Next Article in Journal
Tardigrades of North America: Additions to Montana’s Biodiversity Including a New Species, Platicrista loloensis nov. sp. (Parachela, Hypsibioidea, Itaquasconinae)
Previous Article in Journal
Trade-Off between Song Complexity and Colorfulness in Parid Birds
 
 
Font Type:
Arial Georgia Verdana
Font Size:
Aa Aa Aa
Line Spacing:
Column Width:
Background:
Article

What Factors Determine the Natural Fruit Set of Cephalanthera longifolia and Cephalanthera rubra?

by
Laurynas Taura
and
Zigmantas Gudžinskas
*
Laboratory of Flora and Geobotany, Nature Research Centre, Žaliųjų Ežerų Str. 47, 12200 Vilnius, Lithuania
*
Author to whom correspondence should be addressed.
Diversity 2024, 16(6), 333; https://doi.org/10.3390/d16060333
Submission received: 7 May 2024 / Revised: 2 June 2024 / Accepted: 5 June 2024 / Published: 6 June 2024
(This article belongs to the Section Biodiversity Conservation)

Abstract

The reproduction of rare and endangered plant species is one of the most important factors determining the stability and survival of their populations, and knowledge of the barriers to successful reproduction is essential for species conservation. Habitat loss and slow reproduction due to low fruit set are usually considered the main threats to Cephalanthera longifolia and C. rubra (Orchidaceae). The aim of this study was to analyse the natural fruit set of these species during three consecutive years in Lithuania in the northern part of the temperate zone of Europe. Six populations of C. longifolia and three populations of C. rubra were studied each year from 2021 to 2023. During the study period, 49.3% to 54.4% of C. longifolia and 40.0% to 54.3% of C. rubra individuals produced no fruit. Over the three-year period, fruit set in individual populations of C. longifolia ranged from 5.2% to 19.5%, whereas fruit set in populations of C. rubra ranged from 4.1% to 18.8%. Significant weak or moderate correlations were found between plant height, inflorescence length and the number of flowers in the inflorescence and fruit set of both species. Flower position in the inflorescence had a significant effect on fruit set in both species, and the fruit set rate of lower flowers was higher than that of upper flowers. Significant but weak correlations were found between the fruit set and most of the environmental factors analysed. The results of this study suggest that the fruit set of C. longifolia and C. rubra is dependent on insect pollination of the flowers, which in turn is affected by habitat conditions.

1. Introduction

The number of declining or threatened plant species is increasing at an alarming rate worldwide [1,2]. Although considerable knowledge has been accumulated on some of the factors, such as habitat destruction, that drive species decline [3,4,5], there are still gaps in understanding the complex processes in plant populations related to climate change [6,7,8,9]. Demographic changes in plant populations, fecundity of individuals and population recruitment are the main factors determining the stability and longevity of populations [9,10,11,12]. It is, therefore, essential to accurately determine the efficiency of generative reproduction in populations of endangered species and which plant traits and biotic and abiotic factors contribute to reproductive success [9,13,14].
The family Orchidaceae Juss. is a diverse group of flowering plants comprising more than 700 genera and about 25,000 species, most of which are rare, declining or threatened with extinction in a changing environment [15,16,17]. Even the smallest alteration in an intricate system of species relationships with other organisms and the environment can disrupt the delicate equilibrium in their populations and cause a gradual decline [17,18]. Some changes, such as the time and duration of flowering, the peak of pollinator activity and its synchronisation with flowering, are anticipated under climate change but are difficult to assess even with rigorous research [19,20,21]. The study of reproduction in Orchidaceae has received considerable attention in recent decades [22,23,24]. Due to the extraordinary diversity of orchid species, their specific adaptations to environmental conditions, their diverse reproductive strategies and their complex evolutionary relationships with pollinators [25], only a fraction of terrestrial species have been studied for their fruit set rate. Furthermore, the results of some studies are inconclusive or even contradict the regularities found in different geographical regions.
Studies of natural fruit set in different species of the Orchidaceae family have shown that temperate species are significantly more successful than tropical species [26,27,28]. In addition, fruit set success is strongly influenced by the plant’s strategy for attracting pollinators. In general, species that reward pollinators with nectar have significantly higher fruit set rates (37.1%) than deceptive species (20.7%) that do not reward pollinators [27,29,30]. An analysis of the results of several studies showed that the mean fruit set of deceptive terrestrial Orchidaceae species in Europe was 27.7%, whereas the fruit set of rewarding species was significantly higher, reaching 63.1% [26]. Studies in Italy on the fruit set of the deceptive Orchis italica Poir, O. anthropophora (L.) All. and Anacamptis papilionacea (L.) R.M. Bateman, Pridgeon et M.W. Chase showed that their fruit set ranged from 13.9% to 16.5%, whereas the natural fruit set of the nectariferous Anacamptis coriophora (L.) R.M. Bateman, Pridgeon et M.W. Chase reached 94.2% [23,31]. A similar fruit set rate (92.0%) was found in a large population of rewarding Gymnadenia conopsea (L.) R.Br. in Belgium [32].
There are relatively few studies that have attempted to determine the relationship between Orchidaceae traits, such as plant height, number of leaves, inflorescence length or number of flowers in the inflorescence, and fruit set success. The results of the published studies are rather contradictory [33]. Calvo [34] found a negative correlation between the fruit set of Epidendrum exasperatum Rchb.f. and the number of flowers in the inflorescence. Other studies have shown a positive relationship between inflorescence size and fruit set. It was found that the larger the inflorescence of Rhyncholaelia glauca (Lindl.) Schltr. and Peristylus constrictus (Lindl.) Lindl., the more fruit the plant produced [35,36]. The same trend was found when the fruit set of Cephalanthera falcata (Thunb.) Blume was examined [37]. However, the significance of other plant traits for fruit set remains rather unclear. A study in Hungary found that the number of flowers in the inflorescence of C. rubra (L.) Rich. depended on plant height, leaf area and number of leaves, but these traits were not related to the number of fruits produced by an individual [38].
Species in the genus Cephalanthera Rich. are nectarless, and their flowers are, therefore, deceptive to pollinating insects [39,40,41,42]. Some species in this genus have cleistogamous flowers (e.g., C. damasonium (Mill.) Druce) and are considered autogamous, while other species are allogamous or have a mixed mating system [39,43,44]. Being autogamous, C. damasonium has a high fruit set rate of up to 95% [43]. The natural fruit set of deceptive C. exigua Seidenf. in Thailand has been reported to range from 4.4% to 7.7% [28]. A similar natural fruit set of C. falcata was found in Japan, reaching 7.5% [45].
Data on fruit set in C. longifolia (L.) Fritsch and C. rubra are scarce and partly contradictory [43,46,47,48]. In a small population of C. rubra studied in England, the fruit set was negligible during a decade of observation, with only one developed fruit recorded [49]. In a population of C. longifolia studied in Scotland between 1999 and 2020, developed fruits were only recorded during six years of observation and a maximum of four individuals with fruits were recorded in a single year [48]. Studies in northeastern Poland showed that in one population of C. rubra, 6.1% of all flowers set fruit, whereas in the other populations studied, no fruit set occurred during the study period [50]. Exceptionally low fruit set rates of C. rubra were found in four populations studied in Hungary, although exact values were not reported [38]. However, another report on fruit set of C. longifolia and C. rubra in Hungary, based on an examination of herbarium specimens, contrasts with data from other studies. The study reported that 45.4% of C. longifolia and 30.5% of C. rubra flowers developed into fruits [47]. Even higher fruit set rates, ranging from 51.5% to 62.4% in sunny habitats and from 26.4% to 31.9% in shady habitats, were reported for C. longifolia growing in the eastern Mediterranean [46].
In most countries in the temperate and boreal regions of Europe, C. longifolia and C. rubra are rare and legally protected species [51,52,53,54]. Habitat loss and alteration due to anthropogenic impacts are usually considered the main threats to both species. In addition, their slow reproduction, influenced by their life cycle and low fruit set, resulting in low seed production, contributes to the reduction of their population size and rarity [50,51,52,55,56]. Considering the scarce and conflicting information on the generative reproduction of C. longifolia and C. rubra from different parts of their range, we aimed to study the natural fruit set of these species during three consecutive years in Lithuania in the northern part of the temperate region of Europe. This study was designed to answer the following questions: (a) What is the natural fruit set rate of the study species within and between populations in different years? (b) What are the relationships between fruit set and plant characteristics? (c) How does flower position in the inflorescence contribute to the fruit set? (d) What is the effect of habitat characteristics and meteorological conditions on fruit set rate?

2. Materials and Methods

2.1. Study Sites

The study of natural fruit set of C. longifolia was carried out in six selected coenopopulations (hereafter referred to as populations), while C. rubra was studied in three populations in the southern part of Lithuania (Figure 1). Although there are several other C. rubra populations in Lithuania, it was not possible to conduct studies on them due to very low number or absence of generative individuals [53]. The study area ranged from 0.06 ha to 1.78 ha, depending on the density of individuals in the population (Table 1). The study sites were chosen in the most homogeneous part of the habitat. The composition of the plant communities in which the study species grew was described using the Braun-Blanquet [57] approach, and the cover of each vegetation layer (in percent) was estimated.
A brief description of each population studied is given below. The administrative location of the site, the total area occupied by the population of the species studied, the size of the study area, vegetation characteristics and habitat conditions are described. Detailed information on habitats and community structure can be found in Appendix A (Table A1).
Mikališkės. This population of C. longifolia is in Šalčininkai district, Dieveniškės Historical Regional Park, within the territory of Stakai Landscape Reserve, in the vicinity of Mikališkės village (Table 1) in a young Salix caprea stand. The stand was formed on former agricultural land, which was abandoned in the 1990s and subsequently overgrown with trees.
Katkuškės. This population of C. longifolia is in Šalčininkai district, Dieveniškės Historical Regional Park, within the territory of Stakai Landscape Reserve, near the village of Katkuškės (Table 1) in a secondary mixed forest. The species composition of the plant community is like that of the western taiga habitat.
Stakų Ūta. This population of C. longifolia is in Šalčininkai district, Dieveniškės Historical Regional Park, within the territory of Stakai Landscape Reserve, near the village of Stakų Ūta (Table 1) in a mature spruce forest. The species composition of the stand was like that of the Fennoscandian herb-rich forests with Picea abies habitat. Part of the mature trees (about 20% of the stand) were felled in 2019.
Raisteliai. This population of C. longifolia is in Vilnius city, Paneriai forest, near the settlement of Raisteliai (Table 1) in a young birch forest. The population occupies a large area and has a high density of individuals. The birch stand was formed on the site of a former arable field, which was used until about the end of the 1990s.
Paneriai. This population of C. longifolia is in Vilnius city, Paneriai forest, within the Geomorphological Reserve of the Old Valley Slopes of the River Vokė (Table 1) in a mature mixed forest. The population occupied a relatively large area, although the density of individuals was moderate. There were no visible signs of recent human activity in the stand.
Aukštieji Paneriai. This population of C. longifolia is in Vilnius city, in the Paneriai forest, near the settlement of Aukštieji Paneriai (Table 1) in a mixed forest. The population had a low density of individuals and occupied a narrow and elongated strip of forest along a forest road. There was clear evidence of anthropogenic pollution of the habitat and a considerable presence of alien and invasive species (Cytisus scoparius, Amelanchier spicata, Lupinus polyphyllus, Impatiens parviflora).
Kapiniškiai. This population of Cephalanthera rubra is in Varėna district, in the Kapiniškiai Landscape Reserve of Dzūkija National Park (Table 1) on the lower and middle parts of the south-western slope of the hill. The population occurred in a dry grassland habitat (6210*) with many protected plant species [58]. The grassland is particularly rich in species diversity and plants flowering from spring to late summer, especially during the flowering period of C. rubra. The habitat has been managed regularly, with the grassland being mown every few years in autumn. The number of flowering C. rubra individuals decreased slightly in 2023 because of a severe drought in late spring.
Liūnelis. This population of C. rubra is in Lazdijai district, in the Liūnelis Strict Nature Reserve of Veisiejai Regional Park and (Table 1) in a sparse mixed forest. The community is notable for its richness in rare and endangered species, including Cypripedium calceolus, Laserpitium latifolium, Laserpitium prutenicum and Tofieldia calyculata. In the 2010s, most of the shrubs and about half of the trees in the stand were cleared to meet the requirements for the conservation of rare species, but during the study years, the shrub cover increased significantly again (from 40% to 70%). The number of flowering Cephalanthera rubra individuals on the site decreased significantly from 2021 to 2023 (Table 2).
Spindžius. This population of C. rubra is in Trakai district, in the Spindžius Landscape Reserve of Aukštadvaris Regional Park (Table 1), in a sparse xerothermic forest. In the 2000s, the habitat of C. rubra was managed by clearing about half of the trees in the stand to improve habitat conditions for Cypripedium calceolus. However, the population of Cephalanthera rubra was small, and the number of flowering individuals decreased significantly during the study period (Table 2).

