Sign in to use this feature.

Years

Between: -

Subjects

remove_circle_outline
remove_circle_outline
remove_circle_outline
remove_circle_outline
remove_circle_outline
remove_circle_outline
remove_circle_outline
remove_circle_outline
remove_circle_outline

Journals

remove_circle_outline
remove_circle_outline
remove_circle_outline
remove_circle_outline
remove_circle_outline
remove_circle_outline
remove_circle_outline
remove_circle_outline
remove_circle_outline
remove_circle_outline
remove_circle_outline
remove_circle_outline
remove_circle_outline
remove_circle_outline
remove_circle_outline
remove_circle_outline
remove_circle_outline
remove_circle_outline
remove_circle_outline

Article Types

Countries / Regions

remove_circle_outline
remove_circle_outline
remove_circle_outline
remove_circle_outline
remove_circle_outline
remove_circle_outline
remove_circle_outline
remove_circle_outline

Search Results (4,041)

Search Parameters:
Keywords = load angle

Order results
Result details
Results per page
Select all
Export citation of selected articles as:
18 pages, 1549 KB  
Article
Upcycled Silica-Rich Rice Husk Ash Reinforced Cellulose Acetate Composite Films for Light-Shielding Sustainable Packaging
by Eduardo Gomes de Freitas, Maurício Alves Ramos, Silvia Helena Fuentes da Silva, Nilson Edegar Antunes da Silva, Carolina Duarte Bacchieri Falcão, Lucas Minghini Gonçalves, André Luiz Missio, Everton Granemann Souza, Chiara das Dores do Nascimento, Neftalí Lenin Villarreal Carreño and Camila Monteiro Cholant
J. Compos. Sci. 2026, 10(2), 102; https://doi.org/10.3390/jcs10020102 (registering DOI) - 15 Feb 2026
Abstract
Silica-rich rice husk ash (RHA) was upcycled as an inorganic filler to engineer cellulose acetate (CA) films with tunable properties for higher-value sustainable packaging. Composite films were produced by solvent casting, varying RHA loading with and without glycerol plasticization. FTIRconfirmed the chemical integrity [...] Read more.
Silica-rich rice husk ash (RHA) was upcycled as an inorganic filler to engineer cellulose acetate (CA) films with tunable properties for higher-value sustainable packaging. Composite films were produced by solvent casting, varying RHA loading with and without glycerol plasticization. FTIRconfirmed the chemical integrity of CA and indicated an increase in hydroxyl interactions in glycerol-plasticized films. Optical microscopy showed that RHA progressively induces particle domains and aggregation, while glycerol improves dispersion and surface uniformity. These microstructural effects translated into controllable optical–mechanical trade-offs: neat CA remained highly transparent, whereas RHA reduced transmittance. Glycerol had a minor effect effect on transmittance, indicating that shielding is primarily governed by the ash-derived inorganic domains and tensile testing highlighted an optimal low-filler regime. A small RHA addition maximized strength and stiffness in non-plasticized films. Contact-angle measurements in neutral and alkaline media indicated pH-sensitive wetting, with faster deterioration under alkaline conditions. Thermogravimetric analysis confirmed increased char residue with RHA addition and that glycerol introduces an early mass-loss stage. Overall, the CA/RHA platform offers a simple and potentially scalable route to upcycled, silica-reinforced films, and the formulation of CA and 1.33 wt% RHA (without glycerol) stands out as a robust secondary layer with low transmittance in the UV-Vis range, making it suitable for high-value light-sensitive flexible healthcare packaging, such as protective overwraps or translucent pouches. Full article
(This article belongs to the Special Issue Sustainable Polymer Composites: Waste Reutilization and Valorization)
18 pages, 7300 KB  
Article
Prefabricated Integrated Anchorage Device and Continuous Tensioning Construction for Heterotrophic Prestressed Concrete Pavement
by Hui Chen, Jing Yang, Mengyuan Zeng, Yu Jiang and Jichao Xu
Appl. Sci. 2026, 16(4), 1909; https://doi.org/10.3390/app16041909 (registering DOI) - 14 Feb 2026
Abstract
This study focuses on a critical issue in Heterotrophic Prestressed Concrete Pavement (HPCP), the closure pour, which is prone to weak interfacial bonding, stress concentration, and cracking under repeated aircraft loads. To overcome these shortcomings, a novel prefabricated integrated anchorage (PIA) device is [...] Read more.
This study focuses on a critical issue in Heterotrophic Prestressed Concrete Pavement (HPCP), the closure pour, which is prone to weak interfacial bonding, stress concentration, and cracking under repeated aircraft loads. To overcome these shortcomings, a novel prefabricated integrated anchorage (PIA) device is designed, integrating the functions of both a tensioning end and an anchoring end. Based on the PIA, a continuous tensioning construction process is introduced, which eliminates the traditional closure pour by utilizing the casting space of the subsequent slab to tension the preceding one. Finite element analysis demonstrates that the PIA device exhibits complex stress alternation under prestressing, with the most critical cross sections located at depths of 100 to 150 mm. A parametric study further reveals a linear relationship between the tension angle and the maximum principal stress in the PIA. In the HPCP system, prestressing establishes a predominant compressive stress field in the slab, effectively enhancing crack resistance. However, localized stress concentration and tension–compression alternation occur not only around the PIAs but also notably at the slab corners. These results confirm that the PIA device and its associated continuous construction method not only overcome the drawbacks of closure pours but also provide an innovative, efficient, and sustainable technical pathway for improving the quality and performance of airfield pavement engineering. Full article
Show Figures

