Millet (Panicum miliaceum L.) and Its Potential for Cultivation in the Pacific Northwest, U.S.: A Review. Front. Plant Sci. 2017, 7, 1961. [Google Scholar] [CrossRef]
- Wang, R.; Hunt, H.V.; Qiao, Z.; Wang, L.; Han, Y. Diversity and Cultivation of Broomcorn Millet (Panicum miliaceum L.) in China: A Review. Econ. Bot. 2016, 70, 332–342. [Google Scholar] [CrossRef]
- Liu, J.; Zhang, D.; Yuan, Y.; Chen, P.; Zhang, P.; Jin, F.; Yang, Q.; Feng, B. A promising crop for cadmium-contamination remediation: Broomcorn millet. Ecotoxicol. Environ. Saf. 2021, 224, 112669. [Google Scholar] [CrossRef]
- Ma, X.; Xu, Z.; Lang, D.; Zhou, L.; Zhang, W.; Zhang, X. Comprehensive physiological, transcriptomic, and metabolomic analyses reveal the synergistic mechanism of Bacillus pumilus G5 combined with silicon alleviate oxidative stress in drought-stressed Glycyrrhiza uralensis Fisch. Front. Plant Sci. 2022, 13, 1033915. [Google Scholar] [CrossRef]
- Zhang, M.; Mukhamed, B.; Yang, Q.; Luo, Y.; Tian, L.; Yuan, Y.; Huang, Y.; Feng, B. Biochar and Nitrogen Fertilizer Change the Quality of Waxy and Non-Waxy Broomcorn Millet (Panicum miliaceum L.) Starch. Foods 2023, 12, 3009. [Google Scholar] [CrossRef]
- Li, M.; Chang, L.; Ren, J.; Jiang, F.; Zhao, N.; Liu, Y.; Yu, X.; Du, S. Nutritional, physical, functional properties and antioxidant potential of different colors proso millet husks and brans. LWT 2022, 171, 114092. [Google Scholar] [CrossRef]
- Ficco, D.B.M.; Petroni, K.; Mistura, L.; D’Addezio, L. Polyphenols in Cereals: State of the Art of Available Information and Its Potential Use in Epidemiological Studies. Nutrients 2024, 16, 2155. [Google Scholar] [CrossRef] [PubMed]
- Rao, S.; Santhakumar, A.B.; Chinkwo, K.A.; Vanniasinkam, T.; Luo, J.; Blanchard, C.L. Chemopreventive Potential of Cereal Polyphenols. Nutr. Cancer 2018, 70, 913–927. [Google Scholar] [CrossRef]
- Zhu, F. Anthocyanins in cereals: Composition and health effects. Food Res. Int. 2018, 109, 232–249. [Google Scholar] [CrossRef] [PubMed]
- Fei, C.; Yu, J.; Xu, Z.; Xu, Q. Erect panicle architecture contributes to increased rice production through the improvement of canopy structure. Mol. Breed. 2019, 39, 128. [Google Scholar] [CrossRef]
- Matsui, K.; Tomatsu, T.; Kinouchi, S.; Suzuki, T.; Sato, T. Identification of a gene encoding glutathione S-transferase that is related to anthocyanin accumulation in buckwheat (Fagopyrum esculentum). J. Plant Physiol. 2018, 231, 291–296. [Google Scholar] [CrossRef]
- Chen, J.; Liu, Y.; Liu, M.; Guo, W.; Wang, Y.; He, Q.; Chen, W.; Liao, Y.; Zhang, W.; Gao, Y.; et al. Pangenome analysis reveals genomic variations associated with domestication traits in broomcorn millet. Nat. Genet. 2023, 55, 2243–2254. [Google Scholar] [CrossRef]
- Carlson, J.E.; Holsinger, K.E. Natural selection on inflorescence color polymorphisms in wild Protea populations: The role of pollinators, seed predators, and intertrait correlations. Am. J. Bot. 2010, 97, 934–944. [Google Scholar] [CrossRef]
