Sign in to use this feature.

Years

Between: -

Subjects

remove_circle_outline
remove_circle_outline
remove_circle_outline

Journals

Article Types

Countries / Regions

Search Results (21)

Search Parameters:
Keywords = mNUTRIC

Order results
Result details
Results per page
Select all
Export citation of selected articles as:
17 pages, 809 KB  
Article
Accuracy of Predictive Formulas vs. Indirect Calorimetry in Estimating Energy Needs of Patients in Intensive Care Units
by Didem Aybike Haspolat, Aslı Gizem Çapar and Şule Göktürk
Healthcare 2026, 14(9), 1139; https://doi.org/10.3390/healthcare14091139 - 24 Apr 2026
Abstract
Introduction: Accurately meeting the energy requirements of patients in intensive care units (ICUs) is crucial to prevent catabolism, muscle loss, and complications. We assessed their energy needs in this study using indirect calorimetry (IC) and predictive formulas, comparing the results with delivered [...] Read more.
Introduction: Accurately meeting the energy requirements of patients in intensive care units (ICUs) is crucial to prevent catabolism, muscle loss, and complications. We assessed their energy needs in this study using indirect calorimetry (IC) and predictive formulas, comparing the results with delivered energy intake and evaluating agreement. Materials and Methods: A total of 38 mechanically ventilated patients in seven ICUs at Kayseri City Hospital were included; eligible patients were ≥18 years old and mechanically ventilated for at least 24 h. Disease severity and nutritional risk were evaluated using validated indices (prognostic nutritional index (PNI) and Modified Nutrition Risk in the Critically Ill (mNUTRIC)), and basal energy expenditure (BEE) was measured by IC and calculated using the Harris–Benedict (HB) and ESPEN formulas. IC measurements lasted 15 min under resting conditions in conscious patients and, according to acute phase criteria, in unconscious patients in a quiet, temperature-controlled environment. Nutrition was provided enterally or parenterally based on patient condition and disease severity. Agreement between IC and predictive formulas was assessed using Bland–Altman analysis, a statistical method that evaluates agreement between two measurement techniques. Results: Estimated energy requirements differed significantly from delivered energy intake (p < 0.001). IC-derived values were significantly lower than those estimated by the HB equation and ESPEN recommendations (p < 0.001), suggesting that predictive equations may overestimate energy requirements in this population. By contrast, delivered energy intake was lower than IC-measured values, with a mean difference of approximately 503 kcal, indicating a potential risk of underfeeding in clinical practice. Weak correlations were observed between methods (IC vs. HB: r = 0.35, p = 0.003; IC vs. ESPEN: r = −0.21, p = 0.02), indicating limited agreement between predictive equations and IC measurements, and Passing–Bablok regression analysis further supported this lack of agreement between methods. Conclusions: The energy intake delivered to patients was lower than the calculated values. Indirect calorimetry is important for accurately monitoring and determining energy requirements based on delivered energy intake, and further research in this area is needed. These findings highlight the importance of individualized monitoring of energy expenditure in critically ill patients and suggest that reliance solely on predictive equations may lead to clinically relevant discrepancies in energy delivery. Full article
(This article belongs to the Section Clinical Care)
Show Figures

Figure 1

32 pages, 1800 KB  
Article
Prognostic Value of Nutritional Risk Scores in Septic ICU Patients: A Survival Analysis Using mNUTRIC, PNI, and CONUT
by Marius Bogdan Novac, Gabriel-Petre Gorecki, Alin Pătru, Anda Lorena Dijmărescu, Diana-Ruxandra Hădăreanu, Mohamed-Zakaria Assani, Lidia Boldeanu, Mihail Virgil Boldeanu and George Alin Stoica
Diagnostics 2026, 16(8), 1193; https://doi.org/10.3390/diagnostics16081193 - 16 Apr 2026
Viewed by 307
Abstract
Background: Malnutrition is highly prevalent among critically ill patients and has been associated with worse clinical outcomes, particularly in sepsis. Several nutritional risk scores have been proposed to identify patients at increased risk of mortality in the intensive care unit (ICU). This [...] Read more.
Background: Malnutrition is highly prevalent among critically ill patients and has been associated with worse clinical outcomes, particularly in sepsis. Several nutritional risk scores have been proposed to identify patients at increased risk of mortality in the intensive care unit (ICU). This study aimed to evaluate the prognostic value of three commonly used nutritional indices—modified Nutrition Risk in the Critically Ill (mNUTRIC), Prognostic Nutritional Index (PNI), and Controlling Nutritional Status (CONUT)—for predicting mortality in septic ICU patients. Methods: In this prospective observational cohort study conducted at two ICUs, 155 critically ill patients at nutritional risk were evaluated, including 105 patients with sepsis and 50 without sepsis. The primary endpoint was ICU mortality. Nutritional risk scores (mNUTRIC, PNI, and CONUT) were calculated at ICU admission. Survival analysis was performed using Kaplan–Meier (KM) curves and log-rank tests to compare survival probabilities across nutritional risk categories. Cox proportional hazards regression analysis was used to assess the association between nutritional scores and ICU mortality. Of note, only 24 mortality events were recorded in the septic cohort, which limits the statistical power of the findings. Results: KM analysis revealed significantly reduced survival among patients with severe malnutrition, as measured by the PNI score (log-rank p = 0.044). Patients with high mNUTRIC scores showed a tendency toward lower survival probability compared with those with low nutritional risk, approaching statistical significance (log-rank p = 0.059). No significant survival differences were observed between CONUT categories (log-rank p = 0.380). In univariate Cox regression analysis, the mNUTRIC score was significantly associated with ICU mortality (HR 1.67, 95% CI 1.17–2.38, p = 0.005). Conclusions: In this selected cohort, mNUTRIC demonstrated the strongest univariate prognostic signal for ICU mortality; however, this association was attenuated and did not reach statistical significance after limited multivariable adjustment. These findings are exploratory and apply specifically to a cohort of septic ICU patients with confirmed nutritional risk and therefore should not be generalized to the broader population of critically ill septic patients. Full article
(This article belongs to the Section Clinical Diagnosis and Prognosis)
Show Figures