Figure 1

12 pages, 3056 KB  
Article
Ceramsite-Based Graphite Composite Thermally Conductive Proppant: Preparation, Characterization, and Performance Regulation
by Shuguang Li, Ersi Gao, Danlu Liu, Huaibin Zhen, Tengze Ge, Xiaoqin Pu and Guoyuan Yuan
Polymers 2026, 18(4), 478; https://doi.org/10.3390/polym18040478 - 13 Feb 2026
Abstract
Coalbed methane (CBM) reservoirs are characterized by low permeability and poor methane desorption, which limit recovery rates. To address this, a novel graphite composite thermally conductive proppant is proposed, offering enhanced thermal conductivity and mechanical performance. The composite consists of porous ceramsite as [...] Read more.
Coalbed methane (CBM) reservoirs are characterized by low permeability and poor methane desorption, which limit recovery rates. To address this, a novel graphite composite thermally conductive proppant is proposed, offering enhanced thermal conductivity and mechanical performance. The composite consists of porous ceramsite as a mechanical scaffold, epoxy resin as an interfacial binder, and graphite as a thermally conductive reinforcement. The effects of graphite content and resin dosage on the composite’s structure, thermal conductivity, suspension stability, surface wettability, and interfacial adhesion are systematically investigated. The results show that an optimized formulation with 20 wt% graphite and 1.0 g epoxy resin achieves a thermal conductivity of 3.8 W/(m·K)—6.3 times that of pure ceramsite—along with an improved thermal response under simulated stimulation, good suspension stability (suspension ratio of 0.53 in 0.2 wt% guar gum solution), a hydrophobic surface (contact angle 74.9°) to mitigate water lockup, and strong interfacial adhesion (125 nN under 2500 nN load) for durable proppant performance. Microscopic analysis confirms the formation of a continuous “resin–graphite–ceramsite” three-phase interface and a percolative thermal conductive network. This study provides a feasible design strategy for high-performance thermally conductive proppants and demonstrates their potential for application in the hydraulic fracturing of unconventional oil and gas reservoirs. Full article
Show Figures