- Sapir, Y.; Gallagher, M.K.; Senden, E. What Maintains Flower Colour Variation within Populations? Trends Ecol. Evol. 2021, 36, 507–519. [Google Scholar] [CrossRef]
- Huang, Y.-B.; Qi, Z.-C.; Feng, J.-Y.; Ge, B.-J.; Huang, C.-Z.; Feng, Y.-Q.; Wu, J.; Wei, P.-R.; Ito, T.; Kokubugata, G.; et al. Salvia guidongensis sp. nov.: Unraveling a critical evolutionary link in East Asian Salvia from Central China integrating morphology, phylogeny, and plastid genomics. Front. Plant Sci. 2024, 15, 1332443. [Google Scholar] [CrossRef]
- Li, P.; Li, G.; Zhang, Y.-W.; Zuo, J.-F.; Liu, J.-Y.; Zhang, Y.-M. A combinatorial strategy to identify various types of QTLs for quantitative traits using extreme phenotype individuals in an F2 population. Plant Commun. 2022, 3, 100319. [Google Scholar] [CrossRef]
- Zhang, D.; Panhwar, R.B.; Liu, J.; Gong, X.; Liang, J.; Liu, M.; Lu, P.; Gao, X.; Feng, B. Morphological diversity and correlation analysis of phenotypes and quality traits of proso millet (Panicum miliaceum L.) core collections. J. Integr. Agric. 2019, 18, 958–969. [Google Scholar] [CrossRef]
- Gangwar, T.; Susko, A.Q.; Baranova, S.; Guala, M.; Smith, K.P.; Heuschele, D.J. Multi-scale modelling predicts plant stem bending behaviour in response to wind to inform lodging resistance. R. Soc. Open Sci. 2023, 10, 221410. [Google Scholar] [CrossRef]
- Li, L.; Li, H.; Liu, N.; Lu, Y.; Shao, L.; Chen, S.; Zhang, X. Water use characteristics and drought tolerant ability of different winter wheat cultivars assessed under whole growth circle and at seedling stage. Agric. Water Manag. 2024, 300, 108921. [Google Scholar] [CrossRef]
- Liu, T.; Liu, X.; He, J.; Dong, K.; Pan, W.; Zhang, L.; Ren, R.; Zhang, Z.; Yang, T. Identification and fine-mapping of a major QTL (PH1.1) conferring plant height in broomcorn millet (Panicum miliaceum). Front. Plant Sci. 2022, 13, 1010057. [Google Scholar] [CrossRef]
- Li, G.; Zhang, H.; Li, J.; Zhang, Z.; Li, Z. Genetic control of panicle architecture in rice. Crop J. 2021, 9, 590–597. [Google Scholar] [CrossRef]
- Sharma, M.; Kumar, M.; Dabhi, B.M. Economic Factors and Different Growth Phases of Sweet Corn (Zea mays L. Var. Saccharata) in the South Gujarat Area, India as Affected by Intra-Row Spacing and Potassium Levels. IJPSS 2023, 35, 60–66. [Google Scholar] [CrossRef]
- Pinas, N.M.; Tjoe Awie, J.R.; Dongstra, R.E.; Maat, H.; Schranz, M.E.; Van De Loosdrecht, M.S.; Van Andel, T. Yield and growth duration of Maroon rice landraces measured in traditional settings. Genet. Resour. Crop Evol. 2025, 72, 2211–2226. [Google Scholar] [CrossRef] [PubMed]
- Mahmood-ul-Hassan, M.; Suthar, V.; Ahmad, R.; Yousra, M. Heavy metal phytoextraction—Natural and EDTA-assisted remediation of contaminated calcareous soils by sorghum and oat. Environ. Monit. Assess. 2017, 189, 591. [Google Scholar] [CrossRef]
- Wu, X.; Tang, Y.; Li, C.; Wu, C. Characterization of the rate and duration of grain filling in wheat in southwestern China. Plant Prod. Sci. 2018, 21, 358–369. [Google Scholar] [CrossRef]