Figure 1

19 pages, 1522 KB  
Article
Early Risk Stratification for 30-Day Mortality After In-Hospital Cardiac Arrest: SHAP Interpretable CatBoost Model with m-NUTRIC and Micronutrient Biomarkers
by Gülseren Elay and Aytaç Güven
J. Clin. Med. 2026, 15(6), 2310; https://doi.org/10.3390/jcm15062310 - 18 Mar 2026
Viewed by 313
Abstract
Background/Objectives: Predicting 30-day mortality after in-hospital cardiac arrest (IHCA) remains challenging. We developed an interpretable CatBoost model that incorporates the m-NUTRIC score, age, and selected micronutrient biomarkers (i.e., magnesium, zinc, vitamin D, and vitamin B12). We compared its performance with that of [...] Read more.
Background/Objectives: Predicting 30-day mortality after in-hospital cardiac arrest (IHCA) remains challenging. We developed an interpretable CatBoost model that incorporates the m-NUTRIC score, age, and selected micronutrient biomarkers (i.e., magnesium, zinc, vitamin D, and vitamin B12). We compared its performance with that of logistic regression and quantified variable contributions using SHAP. Methods: Variables were extracted from the electronic medical records of 880 patients with IHCA admitted to a medical intensive care unit. The CatBoost and logistic regression models were trained on a stratified 80/20 split. The decision threshold was optimized using the Youden index (0.482). Discrimination (ROC-AUC with bootstrap confidence intervals), classification metrics, precision–recall analysis, calibration, and decision curve analysis were reported. Results: CatBoost achieved a ROC-AUC of 0.850 (95% confidence interval [CI]: 0.822–0.879) in the training set and 0.827 (95% CI: 0.760–0.887) in the internal test set, outperforming logistic regression (0.797; 95% CI: 0.720–0.861). The test set accuracy, precision, recall, F1-score, specificity, and average precision were 0.761, 0.847, 0.790, 0.817, 0.702, and 0.909, respectively. The Brier score was 0.186. Decision curve analysis showed net benefit across threshold probabilities of 0.20–0.70. The SHAP analysis identified m-NUTRIC and age as the dominant predictors, whereas micronutrients served as complementary contextual factors. Conclusions: The CatBoost model consistently outperformed the logistic regression and warrants prospective multicenter validation. Full article
(This article belongs to the Section Intensive Care)
Show Figures