Graphical abstract

12 pages, 2577 KB  
Article
A Generalized Approach for Frequency Selective Absorber with Controllable Center Frequency and Passband Bandwidth
by Hanqi Tang, Yue Zhang, Cong Zhang, Yao Chen and Gaoya Dong
Electronics 2026, 15(4), 817; https://doi.org/10.3390/electronics15040817 - 13 Feb 2026
Viewed by 8
Abstract
In this paper, we propose the generalized approach for a dual absorption frequency selective absorber (FSA) with controllable center frequency and passband bandwidth. The designed dual absorption FSA consists of a lossy layer and a frequency selective surface (FSS) layer. Furthermore, the lossy [...] Read more.
In this paper, we propose the generalized approach for a dual absorption frequency selective absorber (FSA) with controllable center frequency and passband bandwidth. The designed dual absorption FSA consists of a lossy layer and a frequency selective surface (FSS) layer. Furthermore, the lossy layer is composed of a square ring loaded with four resistors, four circular patches, and four interconnected patches, while the lossless layer is composed of four circular grooves. As for the operating mechanism, the center frequency of the transmission characteristics is mainly determined by the radius of the circular patch (‘a’), while the bandwidth of the transmission characteristics is mainly influenced by the angle of interconnected patch (‘θ’). Then, the generalized approach for dual absorption FSA with controllable center frequency and passband bandwidth was proposed, which could provide effective guidance for the design of dual absorption FSA. To verify the presented concept and design method, the dual absorption FSA was fabricated and measured. Experimental measurements demonstrate a −3 dB transmission fractional bandwidth of approximately 10.74%. Moreover, the proposed structure achieves an absorption rate of over 80% across the 2.95–7.00 GHz band and more than 72% absorption over the 7.80–10.20 GHz band. Full article
Show Figures

Figure 1

18 pages, 2800 KB  
Article
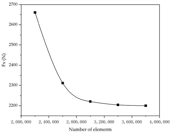
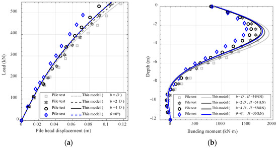
A Nonlinear SW Model for Laterally Loaded Piles in the Proximity of Sandy Slopes with Consideration of Slope Surface Deformation
by Wei Wang and Lingzhi Zhang
Buildings 2026, 16(4), 772; https://doi.org/10.3390/buildings16040772 - 13 Feb 2026
Viewed by 48
Abstract
This paper develops a nonlinear strain wedge (SW) model for analyzing laterally loaded piles installed in the proximity of sandy slopes, with consideration of slope surface deformation. This model is first developed for piles at the slope crest, characterizing the slope surface deformation [...] Read more.
This paper develops a nonlinear strain wedge (SW) model for analyzing laterally loaded piles installed in the proximity of sandy slopes, with consideration of slope surface deformation. This model is first developed for piles at the slope crest, characterizing the slope surface deformation to calculate soil strain and incorporating the reduction in effective vertical stress. Furthermore, this model provides a smooth transition between piles located at varying distances from the slope and those at the crest, accounting for varying near-slope distances. Thus, a comprehensive model is established that considers the influence of slope effects on pile–soil interactions. Predictions from the proposed model show good agreement with a series of centrifuge tests and three model tests. Finally, the effects of applied load, slope angle, near-slope distance, Poisson’s ratio, and friction angle on the pile response, slope surface deformation, and soil deformation are discussed. Full article
Show Figures

Figure 1

29 pages, 8793 KB  
Article
Research on Load Distribution and Fatigue Life Under Elliptical Deformation of Four-Point Contact Slewing Bearing Rings for Excavators
by Haisheng Yang, Run Zhang, Jiahang Zhang, Zhanwang Shi and Yingbin Wei
Lubricants 2026, 14(2), 86; https://doi.org/10.3390/lubricants14020086 - 12 Feb 2026
Viewed by 95
Abstract
Excavators are critical equipment in mining, construction, and other fields. The four-point contact slewing bearings used in their slewing mechanisms operate under harsh conditions such as heavy loads and impacts. Furthermore, the bearing rings are prone to elliptical deformation after installation, making them [...] Read more.
Excavators are critical equipment in mining, construction, and other fields. The four-point contact slewing bearings used in their slewing mechanisms operate under harsh conditions such as heavy loads and impacts. Furthermore, the bearing rings are prone to elliptical deformation after installation, making them susceptible to premature failure. To address this issue, this paper establishes a mechanical bearing model to investigate the load distribution among balls and the fatigue life of the bearing under elliptical deformation of the rings. It systematically analyzes the influence of key design parameters. The research finds that elliptical deformation of the rings leads to contact angle deviation and a reduction in load-bearing balls, resulting in severe degradation of bearing fatigue life; therefore, its occurrence must be strictly controlled. Designing with a groove curvature radius coefficient within the range of 0.51 to 0.52 achieves an optimal balance between fatigue life and the four-point contact geometry of the balls. There exists an “optimal clearance” that maximizes bearing fatigue life; when considering significant elliptical deformation, the clearance design should be appropriately increased. Increasing the design contact angle enhances load capacity and helps mitigate the effects of elliptical deformation. However, an excessively large contact angle can cause ellipse truncation in the raceway contact zone; thus, the contact angle should be designed based on practical conditions. Increasing the number of balls can improve the influence of ovality on load distribution and enhance the bearing’s fatigue life. This study provides a theoretical reference for the design of high-reliability slewing bearings for excavators. Full article
Show Figures