2.2. Study Design

A study on the natural fruit set of C. longifolia and C. rubra was performed in 2021, 2022 and 2023. Each year, this study was conducted in the same part of the site of the target species. This study was conducted in two phases each year. In the initial phase of the study, 50 generative individuals exhibiting no obvious signs of damage were selected and evaluated in each population. In the case of small populations, all generative individuals were evaluated (Table 2). Individuals were selected with a minimum distance of one metre between them to avoid sampling different shoots grown from the rhizome of the same individual. However, in small populations of C. rubra, this rule was not applied.
The initial assessment of individuals of C. longifolia was conducted during the first decade of June, while the assessment of C. rubra was performed during the third decade of June, during the period of intensive flowering. The height (from the ground to the top of the inflorescence) and the length of the inflorescence (from the lower flower to the top of the inflorescence) of individuals were measured. The number of leaves (excluding leaf-like bracts) and flowers (including unopened ones) was recorded. All the flowers of the individual were recorded in the survey form and numbered consecutively from the bottom to the apex of the inflorescence. The individuals selected for this study were marked at the base of the stem at ground level with a transparent silicone tag, the diameter of which was 1 cm, on which the individual number was written with a permanent marker. The research data were recorded on pre-designed forms.
In the second assessment phase, the number of developed fruits of each tagged individual in the population was assessed. The second assessment of C. longifolia individuals was performed in the first decade of July, and the assessment of C. rubra individuals was performed in the third decade of July. By this time, the fruits had grown to their normal size, and the flowers that had not set fruit had fallen off. Normally developed fruits were counted, giving the number of the flower in the inflorescence that produced them. Yellowed, wrinkled or abnormally developed fruits were not counted. The tags used to identify individuals were collected and reused the following year.

2.3. Soil Sampling and Analysis

Soil samples, consisting of three subsamples, were collected in each habitat of the studied C. longifolia and C. rubra populations for soil agrochemical analysis. Soil samples were collected in 2021, the first year of this study. The top 2 cm of soil containing plant debris, live plants and mosses was removed. Soil samples were taken with a small shovel from the top to a depth of about 15 cm. All subsamples (about 350 g each) were thoroughly mixed and transferred to labelled cloth bags to obtain about 1 kg of sample and taken to the laboratory. At the laboratory, the soil samples were lightly crushed to prevent clumping and left to dry in the open bags at room temperature (22 °C). The dried soil samples were stored in cloth bags until analysis.
Agrochemical analyses of the soil samples were performed at the Laboratory of Agrochemical Analyses of the Lithuanian Research Centre for Agriculture and Forestry (Kaunas, Lithuania). The amount of humus (%) and the content of soluble phosphorus (P2O5; mg/kg) were determined by the photometric method; the content of exchange potassium (K2O; mg/kg) was determined by the Chirikov method using a flame photometer. The pH of the soil in water solution (in potassium chloride (KCl) suspension; mol/L) was determined by instrumental methods. Total soil nitrogen (N) concentration (mg/kg) was determined by the Kjeldahl method [59]. The agrochemical characteristics of the soils in each habitat are presented in Appendix A (Table A2).

2.4. Meteorological Conditions

Mean monthly temperatures (°C) and sum of precipitation (mm) for the months of May and June for all years of this study (2021–2023) were used for the analysis (Table A3). These months were chosen because C. longifolia and C. rubra plants emerge, grow intensively, flower and set fruit during these months. Meteorological data were provided by the Lithuanian Hydrometeorological Service under the Ministry of Environment. Meteorological data for each habitat during the study years are presented in Appendix A (Table A3).

2.5. Statistical Analyses

The normality of the collected data sets was assessed using the Shapiro–Wilk test. As some of the data from individual populations were not normally distributed, non-parametric data analysis methods were used. Although the pooled data were normally distributed, non-parametric methods were also used to analyse the data because of uneven sample sizes in some years of this study due to a decline in the number of generative individuals. The Kruskal–Wallis H test was used to compare all populations, and the Mann–Whitney post hoc test was used for pairwise comparisons between populations. Due to the presence of null values in the data set for the number of fruits developed, the pairwise comparison of populations was performed using Dunn’s post hoc test.
The effect of studied population, study year and habitat on fruit set of both species was assessed using a two-way permutational multivariate analysis of variance (9999 permutations) based on the Bray–Curtis dissimilarity matrix. Relationships between fruit set and plant characteristics, cover of vegetation layers, soil agrochemical characteristics and meteorological conditions were analysed using linear correlation tests.
The percentage of fruit set in individual populations, in study years or in total during this study (pooled data), was calculated from the sum of the total number of flowers examined and the sum of fruits developed. The percentage of fruit set of each plant studied was calculated from the total number of flowers of that individual. The effect of most factors on fruit set was tested using the number of flowers that produced fruit and the percentage of flowers in the inflorescence that produced fruit.
The results of the descriptive statistics are presented as mean and standard deviation (mean ± SD). The significance level of the results was set at p < 0.05. All calculations were performed, and graphs were drawn using PAST 4.16 software [60].

3. Results

3.1. Fruit Set

3.1.1. Fruit Set of Cephalanthera longifolia

The results of this study showed that each year, almost half of the studied C. longifolia individuals produced no fruit (54.4% of the plants in 2021, 49.3% in 2022 and 50.7% in 2023). About a quarter of the plants studied produced one fruit (27.1% in 2021, 24.3% in 2022 and 26.7% in 2023). The proportion of individuals producing two or more fruits varied over a wider range between the years (18.0% of plants in 2021, 26.3% in 2022 and 22.6% in 2023). It should be noted that only nine individuals produced six to nine fruits in all study years. However, when comparing fruit set in the same populations between study years, there was no significant difference (Figure 2), but there was a significant difference between all populations (H = 90.6, p < 0.001).
The highest mean fruit set by an individual was recorded in the Mikališkės population in 2022 (1.9 ± 1.9 fruits), while the lowest was recorded in the Aukštieji Paneriai population in the same year (0.2 ± 0.5 fruits). The results of the fruit set of C. longifolia over a three-year period showed that there were no differences between the study years (H = 2.95, p = 0.174). In all populations studied, the total fruit set was 11.1% in 2021 (2072 flowers and 230 fruits), 11.5% in 2022 (2547 flowers and 292 fruits) and 12.8% in 2023 (2070 flowers and 264 fruits). The total percentage of fruit set in all three years was 11.8% (6689 flowers and 786 fruits). However, it was found that the Paneriai and Aukštieji Paneriai populations produced significantly less fruit than the other populations, both in the individual years of this study and over the whole study period. Over the three-year period, the fruit set was 5.2% (1047 flowers, 54 fruits) in the Aukštieji Paneriai population and 7.9% (982 flowers, 78 fruits) in the Paneriai population, whereas the fruit set in the Mikališkės population was 19.5% (1202 flowers, 234 fruits).
As the results of the Kruskal–Wallis test showed no significant differences within populations between years (Figure 2), we used a two-way permutation analysis of variance to test the results. The results of this analysis also confirmed that the fruit set was significantly affected by population, while the effect of year and the interaction of the two factors were not significant (Table 3). Therefore, we used pooled data from all three years of this study to evaluate differences in fruit set between populations.
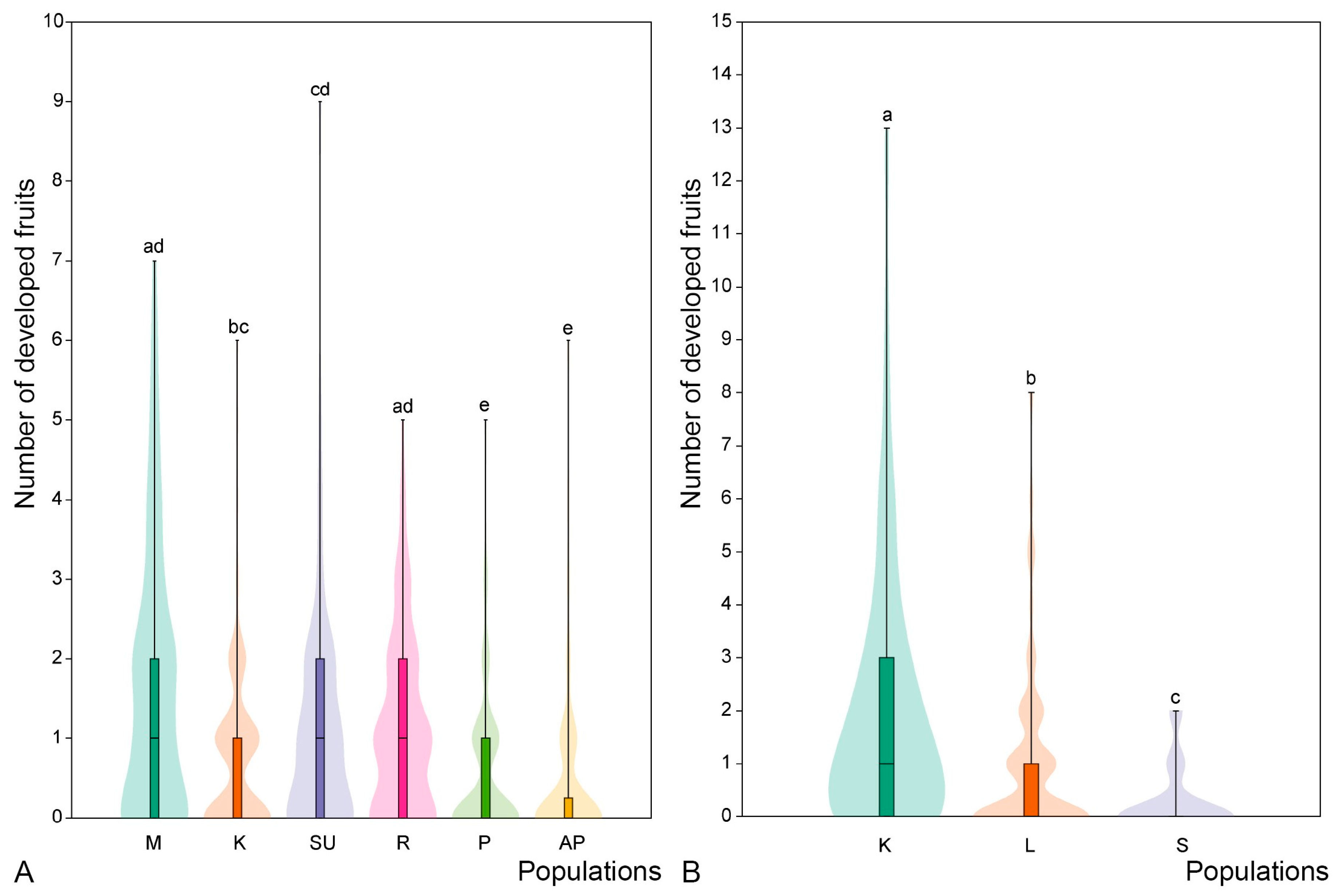
The analysis of fruit set in all the populations studied revealed significant differences between them (H = 78.9, p < 0.001). The highest mean number of fruits produced in a three-year period was found in the Mikališkės population (1.6 ± 1.7 fruits), while the lowest number of fruits was found in the Aukštieji Paneriai population (0.4 ± 0.8 fruits). According to the results of the pairwise comparison of the studied populations, significant differences were found between all of them (p < 0.05) except for four pairs of populations. No significant differences were found between Mikališkės and Raisteliai (z = 1.73, p = 0.083), Katkuškės and Stakų Ūta (z = 1.66, p = 0.096), Stakų Ūta and Raisteliai (z = 1.07, p = 0.286) and between Paneriai and Aukštieji Paneriai (z = 1.77, p = 0.077) (Figure 3).

