Sign in to use this feature.

Years

Between: -

Subjects

remove_circle_outline
remove_circle_outline
remove_circle_outline
remove_circle_outline
remove_circle_outline
remove_circle_outline
remove_circle_outline
remove_circle_outline
remove_circle_outline

Journals

remove_circle_outline
remove_circle_outline
remove_circle_outline
remove_circle_outline
remove_circle_outline

Article Types

Countries / Regions

remove_circle_outline
remove_circle_outline
remove_circle_outline
remove_circle_outline

Search Results (271)

Search Parameters:
Keywords = low angular velocity

Order results
Result details
Results per page
Select all
Export citation of selected articles as:
21 pages, 6332 KB  
Article
Torsional Stick–Slip Modeling and Mitigation in Horizontal Wells Considering Non-Newtonian Drilling Fluid Damping and BHA Configuration
by Xueyin Han, Botao Lin, Fanhua Meng, Xuefeng Song and Zhibin Li
Processes 2025, 13(12), 4051; https://doi.org/10.3390/pr13124051 - 15 Dec 2025
Viewed by 222
Abstract
Stick–slip vibration leads to accelerated wear of drilling tools and downhole tool failures, particularly in long horizontal sections. Existing drill-string dynamics models and control or digital-twin frameworks have significantly improved our understanding and mitigation of stick–slip, but most of them adopt simplified Newtonian [...] Read more.
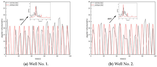
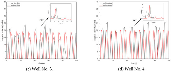
Stick–slip vibration leads to accelerated wear of drilling tools and downhole tool failures, particularly in long horizontal sections. Existing drill-string dynamics models and control or digital-twin frameworks have significantly improved our understanding and mitigation of stick–slip, but most of them adopt simplified Newtonian or linear viscous damping and low-degree-of-freedom representations of the drill-string–fluid–BHA system, which can under-represent the influence of non-Newtonian oil-based drilling fluids and detailed BHA design in long horizontal wells. In this study, an n-degree-of-freedom torsional stick–slip vibration model for horizontal wells is developed that explicitly incorporates Herschel–Bulkley non-Newtonian rheological damping of the drilling fluid, distributed friction between the horizontal section and drill string, and bit–rock interaction. The model is implemented in a computational program and calibrated and validated against stick–slip field measurements from four shale-gas horizontal wells in the Luzhou area, showing good agreement in stick–slip frequency and peak angular velocity. Using the Stick–Slip Index (SSI) as a quantitative metric, the influences of rotary table speed, weight on bit (WOB), and bottom-hole assembly (BHA) configuration on stick–slip vibration in a representative case well are systematically analyzed. The results indicate that increasing rotary speed from 64 to 144 r/min progressively reduces stick–slip severity and eliminates it at 144 r/min, reducing WOB from 150 to 60 kN weakens and eventually removes stick–slip at the expense of penetration rate, drill collar length has a non-monotonic impact on SSI with potential high-frequency vibrations at longer lengths, and increasing heavy-weight drill pipe (HWDP) length from 47 to 107 m consistently intensifies stick–slip. Based on these simulations, SSI-based stick–slip severity charts are constructed to provide quantitative guidance for drilling parameter optimization and BHA configuration in field operations. Full article
(This article belongs to the Section Process Control and Monitoring)
Show Figures