Figure 1

26 pages, 3613 KB  
Article
Tetronic® 1307-Based Polymeric Micelles and Thermoresponsive Gels for the Co-Delivery of Pentamidine and Miltefosine
by Javier Carriles, Carlos Aydillo, Gregory N. Smith, Cécile A. Dreiss, Paul Nguewa and Gustavo González-Gaitano
Pharmaceutics 2026, 18(2), 233; https://doi.org/10.3390/pharmaceutics18020233 - 12 Feb 2026
Viewed by 228
Abstract
Background: Pentamidine isethionate (PTM) and miltefosine (MF) are clinically relevant antiparasitic agents whose use is limited by toxicity, emerging resistance, and the lack of effective co-delivery strategies. Tetronic® 1307 (T1307), an amphiphilic and thermoresponsive block copolymer, was investigated as a carrier to [...] Read more.
Background: Pentamidine isethionate (PTM) and miltefosine (MF) are clinically relevant antiparasitic agents whose use is limited by toxicity, emerging resistance, and the lack of effective co-delivery strategies. Tetronic® 1307 (T1307), an amphiphilic and thermoresponsive block copolymer, was investigated as a carrier to enable their combination therapy. Methods: PTM and MF were formulated in T1307-based micelles and thermoresponsive gels. The systems were characterized by small-angle neutron scattering (SANS), dynamic light scattering (DLS), and nuclear magnetic resonance spectroscopy (NMR). Antiparasitic activity was evaluated against Leishmania major promastigotes. Results: MF formed stable micelles that efficiently incorporated PTM, generating a “drug-in-drug” architecture. While T1307 alone showed limited PTM loading, MF promoted mixed micelle formation and enhanced PTM incorporation. At physiological temperature and adequate copolymer concentrations, drug-loaded micelles formed thermoreversible gels suitable for topical application. The combined formulations preserved drug activity and exhibited synergistic effects against L. major. Conclusions: T1307 is a promising platform for the co-delivery of PTM and MF, enabling synergistic combination therapy and thermoresponsive gel formation with potential to reduce systemic toxicity and improve treatment administration. Full article
Show Figures

Graphical abstract

22 pages, 27631 KB  
Article
Evaluation of Miniscrew Stability in Posterior Teeth Intrusion—A Three-Dimensional Finite Element Analysis
by Khaled Omran Ben Khalil, Rafea L. Taner, Kaniye M. Dinçer and Orhan Özdiler
Appl. Sci. 2026, 16(4), 1783; https://doi.org/10.3390/app16041783 - 11 Feb 2026
Viewed by 60
Abstract
This Finite Element Analysis (FEA) study examined the stability of Polyetheretherketone (PEEK) miniscrews and tissue response in the posterior maxilla under varying angulations. A Cone beam computed tomography (CBCT)-derived three-dimensional model of the fully dentate maxilla was generated, featuring anatomical structures (teeth, periodontal [...] Read more.
This Finite Element Analysis (FEA) study examined the stability of Polyetheretherketone (PEEK) miniscrews and tissue response in the posterior maxilla under varying angulations. A Cone beam computed tomography (CBCT)-derived three-dimensional model of the fully dentate maxilla was generated, featuring anatomical structures (teeth, periodontal ligament (PDL), alveolar bone) and orthodontic components (brackets, transpalatal arch, archwires). PEEK miniscrews were positioned bilaterally in the regions of the second premolar-first molar and first molar-second molar. A force of 100 g was applied perpendicular to the archwire. Four insertion angulations (45°, 70°, 90°, and 110°) were simulated. FEA revealed a consistent posterior displacement pattern: crowns tipped distally and buccally, while roots moved mesially, with intrusion. The first molar’s PDL peaked at 110°. Cortical bone stress was greatest in molars (1.41 × 105 Pa at 70–110°). Cancellous bone stress peaked under 70° loading in the second molar (1.25 × 105 Pa). PEEK miniscrews exhibited minimal deformation and low interfacial stress, confirming stable anchorage across all angles. Posterior PEEK miniscrews demonstrated excellent stability across all insertion angles, with 70° providing optimal biomechanical efficiency for intrusion. The first molar’s PDL experienced the highest stress concentrations at extreme angles. These findings offer clinical guidance for miniscrew placement to achieve effective intrusion while maintaining tissue safety. Full article
(This article belongs to the Special Issue Advances in Orthodontic Treatment, 2nd Edition)
Show Figures