3.1.2. Fruit Set of Cephalanthera rubra

The results of the fruit set of C. rubra over a three-year period (Figure 4) showed that, in contrast to C. longifolia, there were significant differences between the study years (H = 7.50, p = 0.014). More than half (54.3%) of all studied individuals did not produce any fruit in 2021. In the following years, the percentage of individuals not producing fruit was lower (40.0% in 2022 and 42.6% in 2023). The proportion of plants that produced a fruit varied considerably between years (20.3% in 2021, 27.1% in 2022 and 16.4% in 2023). There was an even greater variation between years in the proportion of individuals that produced two or more fruits (25.4% of plants in 2021, 32.9% in 2022 and 41.0% in 2023). It should be noted that 16 individuals (14 in Kapiniškiai and 2 in Liūnelis populations) produced between six and thirteen fruits in all study years.
In all populations studied, the total fruit set was 11.0% in 2021 (1167 flowers examined, 128 fruits set), 16.2% in 2022 (742 flowers and 120 fruits) and 21.5% in 2023 (656 flowers and 141 fruits). The total percentage of fruit set in all three years was 15.2% (2565 flowers and 389 fruits). The fruit set rate in all populations in 2021 was significantly (z = 1.98, p = 0.048) lower than in 2022 and significantly (z = 2.69, p = 0.007) lower than in 2023. There was no significant difference in fruit set rate between 2022 and 2023 (z = 084, p = 0.399). However, it was found that the fruit set was significantly lower in the Spindžius population than in the other populations studied. Over the three-year period, the fruit set rate in the Spindžius population was 4.1% (340 flowers, 14 fruits), while the fruit set rate in the Kapiniškiai population was 18.8% (1524 flowers, 286 fruits).
Analysis of pooled data from all three years of the study showed significant differences between all populations (H = 37.7, p < 0.001), as well as between all pairs of populations (p < 0.01). The highest mean number of fruits produced by an individual (Figure 4) was found in the Kapiniškiai population (2.0 ± 2.5 fruits), whereas the lowest number of fruits was found in the Spindžius population (0.3 ± 0.6 fruits). The effect of year on the fruit set was also supported by a two-way permutation analysis of variance (Table 4). It showed that the fruit set was significantly influenced by both population and study year, while the interaction between the two factors was not significant.
The comparison of fruit set in all studied populations in the different years of the study showed significant differences between them (H = 49.3, p < 0.001). In the Kapiniškiai population, the highest mean number of fruits produced by a plant was recorded in 2023 (3.3 ± 3.3 fruits), which was significantly higher than in 2021 (1.4 ± 1.5 fruits; z = 2.42, p = 0.016). In contrast to the Kapiniškiai population, the mean number of fruits in the Liūnelis population was significantly lower in 2023 (0.2 ± 0.6 fruits) than in 2021 (1.0 ± 1.5 fruits; z = 2.07, p = 0.038) and 2022 (1.2 ± 1.8 fruits; z = 2.17, p = 0.029). In the Spindžius population, the mean number of fruits did not differ significantly between the survey years, but this may have been influenced by the small sample size in 2022 and 2023 (seven and four individuals surveyed, respectively).

3.2. Effect of Plant Traits on Fruit Set

3.2.1. Cephalanthera longifolia

The mean height of C. longifolia individuals in all years of this study was 33.9 ± 7.6 cm, but in individual populations, the mean plant height ranged from 28.5 ± 5.9 cm to 40.2 ± 9.9 cm (Table 5). A comparison of all data revealed significant differences in height both between populations (H = 47.4, p < 0.001) and between years (H = 68.4, p < 0.001). The tallest individuals were found in 2022 (36.1 ± 7.9 cm) and were significantly taller than in 2021 (34.3 ± 7.2 cm) and 2023 (31.2 ± 7.0 cm). Correlation analysis (Table 6) showed a significant weak relationship between the height of individuals and the number of fruits produced (r = 0.34, p < 0.001).
The number of leaves was relatively constant in all C. longifolia individuals. The mean number of leaves for all individuals was 7.4 ± 1.1 leaves, while the number of leaves for individual plants ranged from 4 to 11 leaves. The mean number of leaves in individual populations ranged from 6.4 ± 1.0 to 8.2 ± 0.9 leaves (Table 5). There was no significant difference in the mean number of leaves between the different years of this study (H = 4.2, p = 0.102), but individuals had significantly more leaves in 2022 (p = 0.034) than in 2023. There were significant differences in the number of leaves between the study populations (H = 149.6, p < 0.001). No significant relationship (Table 6) was found between the number of leaves and the number of developed fruits (r = −0.02, p = 0.539).
The mean inflorescence length of C. longifolia individuals in all study years was 7.8 ± 3.6 cm, and the mean inflorescence length in the different populations ranged from 4.7 ± 2.3 cm to 11.2 ± 5.0 cm (Table 5). When all the data were compared, significant differences in inflorescence length were found between the populations studied (H = 73.9, p < 0.001) and between the years studied (H = 106.7, p < 0.001). The longest inflorescences were recorded in 2022 (8.7 ± 3.9 cm) and differed insignificantly from 2021 (8.4 ± 3.0 cm) but were significantly longer than in 2023 (6.3 ± 3.4 cm). Correlation analysis (Table 6) showed that there was a significant weak relationship between inflorescence length and the number of fruits developed (r = 0.41, p < 0.001).
The mean number of flowers per inflorescence for all studied C. longifolia individuals over the three years was 7.5 ± 3.2 flowers, while the mean number of flowers per inflorescence for studied individuals in the different populations ranged from 5.9 ± 2.1 to 9.4 ± 4.3 flowers (Table 5). The mean number of flowers per inflorescence was significantly different between the different survey years (H = 55.5, p < 0.001) and between all the populations studied (H = 39.2, p < 0.001). The highest number of flowers per individual was found in 2022 (8.5 ± 3.5 flowers) and was significantly (p < 0.001) higher than the number of flowers in 2021 (7.0 ± 2.7 flowers) and 2023 (6.9 ± 3.1 flowers). We found a weak but significant correlation (Table 6) between the number of flowers per inflorescence and the number of fruits produced by an individual (r = 0.36, p < 0.001).

3.2.2. Cephalanthera rubra

The mean height of C. rubra individuals in all study years was 45.9 ± 11.5 cm, but in individual populations, the mean plant height ranged from 37.4 ± 5.7 cm to 50.6 ± 7.2 cm (Table 7). A significant difference in mean plant height was found between populations (H = 16.6, p < 0.001), while no significant difference in mean height was found between study years (H = 0.06, p = 0.971). The mean height of the individuals was 45.0 ± 13.0 cm in 2023 and 46.3 ± 11.4 cm in 2021. Correlation analysis (Table 6) showed a significant weak correlation between the height of individuals and the number of fruits produced (r = 0.35, p < 0.001).
The mean number of leaves of C. rubra in all study years was 6.2 ± 1.1, but in individual populations, the mean number of leaves ranged from 5.3 ± 0.7 to 7.2 ± 1.0 leaves (Table 7). The number of leaves per individual ranged from 3 to 10. There was a significant difference in the mean number of leaves between populations (H = 56.2, p < 0.001) and between years (H = 37.7, p < 0.001). The mean number of leaves of an individual in 2021 (6.6 ± 1.1 leaves) was significantly higher (p < 0.001) than in 2022 (5.8 ± 1.0 leaves) and 2023 (5.8 ± 0.8 leaves). There was a very weak and non-significant negative correlation (Table 6) between the number of leaves and the number of fruits produced (r = −0.08, p = 0.165).
The mean inflorescence length of C. rubra individuals in all study years was 11.9 ± 5.6 cm, but the mean inflorescence length in the individual populations ranged from 7.6 ± 2.5 cm to 14.3 ± 7.9 cm (Table 7). Inflorescence length of individual plants ranged from 3 cm to 35 cm. There was a significant difference in mean inflorescence length between populations (H = 18.8, p < 0.001) but no significant difference between study years (H = 1.0, p = 0.609). The shortest inflorescences, according to the pooled data of each year, were recorded in 2021 (11.2 ± 4.3 cm) and the longest in 2023 (12.6 ± 7.1 cm). A moderate and significant correlation (Table 6) was found between inflorescence length and number of fruits produced (r = 0.55, p < 0.001).
The mean number of flowers in the inflorescence of C. rubra individuals was 9.0 ± 4.2, while the mean number of flowers in the individual populations ranged from 6.3 ± 1.8 to 12.2 ± 4.9 (Table 7). The number of flowers in individual plants ranged from 4 to 27. There was a significant difference in the mean number of flowers between populations (H = 55.9, p < 0.001) and between study years (H = 15.1, p < 0.001). Plants had significantly (p < 0.01) more flowers in 2023 (10.8 ± 4.7 flowers) than in 2021 (8.5 ± 4.0 flowers) and 2022 (8.7 ± 3.8 flowers). A moderate and significant correlation (Table 6) was found between the number of flowers and the number of fruits produced (r = 0.53, p < 0.001).

3.3. Effect of Flower Position in the Inflorescence on Fruit Set

3.3.1. Cephalanthera longifolia

Analysis of the effect of flower position in the inflorescence on fruit set using two-way permutational multivariate analysis showed that flower position in the inflorescence had a significant effect on fruit set in all cases (Table 8). Flower position in the inflorescence had a significant effect on fruit set in the different years of this study, while the year of the study and the interaction between the two factors had no significant effect. As only population had a significant effect on the fruit set in the different years of this study, the effect of population and habitat on the fruit set was evaluated by considering the position of the flower in the inflorescence. It was found that flower position in the inflorescence, population, and the interaction between the two significantly influenced fruit set (Table 8). The same patterns were found when assessing the effect of habitat on fruit set. The flower position in the inflorescence, habitat and their interaction had a significant effect on the fruit set.
It was found that the year of the study had no significant effect on the fruit set depending on the position of the flower in the inflorescence. Analysis of the pooled data for all three years in each population showed that the first four flowers in the inflorescence produced relatively more fruit than flowers higher up in the inflorescence, although the percentage of fruit set varied significantly between populations. The highest percentage of fruit set in the lower flowers was observed in the Raisteliai (11.3% to 31.3%) and Mikališkės (19.3% to 29.7%) populations, while the lowest was observed in the Aukštieji Paneriai population (2.7% to 8.7%). The results show that there is a strong trend: the higher the inflorescence of a flower is, the less often it sets fruit. Thus, in all populations studied, apical flowers did not set fruit or set fruit only occasionally (Figure 5). In the Katkuškės population, 2 of the 31 flowers in the tenth position set fruit within three years, but none of the 21 flowers in the eleventh position set fruit. Similar patterns of fruit set were observed in the other populations (Figure 5). It should be noted that, in general, plants in all populations had few flowers in the tenth and higher positions.