Figure 1

29 pages, 6963 KB  
Article
Low-Cost Angular-Velocity Measurements for Sustainable Dynamic Identification of Pedestrian Footbridges: A Case Study of the Footbridge in Gdynia (Poland)
by Anna Banas
Sustainability 2025, 17(23), 10456; https://doi.org/10.3390/su172310456 - 21 Nov 2025
Viewed by 334
Abstract
This study investigates the practical value of angular-velocity measurements in the dynamic identification of pedestrian footbridges, addressing the need for reliable yet cost-effective diagnostics for slender civil structures. A comprehensive experimental campaign on a steel footbridge in Gdynia combined ambient vibration tests, forced [...] Read more.
This study investigates the practical value of angular-velocity measurements in the dynamic identification of pedestrian footbridges, addressing the need for reliable yet cost-effective diagnostics for slender civil structures. A comprehensive experimental campaign on a steel footbridge in Gdynia combined ambient vibration tests, forced excitation (light and heavy shakers), and controlled pedestrian loading. Synchronous translational accelerations and rotational velocities from MEMS sensors enabled evaluation of both bending and torsional responses. Three identification techniques—Peak Picking (PP), Frequency Domain Decomposition (FDD), and Stochastic Subspace Identification (SSI)—were applied and compared with a validated beam–shell FEM developed in SOFiSTiK. The results show that rotational data improve mode-shape interpretation and classification, notably resolving a coupled torsional–vertical mode (VT2) that was ambiguous in acceleration-only analyses. The fundamental frequency of 3.1 Hz places the bridge in a resonance-prone range; field tests confirmed predominantly vertical response, with horizontal accelerations < 0.05 m/s2 and peak vertical accelerations exceeding comfort class CL3 during synchronised walking of six pedestrians (≈2.55 m/s2) and jumping (up to 3.61 m/s2). Overall, the outcomes highlight that low-cost gyroscopic sensing offers substantial benefits for structural system identification and mode-shape characterization, enriching acceleration-based diagnostics and strengthening the basis for subsequent analyses. By reducing the financial and material demands of vibration testing, the proposed approach contributes to more sustainable assessment and maintenance of pedestrian bridges, aligning with resource-efficient monitoring strategies in civil infrastructure. Full article
Show Figures

Figure 1

12 pages, 1059 KB  
Article
Hybrid Technology of Beet Pulp Dewatering with Process Intensification in a Convection Dryer as an Element of Sustainable Processing of Agro-Industrial Waste into Bioenergy
by Igor Palamarchuk, Olesia Priss, Oksana Zozulyak, Liudmyla Kiurcheva, Oksana Vasylenko, Konstiantyn Dyadyura, Zdzislawa Romanowska-Duda, Andrzej Obraniak, Szymon Szufa and Taras Hutsol
Sustainability 2025, 17(22), 10327; https://doi.org/10.3390/su172210327 - 18 Nov 2025
Viewed by 352
Abstract
In the studied process of moisture removal there is an increase in the driving force, due to centrifugation during rotor rotation, the emergence of electroosmotic pressure when creating conditions for one-sided diffusion, the filtering of the technological mass of the load through the [...] Read more.
In the studied process of moisture removal there is an increase in the driving force, due to centrifugation during rotor rotation, the emergence of electroosmotic pressure when creating conditions for one-sided diffusion, the filtering of the technological mass of the load through the rotor perforations, as well as the introduction of low-frequency oscillations of the dryer’s actuators. Therefore, the purpose of this scientific study is to substantiate the operating modes of the vibration convective dryer by evaluating the amplitude–frequency parameters of the beet pulp dehumidification process. According to the results of the studies, the use of the angular velocity of the drive shaft of the vibrator in the range of 80…110 rad/s and the amplitude of oscillations within 2.5…3.0 mm allow the process to be carried out at maximum energy consumption of about 700…750 W. The developed technology involves the sequential implementation of vibration, filtration, and electroosmotic technological action, which allows for a reduction in the duration of beet pulp processing during dehumidification by almost two times compared to the duration when performing filtration moisture removal in a stationary layer of products. Low-frequency oscillations with force field acceleration (of the order of 2…3 g) are used to create a pseudo rapid layer of products before convective processing, and when this parameter is reduced to (0.9…1.0 g), they ensure maximum compaction of the pulp mass, which significantly increases the efficiency of electroosmotic moisture removal. Such a combination of the noted physical and mechanical factors makes it possible to reduce the specific energy consumption for the removal of 1 kg of moisture by 2.7 times compared to traditional convective drying. Full article
Show Figures