Figure 1

13 pages, 1105 KB  
Article
Metabolic and Muscular Determinants of Weaning Failure: The Role of BUN/Creatinine Ratio and Rectus Femoris Thickness
by Erdem Yalçınkaya, Muhammet Topçu, Umut Sabri Kasapoğlu, Hüseyin Arıkan, Hasan Basri Yapıcı, Semiha Emel Eryüksel and Sait Karakurt
J. Clin. Med. 2026, 15(1), 314; https://doi.org/10.3390/jcm15010314 - 1 Jan 2026
Viewed by 652
Abstract
Background: Weaning failure remains a major challenge in intensive care practice, often reflecting the interplay between systemic catabolism and skeletal muscle wasting. The blood urea nitrogen-to-creatinine (BUN/Cr) ratio is a routinely available biochemical index influenced by renal handling, hemodynamic status, protein metabolism, [...] Read more.
Background: Weaning failure remains a major challenge in intensive care practice, often reflecting the interplay between systemic catabolism and skeletal muscle wasting. The blood urea nitrogen-to-creatinine (BUN/Cr) ratio is a routinely available biochemical index influenced by renal handling, hemodynamic status, protein metabolism, and muscle mass, and has been associated with adverse outcomes in critical illness. This study aimed to evaluate the association between BUN/Cr ratio, weaning outcomes, and ultrasound-based rectus femoris thickness. Methods: This retrospective observational study included 42 mechanically ventilated adults admitted to the medical ICU of Marmara University between December 2024 and September 2025. Rectus femoris thickness was measured via bedside ultrasonography at the time of the spontaneous breathing trial (SBT). Weaning success was defined as extubation without reintubation, death, or need for NIV/HFNO due to respiratory distress within 7 days. Laboratory and clinical variables—including BUN/Cr ratio, SOFA, APACHE II, mNUTRIC, and albumin—were recorded. Multivariable logistic regression and receiver operating characteristic (ROC) analyses were performed. Results: Weaning failure occurred in 13 patients (31.0%). These patients had higher BUN/Cr ratios (58.7 [44.6–76.9] vs. 39.7 [23.8–49.2], p = 0.007) and lower rectus femoris thickness (6.2 [5.4–7.0] vs. 7.8 [6.9–8.6] mm, p = 0.021). The BUN/Cr ratio independently predicted weaning failure (OR 1.07; 95% CI 1.01–1.14; p = 0.024). ROC analysis identified a BUN/Cr cut-off of 44.6 (AUC = 0.76) for weaning failure. An exploratory composite metabolic–muscle indicator (MMI), combining BUN/Cr ratio and rectus femoris thickness, demonstrated higher discriminative performance in this cohort (AUC = 0.81). Conclusions: An elevated BUN/Cr ratio was independently associated with weaning failure and lower rectus femoris thickness in this cohort. Given the observational design and potential confounding, these findings should be interpreted as hypothesis-generating. Combined biochemical and ultrasound-based assessment highlights the potential value of integrating metabolic and morphologic information when characterizing patients at risk for weaning failure. However, whether incorporation of such markers into clinical decision-making improves weaning outcomes requires prospective validation. Full article
(This article belongs to the Section Intensive Care)
Show Figures

Figure 1

12 pages, 602 KB  
Article
Prognostic Factors Affecting Mortality Among Patients Admitted to the Intensive Care Unit with Acute Hypoxemic Respiratory Failure
by Kerem Ensarioğlu, Melek Doğancı, Mustafa Özgür Cırık, Mesher Ensarioğlu, Erbil Tüksal, Münire Babayiğit and Seray Hazer
Diagnostics 2025, 15(14), 1784; https://doi.org/10.3390/diagnostics15141784 - 15 Jul 2025
Cited by 1 | Viewed by 1262
Abstract
Background/Objectives: Acute hypoxemic respiratory failure is a significant condition commonly seen in intensive care units (ICUs), yet specific prognostic markers related to it for mortality remain largely unstudied. This study aimed to identify parameters that influence mortality in ICU patients diagnosed with type [...] Read more.
Background/Objectives: Acute hypoxemic respiratory failure is a significant condition commonly seen in intensive care units (ICUs), yet specific prognostic markers related to it for mortality remain largely unstudied. This study aimed to identify parameters that influence mortality in ICU patients diagnosed with type 1 respiratory failure. Methods: A retrospective cohort study was conducted at a tertiary care hospital, including patients admitted to the ICU between March 2016 and March 2020. The study included patients with type 1 respiratory failure, while exclusion criteria were prior long-term respiratory support, type 2 respiratory failure, and early mortality (<24 h). Data on demographics, comorbidities, support requirements, laboratory values, and ICU scoring systems (APACHE II, SOFA, SAPS II, NUTRIC) were collected. Binomial regression analysis was used to determine independent predictors of 30-day mortality. Results: Out of 657 patients screened, 253 met the inclusion criteria (mean age 70.6 ± 15.6 years; 65.6% male). Non-survivors (n = 131) had significantly higher CCI scores; greater vasopressor requirements; and elevated SAPS II, APACHE, SOFA, and NUTRIC scores. Laboratory findings indicated higher inflammatory markers and lower nutritional markers (albumin and prealbumin, respectively) among non-survivors. In the regression model, SAPS II (OR: 13.38, p = 0.003), the need for inotropic support (OR: 1.11, p = 0.048), NUTRIC score (OR: 2.75, p = 0.014), and serum albumin (inverse; OR: 1.52, p = 0.001) were independently associated with mortality. The model had an AUC of 0.926 and classified 83.2% of cases correctly. When combined, SAPS II and mNUTRIC had more AUC compared to either standalone scoring. Conclusions: SAPS II, vasopressor requirements, mNUTRIC score, and low serum albumin are independent predictors of 30-day mortality in patients with acute hypoxemic respiratory failure. These findings support the integration of nutritional assessment, a combination of available scoring systems and comprehensive scoring into routine ICU evaluations for this patient group. Full article
(This article belongs to the Special Issue Diagnostics in the Emergency and Critical Care Medicine)
Show Figures

