Sign in to use this feature.

Years

Between: -

Subjects

remove_circle_outline
remove_circle_outline
remove_circle_outline
remove_circle_outline
remove_circle_outline
remove_circle_outline
remove_circle_outline
remove_circle_outline
remove_circle_outline

Journals

remove_circle_outline
remove_circle_outline
remove_circle_outline
remove_circle_outline
remove_circle_outline
remove_circle_outline
remove_circle_outline
remove_circle_outline
remove_circle_outline
remove_circle_outline
remove_circle_outline
remove_circle_outline
remove_circle_outline
remove_circle_outline
remove_circle_outline

Article Types

Countries / Regions

remove_circle_outline
remove_circle_outline
remove_circle_outline
remove_circle_outline
remove_circle_outline
remove_circle_outline

Search Results (2,563)

Search Parameters:
Keywords = lipid profile analysis

Order results
Result details
Results per page
Select all
Export citation of selected articles as:
15 pages, 3676 KB  
Article
Emulsion Quality and Functional Properties of Natural Emulsion Systems with Xanthan Gum as a Stabilizer and Carrier of Compounds Based on Enzymatically Modified Mutton Tallow and Hemp Oil
by Małgorzata Kowalska, Magdalena Wozniak, Anna Zbikowska, Jerzy Szakiel and Paweł Turek
Molecules 2026, 31(3), 431; https://doi.org/10.3390/molecules31030431 - 26 Jan 2026
Abstract
The aging population and increasing prevalence of oxidative stress-related diseases underscore the need for functional food and pharmaceutical formulations enriched with bioactive compounds. This study aimed to design sustainable emulsion systems incorporating enzymatically modified fats with enhanced functional and bioactive properties. Enzymatic interesterification [...] Read more.
The aging population and increasing prevalence of oxidative stress-related diseases underscore the need for functional food and pharmaceutical formulations enriched with bioactive compounds. This study aimed to design sustainable emulsion systems incorporating enzymatically modified fats with enhanced functional and bioactive properties. Enzymatic interesterification was employed as an environmentally friendly alternative to chemical catalysis, enabling the transformation of natural lipids without generating undesirable trans isomers. The lipid phase was formulated from blends of hemp oil, a plant-derived source rich in polyunsaturated fatty acids with documented antioxidant potential, and mutton tallow, in an effort to valorize meat industry by-products. Systematic evaluation of emulsion stability, viscosity, and textural properties was conducted using Turbiscan analysis and texture profile analysis. The results demonstrated that xanthan gum concentration was the primary determinant of structural stability, physicochemical stability, and structural integrity of the emulsion systems. Formulation no. 38 (0.8% w/w xanthan gum) was identified as the statistically most stable system based on Turbiscan Stability Index values (TSI = 1.4). Although emulsions containing 1.0% w/w xanthan gum exhibited similarly low TSI values and slightly smaller final droplet diameters, formulation E38 showed the smallest increase in droplet size during storage (<1 µm), indicating superior resistance to structural changes over time. Fat composition showed minimal influence on emulsion behavior, suggesting that lipid selection should prioritize nutritional and bioactive value. These findings indicate that emulsions based on enzymatically modified fats and stabilized with natural polysaccharides can serve as physically stable systems with potential applicability in food, cosmeceutical, and pharmaceutical formulations intended for bioactive compound delivery. Full article
(This article belongs to the Section Food Chemistry)
Show Figures

Figure 1

15 pages, 1293 KB  
Article
Association Between Decreased Ambient PM2.5 and Kidney Disease Incidence: Evidence from the China Health and Retirement Longitudinal Study
by Yue Wu, Zixin Li, Fang Chen, Jiarui Gong, Jiayi Lin, Jiamin Xu, Qingxian Wang, Cuiqing Liu, Qinghua Sun, Rucheng Chen and Lina Zhang
Atmosphere 2026, 17(2), 126; https://doi.org/10.3390/atmos17020126 - 26 Jan 2026
Abstract
China has implemented a series of clean air policies, resulting in improved air quality since 2013. However, there remains a paucity of national prospective evidence regarding the relationship between fine particulate matter (PM2.5) and kidney disease (KD) incidence in China, as [...] Read more.
China has implemented a series of clean air policies, resulting in improved air quality since 2013. However, there remains a paucity of national prospective evidence regarding the relationship between fine particulate matter (PM2.5) and kidney disease (KD) incidence in China, as well as the potential mediating effects of lipid profiles in this association. This study aimed to assess the association of decreased PM2.5 concentration and KD incidence in China from 2013 to 2020. Utilizing data from the China Health and Retirement Longitudinal Study (CHARLS), we included 15,368 participants who were free of KD in 2013 and followed up until 2020. For each participant, we calculated the 3-year and 2-year average PM2.5 concentrations. The Cox proportional hazards model was employed to estimate the association between PM2.5 exposure and KD incidence. Mediation analyses were conducted using eight lipid indices, and subgroup analyses were performed. The annual average PM2.5 concentration for CHARLS participants reduced from 61.72 μg/m3 in 2013 to 32.75 μg/m3 in 2020. A reduction of 5 μg/m3 in 3-year and 2-year average PM2.5 concentrations was associated with 14.3% (hazard ratio [HR]: 0.857, 95% confidence interval [CI]: 0.841, 0.873) and 14.4% (HR: 0.856, 95% CI: 0.840, 0.873) reductions in KD incidence in the fully adjusted models. The TyG-BMI and TyG-WHtR indices exhibited small mediating effects of 7.36% (95% CI: 2.35%, 12.38%) and 4.48% (95% CI: 0.51%, 8.45%) on the relationship of PM2.5–KD, while other indicators did not demonstrate significant mediation. The findings of this study suggest that reductions in PM2.5 concentration were associated with a decreased incidence of KD during the period from 2013 to 2020. The implementation of clean air policies since 2013 may have contributed to the decrease in chronic diseases like KD. Full article
(This article belongs to the Section Air Quality and Health)
Show Figures