Figure 1

30 pages, 6687 KB  
Article
A Novel Shallow Neural Network-Augmented Pose Estimator Based on Magneto-Inertial Sensors for Reference-Denied Environments
by Akos Odry, Peter Sarcevic, Giuseppe Carbone, Peter Odry and Istvan Kecskes
Sensors 2025, 25(22), 6864; https://doi.org/10.3390/s25226864 - 10 Nov 2025
Viewed by 663
Abstract
Magnetic, angular rate, and gravity (MARG) sensor-based inference is the de facto standard for mobile robot pose estimation, yet its sensor limitations necessitate fusion with absolute references. In environments where such references are unavailable, the system must rely solely on the uncertain MARG-based [...] Read more.
Magnetic, angular rate, and gravity (MARG) sensor-based inference is the de facto standard for mobile robot pose estimation, yet its sensor limitations necessitate fusion with absolute references. In environments where such references are unavailable, the system must rely solely on the uncertain MARG-based inference, posing significant challenges due to the resulting estimation uncertainties. This paper addresses the challenge of enhancing the accuracy of position/velocity estimations based on the fusion of MARG sensor data with shallow neural network (NN) models. The proposed methodology develops and trains a feasible cascade-forward NN to reliably estimate the true acceleration of dynamical systems. Three types of NNs are developed for acceleration estimation. The effectiveness of each topology is comprehensively evaluated in terms of input combinations of MARG measurements and signal features, number of hidden layers, and number of neurons. The proposed approach also incorporates extended Kalman and gradient descent orientation filters during the training process to further improve estimation effectiveness. Experimental validation is conducted through a case study on position/velocity estimation for a low-cost flying quadcopter. This process utilizes a comprehensive database of random dynamic flight maneuvers captured and processed in an experimental test environment with six degrees of freedom (6DOF), where both raw MARG measurements and ground truth data (three positions and three orientations) of system states are recorded. The proposed approach significantly enhances the accuracy in calculating the rotation matrix-based acceleration vector. The Pearson correlation coefficient reaches 0.88 compared to the reference acceleration, surpassing 0.73 for the baseline method. This enhancement ensures reliable position/velocity estimations even during typical quadcopter maneuvers within 10-s timeframes (flying 50 m), with a position error margin ranging between 2 to 4 m when evaluated across a diverse set of representative quadcopter maneuvers. The findings validate the engineering feasibility and effectiveness of the proposed approach for pose estimation in GPS-denied or landmark-deficient environments, while its application in unknown environments constitutes the main future research direction. Full article
Show Figures

Figure 1

18 pages, 1995 KB  
Article
Research on Roll Attitude Estimation Algorithm for Precision Firefighting Extinguishing Projectiles Based on Single MEMS Gyroscope
by Jinsong Zeng, Zeyuan Liu and Chengyang Liu
Sensors 2025, 25(21), 6721; https://doi.org/10.3390/s25216721 - 3 Nov 2025
Viewed by 1962
Abstract
The accurate acquisition and real-time calculation of the attitude angle of precision firefighting extinguishing projectiles are essential for ensuring stable flight and precise extinguishing agent release. However, measuring the roll attitude angle in such projectiles is challenging due to their highly dynamic nature [...] Read more.
The accurate acquisition and real-time calculation of the attitude angle of precision firefighting extinguishing projectiles are essential for ensuring stable flight and precise extinguishing agent release. However, measuring the roll attitude angle in such projectiles is challenging due to their highly dynamic nature and environmental disturbances such as fire smoke, high temperature, and electromagnetic interference. Traditional methods for measuring attitude angles rely on multi-sensor fusion schemes, which suffer from complex structure and high cost. This paper proposes a single-gyro attitude calculation method based on micro-electromechanical inertial measurement units (MIMUs). This method integrates Fourier transform time-frequency analysis with a second-order Infinite Impulse Response (IIR) bandpass filtering algorithm optimized by dynamic coefficients. Unlike conventional fixed-coefficient filters, the proposed algorithm adaptively updates filter parameters according to instantaneous roll angular velocity, thereby maintaining tracking capability under time-varying conditions. This theoretical contribution provides a general framework for adaptive frequency-tracking filtering, beyond the specific engineering case of firefighting projectiles. Through joint time-frequency domain processing, it achieves high-precision dynamic decoupling of the roll angle, eliminating the dependency on external sensors (e.g., radar/GPS) inherent in conventional systems. This approach drastically reduces system complexity and provides key technical support for low-cost and high-reliability firefighting projectile attitude control. The research contributes to enhancing the effectiveness of urban firefighting, forest fire suppression, and public safety emergency response. Full article
(This article belongs to the Topic Innovation, Communication and Engineering)
Show Figures