Figure 1

18 pages, 485 KB  
Article
Prognostic Accuracy of Nutritional Assessment Tools in Critically-Ill COVID-19 Patients
by Mehmet Yildirim, Burcin Halacli, Esat Kivanc Kaya, Ege Ulusoydan, Ebru Ortac Ersoy and Arzu Topeli
J. Clin. Med. 2025, 14(10), 3382; https://doi.org/10.3390/jcm14103382 - 13 May 2025
Viewed by 1244
Abstract
Objectives: Critically ill COVID-19 patients are at high risk of malnutrition; however, no study has directly compared the prognostic accuracy of different nutritional assessment tools. This study aimed to determine the optimal cutoff values for the Modified Nutrition Risk in the Critically [...] Read more.
Objectives: Critically ill COVID-19 patients are at high risk of malnutrition; however, no study has directly compared the prognostic accuracy of different nutritional assessment tools. This study aimed to determine the optimal cutoff values for the Modified Nutrition Risk in the Critically Ill (mNUTRIC) score, Nutritional Risk Screening 2002 (NRS 2002), and Malnutrition Universal Screening Tool (MUST) and to evaluate their predictive value for ICU mortality. Method: A retrospective analysis was conducted on patients with laboratory-confirmed COVID-19 admitted to our ICU between 20 March 2020 and 15 June 2021. Clinical and laboratory data, as well as patient outcomes, were retrieved from electronic medical records and patient charts. The mNUTRIC, NRS 2002, and MUST scores were calculated at ICU admission. Results: The study included 397 patients, with 273 survivors and 124 non-survivors. The median age was 65 (55–76) years, and the median BMI was 26.1 (24.0–29.4). Non-survivors had significantly higher median scores in all three nutritional assessment tools compared to survivors (mNUTRIC: 5 vs. 3, NRS 2002: 4 vs. 3, MUST: 2 vs. 2; p < 0.01). At the optimal cutoff values, mNUTRIC ≥ 4 demonstrated the highest prognostic accuracy (sensitivity: 0.77, specificity: 0.74; AUC = 0.75, CI = 0.70–0.81), followed by NRS 2002 ≥ 4 (sensitivity: 0.63, specificity: 0.60; AUC = 0.62, CI = 0.56–0.67) and MUST ≥ 3 (sensitivity: 0.21, specificity: 0.91; AUC = 0.56, CI = 0.50–0.68). Higher scores were associated with increased disease severity, poorer patient performance, prolonged hospital stays, and elevated ICU, 28-day, and overall hospital mortality rates. Among the three assessment tools, only an mNUTRIC score of ≥ 4 was independently associated with ICU mortality (OR = 1.54, CI = 1.21–1.96, p < 0.01). Conclusions: At ICU admission, mNUTRIC ≥ 4, NRS 2002 ≥ 4, and MUST ≥ 3 were identified as the most accurate predictors of mortality in critically ill COVID-19 patients. However, only the mNUTRIC score was an independent predictor of ICU mortality. Full article
(This article belongs to the Section Intensive Care)
Show Figures

Figure 1

14 pages, 451 KB  
Article
Unlocking the Predictive Power of Nutritional Scores in Septic Patients
by Arianna Toscano, Federica Bellone, Noemi Maggio, Maria Cinquegrani, Francesca Spadaro, Francesca Maria Bueti, Giuseppe Lorello, Herbert Ryan Marini, Alberto Lo Gullo, Giorgio Basile, Giovanni Squadrito, Giuseppe Mandraffino and Carmela Morace
Nutrients 2025, 17(3), 545; https://doi.org/10.3390/nu17030545 - 31 Jan 2025
Cited by 13 | Viewed by 2726
Abstract
Background: Sepsis is a critical condition characterized by severe immune dysregulation, ranking among the leading causes of morbidity and mortality in intensive care and internal medicine units. Nutritional status plays a pivotal role in modulating these responses, as when inadequate it can [...] Read more.
Background: Sepsis is a critical condition characterized by severe immune dysregulation, ranking among the leading causes of morbidity and mortality in intensive care and internal medicine units. Nutritional status plays a pivotal role in modulating these responses, as when inadequate it can compromise immune defenses, the body’s ability to handle stress and inflammation, and the clinical course. Malnutrition is frequently observed in septic patients and is strongly associated with worse clinical outcomes, including increased mortality, prolonged hospital stays, and greater complication rates. In this context, nutritional scoring systems have emerged as valuable tools to evaluate patients’ nutritional status and predict clinical trajectories. Objectives: Given the absence of a direct comparison of their performance in an internal medicine setting, this study aimed to assess the effectiveness of various nutritional scores as predictive tools for clinical outcomes in septic patients, emphasizing their application within the field of internal medicine. Methods and Results: A retrospective analysis was conducted on 143 patients diagnosed with sepsis or septic shock who were admitted to an internal medicine unit. Key variables included clinical and laboratory parameters, comorbidities, and nutritional scores at the time of diagnosis. The modified Glasgow Prognostic Score (mGPS), the Prognostic Nutritional Index (PNI), the Controlling Nutritional Status (CONUT) score, the modified Nutrition Risk in Critically Ill (mNUTRIC) score, and the blood urea nitrogen-to-albumin ratio (BAR) were evaluated in forecasting mortality and clinical outcomes in patients with sepsis. Among them, the mNUTRIC score emerged as the strongest independent predictor of in-hospital mortality, with a good performance and a reasonable threshold for risk stratification. Conclusions: The study highlights the mNUTRIC score’s practicality and reliability in assessing nutritional and inflammatory risks in septic patients, particularly in non-ICU settings. These findings suggest its potential utility in guiding nutritional interventions and improving clinical outcomes, emphasizing the importance of integrating nutritional assessment into sepsis management. Full article
(This article belongs to the Section Clinical Nutrition)
Show Figures