Figure 1

16 pages, 9687 KB  
Article
Structural Design and Properties of Carbon Fiber-Reinforced Sandwich Composites with Small-Angle Grid
by Mengyu Wang, Yonglian Sun, Weiwei Zhao, Xiao Wu, Mingyu Wang, Hailing Cong, Fayuan Pang, Huawei Jiang, Shaokai Hu and Kun Qiao
Materials 2026, 19(4), 688; https://doi.org/10.3390/ma19040688 - 11 Feb 2026
Viewed by 143
Abstract
This paper designs and fabricates small-angle grid sandwich composites and carbon fiber composite panels by adjusting core support angles, integrating the advantages of two-dimensional (2D) periodic and three-dimensional (3D) lattice sandwich structures. The effects of core angle and height on the bending and [...] Read more.
This paper designs and fabricates small-angle grid sandwich composites and carbon fiber composite panels by adjusting core support angles, integrating the advantages of two-dimensional (2D) periodic and three-dimensional (3D) lattice sandwich structures. The effects of core angle and height on the bending and flatwise compression performance of the composites are investigated, and finite element simulations are conducted via ABAQUS to verify experimental results and comprehensively analyze failure mechanisms. The results show that the small-angle grid sandwich structures exhibit better anti-deformation performance than 2D periodic sandwich structures and are easier to form than 3D lattice sandwich structures. The bending properties of composites with small-angle grid core are superior to those with 90° 2D periodic cores, and core shear failure is the dominant failure mode. At the same core height, reducing the angle between grid support sheets and skins increases the bending failure load; compared with α = 90°, α = 60° increases the load by 33.2–71.9% at H = 6–10 mm. At the same core angle, increasing core height gradually raises the bending failure load; H = 10 mm shows 72–97% higher load than H = 6 mm at α = 60–90°. For flat compression, failure is mainly caused by core wrinkling and collapse. Core angle has little effect on the compressive load at H = 6–8 mm, while the compressive failure load decreases with increasing core angle at H = 9–10 mm. Full article
(This article belongs to the Special Issue Advances in Mechanical Behavior of Laminated Materials)
Show Figures

Graphical abstract

19 pages, 5586 KB  
Article
Nonlinear Aerodynamic Load Response and Disaster Mechanism of Sedans in Strong Crosswinds
by Xiaodong Li, Changtao Hu, Jing Zhang, Yuan Ling, Ling Zhang and Afang Jin
Fluids 2026, 11(2), 49; https://doi.org/10.3390/fluids11020049 - 11 Feb 2026
Viewed by 143
Abstract
To address the frequent disasters caused by strong crosswinds in Xinjiang’s “Hundred Miles Wind Zone,” this study utilizes a CFD numerical simulation method, validated by wind tunnel tests with an error of less than 5%, to systematically analyze the nonlinear response characteristics of [...] Read more.
To address the frequent disasters caused by strong crosswinds in Xinjiang’s “Hundred Miles Wind Zone,” this study utilizes a CFD numerical simulation method, validated by wind tunnel tests with an error of less than 5%, to systematically analyze the nonlinear response characteristics of a sedan’s aerodynamic loads under coupled conditions of vehicle speeds ranging from 60 to 100 km/h and crosswinds from 15.5 to 26.5 m/s. The results indicate that the sharp increase in leeward negative pressure, driven by flow separation, governs the escalation of aerodynamic loads. A distinct decoupling is observed between lateral force and drag: while lateral force scales linearly with vehicle speed, aerodynamic drag exhibits a nonlinear hysteresis. This is attributed to a “Flow Alignment Mechanism,” where the reduction in resultant yaw angle improves the leeward streamline topology, thereby mitigating drag growth. Furthermore, the rolling moment is identified as the dominant instability factor (peaking at 551.12 N·m). Conversely, the yawing moment saturates at high speeds due to an “Antagonistic Effect,” wherein dynamic pressure amplification is effectively counteracted by the shortening of the moment arm induced by the rearward migration of the Center of Pressure (CoP). These findings provide a robust theoretical basis for establishing speed limits and stability control strategies in extreme wind zones. Full article
(This article belongs to the Section Geophysical and Environmental Fluid Mechanics)
Show Figures