3.3.2. Cephalanthera rubra

Analysis of the relationship between flower position in the inflorescence and fruit set in C. rubra showed slightly different patterns from those in C. longifolia. The fruit set was not significantly influenced by study year, flower position and their interaction (Table 9). Population, flower position and their interaction had a significant effect on the fruit set, both for the number of fruits produced and for the percentage of flowers in an inflorescence that produced fruits (Table 9). As the three populations studied were in different habitats, we could not assess their effect on the fruit set.
The relationship between fruit set and flower position in the inflorescence differed significantly between the populations, but there was a trend towards higher fruit set in lower-positioned flowers (Figure 6). In the Kapiniškiai population, the fruit set on the first ten flowers were much higher than in the other C. rubra populations, ranging from 15.9% to 30.7%. The flowers in the higher positions, from eleventh to seventeenth, had a fruit set success close to the mean, although the number of flowers in these positions was smaller than the number of flowers in the lower positions. In the Liūnelis population, the fruit set success of the first ten flowers ranged from 0% to 21.7%, while the 38 flowers with the higher position produced only two fruits. In the Spindžius population, the fruit set success was even lower, and the total number of fruits set was low (Figure 6). It was observed that in the Liūnelis and Spindžius populations, there was a significant decrease in the number of generative individuals over the three years of the study and a consequent decrease in fruit set success, irrespective of the position of the flower within the inflorescence.

3.4. Effect of Environmental Factors on Fruit Set

3.4.1. Cephalanthera longifolia

As habitat had a significant effect on the fruit set, while study year and the interaction between year and habitat had no significant effect, we analysed the effect of individual ecological habitat characteristics on the fruit set. The analysis of the influence of vegetation layers on the fruit set showed that there was no correlation between the cover of trees, shrubs and herbaceous plants and the number of fruits produced (Table 10). The correlations between the cover of these layers, the number of fruits developed and the percentage of flowers that produced fruits were close to zero and not significant. There was a significant weak negative correlation (r = −0.27, p < 0.001) between the cover of the bryophyte layer and the number and percentage of fruits produced (Table 10).
The analysis of soil agrochemical properties (pH, phosphorus, potassium, total nitrogen and humus) and their relationships with the fruit set showed reliable but mainly very weak or insignificant correlations. The only significant but weak correlation was between soil mobile potassium and the fruit set (r = 0.26, p < 0.001). Furthermore, mainly very weak correlations were found between all analysed plant traits and soil agrochemical characteristics (Table 10).
The evaluation of the relationship between meteorological conditions (mean monthly temperature and sum of precipitation in May and June) and the fruit set showed no significant correlations (Table 10).

3.4.2. Cephalanthera rubra

Analysis of the C. rubra fruit set showed that habitat and study year had a significant effect, while the interaction between year and habitat had no significant effect. These results suggest the influence of environmental and meteorological factors on fruit set success. The analysis of the influence of vegetation layers on the fruit set showed a significant negative weak correlation between the cover of trees (r = −0.30, p < 0.001), shrubs (r = −0.26, p < 0.001) and bryophytes (r = −0.28, p < 0.001), while the cover of herbaceous plants had no significant effect (r = 0.04, p = 0.460) on the number of fruits produced (Table 10).
Analysis of soil agrochemical properties (pH, phosphorus, potassium, total nitrogen and humus) and their relationships with the C. rubra fruit set showed reliable but mainly weak correlations. Positive weak correlations were found between the number of fruits produced and soil pH (r = 0.24, p < 0.001) and phosphorus content (r = 0.33, p < 0.001). The relationships between the number of fruits produced and other soil agrochemical properties were weak and negative: with potassium (r = −0.27, p < 0.001), with total nitrogen (r = −0.29, p < 0.001). The correlation between the humus content and the number of developed fruits (Table 10) was very weak and negative (r = −0.13, p = 0.027).
The evaluation of the relationship between meteorological conditions (mean monthly temperature and sum of precipitation in May and June) and the fruit set showed few reliable correlations. There was a weak negative relationship between the number of fruits produced and mean June temperature (r = −0.24, p < 0.001) and the sum of May precipitation (r = −0.26, p < 0.001). The sum of June precipitation had a very weak positive relationship (Table 10) with the number of fruits produced (r = 0.14, p = 0.020).

4. Discussion

4.1. Fruit Set

The results showed that the natural fruit set in the studied populations of C. longifolia and C. rubra in Lithuania during the three years of this study (2021–2023) was relatively stable and close to the average fruit set of nectarless species of Orchidaceae [27,29]. Nevertheless, our results differ significantly from those reported in the literature on the fruit set of C. longifolia and C. rubra. In Lithuania, both species had a much higher fruit set than in the British Isles [48,49]. In Poland, the fruit set of C. rubra [50] was like that of Lithuanian forest populations but significantly lower than the overall fruit set of this species. Our fruit set results for both species were significantly lower than those found in Hungary [47] and the eastern Mediterranean [46].
The much higher fruit set found in Hungary for both studied species could be due to the choice of survey method. As the fruit set was assessed from herbarium specimens, these data may be strongly biased by sampling only representative, well-developed and abundantly fruiting individuals and may not reflect the real situation of the whole population [47].
Since C. rubra and C. longifolia [43,46] were reported to be abundantly fruiting in the second half of the 20th century, it can be assumed that the current change is because of climate change. One possible factor is a desynchronisation of flowering phenology and pollinator activity [20,61], but detailed studies of flowering and pollinator activity in different parts of the species’ range are needed to confirm this hypothesis.

4.2. Effect of Plant Traits on Fruit Set

The results of this study showed a weak but significant and very similar positive correlation between the height of C. longifolia and C. rubra individuals and the number of fruits produced. This suggests that taller plants, which tend to have longer inflorescence and more flowers, produce more fruits. Many researchers suggest that a larger inflorescence, and thus better floral display, attracts more pollinators to the flowers of deceptive species and increases the fruit set [62,63]. Information on the pollinators of C. longifolia and C. rubra is rather limited and fragmentary. The most frequently reported pollinators of the flowers of these plants were Hymenoptera insects of the genera Andrena, Chelostoma, Dufourea, Halictus, Heriades, Lasioglossum and Osmia [39,41,46]. Our attempts to identify pollinating insects at selected study sites were unsuccessful. Therefore, specific studies are needed to assess the role of these and other insects in the pollination of Cephalanthera longifolia and C. rubra flowers in different parts of their range.
Our results are consistent with other studies of the fruit set in deceptive species. Taller individuals of Orchis italica, Ophrys sphegodes Mill. and Himantoglossum adriaticum H. Baumann were found to produce more fruit than shorter individuals [23,64]. This suggests that taller plants are more visible to pollinators and have higher pollination success, resulting in higher fruit set [65]. The opposite pattern was found in Orchis anthropophora, where shorter plants produced more fruit than taller ones [23].
Quite unexpectedly, there was no significant correlation between the number of leaves on a plant and the number of fruits developed. This suggests that the number of leaves is more important for the production and storage of energy for the next year [66,67] than for energy use in the same year, including fruit set. This assumption is also supported by the very weak, although significant, correlation between the number of leaves and the number of flowers in the inflorescence, and the insignificant correlation between the number of leaves and the length of the inflorescence. To confirm that a higher number of leaves, and thus a larger photosynthetic area, influences the size of the inflorescence in the following year and, to some extent, the number of fruits produced in the case of Cephalanthera longifolia and C. rubra, long-term studies on marked individuals are required.

4.3. Effect of Flower Position in the Inflorescence on Fruit Set

The results of our study on the relationship between flower position in the inflorescence and fruit set showed that in C. longifolia and C. rubra, lower flowers in the inflorescence develop more fruits than upper flowers. We suggest that this phenomenon is driven by peculiarities in pollinator behaviour. In other nectarless Orchidaceae species, insects visit and pollinate flowers that first open at the base of the inflorescence but later start to ignore subsequently opening nectarless flowers [29,62].
Some studies suggest that the low fruit set in the upper part of the inflorescence is determined by the limited energy resources available to the plant [37,68,69]. However, further studies are needed to confirm the hypothesis on the effect of limited energy resources on fruit set. The results of studies on other nectarless species are somewhat contradictory. In Orchis anthropophora and Anacamptis papilionacea, the fruit set did not depend on the position of the flower in the inflorescence, but in Orchis italica, there was a clear tendency for the fruit set to decrease from the base to the top of the inflorescence [23].
Despite the similar dependence of the fruit set of Cephalanthera longifolia and C. rubra on flower position, we also found significant differences. The total fruit set of C. rubra was higher than that of C. longifolia. Furthermore, in C. rubra inflorescences, the fruit set of the first seven flowers was very similar, whereas in C. longifolia, only the first four flowers showed a similar fruit set. We, therefore, hypothesise that the dependence of the fruit set on the position of the flower in the inflorescence is influenced by species characteristics as well as various environmental factors, including biotic habitat conditions.

4.4. Effect of Environmental Factors on Fruit Set

The results of our study showed that habitat had a significant effect on the fruit set of C. longifolia and C. rubra, but different habitat factors had different effects on the species. There was no significant relationship between tree, shrub and herbaceous cover in C. longifolia habitats, but unexpectedly, a significant negative relationship was found between bryophyte cover and fruit set. Bryophyte cover is, to some extent, an indicator of the homogeneity and stability of forest habitats [70,71]. In the case of C. longifolia habitats, the density of individuals in stands with lush bryophyte cover was significantly lower than in early successional habitats. As no populations of C. longifolia have been found in open habitats in Lithuania, it is difficult to assess the true effect of tree and shrub cover on fruit set. For example, in the eastern Mediterranean region, a significant difference in the fruit set between C. longifolia in open habitats and habitats with shrub or tree cover was found [46].
Significant, although weak, negative correlations were found between the C. rubra fruit set and tree and shrub cover. This species, like many others, has a much better fruit set in open habitats than those growing in the shade of trees and shrubs [72,73]. The negative effect of dense tree and shrub cover on the fruit set has also been found in populations of Calypso bulbosa (L.) Oakes [74]. We expect that flowering plants, even nectarless ones, growing in open grassland habitats are much more likely to be visited and pollinated by insects [75]. In particular, the probability of flower pollination increases in habitats with a high diversity of continuously flowering plants, as was the case in the Kapiniškiai population [38].
The effect of soil agrochemical composition and properties on the fruit set in both species studied is controversial and difficult to explain. Only soil pH and fruit set showed weak but positive correlations for both species studied. Alkaline soils tend to support a much higher diversity of plant species than neutral or acidic soils [76,77], and a high diversity of flowering plants attracts more pollinating insects [72,78]. This may influence the fruit set more than the soil pH itself. The correlations between other soil parameters (phosphorus, potassium and humus concentrations) and the fruit set of Cephalanthera longifolia were inversely correlated with those of the same parameters and the fruit set of C. rubra. We assume that the significant positive and negative correlations are due to stochasticity and that other factors determine the success of the fruit set.
The results showed that there was a weak but significant correlation between the fruit set of C. longifolia and C. rubra and the mean June temperature. We assume that the higher air temperature leads to a reduction in the activity of pollinating insects, especially bumblebees [79,80], and consequently to a lower fruit set. In addition, higher air temperatures shorten the flowering period. This, in turn, reduces the likelihood that nectarless flowers will be visited and pollinated by insects. The correlation between June rainfall and fruit set was positive but very weak for both species. The negative and significant correlation between May rainfall and the fruit set of C. rubra also appears to be coincidental, as the fruit set of a plant that has not yet started flowering at that time is unlikely to be adversely affected by heavy precipitation.