Figure 1

18 pages, 1237 KB  
Article
Using Body Composition Analysis for Improved Nutritional Intervention in Septic Patients: A Prospective Interventional Study
by Kai-Yin Hung, Tzu-Hsiu Chen, Ya-Fen Lee and Wen-Feng Fang
Nutrients 2023, 15(17), 3814; https://doi.org/10.3390/nu15173814 - 31 Aug 2023
Cited by 9 | Viewed by 2705
Abstract
The study aimed to determine whether using body composition data acquired through bio-electrical impedance analysis (BIA) to adjust diet formulas could improve outcomes in septic patients. There were 132 septic patients in medical intensive care units enrolled in the prospective, randomized, double-blind, interventional [...] Read more.
The study aimed to determine whether using body composition data acquired through bio-electrical impedance analysis (BIA) to adjust diet formulas could improve outcomes in septic patients. There were 132 septic patients in medical intensive care units enrolled in the prospective, randomized, double-blind, interventional study. For the intervention group, dietitians had access to BIA data for adjusting diet formulas according to body composition variables on days 1, 3, and 8. The patients were also stratified based on nutritional risk using the modified Nutrition Risk in Critically ill (mNUTRIC) score. Patients with intervention were more likely to achieve caloric and protein intake goals compared to the control group, especially in the low-risk group. The intervention did not significantly affect mortality, but the survival curves suggested potential benefits. The high-risk group had longer ICU stays and mechanical ventilation duration, which were mitigated by the intervention. Certain body composition variables (e.g., extracellular water to total body water ratio and phase angle) showed differences between high-risk and low-risk groups and may be related to patient outcomes. Non-invasive body composition assessment using BIA can help dietitians adjust diet formulas for critically ill septic patients. Body composition variables may be associated with sepsis outcomes, but further research with larger patient numbers is needed to confirm these findings. Full article
(This article belongs to the Special Issue Enteral/Parenteral Nutrition and Infections)
Show Figures

Figure 1

11 pages, 1614 KB  
Article
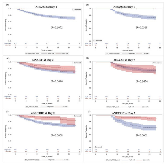
Optimal Nutritional Support Strategy Based on the Association between Modified NUTRIC Score and 28-Day Mortality in Critically Ill Patients: A Prospective Study
by Sunny Park, So Hyang Park, Yeju Kim, Geon Ho Lee, Hyung-sook Kim, Sung Yoon Lim and Soo An Choi
Nutrients 2023, 15(11), 2465; https://doi.org/10.3390/nu15112465 - 25 May 2023
Cited by 12 | Viewed by 3054
Abstract
Malnutrition in critically ill patients is closely linked with clinical outcomes. During acute inflammatory states, nutrition cannot reverse the loss of body cell mass completely. Studies on nutritional screening and strategy considering metabolic changes have not yet been conducted. We aimed to identify [...] Read more.
Malnutrition in critically ill patients is closely linked with clinical outcomes. During acute inflammatory states, nutrition cannot reverse the loss of body cell mass completely. Studies on nutritional screening and strategy considering metabolic changes have not yet been conducted. We aimed to identify nutrition strategies using the modified Nutrition Risk in the Critically ill (mNUTIRC) score. Nutrition support data, laboratory nutrition indicators, and prognosis indices were prospectively collected on the 2nd and 7th day after admission. It was to identify the effect of the changes on the metabolic status and critical target of nutrition intervention. To discriminate the high-risk group of malnutrition, receiver operating characteristic curves were plotted. Risk factors associated with 28 day-mortality were evaluated using multivariable Cox proportional hazards regression. A total of 490 and 266 patients were analyzed on the 2nd and 7th day, respectively. Only the mNUTRIC score showed significant differences in nutritional risk stratification. The use of vasopressors, hypoprotein supply (<1.0 g/kg/day), high mNUTRIC score, and hypoalbuminemia (<2.5 mg/dL) in the recovery phase were strongly associated with a 28-day mortality. The implementation of the mNUTRIC score and protein supply in the post-acute phase is critical to improve 28-day mortality in critically ill patients. Full article
(This article belongs to the Section Clinical Nutrition)
Show Figures