- Luo, Y.; Gong, X.; Liu, J.; Qu, Y.; Feng, B. Sowing Date Regulates the Growth and Yield of Broomcorn Millet (Panicum miliaceum L.): From Two Different Ecological Sites on the Loess Plateau of China. Agronomy 2022, 12, 1727. [Google Scholar] [CrossRef]
- Rao, W.; Li, X.; Ouyang, L.; Zhu, S.; Hu, S.; Yuan, L.; Zhou, J. Investigation of the quality of rapeseed oil derived from different varieties and growth periods based on GC-IMS technique. Microchem. J. 2024, 205, 111357. [Google Scholar] [CrossRef]







| Trait | H′ | Trait | H′ |
|---|---|---|---|
| Seed colour (SC) | 1.641 | Length of panicle stalk (LPS) | 4.034 |
| Inflorescence colour (IC) | 0.689 | Number of main stem segment (NMSS) | 2.934 |
| Panicle type (PT) | 0.718 | Number of uniserial panicle (NUP) | 5.473 |
| Plant height (PH) | 5.421 | 1000-seed weight (1000SW) | 6.358 |
| Length of main panicle (LMP) | 4.261 | Period of duration (PD) | 4.253 |
| Trait (1) | PV (1) | PV (2) | PV (3) | PV (4) |
|---|---|---|---|---|
| PH | 0.867 | 0.122 | −0.24 | −0.114 |
| LMP | 0.743 | −0.266 | 0.092 | −0.056 |
| LPS | 0.565 | −0.660 | −0.023 | 0.014 |
| NMSS | 0.720 | 0.453 | 0.067 | −0.113 |
| NUP | −0.92 | 0.200 | 0.938 | −0.214 |
| 1000SW | 0.219 | 0.177 | 0.202 | 0.938 |
| PD | 0.142 | 0.832 | −0.290 | −0.077 |
| E | 2.218 | 1.490 | 1.020 | 0.960 |
| CR (%) | 31.680 | 21.287 | 14.567 | 13.717 |
| CCR (%) | 31.680 | 52.967 | 67.534 | 81.252 |
Disclaimer/Publisher’s Note: The statements, opinions and data contained in all publications are solely those of the individual author(s) and contributor(s) and not of MDPI and/or the editor(s). MDPI and/or the editor(s) disclaim responsibility for any injury to people or property resulting from any ideas, methods, instructions or products referred to in the content. |
© 2025 by the authors. Licensee MDPI, Basel, Switzerland. This article is an open access article distributed under the terms and conditions of the Creative Commons Attribution (CC BY) license (https://creativecommons.org/licenses/by/4.0/).
Share and Cite
Kong, Y.; Zhang, X.; Li, H.; Qiu, Y.; Hou, H.; Zhang, X.; Feng, B.; Yang, Q. Phenotypic Variation of 933 Broomcorn Millet (Panicum miliaceum L.) Germplasm Resources. Plants 2025, 14, 2536. https://doi.org/10.3390/plants14162536
Kong Y, Zhang X, Li H, Qiu Y, Hou H, Zhang X, Feng B, Yang Q. Phenotypic Variation of 933 Broomcorn Millet (Panicum miliaceum L.) Germplasm Resources. Plants. 2025; 14(16):2536. https://doi.org/10.3390/plants14162536
Chicago/Turabian StyleKong, Yuyao, Xia Zhang, Haoyang Li, Yirong Qiu, Hanghang Hou, Xiaoling Zhang, Baili Feng, and Qinghua Yang. 2025. "Phenotypic Variation of 933 Broomcorn Millet (Panicum miliaceum L.) Germplasm Resources" Plants 14, no. 16: 2536. https://doi.org/10.3390/plants14162536
APA StyleKong, Y., Zhang, X., Li, H., Qiu, Y., Hou, H., Zhang, X., Feng, B., & Yang, Q. (2025). Phenotypic Variation of 933 Broomcorn Millet (Panicum miliaceum L.) Germplasm Resources. Plants, 14(16), 2536. https://doi.org/10.3390/plants14162536