5. Conclusions

The mean fruit set rate over the three years of this study in Lithuania was 11.8% for C. longifolia and 15.2% for C. rubra, and the fruit set was higher than in other temperate regions of Europe but lower than in the Mediterranean region. The results showed that the fruit set was similar in the same populations in different years but varied significantly between populations. At the level of individual populations, the lowest mean fruit set in C. longifolia over the three years was 5.2%, and the highest was 19.5%, while in C. rubra populations, it ranged from 4.1% to 18.8%. During the study period, 49.3% to 54.4% of C. longifolia and 40.0% to 54.3% of C. rubra individuals did not produce any fruit, and the proportion of such individuals was higher in smaller populations and in populations with a low density of individuals.
No correlation was found between the number of leaves per individual and the number of fruits produced, while plant height, inflorescence length and the number of flowers were weakly correlated with fruit set in C. longifolia and moderately correlated with fruit set in C. rubra. The lower flowers, i.e., the earliest to open, produced fruit significantly more often than the flowers higher in the inflorescence. Although habitat had a significant effect on the fruit set, individual habitat characteristics, soil composition and the meteorological conditions analysed were only weakly correlated with the fruit set. We, therefore, conclude that the relatively low fruit set of C. longifolia and C. rubra is due to inefficient pollination of flowers by pollinators, but this can be confirmed by an artificial pollination experiment.

Author Contributions

Conceptualization, methodology, software, validation, formal analysis, investigation, resources, original draft preparation, review and editing and visualization, L.T. and Z.G.; data curation, L.T.; supervision, Z.G. All authors have read and agreed to the published version of the manuscript.

Funding

This research received no external funding.

Institutional Review Board Statement

Not applicable.

Data Availability Statement

Data are available on request from the authors.

Conflicts of Interest

The authors declare no conflicts of interest.

Appendix A

Table A1. Characteristics of vegetation in Cephalanthera longifolia and Cephalanthera rubra study sites. Species are arranged in order of decreasing abundance in the layer.
Table A1. Characteristics of vegetation in Cephalanthera longifolia and Cephalanthera rubra study sites. Species are arranged in order of decreasing abundance in the layer.
Species and SitesSite CharactersHabitat and Soil Type, Cover of Vegetation Layers (%) and Prevalent Species in the Layer
Cephalanthera longifolia
MikališkėsHabitatSalix caprea stand
SoilGravelly loam
Tree layer60%; Salix caprea, Betula pendula, Populus tremula, Picea abies
Shrub layer60%; Corylus avellana, Picea abies, Acer platanoides, Tilia cordata
Herb layer70%; Asarum europaeum, Anemone nemorosa, Hepatica nobilis, Stellaria holostea, Lamium galeobdolon
Bryophyte layer5%; Plagiomnium undulatum, Eurhynchium angustirete
KatkuškėsHabitatMixed woodland
SoilSandy loam
Tree layer60%; Picea abies, Pinus sylvestris, Betula pendula
Shrub layer50%; Corylus avellana, Sorbus aucuparia, Picea abies
Herb layer40%; Fragaria vesca, Maianthemum bifolium, Pyrola rotundifolia, Lycopodium clavatum, Solidago virgaurea, Vaccinium myrtillus
Bryophyte layer40%; Pleurozium schreberi, Hylocomium splendens
Stakų ŪtaHabitatSpruce woodland
SoilSandy loam
Tree layer60%; Picea abies, Pinus sylvestris, Betula pendula
Shrub layer30%; Corylus avellana, Quercus robur, Picea abies.
Herb layer50%; Carex digitata, Luzula pilosa, Oxalis acetosella, Melampyrum nemorosum
Bryophyte layer50%; Pleurozium schreberi, Hylocomium splendens
RaisteliaiHabitatYoung birch woodland
SoilSandy loam
Tree layer40%; Betula pendula, Populus tremula, Quercus robur
Shrub layer50%; Populus tremula, Frangula alnus, Sorbus aucuparia
Herb layer20%; Luzula pilosa, Maianthemum bifolium, Pyrola rotundifolia, Agrostis capillaris, Festuca rubra, Veronica chamaedrys
Bryophyte layer20%; Atrichum undulatum, Plagiomnium undulatum
PaneriaiHabitatMixed woodland
SoilSandy loam
Tree layer60%; Pinus sylvestris, Betula pendula, Picea abies, Populus tremula
Shrub layer60%; Picea abies, Corylus avellana, Frangula alnus, Quercus robur
Herb layer70%; Luzula pilosa, Maianthemum bifolium, Oxalis acetosella, Trientalis europaea, Vaccinium myrtillus, Carex digitata
Bryophyte layer40%; Pleurozium schreberi, Eurhynchium angustirete
Aukštieji HabitatMixed woodland
PaneriaiSoilSandy loam
Tree layer50%; Pinus sylvestris, Betula pendula, Quercus robur, Acer platanoides, Populus tremula, Picea abies.
Shrub layer60%; Picea abies, Corylus avellana, Quercus robur, Lonicera xylosteum
Herb layer50%; Vaccinium myrtillus, Vaccinium vitis-idaea, Pteridium aquilinum, Lamium galeobdolon, Carex digitata, Calamagrostis arundinacea
Bryophyte layer50%; Pleurozium schreberi, Hylocomium splendens, Eurhynchium angustirete
Cephalanthera rubra
KapiniškiaiHabitatDry grassland
SoilCalcareous loam
Tree layerAbsent
Shrub layer5%; Betula pendula, Pinus sylvestris
Herb layer70%; Calamagrostis epigejos, Medicago falcata, Helianthemum nummularium, Anthericum ramosum, Centaurea scabiosa, Vincetoxicum hirundinaria, Knautia arvensis
Bryophyte layer40%; Abietinella abietina
LiūnelisHabitatMixed woodland
SoilCalcareous loam
Tree layer40%; Betula pendula and Picea abies
Shrub layer50%; Corylus avellana, Cornus sanguinea, Picea abies
Herb layer50%; Anthericum ramosum, Rubus caesius, Convallaria majalis, Brachypodium pinnatum, Primula veris, Carex montana.
Bryophyte layer70%; Eurhynchium angustirete, Hylocomium splendens, Atrichum undulatum
SpindžiusHabitatMixed woodland
SoilLoamy sand
Tree layer30%; Pinus sylvestris, Betula pendula, Picea abies
Shrub layer60%; Corylus avellana, Frangula alnus, Betula pendula.
Herb layer80%; Carex digitata, Vaccinium myrtillus, Rubus saxatilis, Maiantemum bifolium, Trientalis europaea, Luzula pilosa, Rubus saxatilis, Vaccinium vitis-idaea
Bryophyte layer60%; Pleurozium schreberi, Hylocomium splendens
Table A2. Soil agrochemical composition in the habitats of the studied populations of Cephalanthera longifolia and Cephalanthera rubra.
Table A2. Soil agrochemical composition in the habitats of the studied populations of Cephalanthera longifolia and Cephalanthera rubra.
Species and Site NameSoil pHP2O5 (mg/kg)K2O (mg/kg)Total Nitrogen (mg/kg)Humus (%)
Cephalanthera longifolia
Mikališkės6.7711181.12.1
Katkuškės4.213370.82.0
Stakų Ūta4.450781.22.6
Raisteliai5.2172821.02.0
Paneriai5.7147581.41.8
Aukštieji Paneriai5.4159701.21.9
Cephalanthera rubra
Kapiniškiai7.692224.72.2
Liūnelis7.6185712.60.1
Spindžius7.4124212.17.5
Table A3. Mean temperatures (°C) and sum of precipitation (mm) at the study sites in May and June of 2021–2023, according to data from the Lithuanian Meteorological Service.
Table A3. Mean temperatures (°C) and sum of precipitation (mm) at the study sites in May and June of 2021–2023, according to data from the Lithuanian Meteorological Service.
Study Sites202120222023
MayJuneMayJuneMayJune
Mean temperature (°C)
Stakai11.119.210.717.412.517.1
Vilnius11.219.510.817.812.817.5
Kapiniškiai11.419.210.717.611.916.9
Liūnelis11.719.311.117.612.417.0
Spindžius11.119.210.717.412.517.1
Sum of precipitation (mm)
Stakai210.062.0116.0144.924.642.8
Vilnius147.055.092.0129.431.035.6
Kapiniškiai120.265.4118.0132.130.687.3
Liūnelis86.354.191.883.029.172.0
Spindžius210.062.0116.0144.924.642.8