Figure 1

9 pages, 231 KB  
Article
Progressively Increased Range of Motion Confers Similar Strength Improvements but Not Bar Kinematics as Full Range of Motion Bench Press
by Michael J. Landram, Patrick Manturi, Mark Zipagan and Emily E. Gerstle
J. Funct. Morphol. Kinesiol. 2026, 11(1), 72; https://doi.org/10.3390/jfmk11010072 - 11 Feb 2026
Viewed by 119
Abstract
Background: Full versus partial range of motion (ROM) bench press (BP) training has only been investigated at submaximal loads with discrete joint angles during training. The aim of this study was to compare the effects of a 4-week supramaximal progressive partial ROM [...] Read more.
Background: Full versus partial range of motion (ROM) bench press (BP) training has only been investigated at submaximal loads with discrete joint angles during training. The aim of this study was to compare the effects of a 4-week supramaximal progressive partial ROM (pROM) BP program to a traditional submaximal full range of motion (fROM) program on 1-RM strength and bar kinematics. Methods: Sixteen resistance-trained males (22.2 ± 1.4 years, 180.1 ± 6.3 cm, 88.5 ± 8.6 kgs, 1RM ≥ 1.25× body mass, 6 years’ experience) were randomized into pROM (n = 7) or fROM (n = 9). The pROM group performed BP at 105% 1RM using Bench Blokz to decrease the distance from the bar to the sternum by 1″ increments each week (5″ to 2″). The fROM group followed a strength oriented linear periodization model (80–87.5% 1RM). Both 1RM strength and 3D kinematics were assessed pre- and post-intervention using a 2 × 2 (Group × Time) ANOVA with Bonferroni corrected pairwise comparisons. Results: Both groups significantly increased 1RM strength (F = 45.82, p < 0.001), with no significant differences between groups. Pairwise comparisons revealed that only the fROM group experienced significant increases in 1st peak velocity (p = 0.023), eccentric velocity (p = 0.009), mean concentric force (p = 0.04) and quartile 2 mean concentric force (p = 0.01). Conclusions: Supramaximal pROM training is an effective strategy for increasing 1RM strength in experienced lifters, yielding results comparable to traditional fROM training over the course of a 4-week strength block. However, there are notable changes in bar kinematics surrounding the eccentric-concentric phase change that were only observed after fROM training. Full article
35 pages, 2148 KB  
Article
Techno-Economic Analysis of Tilt Angle Adjustment in Fixed Tilt Angle Systems at a Real PV Power Plant
by Jaime Martínez-Suárez, Arsenio Barbón, Luis Bayón and Paula Sánchez-Friera
Appl. Sci. 2026, 16(4), 1742; https://doi.org/10.3390/app16041742 - 10 Feb 2026
Viewed by 108
Abstract
A significant proportion of photovoltaic power plant designs utilize fixed tilt angle systems. However, these designs exhibit inherent limitations that can be mitigated through the application of the methodology proposed in this study. The methodology used includes the following steps: (i) maximization of [...] Read more.
A significant proportion of photovoltaic power plant designs utilize fixed tilt angle systems. However, these designs exhibit inherent limitations that can be mitigated through the application of the methodology proposed in this study. The methodology used includes the following steps: (i) maximization of the total area of the photovoltaic field; (ii) calculation of the operating periods of the proposed mounting system and proposed improvement strategies; (iii) calculation of the effective area of the photovoltaic field; and (iv) maximization of effective annual energy incident on the photovoltaic field. The analysis has focused on the Sigena IPV power plant (Spain). The proposed design is compared with the actual design of the Sigena IPV power plant from different perspectives. The principal conclusions derived from this study are as follows: (i) The proposed configuration increases the photovoltaic field surface area by 10.63% and yields a 12.07% higher annual energy production relative to the existing layout. (ii) The current mounting system at the Sigena IPV power plant experiences wind loads that are 78.23% greater than those associated with the proposed design. (iii) Owing to the increased number of mounting structures required, the proposed layout results in a 14.03% rise in mounting-system costs. (iv) The proposed design achieves a marginal improvement in the levelized cost of electricity (LCOE), with a reduction of 0.42% compared to the reference case. (v) Under the constraint of a constant number of mounting systems, the proposed design would reduce land requirements by 12%. Overall, these results indicate that the proposed configuration delivers superior techno-economic performance. Full article
(This article belongs to the Section Green Sustainable Science and Technology)
Show Figures