Figure 1

15 pages, 3765 KB  
Communication
Non-Contact Fatigue Estimation in Healthy Individuals Using Azure Kinect: Contribution of Multiple Kinematic Features
by Takafumi Yamada and Kai Kondo
Sensors 2025, 25(21), 6633; https://doi.org/10.3390/s25216633 - 29 Oct 2025
Viewed by 958
Abstract
Monitoring exercise-induced fatigue is important for maintaining the effectiveness of training and preventing injury. We evaluated a non-contact approach that estimates perceived fatigue from full-body kinematics captured by an Azure Kinect depth camera. Ten healthy young adults repeatedly performed simple, reproducible whole-body movements, [...] Read more.
Monitoring exercise-induced fatigue is important for maintaining the effectiveness of training and preventing injury. We evaluated a non-contact approach that estimates perceived fatigue from full-body kinematics captured by an Azure Kinect depth camera. Ten healthy young adults repeatedly performed simple, reproducible whole-body movements, and 3D skeletal coordinates from 32 joints were recorded. After smoothing, 24 kinematic features (joint angles, angular velocities, and cycle timing) were extracted. Fatigue labels (Low, Medium, and High) were obtained using the Borg CR10 scale at 30-s intervals. A random forest classifier was trained and evaluated with leave-one-subject-out cross-validation, and class imbalance was addressed by comparing no correction, class weighting, and random oversampling within the training folds. The model discriminated fatigue levels with high performance (overall accuracy 86%; macro ROC AUC 0.98 (LOSO point estimate) under oversampling), and feature importance analysis indicated distributed contributions across feature categories. These results suggest that simple camera-based kinematic analysis can feasibly estimate perceived fatigue during basic movements. Future work will expand the cohort, diversify tasks, and integrate physiological signals to improve generalization and provide segment-level interpretability. Full article
Show Figures

Figure 1

31 pages, 5821 KB  
Article
Trajectory Tracking Control Method via Simulation for Quadrotor UAVs Based on Hierarchical Decision Dual-Threshold Adaptive Switching
by Fei Peng, Qiang Gao, Hongqiang Lu, Zhonghong Bu, Bobo Jia, Ganchao Liu and Zhong Tao
Appl. Sci. 2025, 15(20), 11217; https://doi.org/10.3390/app152011217 - 20 Oct 2025
Viewed by 891
Abstract
In complex 3D maneuvering tasks (e.g., post-disaster rescue, urban operations, and infrastructure inspection), the trajectories that quadrotors need to track are often complex—containing both gentle flight phases and highly maneuverable trajectory segments. Under such trajectory tracking tasks with the composite characteristics of “gentle-high [...] Read more.
In complex 3D maneuvering tasks (e.g., post-disaster rescue, urban operations, and infrastructure inspection), the trajectories that quadrotors need to track are often complex—containing both gentle flight phases and highly maneuverable trajectory segments. Under such trajectory tracking tasks with the composite characteristics of “gentle-high maneuvering”, quadrotors face challenges of limited onboard computing resources and short endurance, requiring a balance between trajectory tracking accuracy, computational efficiency, and energy consumption. To address this problem, this paper proposes a lightweight trajectory tracking control method based on hierarchical decision-making and dual-threshold adaptive switching. Inspired by the biological “prediction–reflection” mechanism, this method designs a dual-threshold collaborative early warning switching architecture of “prediction layer–confirmation layer”: The prediction layer dynamically assesses potential risks based on trajectory curvature and jerk, while the confirmation layer confirms in real time the stability risks through an attitude-angular velocity composite index. Only when both exceed the thresholds, it switches from low-energy-consuming Euler angle control to high-precision geometric control. Simulation experiments show that in four typical trajectories (straight-line rapid turn, high-speed S-shaped, anti-interference composite, and narrow space figure-eight), compared with pure geometric control, this method reduces position error by 19.5%, decreases energy consumption by 45.9%, and shortens CPU time by 28%. This study not only optimizes device performance by improving trajectory tracking accuracy while reducing onboard computational load, but also reduces energy consumption to extend UAV endurance, and simultaneously enhances anti-disturbance capability, thereby improving its operational capability to respond to emergencies in complex environments. Overall, this study provides a feasible solution for the efficient and safe flight of resource-constrained onboard platforms in multi-scenario complex environments in the future and has broad application and expansion potential. Full article
Show Figures