References

  1. Braunisch, V.; Home, R.; Pellet, J.; Arlettaz, R. Conservation science relevant to action: A research agenda identified and prioritized by practitioners. Biol. Conserv. 2012, 153, 201–210. [Google Scholar] [CrossRef]
  2. Brown, M.J.M.; Bachman, S.P.; Lughadha, E.N. Three in four undescribed plant species are threatened with extinction. New Phytol. 2023, 240, 1340–1344. [Google Scholar] [CrossRef] [PubMed]
  3. Giam, X.; Bradshaw, C.J.; Tan, H.T.; Sodhi, N.S. Future habitat loss and the conservation of plant biodiversity. Biol. Conserv. 2010, 143, 1594–1602. [Google Scholar] [CrossRef]
  4. Watson, J.E.M.; Shanahan, D.F.; Di Marco, M.; Allan, J.; Laurance, W.F.; Sanderson, E.W.; Mackey, B.; Venter, O. Catastrophic declines in wilderness areas undermine global environmental targets. Curr. Biol. 2016, 26, 2929–2934. [Google Scholar] [CrossRef] [PubMed]
  5. Gonçalves-Souza, D.; Verburg, P.H.; Dobrovolski, R. Habitat loss, extinction predictability and conservation efforts in the terrestrial ecoregions. Biol. Conserv. 2020, 246, 108579. [Google Scholar] [CrossRef]
  6. Alexander, J.M.; Chalmandrier, L.; Lenoir, J.; Burgess, T.I.; Essl, F.; Haider, S.; Kueffer, C.; McDougall, K.; Milbau, A.; Nuñez, M.A.; et al. Lags in the response of mountain plant communities to climate change. Glob. Chang. Biol. 2018, 24, 563–579. [Google Scholar] [CrossRef]
  7. Piao, S.; Liu, Q.; Chen, A.; Janssens, I.A.; Fu, Y.; Dai, J.; Lingli, L.; Xu, L.; Miaogen, S.; Zhu, X. Plant phenology and global climate change: Current progresses and challenges. Glob. Chang. Biol. 2019, 25, 1922–1940. [Google Scholar] [CrossRef] [PubMed]
  8. Anderson, J.T.; Song, B.H. Plant adaptation to climate change. Where are we? J. System. Evol. 2020, 58, 533–545. [Google Scholar] [CrossRef] [PubMed]
  9. Suppula, M.; Hällfors, M.H.; Aapala, K.; Aalto, J.; Kemppainen, E.; Leikola, N.; Pirinen, P.; Heikkinen, R.K. Climate and land-use change drive population decline in a red-listed plant species. Glob. Ecol. Conserv. 2023, 45, e02526. [Google Scholar] [CrossRef]
  10. Eriksson, O.; Ehrlén, J. Seedling recruitment and population ecology. In Seedling Ecology and Evolution; Cambridge University Press: Cambridge, UK, 2008; pp. 239–254. [Google Scholar]
  11. García, M.B. Life history and population size variability in a relict plant. Different routes towards long-term persistence. Divers. Distrib. 2008, 14, 106–113. [Google Scholar] [CrossRef]
  12. Gudžinskas, Z.; Taura, L. Confirmed occurrence of the native plant species Eleocharis ovata (Cyperaceae) in Lithuania. Botanica 2021, 27, 44–52. [Google Scholar] [CrossRef]
  13. Larson, J.E.; Funk, J.L. Regeneration: An overlooked aspect of trait-based plant community assembly models. J. Ecol. 2016, 104, 1284–1298. [Google Scholar] [CrossRef]
  14. Salguero-Gómez, R.; Jones, O.R.; Jongejans, E.; Blomberg, S.P.; Hodgson, D.J.; Mbeau-Ache, C.; Zuidema, P.A.; Kroon, H.; Buckley, Y.M. Fast–slow continuum and reproductive strategies structure plant life-history variation worldwide. Proc. Nat. Acad. Sci. USA 2016, 113, 230–235. [Google Scholar] [CrossRef] [PubMed]
  15. Chase, M.W.; Cameron, K.M.; Freudenstein, J.V.; Pridgeon, A.M.; Salazar, G.; van den Berg, C.; Schuiteman, A. An updated classification of Orchidaceae. Bot. J. Linn. Soc. 2015, 177, 151–174. [Google Scholar] [CrossRef]
  16. Givnish, T.J.; Spalink, D.; Ames, M.; Lyon, S.P.; Hunter, S.J.; Zuluaga, A.; Iles, W.J.D.; Clements, M.A.; Arroyo, M.T.K.; Leebens-Mack, J.; et al. Orchid phylogenomics and multiple drivers of their extraordinary diversification. Proc. R. Soc. B 2015, 282, 20151553. [Google Scholar] [CrossRef] [PubMed]
  17. Fay, M.F. Orchid conservation: How can we meet the challenges in the twenty-first century? Bot. Stud. 2018, 59, 16. [Google Scholar] [CrossRef] [PubMed]
  18. Shefferson, R.P.; Jacquemyn, H.; Kull, T.; Hutchings, M.J. The demography of terrestrial orchids: Life history, population dynamics and conservation. Bot. J. Linn. Soc. 2020, 192, 315–332. [Google Scholar] [CrossRef]
  19. Willmer, P. Ecology: Pollinator-plant synchrony tested by climate change. Curr. Biol. 2012, 22, R131–R132. [Google Scholar] [CrossRef] [PubMed]
  20. Pyke, G.H.; Thomson, J.D.; Inouye, D.W.; Miller, T.J. Effects of climate change on phenologies and distributions of bumble bees and the plants they visit. Ecosphere 2016, 7, e01267. [Google Scholar] [CrossRef]
  21. Freimuth, J.; Bossdorf, O.; Scheepens, J.F.; Willems, F.M. Climate warming changes synchrony of plants and pollinators. Proc. R. Soc. B. 2022, 289, 20212142. [Google Scholar] [CrossRef]
  22. Vallius, E. Position-Dependent Reproductive Success of Flowers in Dactylorhiza maculata (Orchidaceae). Funct. Ecol. 2000, 14, 573–579. [Google Scholar] [CrossRef]
  23. Pellegrino, G.; Bellusci, F.; Musacchio, A. The effects of inflorescence size and flower position on female reproductive success in three deceptive orchids. Bot. Stud. 2010, 51, 351–356. [Google Scholar]
  24. Maciel, A.A.; Cardoso, J.C.F.; Oliveira, P.E. On the low reproductive success of two Cyrtopodium species (Orchidaceae: Cyrtopodiinae): The relative roles of biotic and abiotic pollination. Plant Species Biol. 2020, 35, 49–58. [Google Scholar] [CrossRef]
  25. Phillips, R.D.; Reiter, N.; Peakal, R. Orchid conservation: From theory to practice. Ann. Bot. 2020, 126, 345–362. [Google Scholar] [CrossRef] [PubMed]
  26. Neiland, M.R.M.; Wilcock, C.C. Fruit set, nectar reward, and rarity in the Orchidaceae. Am. J. Bot. 1998, 85, 1657–1671. [Google Scholar] [CrossRef] [PubMed]
  27. Tremblay, R.L.; Ackerman, J.D.; Zimmerman, J.K.; Calvo, R.N. Variation in sexual reproduction in orchids and its evolutionary consequences: A spasmodic journey to diversification. Bot. J. Linn. Soc. 2005, 84, 1–54. [Google Scholar] [CrossRef]
  28. Pedersen, H.A.; Watthana, S.; Roy, M.; Suddee, S.; Selosse, M.A. Cephalanthera exigua rediscovered: New insights in the taxonomy, habitat requirements and breeding system of a rare mycoheterotrophic orchid. Nordic J. Bot. 2009, 27, 460–468. [Google Scholar] [CrossRef]
  29. Jersáková, J.; Johnson, S.D.; Kindlmann, P. Mechanisms and evolution of deceptive pollination in orchids. Bio. Rev. 2006, 81, 219–235. [Google Scholar] [CrossRef] [PubMed]
  30. Jacquemyn, H.; Brys, R. Pollen limitation and the contribution of autonomous selfing to fruit and seed set in a rewarding orchid. Am. J. Bot. 2015, 102, 67–72. [Google Scholar] [CrossRef]
  31. Lanzino, M.; Palermo, A.M.; Pellegrino, G. The effect of inflorescence display size and flower position on pollination success in two deceptive and one rewarding orchid. Plant Biol. 2023, 25, 396–402. [Google Scholar] [CrossRef]
  32. Meekers, T.; Honnay, O. Effects of habitat fragmentation on the reproductive success of the nectar-producing orchid Gymnadenia conopsea and the nectarless Orchis mascula. Plant Ecol. 2011, 212, 1791–1801. [Google Scholar] [CrossRef]
  33. García-Cruz, J.; Sosa, V. Fruit production and floral traits: Correlated evolution in Govenia (Orchidaceae). Evol. Ecol. 2008, 22, 801–815. [Google Scholar] [CrossRef]
  34. Calvo, R.N. Inflorescence size and fruit distribution among individuals in three orchid species. Am. J. Bot. 1990, 77, 1378–1381. [Google Scholar] [CrossRef]
  35. Flores-Palacios, A.; García-Franco, J.G. Effects of floral display and plant abundance on fruit production of Ryncholaelia glauca (Orchidaceae). Rev. Biol. Trop. 2003, 51, 71–78. [Google Scholar] [PubMed]
  36. Huda, M.K.; Wilcock, C.C. Impact of floral traits on the reproductive success of epiphytic and terrestrial tropical orchids. Oecologia 2008, 154, 731–741. [Google Scholar] [CrossRef] [PubMed]
  37. Suetsugu, K.; Naito, R.S.; Fukushima, S.; Kawakita, A.; Kato, M. Pollination system and the effect of inflorescence size on fruit set in the deceptive orchid Cephalanthera falcata. J. Plant Res. 2015, 128, 585–594. [Google Scholar] [CrossRef] [PubMed]
  38. Gilián, L.D.; Endrédi, A.; Zsinka, B.; Neményi, A.; Nagy, J.G. Morphological and reproductive trait-variability of a food deceptive orchid, Cephalanthera rubra along different altitudes. Appl. Ecol. Environ. Res. 2019, 17, 5619–5639. [Google Scholar] [CrossRef]
  39. Summerhayes, V.S. Wild Orchids of Britain; Collins: London, UK, 1985; 384p. [Google Scholar]
  40. Scacchi, R.; De Angelis, G.; Corbo, R.M. Effect of the breeding system on the genetic structure in three Cephalanthera spp. (Orchidaceae). Plant Syst. Evol. 1991, 176, 53–61. [Google Scholar] [CrossRef]
  41. Claessens, J.; Kleynen, J. The pollination of European orchids: Part 2: Cypripedium and Cephalanthera. J. Hardy Orchid Soc. 2013, 10, 114–120. [Google Scholar]
  42. Claessens, J.; Beentjes, K.K.; Heijerman, T.; Miller, J.; Graven-Deel, B. Beobachtungen von Miarus campanulae als Bestäuber von Cephalanthera rubra. J. Eur. Orchideen 2015, 47, 77–87. [Google Scholar]
  43. Füller, F. Epipactis und Cephalanthera. Orchideen Mitteleuropas, 5. Teil; A.Ziemsen Verlag: Leipzig, Germany, 1974; p. 96. [Google Scholar]
  44. Chung, M.Y.; Lu, N.T.; López-Pujol, J.; Herrando-Moraira, S.; Chung, J.M.; Tian, H.Z.; Suetsugu, K.; Kawahara, T.; Yukawa, T.; Maki, M.; et al. Effect of historical factors on genetic variation in three terrestrial Cephalanthera species (Orchidaceae) with different breeding system on the Korean Peninsula. Nordic J. Bot. 2018, 36, e01862. [Google Scholar] [CrossRef]
  45. Yamazaki, J.; Miyoshi, K. In vitro Asymbiotic Germination of Immature Seed and Formation of Protocorm by Cephalanthera falcata (Orchidaceae). Ann. Bot. 2006, 98, 1197–1206. [Google Scholar] [CrossRef]
  46. Dafni, A.; Ivri, Y. The flower biology of Cephalanthera longifolia (Orchidaceae). Pollen imitation and facultative floral mimicry. Plant Syst. Evol. 1981, 137, 229–240. [Google Scholar] [CrossRef]
  47. Bódis, J.; Sramkó, G. No evidence for historical declines in pollination success in Hungarian orchids. Appl. Ecol. Environ. Res. 2015, 13, 1097–1108. [Google Scholar]
  48. Batty, P. Long-term study of the Sword-leaved Helleborine Cephalanthera longifolia (Orchidaceae) in Knapdale, Argyll. Br. Ir. Bot. 2022, 4, 106–124. [Google Scholar] [CrossRef]
  49. Newman, R.D.; Showler, A.J.; Harvey, M.C.; Showler, D.A. Hand pollination to increase seed-set of red helleborine Cephalanthera rubra in the Chiltern Hills, Buckinghamshire, England. Conserv. Evid. 2007, 4, 88–93. [Google Scholar]
  50. Brzosko, E.; Wróblewska, A. Genetic variation and clonal diversity in island Cephalanthera rubra populations from the Biebrza National Park, Poland. Bot. J. Linn. Soc. 2003, 143, 99–108. [Google Scholar] [CrossRef]
  51. Sundberg, S. Present status for Cephalanthera rubra and Chimaphila umbellata in Sweden. Svensk Bot. Tidskr. 2017, 111, 90–104. [Google Scholar]