Figure 1

13 pages, 968 KB  
Article
Combining Phenylalanine and Leucine Levels Predicts 30-Day Mortality in Critically Ill Patients Better than Traditional Risk Factors with Multicenter Validation
by Yi-Liang Tsou, Chao-Hung Wang, Wei-Siang Chen, Huang-Ping Wu, Min-Hui Liu, Hsuan-Ching Lin, Jung-Jung Chang, Meng-Shu Tsai, Tien-Yu Chen, Cheng-I Cheng, Jih-Kai Yeh and I-Chang Hsieh
Nutrients 2023, 15(3), 649; https://doi.org/10.3390/nu15030649 - 27 Jan 2023
Cited by 5 | Viewed by 2818
Abstract
In critically ill patients, risk scores are used; however, they do not provide information for nutritional intervention. This study combined the levels of phenylalanine and leucine amino acids (PLA) to improve 30-day mortality prediction in intensive care unit (ICU) patients and to see [...] Read more.
In critically ill patients, risk scores are used; however, they do not provide information for nutritional intervention. This study combined the levels of phenylalanine and leucine amino acids (PLA) to improve 30-day mortality prediction in intensive care unit (ICU) patients and to see whether PLA could help interpret the nutritional phases of critical illness. We recruited 676 patients with APACHE II scores ≥ 15 or intubated due to respiratory failure in ICUs, including 537 and 139 patients in the initiation and validation (multicenter) cohorts, respectively. In the initiation cohort, phenylalanine ≥ 88.5 μM (indicating metabolic disturbance) and leucine < 68.9 μM (indicating malnutrition) were associated with higher mortality rate. Based on different levels of phenylalanine and leucine, we developed PLA scores. In different models of multivariable analyses, PLA scores predicted 30-day mortality independent of traditional risk scores (p < 0.001). PLA scores were then classified into low, intermediate, high, and very-high risk categories with observed mortality rates of 9.0%, 23.8%, 45.6%, and 81.8%, respectively. These findings were validated in the multicenter cohort. PLA scores predicted 30-day mortality better than APACHE II and NUTRIC scores and provide a basis for future studies to determine whether PLA-guided nutritional intervention improves the outcomes of patients in ICUs. Full article
(This article belongs to the Section Clinical Nutrition)
Show Figures

Figure 1

5 pages, 471 KB  
Brief Report
Assessment of Nutritional Risk at ICU Admission and Mortality in Patients with Suspected COVID-19
by Gustavo D. Pimentel, Claude Pichard, Paula M. Martins and Emanoelly P. Franco
Clin. Pract. 2022, 12(6), 950-954; https://doi.org/10.3390/clinpract12060100 - 23 Nov 2022
Cited by 2 | Viewed by 2467
Abstract
Background/Objectives: The association between the nutritional risk and mortality in Brazilians with COVID-19 is poorly documented. Therefore, this study, for the first time, aimed at investigating the length of stay in the ICU and the chance of dying in patients with suspected COVID-19, [...] Read more.
Background/Objectives: The association between the nutritional risk and mortality in Brazilians with COVID-19 is poorly documented. Therefore, this study, for the first time, aimed at investigating the length of stay in the ICU and the chance of dying in patients with suspected COVID-19, without and with nutritional risk. Subjects/Methods: This retrospective monocentric study enrolled adult, COVID-19-positive patients that were admitted to the ICU at a university hospital. Biochemical analysis and clinical data were collected from medical records and the nutritional risk was assessed according to the Modified-Nutrition Risk in the Critically Ill (mNUTRIC) score. The Cox model was used to assess the chance of mortality in the patients with and without nutritional risk. Results: Out of 71 patients, 63.3% were male and 52% were older (≥60 years). Although no differences were found between groups for the length of stay in ICU, C-reactive protein, alanine aminotransferase and aspartate aminotransferase concentrations, the mNUTRIC ≥ 5 group had higher D-dimer than the mNUTRIC < 5 group. Regarding ICU mortality, most patients (69.5%) in the mNUTRI ≥ 5 group died while in the mNUTRIC < 5 group 33.3% died (p = 0.0001). In addition, patients with mNUTRIC ≥ 5 had (HR: 2.04 [95% CI: 1.02–4.09], p = 0.04) a more likely chance of dying than patients in the mNUTRIC < 5 group, even that adjusted by BMI and D-dimer concentrations (HR: 2.18 [95% CI: 1.04–4.56], p = 0.03). Conclusion: In patients with COVID-19, an mNUTRIC ≥ 5 score at admission leads to a more likely chance of death even after controlling for confounding variables. Full article
Show Figures