Figure 1

12 pages, 2368 KB  
Article
Effect of Oblique Impact Angles on Fracture Patterns in Laminated Glass Plates Impacted by a 10 mm Steel Ball
by Sanghee Kim
Appl. Sci. 2025, 15(20), 10898; https://doi.org/10.3390/app152010898 - 10 Oct 2025
Viewed by 588
Abstract
Many studies have examined normal impacts on glass, but data on oblique impacts are limited, and, in particular, there is very limited experimental data on oblique impacts at various angles under consistent experimental conditions. Therefore, this study investigated fracture patterns of 5 mm [...] Read more.
Many studies have examined normal impacts on glass, but data on oblique impacts are limited, and, in particular, there is very limited experimental data on oblique impacts at various angles under consistent experimental conditions. Therefore, this study investigated fracture patterns of 5 mm thick low-emissivity (low-e) glass impacted by a 10 mm steel ball at velocities of 40 to 50 m/s at various oblique impact angles from 0° to 80°. Results showed that fracture patterns varied clearly with impact angle. Truncated cone fractures occurred in all specimens at 0° to 60°, while three of six specimens did not fracture at 80° because the normal energy dropped to below damage limit energy. Damage parameters normalized by kinetic energy showed that Cmax/KE and Cmin/KE remained stable at 5.7–6.4 and 4.9–5.3 mm/J from 0° to 45°, but dropped sharply to 0.7 and 0.6 mm/J at 80°. The aspect ratio of cone cracks remained relatively constant (1.2–1.3) regardless of oblique impact angle, while the aspect ratio of perforated holes increased from 1.0 (0°) to 1.6 (60°) before decreasing at 80°. Steel ball size comparison confirmed that normalized damage patterns are not significantly affected by projectile size variations. Mechanism-based analysis revealed that cone cracks and perforated holes are governed by fundamentally different physical processes. Cone cracks form through axisymmetric stress fields following Hertzian contact theory, showing limited angular sensitivity (15.4% maximum eccentricity change). In contrast, perforated holes result from trajectory-dependent mechanical penetration, exhibiting extreme angular sensitivity with 338.9% eccentricity increase from 0° to 60°. This 22-fold difference demonstrates a dual damage mechanism framework that explains the pronounced angular dependence of hole geometry versus the relative stability of cone crack patterns. These findings provide essential data for forensic glass analysis and impact-resistant glazing design, while the dual mechanism concept offers new insights into angle-dependent fracture behavior of brittle materials. Full article
Show Figures

Figure 1

18 pages, 2086 KB  
Review
Jets in Low-Mass Protostars
by Somnath Dutta
Universe 2025, 11(10), 333; https://doi.org/10.3390/universe11100333 - 9 Oct 2025
Viewed by 746
Abstract
Jets and outflows are key components of low-mass star formation, regulating accretion and shaping the surrounding molecular clouds. These flows, traced by molecular species at (sub)millimeter wavelengths (e.g., CO, SiO, SO, H2CO, and CH3OH) and by atomic, ionized, and [...] Read more.
Jets and outflows are key components of low-mass star formation, regulating accretion and shaping the surrounding molecular clouds. These flows, traced by molecular species at (sub)millimeter wavelengths (e.g., CO, SiO, SO, H2CO, and CH3OH) and by atomic, ionized, and molecular lines in the infrared (e.g., H2, [Fe II], [S I]), originate from protostellar accretion disks deeply embedded within dusty envelopes. Jets play a crucial role in removing angular momentum from the disk, thereby enabling continued mass accretion, while directly preserving a record of the protostar’s outflow history and potentially providing indirect insights into its accretion history. Recent advances in high-resolution, high-sensitivity observations, particularly with the James Webb Space Telescope (JWST) in the infrared and the Atacama Large Millimeter/submillimeter Array (ALMA) at (sub)millimeter wavelengths, have revolutionized studies of protostellar jets and outflows. These instruments provide complementary views of warm, shock-excited gas and cold molecular component of the jet–outflow system. In this review, we discuss the current status of observational studies that reveal detailed structures, kinematics, and chemical compositions of protostellar jets and outflows. Recent analyses of mass-loss rates, velocities, rotation, molecular abundances, and magnetic fields provide critical insights into jet launching mechanisms, disk evolution, and the potential formation of binary systems and planets. The synergy of JWST’s infrared sensitivity and ALMA’s high-resolution imaging is advancing our understanding of jets and outflows. Future large-scale, high-resolution surveys with these facilities are expected to drive major breakthroughs in outflow research. Full article
(This article belongs to the Special Issue Magnetic Fields and Activity in Stars: Origins and Evolution)
Show Figures