  52. Pykälä, J. Habitat loss and deterioration explain the disappearance of populations of threatened vascular plants, bryophytes and lichens in a hemiboreal landscape. Glob. Ecol. Conserv. 2019, 18, e00610. [Google Scholar] [CrossRef]
  53. Žalneravičius, E. Cephalanthera rubra (L.) Rich. In Red Data Book of Lithuania. Animals, Plants, Fungi; Rašomavičius, V., Ed.; Aplinkos Ministerija: Vilnius, Lithuania, 2021; p. 395. [Google Scholar]
  54. Stalažs, A. List of vascular plants of Latvia (with Latvian names). Raksti Par Dabu 2024, 3, 1–312. [Google Scholar]
  55. Püttsepp, Ü.; Kull, T. Cephalanthera longifolia and Cephalanthera rubra in Estonia. Bot. Lith. 1997, 1, 133–135. [Google Scholar]
  56. Glasnović, P.; Fantinato, E.; Buffa, G.; Carapeto, A.; Dragićević, S.; Fišer, Ž.; Kiehn, M.; Kull, T.; Klisz, M.; Liu, U.; et al. Assessing the national red lists of European vascular plants: Disparities and implications. Biol. Conserv. 2024, 293, 110568. [Google Scholar] [CrossRef]
  57. Braun-Blanquet, J. Pflanzensoziologie: Grundzüge der Vegetationskunde. Dritte Auflage; Springer: New York, NY, USA, 1964; p. 865. [Google Scholar]
  58. Kazlauskas, M.; Taura, L.; Gudžinskas, Z. Current state of critically endangered Neotinea ustulata (Orchidaceae) in Lithuania and report on a new record of the species. Botanica 2022, 28, 91–101. [Google Scholar] [CrossRef]
  59. Volungevičius, J.; Amalevičiūtė, K.; Liaudanskienė, I.; Šlepetienė, A.; Šlepetys, J. Chemical properties of Pachiterric Histosol as influenced by different land use. Agriculture 2015, 102, 123–132. [Google Scholar] [CrossRef]
  60. Hammer, Ø.; Harper, D.A.T.; Ryan, P.D. PAST: Paleontological statistics software package for education and data analysis. Palaeontol. Electron. 2001, 4, 1–9. [Google Scholar]
  61. Bartlett, K.B.; Austin, M.W.; Beck, J.B.; Zanne, A.E.; Smith, A.B. Beyond the usual climate? Factors determining flowering and fruiting phenology across a genus over 117 years. Am. J. Bot. 2023, 110, e16188. [Google Scholar] [CrossRef] [PubMed]
  62. Makino, T.T.; Sakai, S. Experience changes pollinator responses to floral display size: From size-based to reward-based foraging. Funct. Ecol. 2007, 21, 854–863. [Google Scholar] [CrossRef]
  63. Sletvold, N.; Ågren, J.A. Nonadditive effects of floral display and spur length on reproductive success in a deceptive orchid. Ecology 2011, 92, 2167–2174. [Google Scholar] [CrossRef]
  64. Slaviero, A.; Del Vecchio, S.; Pierce, S.; Fantinato, E.; Buffa, G. Plant community attributes affect dry grassland orchid establishment. Plant Ecol. 2016, 217, 1533–1543. [Google Scholar] [CrossRef]
  65. Henneresse, T.; Wesselingh, R.A.; Tyteca, D. Effects of floral display, conspecific density and rewarding species on fruit set in the deceptive orchid Orchis militaris (Orchidaceae). Plant Ecol. Evol. 2017, 150, 279–292. [Google Scholar] [CrossRef]
  66. Vallius, E. Factors affecting fruit and seed production in Dactylorhiza maculata (Orchidaceae). Bot. J. Linn. Soc. 2001, 135, 89–95. [Google Scholar] [CrossRef]
  67. Janečková, P.; Wotavová, K.; Schödelbauerová, I.; Jersáková, J.; Kindlmann, P. Relative effects of management and environmental conditions on performance and survival of populations of a terrestrial orchid, Dactylorhiza majalis. Biol. Conserv. 2006, 129, 40–49. [Google Scholar] [CrossRef]
  68. Cozzolino, S.; Widmer, A. Orchid diversity: An evolutionary consequence of deception? Trends Ecol. Evol. 2005, 20, 487–494. [Google Scholar] [CrossRef]
  69. Yagame, T.; Yamato, M. Mycoheterotrophic growth of Cephalanthera falcata (Orchidaceae) in tripartite symbioses with Thelephoraceae fungi and Quercus serrata (Fagaceae) in pot culture condition. J. Plant Res. 2013, 126, 215–222. [Google Scholar] [CrossRef] [PubMed]
  70. Frego, K.A. Bryophytes as potential indicators of forest integrity. Forest Ecol. Manag. 2007, 242, 65–75. [Google Scholar] [CrossRef]
  71. Jukonienė, I.; Kalvaitienė, M.; Bagušinskaitė, A. Bryophyte diversity as an indication of habitat quality in two special areas of conservation on the outskirts of Vilnius (Verkiai Regional Park). Botanica 2022, 28, 159–170. [Google Scholar] [CrossRef]
  72. Diaz-Forero, I.; Kuusemets, V.; Mänd, M.; Liivamägi, A.; Kaart, T.; Luig, J. Effects of forests habitats on the local abundance of bumblebee species: A landscape-scale study. Balt. For. 2011, 17, 235–242. [Google Scholar]
  73. Gudžinskas, Z.; Taura, L. Do Reproductive Traits of invasive populations of Scotch Broom, Cytisus scoparius (Fabaceae), outperform native populations? Plants 2022, 11, 2158. [Google Scholar] [CrossRef]
  74. Abeli, T.; Jäkäläniemi, A.; Wannas, L.; Mutikainen, P.; Tuomi, J. Pollen limitation and fruiting failure related to canopy closure in Calypso bulbosa (Orchidaceae), a northern food-deceptive orchid with a single flower. Bot. J. Linn. Soc. 2013, 171, 744–750. [Google Scholar] [CrossRef]
  75. Tomimatsu, H.; Ohara, M. Effects of forest fragmentation on seed production of the understory herb Trillium camschatcense. Conserv. Biol. 2002, 16, 1277–1285. [Google Scholar] [CrossRef]
  76. Poschlod, P.; Kiefer, S.; Tränkle, U.; Fischer, S.; Bonn, S. Plant species richness in calcareous grasslands as affected by dispersability in space and time. Appl. Veg. Sci. 1998, 1, 75–91. [Google Scholar] [CrossRef]
  77. Mitchley, J.; Xofis, P. Landscape structure and management regime as indicators of calcareous grassland habitat condition and species diversity. J. Nat. Conserv. 2005, 13, 171–183. [Google Scholar] [CrossRef]
  78. Fründ, J.; Linsenmair, K.E.; Blüthgen, N. Pollinator diversity and specialization in relation to flower diversity. Oikos 2010, 119, 1581–1590. [Google Scholar] [CrossRef]
  79. Descamps, C.; Jambrek, A.; Quinet, M.; Jacquemart, A.L. Warm temperatures reduce flower attractiveness and bumblebee foraging. Insects 2021, 12, 493. [Google Scholar] [CrossRef]
  80. Martinet, B.; Dellicour, S.; Ghisbain, G.; Przybyla, K.; Zambra, E.; Lecocq, T.; Boustani, M.; Baghirov, R.; Michez, D.; Rasmont, P. Global effects of extreme temperatures on wild bumblebees. Conserv. Biol. 2021, 35, 1507–1518. [Google Scholar] [CrossRef]
Figure 1. Cephalanthera longifolia (A) at the Raisteliai site and Cephalanthera rubra (B) at the Kapiniškiai site.
Figure 1. Cephalanthera longifolia (A) at the Raisteliai site and Cephalanthera rubra (B) at the Kapiniškiai site.
Diversity 16 00333 g001
Figure 2. Comparison of mean fruit set in populations of Cephalanthera longifolia over the three study years. Different letters between fruit set in different years in the same population indicate significant differences (p < 0.05) according to Dunn’s post hoc test. Population abbreviations: M—Mikališkės; K—Katkukės; SU—Stakų Ūta; R—Raisteliai; P—Paneriai; AP—Aukštieji Paneriai.
Figure 2. Comparison of mean fruit set in populations of Cephalanthera longifolia over the three study years. Different letters between fruit set in different years in the same population indicate significant differences (p < 0.05) according to Dunn’s post hoc test. Population abbreviations: M—Mikališkės; K—Katkukės; SU—Stakų Ūta; R—Raisteliai; P—Paneriai; AP—Aukštieji Paneriai.
Diversity 16 00333 g002
Figure 3. Comparison of mean fruit set of Cephalanthera longifolia (A) and Cephalanthera rubra (B) between populations based on the results of the three study years. Different letters above the whiskers indicate significant differences (p < 0.05) between populations according to Dunn’s post hoc test. Abbreviations of Cephalanthera longifolia populations: M—Mikališkės; K—Katkukės; SU—Stakų Ūta; R—Raisteliai; P—Paneriai; AP—Aukštieji Paneriai. Abbreviations of Cephalanthera rubra populations: K—Kapiniškiai; L—Liūnelis; S—Spindžius.
Figure 3. Comparison of mean fruit set of Cephalanthera longifolia (A) and Cephalanthera rubra (B) between populations based on the results of the three study years. Different letters above the whiskers indicate significant differences (p < 0.05) between populations according to Dunn’s post hoc test. Abbreviations of Cephalanthera longifolia populations: M—Mikališkės; K—Katkukės; SU—Stakų Ūta; R—Raisteliai; P—Paneriai; AP—Aukštieji Paneriai. Abbreviations of Cephalanthera rubra populations: K—Kapiniškiai; L—Liūnelis; S—Spindžius.
Diversity 16 00333 g003
Figure 4. Comparison of mean fruit set in Cephalanthera rubra populations during the three study years. Different letters between fruit set in different years in the same population indicate significant differences (p < 0.05) according to Dunn’s post hoc test. Population abbreviations: K—Kapiniškiai; L—Liūnelis; S—Spindžius.
Figure 4. Comparison of mean fruit set in Cephalanthera rubra populations during the three study years. Different letters between fruit set in different years in the same population indicate significant differences (p < 0.05) according to Dunn’s post hoc test. Population abbreviations: K—Kapiniškiai; L—Liūnelis; S—Spindžius.
Diversity 16 00333 g004
Figure 5. Number of developed (pink) and undeveloped (light green) fruits in Cephalanthera longifolia populations during the three study years (pooled data) according to flower position in the inflorescence. The number in parentheses above the column indicates the number of undeveloped fruits and the number of developed fruits after the parentheses.
Figure 5. Number of developed (pink) and undeveloped (light green) fruits in Cephalanthera longifolia populations during the three study years (pooled data) according to flower position in the inflorescence. The number in parentheses above the column indicates the number of undeveloped fruits and the number of developed fruits after the parentheses.
Diversity 16 00333 g005
Figure 6. Number of developed (pink) and undeveloped (light green) fruits in Cephalanthera rubra populations during the three study years (pooled data) according to flower position in the inflorescence. The number in parentheses above the column indicates the number of undeveloped fruits and the number of developed fruits after the parentheses.
Figure 6. Number of developed (pink) and undeveloped (light green) fruits in Cephalanthera rubra populations during the three study years (pooled data) according to flower position in the inflorescence. The number in parentheses above the column indicates the number of undeveloped fruits and the number of developed fruits after the parentheses.
Diversity 16 00333 g006
Table 1. Location and characteristics of the studied Cephalanthera longifolia and Cephalanthera rubra populations.
Table 1. Location and characteristics of the studied Cephalanthera longifolia and Cephalanthera rubra populations.