Figure 1

13 pages, 1563 KB  
Article
Nutritional Risk Assessment Scores Effectively Predict Mortality in Critically Ill Patients with Severe COVID-19
by Constantin Bodolea, Andrada Nemes, Lucretia Avram, Rares Craciun, Mihaela Coman, Mihaela Ene-Cocis, Cristina Ciobanu and Dana Crisan
Nutrients 2022, 14(10), 2105; https://doi.org/10.3390/nu14102105 - 18 May 2022
Cited by 35 | Viewed by 4778
Abstract
Background: Malnutrition predicts a worse outcome for critically ill patients. However, quick, easy-to-use nutritional risk assessment tools have not been adequately validated. Aims and Methods: The study aimed to evaluate the role of four biological nutritional risk assessment instruments (the Prognostic Nutritional Index—PNI, [...] Read more.
Background: Malnutrition predicts a worse outcome for critically ill patients. However, quick, easy-to-use nutritional risk assessment tools have not been adequately validated. Aims and Methods: The study aimed to evaluate the role of four biological nutritional risk assessment instruments (the Prognostic Nutritional Index—PNI, the Controlling Nutritional Status Score—CONUT, the Nutrition Risk in Critically Ill—NUTRIC, and the modified NUTRIC—mNUTRIC), along with CT-derived fat tissue and muscle mass measurements in predicting in-hospital mortality in a consecutive series of 90 patients hospitalized in the intensive care unit for COVID-19-associated ARDS. Results: In-hospital mortality was 46.7% (n = 42/90). Non-survivors had a significantly higher nutritional risk, as expressed by all four scores. All scores were independent predictors of mortality on the multivariate regression models. PNI had the best discriminative capabilities for mortality, with an area under the curve (AUC) of 0.77 for a cut-off value of 28.05. All scores had an AUC above 0.72. The volume of fat tissue and muscle mass were not associated with increased mortality risk. Conclusions: PNI, CONUT, NUTRIC, and mNUTRIC are valuable nutritional risk assessment tools that can accurately predict mortality in critically ill patients with COVID-19-associated ARDS. Full article
(This article belongs to the Special Issue Malnutrition in Hospitalized Patients)
Show Figures

Figure 1

11 pages, 1565 KB  
Article
Identification of ICU Patients with High Nutritional Risk after Abdominal Surgery Using Modified NUTRIC Score and the Association of Energy Adequacy with 90-Day Mortality
by Kyoung Moo Im and Eun Young Kim
Nutrients 2022, 14(5), 946; https://doi.org/10.3390/nu14050946 - 23 Feb 2022
Cited by 15 | Viewed by 3681
Abstract
For patients undergoing abdominal surgery, malnutrition further increases the susceptibility to infection, surgical complications, and mortality. However, there is no standard tool for identifying high-risk groups of malnutrition or exact criteria for the optimal target of nutrition supply. We aimed to identify the [...] Read more.
For patients undergoing abdominal surgery, malnutrition further increases the susceptibility to infection, surgical complications, and mortality. However, there is no standard tool for identifying high-risk groups of malnutrition or exact criteria for the optimal target of nutrition supply. We aimed to identify the nutritional risk in critically ill patients using modified Nutrition Risk in the Critically Ill (mNUTRIC) scores and assessing the relationship with clinical outcomes. Furthermore, we identified the ideal target of energy intake during the acute postoperative period. A prospective observational study was conducted. mNUTRIC scores and the average calories prescribed and given were calculated. To identify the high-risk group of malnutrition, receiver operating characteristic curves were plotted. The ideal target of energy adequacy and predisposing factors of 90-day mortality were assessed using multiple logistic regression analyses. A total of 206 patients were analyzed. The cutoff value for mNUTRIC score predicting 90-day mortality was 5 (Area under the curve = 0.7, 95% confidence interval (Cl) 0.606–0.795, p < 0.001). A total of 75 patients (36.4%) were classified in the high mNUTRIC group (mNUTRIC ≥ 5) and had a significantly higher postoperative complication and longer length of surgical intensive care unit stay. High mNUTRIC scores (odds ratio = 2.548, 95% CI 1.177–5.514, p = 0.018) and energy adequacy less than 50% (odds ratio = 6.427, 95% CI 1.674–24.674, p = 0.007) were associated with 90-day mortality. Full article
(This article belongs to the Section Clinical Nutrition)
Show Figures