Figure 1

26 pages, 4900 KB  
Article
Design and Experiment of Bare Seedling Planting Mechanism Based on EDEM-ADAMS Coupling
by Huaye Zhang, Xianliang Wang, Hui Li, Yupeng Shi and Xiangcai Zhang
Agriculture 2025, 15(19), 2063; https://doi.org/10.3390/agriculture15192063 - 30 Sep 2025
Viewed by 508
Abstract
In traditional scallion cultivation, the bare-root transplanting method—which involves direct seeding, seedling raising in the field, and lifting—is commonly adopted to minimize seedling production costs. However, during the mechanized transplanting of bare-root scallion seedlings, practical problems such as severe seedling damage and poor [...] Read more.
In traditional scallion cultivation, the bare-root transplanting method—which involves direct seeding, seedling raising in the field, and lifting—is commonly adopted to minimize seedling production costs. However, during the mechanized transplanting of bare-root scallion seedlings, practical problems such as severe seedling damage and poor planting uprightness exist. In this paper, the Hertz–Mindlin with Bonding contact model was used to establish the scallion seedling model. Combined with the Plackett–Burman experiment, steepest ascent experiment, and Box–Behnken experiment, the bonding parameters of scallion seedlings were calibrated. Furthermore, the accuracy of the scallion seedling model parameters was verified through the stress–strain characteristics observed during the actual loading and compression process of the scallion seedlings. The results indicate that the scallion seedling normal/tangential contact stiffness, scallion seedling normal/tangential ultimate stress, and scallion Poisson’s ratio significantly influence the mechanical properties of scallion seedlings. Through optimization experiments, the optimal combination of the above parameters was determined to be 4.84 × 109 N/m, 5.64 × 107 Pa, and 0.38. In this paper, the flexible planting components of scallion seedlings were taken as the research object. Flexible protrusions were added to the planting disc to reduce the damage rate of scallion seedlings, and an EDEM-ADAMS coupling interaction model between the planting components and scallion seedlings was established. Based on this model, optimization and verification were carried out on the key components of the planting components. Orthogonal experiments were conducted with the contact area between scallion seedlings and the disc, rotational speed of the flexible disc, furrow depth, and clamping force on scallion seedlings as experimental factors, and with the uprightness and damage status of scallion seedlings as evaluation criteria. The experimental results showed that when the contact area between scallion seedlings and the disc was 255 mm2, the angular velocity was 0.278 rad/s, and the furrow depth was 102.15 mm, the performance of the scallion planting mechanism was optimal. At this point, the uprightness of the scallion seedlings was 94.80% and the damage rate was 3%. Field experiments were carried out based on the above parameters. The results indicated that the average uprightness of transplanted scallion seedlings was 93.86% and the damage rate was 2.76%, with an error of less than 2% compared with the simulation prediction values. Therefore, the parameter model constructed in this paper is reliable and effective, and the designed and improved transplanting mechanism can realize the upright and low-damage planting of scallion seedlings, providing a reference for the low-damage and high-uprightness transplanting operation of scallions. Full article
(This article belongs to the Section Agricultural Technology)
Show Figures

Figure 1

19 pages, 2205 KB  
Article
Final Implementation and Performance of the Cheia Space Object Tracking Radar
by Călin Bîră, Liviu Ionescu and Radu Hobincu
Remote Sens. 2025, 17(19), 3322; https://doi.org/10.3390/rs17193322 - 28 Sep 2025
Viewed by 660
Abstract
This paper presents the final implemented design and performance evaluation of the ground-based C-band Cheia radar system, developed to enhance Romania’s contribution to the EU Space Surveillance and Tracking (EU SST) network. All data used for performance analysis are real-time, real-life measurements of [...] Read more.
This paper presents the final implemented design and performance evaluation of the ground-based C-band Cheia radar system, developed to enhance Romania’s contribution to the EU Space Surveillance and Tracking (EU SST) network. All data used for performance analysis are real-time, real-life measurements of true spatial test objects orbiting Earth. The radar is based on two decommissioned 32 m satellite communication antennas already present at the Cheia Satellite Communication Center, that were retrofitted for radar operation in a quasi-monostatic architecture. A Linear Frequency Modulated Continuous Wave (LFMCW) Radar design was implemented, using low transmitted power (2.5 kW) and advanced software-defined signal processing for detection and tracking of Low Earth Orbit (LEO) targets. System validation involved dry-run acceptance tests and calibration campaigns with known reference satellites. The radar demonstrated accurate measurements of range, Doppler velocity, and angular coordinates, with the capability to detect objects with radar cross-sections as low as 0.03 m2 at slant ranges up to 1200 km. Tracking of medium and large Radar Cross Section (RCS) targets remained robust under both fair and adverse weather conditions. This work highlights the feasibility of re-purposing legacy satellite infrastructure for SST applications. The Cheia radar provides a cost-effective, EUSST-compliant performance solution using primarily commercial off-the-shelf components. The system strengthens the EU SST network while demonstrating the advantages of LFMCW radar architectures in electromagnetically congested environments. Full article
Show Figures