Figure 1

16 pages, 2541 KB  
Article
SEM Evaluation of Surface Wear on Drills from Selected Implant Systems—In Vitro Study
by Piotr Kosior, Kamila Wiśniewska, Natalia Struzik, Michał Kulus, Edward Chlebus, Agata Małyszek, Klaudia Sztyler, Jacek Matys and Maciej Dobrzyński
Materials 2026, 19(4), 669; https://doi.org/10.3390/ma19040669 - 10 Feb 2026
Viewed by 261
Abstract
Purpose: The aim of this in vitro study was to evaluate the degree of surface wear in implant drills from four commercial systems subjected to standardized osteotomy cycles. Materials: Four implant systems (Osstem, Megagen, Straumann, and Bego) were evaluated using sets of three [...] Read more.
Purpose: The aim of this in vitro study was to evaluate the degree of surface wear in implant drills from four commercial systems subjected to standardized osteotomy cycles. Materials: Four implant systems (Osstem, Megagen, Straumann, and Bego) were evaluated using sets of three drills of increasing diameters. A total of 120 osteotomies were performed in standardized porcine rib specimens under controlled drilling conditions (1200 rpm, continuous 4 °C saline irrigation, 32:1 reduction handpiece). After each drilling series, drills were cleaned, sterilized, and analyzed using SEM in three orientations. Wear was assessed using a seven-parameter scoring system. Multifactorial ANOVA, Pearson correlation, and hierarchical clustering were employed to evaluate the effects of drill brand, diameter, and wear patterns. Results: Both drill brand and diameter significantly influenced total wear scores (p < 0.001). Small-diameter pilot drills exhibited the highest wear, while large-diameter drills showed minimal degradation. Among the systems tested, Bego drills demonstrated the greatest overall wear, whereas Osstem drills—particularly the 2.0 mm drill—displayed unusually low wear for their size. A strong negative correlation between drill diameter and wear score was observed. Cluster analysis identified distinct wear patterns associated with specific drill sizes, with small drills showing prominent guide-face nicks and accumulation formation, medium drills exhibiting chipping and rake angle cleavage, and large drills presenting minimal wear. SEM imaging confirmed progressive surface deterioration, including edge rounding, microchipping, and irregular surface defects. Conclusions: Implant drill wear is strongly dependent on drill diameter, and cutting geometry. Small-diameter drills are most susceptible to surface degradation, which may increase friction and thermal load during osteotomy. Systems with enhanced material properties or optimized geometries demonstrated superior wear resistance. These findings highlight the importance of monitoring drill condition, adhering to recommended reuse limits, and considering advanced drill coatings or materials to ensure safe and predictable implant site preparation. Further research incorporating real-time thermal measurements and extended drilling cycles is needed to establish evidence-based guidelines for drill longevity and clinical performance. Full article
(This article belongs to the Section Biomaterials)
Show Figures