Species and Site NameDistrictPopulation Size (m2)Study Area (m2)Latitude (°N)Longitude (°E)
Cephalanthera longifolia
MikališkėsŠalčininkai97060054.2872725.55646
KatkuškėsŠalčininkai16,350280054.2953825.56329
Stakų ŪtaŠalčininkai14,460220054.3109525.54733
RaisteliaiVilnius52,00060054.6179325.21010
PaneriaiVilnius22,60085054.6218225.20655
Aukštieji PaneriaiVilnius17,80017,80054.6144725.20304
Cephalanthera rubra
KapiniškiaiVarėna160060054.0340524.29152
LiūnelisLazdijai2100210054.7325623.39471
SpindžiusTrakai2200220054.5733924.69758
Table 2. Number of Cephalanthera longifolia and Cephalanthera rubra plants and total number of flowers surveyed in populations over three years.
Table 2. Number of Cephalanthera longifolia and Cephalanthera rubra plants and total number of flowers surveyed in populations over three years.
Species and Site Name202120222023
Cephalanthera longifoliaPlantsFlowersPlantsFlowersPlantsFlowers
Mikališkės453265045150425
Katkuškės503095043450324
Stakų Ūta504035047050376
Raisteliai503935041650333
Paneriai502965037950307
Aukštieji Paneriai503455039750305
Total295207230025473002070
Cephalanthera rubra
Kapiniškiai505605047540489
Liūnelis503412822317137
Spindžius38266744430
Total13811678574261656
Table 3. Effect of study year and population on fruit set of Cephalanthera lognifolia according to the results of a two-way permutation analysis of variance (Bray–Curtis index, 9999 permutations).
Table 3. Effect of study year and population on fruit set of Cephalanthera lognifolia according to the results of a two-way permutation analysis of variance (Bray–Curtis index, 9999 permutations).
FactorSum of SquaresdfMean SquareFp
Population17.5653.5114.380.0001
Year0.5420.271.100.331
Interaction2.89100.291.180.290
Residual214.228770.24
Total235.20894
Table 4. Effect of study year and population on fruit set of Cephalanthera rubra according to the results of a two-way permutation analysis of variance (Bray–Curtis index, 9999 permutations).
Table 4. Effect of study year and population on fruit set of Cephalanthera rubra according to the results of a two-way permutation analysis of variance (Bray–Curtis index, 9999 permutations).
FactorSum of SquaresdfMean SquareFp
Locality8.3924.1917.400.0001
Year1.6220.813.360.024
Interaction1.2440.311.290.268
Residual66.312750.24
Total77.56283
Table 5. Mean values of Cephalanthera longifolia of the traits analysed in the different years of the study by population.
Table 5. Mean values of Cephalanthera longifolia of the traits analysed in the different years of the study by population.
PopulationYearStatisticsPlant Height (cm)Inflorescence Length (cm)Number of Leaves Number of FlowersNumber of Fruits
2021mean ± SD36.2 ± 7.79.8 ± 3.86.4 ± 1.07.2 ± 2.71.5 ± 1.7
min–max24–655–264–94–180–6
Mikališkės2022mean ± SD40.2 ± 9.911.2 ± 5.07.2 ± 1.39.0 ± 3.51.9 ± 1.9
min–max23–734–305–105–210–7
2023mean ± SD35.3 ± 8.78.7 ± 4.36.9 ± 0.98.5 ± 4.01.4 ± 1.6
min–max18–614–255–94–230–7
2021mean ± SD31.6 ± 4.76.5 ± 1.56.4 ± 0.96.2 ± 2.20.7 ± 1.1
min–max21–424–95–94–140–5
Katkuškės2022mean ± SD35.4 ± 7.98.5 ± 3.87.0 ± 1.38.7 ± 3.20.9 ± 1.1
min–max21–533–195–105–170–6
2023mean ± SD28.5 ± 5.94.7 ± 2.36.8 ± 0.86.5 ± 2.80.5 ± 0.7
min–max15–442–105–94–160–2
2021mean ± SD32.4 ± 7.37.5 ± 2.17.7 ± 1.18.1 ± 3.00.8 ± 1.1
min–max20–494–145–104–170–4
Stakų Ūta2022mean ± SD34.2 ± 7.68.2 ± 4.07.6 ± 1.19.4 ± 4.31.1 ± 1.1
min–max21–553–195–105–230–5
2023mean ± SD29.8 ± 6.66.1 ± 3.47.2 ± 1.07.5 ± 3.41.0 ± 1.6
min–max18–492–165–104–190–9
2021mean ± SD35.1 ± 7.210.1 ± 3.18.2 ± 0.97.9 ± 3.30.9 ± 1.0
min–max23–596–207–114–160–4
Raisteliai2022mean ± SD35.6 ± 6.58.4 ± 2.77.7 ± 1.28.3 ± 3.41.1 ± 1.1
min–max25–554–165–105–190–4
2023mean ± SD30.6 ± 6.86.5 ± 2.97.9 ± 1.06.7 ± 2.61.3 ± 1.2
min–max19–482–166–104–150–5
2021mean ± SD35.1 ± 7.77.9 ± 2.67.6 ± 1.15.9 ± 2.10.4 ± 0.6
min–max22–565–195–104–160–2
Paneriai2022mean ± SD36.5 ± 5.67.8 ± 2.47.7 ± 1.07.6 ± 1.90.5 ± 1.1
min–max26–574–156–105–150–5
2023mean ± SD32.9 ± 5.86.0 ± 2.67.5 ± 0.86.1 ± 2.10.6 ± 0.8
min–max24–482–126–94–140–3
2021mean ± SD35.6 ± 7.78.7 ± 2.97.9 ± 1.26.9 ± 2.40.4 ± 1.0
min–max22–524–165–104–140–6
Aukštieji2022mean ± SD34.7 ± 8.07.8 ± 4.37.9 ± 0.77.9 ± 4.20.2 ± 0.5
Paneriai min–max22–572–226–104–240–2
2023mean ± SD30.3 ± 5.85.8 ± 3.17.8 ± 1.26.1 ± 2.80.4 ± 0.8
min–max22–542–175–104–200–4
Table 6. Results of a correlation analysis between plant traits and fruit set in Cephalanthera longifolia and Cephalanthera rubra. Significant positive correlations are highlighted in light blue.
Table 6. Results of a correlation analysis between plant traits and fruit set in Cephalanthera longifolia and Cephalanthera rubra. Significant positive correlations are highlighted in light blue.
VariablesCephalanthera longifoliaCephalanthera rubra
rprp
Plant height (cm)r = 0.34p < 0.001r = 0.35p < 0.001
Number of leavesr = −0.02p = 0.539r = −0.08p = 0.164
Length of inflorescence (cm)r = 0.41p < 0.001r = 0.55p < 0.001
Number of flowers in inflorescencer = 0.36p < 0.001r = 0.53p < 0.001
Table 7. Mean values of the analysed traits of Cephalanthera rubra in different years of this study by population. The top row shows the mean and standard deviation, while the bottom row shows the minimum and maximum values.
Table 7. Mean values of the analysed traits of Cephalanthera rubra in different years of this study by population. The top row shows the mean and standard deviation, while the bottom row shows the minimum and maximum values.
PopulationYearStatisticsPlant Height (cm)Inflorescence Length (cm)Number of Leaves Number of FlowersNumber of Fruits
2021mean ± SD46.3 ± 11.212.3 ± 4.46.2 ± 1.111.2 ± 4.41.4 ± 1.5
min–max16–686–233–105–200–6
Kapiniškiai2022mean ± SD44.5 ± 11.214.1 ± 6.95.3 ± 0.79.5 ± 4.31.7 ± 2.2
min–max23–695–284–85–270–13
2023mean ± SD42.0 ± 14.514.3 ± 7.95.8 ± 0.912.2 ± 4.93.3 ± 3.3
min–max17–723–355–86–270–12
2021mean ± SD48.7 ± 11.711.3 ± 4.47.2 ± 1.06.8 ± 2.81.0 ± 1.5
min–max30–846–275–94–190–6
Liūnelis2022mean ± SD50.2 ± 8.211.1 ± 4.46.7 ± 0.88.0 ± 2.61.2 ± 1.8
min–max36–665–225–85–140–8
2023mean ± SD50.6 ± 7.29.4 ± 4.45.9 ± 0.68.1 ± 2.90.2 ± 0.6
min–max40–643–185–75–150–2
2021mean ± SD43.0 ± 10.6 9.8 ± 3.86.3 ± 0.97.0 ± 2.70.2 ± 0.5
min–max26–734–195–84–140–2
Spindžius2022mean ± SD37.4 ± 5.77.6 ± 2.55.6 ± 0.56.3 ± 1.80.1 ± 0.4
min–max32–494–125–75–10 0–1
2023mean ± SD50.6 ± 4.69.3 ± 1.45.8 ± 1.07.5 ± 0.61.0 ± 1.2
min–max46–578–115–77–80–2
Table 8. Effect of flower position in inflorescence, year, population and habitat on fruit set of Cephalanthera longifolia according to the results of a two-way permutation analysis of variance (Bray–Curtis index; 9999 permutations).
Table 8. Effect of flower position in inflorescence, year, population and habitat on fruit set of Cephalanthera longifolia according to the results of a two-way permutation analysis of variance (Bray–Curtis index; 9999 permutations).
FactorSum of SquaresdfMean SquareFp
Year0.2120.100.590.636
Position44.02231.9110.950.0001
Interaction4.69460.100.580.961
Residual43.532490.17
Total92.45320
Locality2.8850.583.900.0001
Position44.02231.9112.950.0001
Interaction19.381150.171.140.0004
Residual26.171770.15
Total92.45320
Habitat2.4630.826.130.0002
Position44.02231.9114.310.0001
Interaction15.87690.231.710.0001
Residual30.102250.13
Total92.45320
Table 9. Effect of flower position in inflorescence, year, population and habitat on fruit set of Cephalanthera rubra according to the results of a two-way permutation analysis of variance (Bray–Curtis index; 9999 permutations).
Table 9. Effect of flower position in inflorescence, year, population and habitat on fruit set of Cephalanthera rubra according to the results of a two-way permutation analysis of variance (Bray–Curtis index; 9999 permutations).
FactorSum of SquaresdfMean SquareFp
Year0.0520.020.070.994
Position10.19260.391.060.230
Interaction7.28520.140.380.999
Residual26.88730.37
Total44.40153
Locality3.2121.617.480.0001
Position10.19260.391.820.0001
Interaction15.31520.291.370.0001
Residual15.68730.21
Total44.40153
Table 10. Results of a correlation analysis between environmental variables and fruit set in Cephalanthera longifolia and Cephalanthera rubra. Significant negative correlations are marked with a pink background, and positive correlations are marked with a light blue background.
Table 10. Results of a correlation analysis between environmental variables and fruit set in Cephalanthera longifolia and Cephalanthera rubra. Significant negative correlations are marked with a pink background, and positive correlations are marked with a light blue background.
VariablesCephalanthera longifoliaCephalanthera rubra
rprp
Tree cover (%)r = 0.02p = 0.498r = −0.30p < 0.001
Shrub cover (%)r = −0.05p = 0.121r = −0.26p < 0.001
Herb cover (%)r = 0.02p = 0.525r = 0.04p = 0.460
Bryophyte cover (%)r = −0.27p < 0.001r = −0.28p < 0.001
Soil pHr = 0.14p < 0.001r = 0.24p < 0.001
P2O5 (mg/kg)r = −0.11p = 0.002r = 0.33p < 0.001
K2O (mg/kg)r = 0.26p < 0.001r = −0.27p < 0.001
Total nitrogen (mg/kg)r = −0.29p = 0.474r = −0.29p < 0.001
Humus (%)r = 0.12p < 0.001r = −0.13p < 0.001
Mean May temperature (°C)r = −0.02p = 0.544r = 0.07p = 0.214
Mean June temperature (°C)r = −0.09p = 0.009r = −0.24p < 0.001
Sum of May precipitation (mm)r = 0.02p = 0.645r = −0.26p < 0.001
Sum of June precipitation (mm)r = 0.07p = 0.032r = 0.14p = 0.020
Disclaimer/Publisher’s Note: The statements, opinions and data contained in all publications are solely those of the individual author(s) and contributor(s) and not of MDPI and/or the editor(s). MDPI and/or the editor(s) disclaim responsibility for any injury to people or property resulting from any ideas, methods, instructions or products referred to in the content.

Share and Cite

MDPI and ACS Style

Taura, L.; Gudžinskas, Z. What Factors Determine the Natural Fruit Set of Cephalanthera longifolia and Cephalanthera rubra? Diversity 2024, 16, 333. https://doi.org/10.3390/d16060333

AMA Style

Taura L, Gudžinskas Z. What Factors Determine the Natural Fruit Set of Cephalanthera longifolia and Cephalanthera rubra? Diversity. 2024; 16(6):333. https://doi.org/10.3390/d16060333

Chicago/Turabian Style

Taura, Laurynas, and Zigmantas Gudžinskas. 2024. "What Factors Determine the Natural Fruit Set of Cephalanthera longifolia and Cephalanthera rubra?" Diversity 16, no. 6: 333. https://doi.org/10.3390/d16060333

APA Style

Taura, L., & Gudžinskas, Z. (2024). What Factors Determine the Natural Fruit Set of Cephalanthera longifolia and Cephalanthera rubra? Diversity, 16(6), 333. https://doi.org/10.3390/d16060333

Note that from the first issue of 2016, this journal uses article numbers instead of page numbers. See further details here.

Article Metrics

Back to TopTop