Figure 1

15 pages, 3510 KB  
Article
Real-Time Vehicle Emergency Braking Detection with Moving Average Method Based on Accelerometer and Gyroscope Data
by Hadi Pranoto, Abdi Wahab, Yoppy Yoppy, Muhammad Imam Sudrajat, Dwi Mandaris, Ihsan Supono, Adindra Vickar Ega, Tyas Ari Wahyu Wijanarko and Hutomo Wahyu Nugroho
Vehicles 2025, 7(4), 106; https://doi.org/10.3390/vehicles7040106 - 25 Sep 2025
Viewed by 1274
Abstract
Emergency braking detection plays a vital role in enhancing road safety by identifying potentially hazardous driving behaviors. While existing methods rely heavily on artificial intelligence and computationally intensive algorithms, this paper proposes a lightweight, real-time algorithm for distinguishing emergency braking from non-emergency events [...] Read more.
Emergency braking detection plays a vital role in enhancing road safety by identifying potentially hazardous driving behaviors. While existing methods rely heavily on artificial intelligence and computationally intensive algorithms, this paper proposes a lightweight, real-time algorithm for distinguishing emergency braking from non-emergency events using accelerometer and gyroscope signals. The proposed approach applies magnitude calculations and a moving average filters algorithm to preprocess inertial data collected from a six-axis IMU sensor. By analyzing peak values of acceleration and angular velocity, the algorithm successfully separates emergency braking from other events such as regular braking, passing over speed bumps, or traversing damaged roads. The results demonstrate that emergency braking exhibits a unique short-pulse pattern in acceleration and low angular velocity, distinguishing it from other high-oscillation disturbances. Furthermore, varying the window length of the moving average impacts classification accuracy and computational cost. The proposed method avoids the complexity of neural networks while retaining high detection accuracy, making it suitable for embedded and real-time vehicular systems, such as early warning applications for fleet management. Full article
Show Figures

Figure 1

18 pages, 4570 KB  
Article
MultivariateSystem Identification of Differential Drive Robot: Comparison Between State-Space and LSTM-Based Models
by Diego Guffanti and Wilson Pavon
Sensors 2025, 25(18), 5821; https://doi.org/10.3390/s25185821 - 18 Sep 2025
Viewed by 771
Abstract
Modeling mobile robots is crucial to odometry estimation, control design, and navigation. Classical state-space models (SSMs) have traditionally been used for system identification, while recent advances in deep learning, such as Long Short-Term Memory (LSTM) networks, capture complex nonlinear dependencies. However, few direct [...] Read more.
Modeling mobile robots is crucial to odometry estimation, control design, and navigation. Classical state-space models (SSMs) have traditionally been used for system identification, while recent advances in deep learning, such as Long Short-Term Memory (LSTM) networks, capture complex nonlinear dependencies. However, few direct comparisons exist between these paradigms. This paper compares two multivariate modeling approaches for a differential drive robot: a classical SSM and an LSTM-based recurrent neural network. Both models predict the robot’s linear (v) and angular (ω) velocities using experimental data from a five-minute navigation sequence. Performance is evaluated in terms of prediction accuracy, odometry estimation, and computational efficiency, with ground-truth odometry obtained via a SLAM-based method in ROS2. Each model was tuned for fair comparison: order selection for the SSM and hyperparameter search for the LSTM. Results show that the best SSM is a second-order model, while the LSTM used seven layers, 30 neurons, and 20-sample sliding windows. The LSTM achieved a FIT of 93.10% for v and 90.95% for ω, with an odometry RMSE of 1.09 m and 0.23 rad, whereas the SSM outperformed it with FIT values of 94.70% and 91.71% and lower RMSE (0.85 m, 0.17 rad). The SSM was also more resource-efficient (0.00257 ms and 1.03 bytes per step) compared to the LSTM (0.0342 ms and 20.49 bytes). The results suggest that SSMs remain a strong option for accurate odometry with low computational demand while encouraging the exploration of hybrid models to improve robustness in complex environments. At the same time, LSTM models demonstrated flexibility through hyperparameter tuning, highlighting their potential for further accuracy improvements with refined configurations. Full article
(This article belongs to the Section Environmental Sensing)
Show Figures