Figure 1

13 pages, 1711 KB  
Article
Adhesion, Biofilm Formation and Plaque-Related Potential of Streptococcus mutans on Orthodontic Materials: An In Vitro Comparative Study
by Lucia Giannini, Niccolò Cenzato, Massimo Del Fabbro and Cinzia Maspero
Appl. Sci. 2026, 16(4), 1693; https://doi.org/10.3390/app16041693 - 8 Feb 2026
Viewed by 158
Abstract
Background: Orthodontic appliances introduce new surfaces into the oral cavity that can modulate biofilm formation and potentially increase the risk of white spot lesions. Material-dependent differences in surface roughness, wettability and geometry may influence early colonization by Streptococcus mutans, a key [...] Read more.
Background: Orthodontic appliances introduce new surfaces into the oral cavity that can modulate biofilm formation and potentially increase the risk of white spot lesions. Material-dependent differences in surface roughness, wettability and geometry may influence early colonization by Streptococcus mutans, a key cariogenic pathogen. Objectives: To compare early adhesion and biofilm formation of Streptococcus mutans on five commonly used orthodontic materials: stainless-steel (SS) and nickel–titanium (NiTi) archwires, metallic and ceramic brackets, polymethyl methacrylate (PMMA) acrylic resin. Materials and Methods: Standardized specimens were prepared, polished when applicable, sterilized, and conditioned in artificial saliva. The tested materials included SS and NiTi archwires (3M Unitek, Monrovia, CA, USA), metallic and ceramic brackets (Ormco, Orange, CA, USA), and PMMA acrylic resin (GC Corporation, Tokyo, Japan). Early adhesion (CFU), biofilm biomass (crystal violet), and metabolic activity (XTT) were quantified after incubation with S. mutans. Surface roughness (Ra) and contact angle were measured, and correlations with microbiological endpoints were assessed. Results: A clear material-dependent gradient was observed. Stainless steel showed the lowest early adhesion and biofilm formation (5.20 ± 0.28 log10 CFU·cm−2; CV OD590 = 0.60 ± 0.14), followed by NiTi, metallic brackets, and ceramic brackets, while PMMA exhibited the highest bacterial load and biofilm biomass (6.09 ± 0.32 log10 CFU·cm−2; CV OD590 = 1.10 ± 0.17). Overall differences between materials were statistically significant (p < 0.0001). Surface roughness and contact angle positively correlated with bacterial colonization. Conclusions: Early S. mutans colonization is strongly influenced by orthodontic material properties, with smoother and less hydrophobic surfaces showing reduced biofilm formation. PMMA and bracket structures may pose higher cariogenic risk during treatment. These findings support the development of surface-engineered or biofilm-resilient orthodontic materials. Full article
(This article belongs to the Section Applied Dentistry and Oral Sciences)
Show Figures

Figure 1

15 pages, 3132 KB  
Article
Ergonomic Benefits of Prismatic Deflection Loupes in Ophthalmic Surgery: A Biomechanical and Psychometric Evaluation
by Jenny N. Wang, Brian Ngo, Michael Madsen, Josephine Lu, Christine E. King, Benjamin K. Young, Kourosh Shahraki and Donny W. Suh
Safety 2026, 12(1), 24; https://doi.org/10.3390/safety12010024 - 6 Feb 2026
Viewed by 270
Abstract
Prismatic deflection loupes (PDLs) may offer ergonomic benefits over traditional through-the-lens (TTL) loupes and no loupe during ophthalmic microsurgery. Ten medical students performed microsuturing tasks under three conditions: PDL, TTL, and no loupes. Surface electromyography (EMG) captured bilateral upper trapezius activity, and a [...] Read more.
Prismatic deflection loupes (PDLs) may offer ergonomic benefits over traditional through-the-lens (TTL) loupes and no loupe during ophthalmic microsurgery. Ten medical students performed microsuturing tasks under three conditions: PDL, TTL, and no loupes. Surface electromyography (EMG) captured bilateral upper trapezius activity, and a post-task 10-point Likert survey assessed comfort and related perceptions. Side-profile photos provided craniovertebral angles, which fed a trigometric model to estimate cervical spine loading (lbf) per condition. Relative to TTL, PDLs reduced upper trapezius activation by 17.2% (p = 0.009); relative to no loupe, PDL reductions were significant (p = 0.004). The TTL and no-loupe conditions did not differ significantly (p = 0.42). Comfort was highest for PDLs (7.8/10 on average); perceived strain was lowest with PDLs. CV angle and estimated cervical load were strongly inversely correlated (R2 = 0.94, p < 0.001). PDLs appear to reduce neck/shoulder muscle activity and cervical loading while enhancing comfort, supporting ergonomic value in ophthalmic surgery. Full article
(This article belongs to the Special Issue Advances in Ergonomics and Safety)
Show Figures

Figure 1

Back to TopTop