Figure 1

14 pages, 827 KB  
Article
Significance of the Modified NUTRIC Score for Predicting Clinical Outcomes in Patients with Severe Community-Acquired Pneumonia
by Chia-Cheng Tseng, Chih-Yen Tu, Chia-Hung Chen, Yao-Tung Wang, Wei-Chih Chen, Pin-Kuei Fu, Chin-Ming Chen, Chih-Cheng Lai, Li-Kuo Kuo, Shih-Chi Ku and Wen-Feng Fang
Nutrients 2022, 14(1), 198; https://doi.org/10.3390/nu14010198 - 31 Dec 2021
Cited by 25 | Viewed by 4753
Abstract
Nutritional status could affect clinical outcomes in critical patients. We aimed to determine the prognostic accuracy of the modified Nutrition Risk in Critically Ill (mNUTRIC) score for hospital mortality and treatment outcomes in patients with severe community-acquired pneumonia (SCAP) compared to other clinical [...] Read more.
Nutritional status could affect clinical outcomes in critical patients. We aimed to determine the prognostic accuracy of the modified Nutrition Risk in Critically Ill (mNUTRIC) score for hospital mortality and treatment outcomes in patients with severe community-acquired pneumonia (SCAP) compared to other clinical prediction rules. We enrolled SCAP patients in a multi-center setting retrospectively. The mNUTRIC score and clinical prediction rules for pneumonia, as well as clinical factors, were calculated and recorded. Clinical outcomes, including mortality status and treatment outcome, were assessed after the patient was discharged. We used the receiver operating characteristic (ROC) curve method and multivariate logistic regression analysis to determine the prognostic accuracy of the mNUTRIC score for predicting clinical outcomes compared to clinical prediction rules, while 815 SCAP patients were enrolled. ROC curve analysis showed that the mNUTRIC score was the most effective at predicting each clinical outcome and had the highest area under the ROC curve value. The cut-off value for predicting clinical outcomes was 5.5. By multivariate logistic regression analysis, the mNUTRIC score was also an independent predictor of both clinical outcomes in SCAP patients. We concluded that the mNUTRIC score is a better prognostic factor for predicting clinical outcomes in SCAP patients compared to other clinical prediction rules. Full article
(This article belongs to the Special Issue Nutrition and Metabolic Risk Factors in Patients)
Show Figures

Figure 1

14 pages, 1102 KB  
Article
Energy Achievement Rate Is an Independent Factor Associated with Intensive Care Unit Mortality in High-Nutritional-Risk Patients with Acute Respiratory Distress Syndrome Requiring Prolonged Prone Positioning Therapy
by Pin-Kuei Fu, Chen-Yu Wang, Wei-Ning Wang, Chiann-Yi Hsu, Shih-Pin Lin and Chen-Tsung Kuo
Nutrients 2021, 13(9), 3176; https://doi.org/10.3390/nu13093176 - 12 Sep 2021
Cited by 8 | Viewed by 4331
Abstract
Early enteral nutrition (EN) and a nutrition target >60% are recommended for patients in the intensive care unit (ICU), even for those with acute respiratory distress syndrome (ARDS). Prolonged prone positioning (PP) therapy (>48 h) is the rescue therapy of ARDS, but it [...] Read more.
Early enteral nutrition (EN) and a nutrition target >60% are recommended for patients in the intensive care unit (ICU), even for those with acute respiratory distress syndrome (ARDS). Prolonged prone positioning (PP) therapy (>48 h) is the rescue therapy of ARDS, but it may worsen the feeding status because it requires the heavy sedation and total paralysis of patients. Our previous studies demonstrated that energy achievement rate (EAR) >65% was a good prognostic factor in ICU. However, its impact on the mortality of patients with ARDS requiring prolonged PP therapy remains unclear. We retrospectively analyzed 79 patients with high nutritional risk (modified nutrition risk in the critically ill; mNUTRIC score ≥5); and identified factors associated with ICU mortality by using a Cox regression model. Through univariate analysis, mNUTRIC score, comorbid with malignancy, actual energy intake, and EAR (%) were associated with ICU mortality. By multivariate analysis, EAR (%) was a strong predictive factor of ICU mortality (HR: 0.19, 95% CI: 0.07–0.56). EAR >65% was associated with lower 14-day, 28-day, and ICU mortality after adjustment for confounding factors. We suggest early EN and increase EAR >65% may benefit patients with ARDS who required prolonged PP therapy. Full article
(This article belongs to the Special Issue Medical Nutrition Therapy in Critically Ill and COVID-19 Patients)
Show Figures

Graphical abstract

Back to TopTop