Figure 1

22 pages, 2692 KB  
Article
Low-Cost AI-Enabled Optoelectronic Wearable for Gait and Breathing Monitoring: Design, Validation, and Applications
by Samilly Morau, Leandro Macedo, Eliton Morais, Rafael Menegardo, Jan Nedoma, Radek Martinek and Arnaldo Leal-Junior
Biosensors 2025, 15(9), 612; https://doi.org/10.3390/bios15090612 - 16 Sep 2025
Viewed by 855
Abstract
This paper presents the development of an optoelectronic wearable sensor system for portable monitoring of the movement and physiological parameters of patients. The sensor system is based on a low-cost inertial measurement unit (IMU) and an optical fiber-integrated chest belt for breathing rate [...] Read more.
This paper presents the development of an optoelectronic wearable sensor system for portable monitoring of the movement and physiological parameters of patients. The sensor system is based on a low-cost inertial measurement unit (IMU) and an optical fiber-integrated chest belt for breathing rate monitoring with wireless connection with a gateway connected to the cloud. The sensors also use artificial intelligence algorithms for clustering, classification, and regression of the data. Results show a root mean squared error (RMSE) between the reference data and the proposed breathing rate sensor of 0.6 BPM, whereas RMSEs of 0.037 m/s2 and 0.27 °/s are obtained for the acceleration and angular velocity analysis, respectively. For the sensor validation under different movement analysis protocols, the balance and Timed up and Go (TUG) tests performed with 12 subjects demonstrate the feasibility of the proposed device for biomechanical and physical therapy protocols’ automatization and assessment. The balance tests were performed in two different conditions, with a wider and narrower base, whereas the TUG tests were made with the combination of cognitive and motor tests. The results demonstrate the influence of the change of base on the balance analysis as well as the dual task effect on the scores during the TUG testing, where the combination between motor and cognitive tests lead to smaller scores on the TUG tests due to the increase of complexity of the task. Therefore, the proposed approach results in a low-cost and fully automated sensor system that can be used in different protocols for physical rehabilitation. Full article
(This article belongs to the Special Issue Wearable Biosensors and Health Monitoring)
Show Figures

Figure 1

15 pages, 3100 KB  
Article
Research on Variable Pitch Propeller Control Technology of eVTOL Based on ADRC
by Xijun Liu, Hao Zhao, Zhaoyang Li, Houlong Ai, Zelin Chen and Yuehong Dai
Electronics 2025, 14(18), 3627; https://doi.org/10.3390/electronics14183627 - 12 Sep 2025
Viewed by 775
Abstract
To address heading instability in electric vertical take-off and landing (eVTOL) aircraft at low speeds and large pitch angles, a rotational speed feedback compensation control scheme based on Active Disturbance Rejection Control (ADRC) is proposed for variable-pitch propellers. This scheme integrates propeller speed [...] Read more.
To address heading instability in electric vertical take-off and landing (eVTOL) aircraft at low speeds and large pitch angles, a rotational speed feedback compensation control scheme based on Active Disturbance Rejection Control (ADRC) is proposed for variable-pitch propellers. This scheme integrates propeller speed into the heading control inner loop and employs a state observer to process the measured speed. Simulation results demonstrate that under dynamic propeller speed variations of 0.5%, 1%, and 2%, the proposed compensation scheme reduces yaw angle oscillation amplitudes by 22.2%, 30.6%, and 37.8%, and yaw angular velocity fluctuations by 32.5%, 43.4%, and 33.3%, respectively, compared to a basic speed feedback scheme, showcasing significantly superior robustness. Experimental bench tests further validate that the proposed strategy enhances overall propeller force efficiency from 2.479 kg/kW to 3.05 kg/kW at 120 km/h cruise, resulting in a power saving of 0.48 kW and extending the cruising range by 8.5 km. The stability and energy efficiency of the proposed method are rigorously validated through both simulation and experimental testing. Full article
Show Figures

Figure 1

Back to TopTop