Figure 1

19 pages, 1494 KB  
Review
The Ketogenic Diet in Type 2 Diabetes and Obesity: A Narrative Review of Clinical Evidence
by Julia Kilian, Dominika Szlęzak, Malgorzata Tyszka-Czochara, Elżbieta Filipowicz-Popielarska and Patrycja Bronowicka-Adamska
Nutrients 2026, 18(3), 397; https://doi.org/10.3390/nu18030397 - 25 Jan 2026
Abstract
Type 2 diabetes mellitus (T2DM) and obesity represent a growing global public health challenge, strongly associated with excess body weight, unhealthy dietary habits, and a sedentary lifestyle. The ketogenic diet (KD), characterized by very low carbohydrate intake, moderate protein intake, and high fat [...] Read more.
Type 2 diabetes mellitus (T2DM) and obesity represent a growing global public health challenge, strongly associated with excess body weight, unhealthy dietary habits, and a sedentary lifestyle. The ketogenic diet (KD), characterized by very low carbohydrate intake, moderate protein intake, and high fat consumption, induces a metabolic state known as ketosis, in which the body switches from glucose to fat as its primary energy source. KD has gained increasing interest as a strategy to improve glycemic control, reduce body weight, and improve lipid profiles in individuals with obesity and T2DM. The purpose of this narrative review is to summarize the current scientific evidence on the effects of KD on key metabolic parameters, including blood glucose levels, glycated hemoglobin (HbA1c), body weight, and body composition. The analysis is based on peer-reviewed articles retrieved from PubMed, Embase, and Scopus with particular emphasis on clinical studies that provide robust evidence on the efficacy and safety of KD in the treatment of metabolic disorders. Full article
(This article belongs to the Special Issue Endocrine Disturbances and Nutritional Therapies)
Show Figures

Figure 1

15 pages, 267 KB  
Article
Body Adiposity Indices, Adipokines Profile, and CNR1 Polymorphisms in Atypical Phenotypes of Obesity
by Simona Georgiana Popa, Loredana Maria Marin, Loredana Maria Dira, Ana Cristina Tudosie and Andreea Loredana Golli
Metabolites 2026, 16(2), 91; https://doi.org/10.3390/metabo16020091 (registering DOI) - 25 Jan 2026
Abstract
Background/Objectives: Insulin-Resistant Normal Weight and Insulin-Sensitive Obesity are atypical cardiometabolic phenotypes whose clinico-biological features, management, and prognosis are a subject of extensive scientific debate. The current study aimed to assess the prevalence of metabolic phenotypes of obesity and to evaluate their association with [...] Read more.
Background/Objectives: Insulin-Resistant Normal Weight and Insulin-Sensitive Obesity are atypical cardiometabolic phenotypes whose clinico-biological features, management, and prognosis are a subject of extensive scientific debate. The current study aimed to assess the prevalence of metabolic phenotypes of obesity and to evaluate their association with markers related to diabesity, adipokines profile, and two single nucleotide polymorphisms of CNR1 gene. Methods: We performed a cross-sectional analysis in a random sample of 487 individuals (53.03 ± 13.71 years, 48.3% male) which were classified based on body mass index (</≥25 kg/m2) and insulin resistance (HOMA-IR cut-off value 2.5) as Insulin-Sensitive/Insulin-Resistant Normal Weight (ISNW/IRNW) and Insulin-Sensitive/Insulin-Resistant Obesity (ISO/IRO). Results: The ISO phenotype frequency was 24.2%, with a higher prevalence in the 40–60 years age group (47.0%) and in men (44.9%), while the prevalence of IRNW was 7.0%, predominating in women (61.8%). Participants with IRNW had a more altered glycoregulation profile (fasting and 2 h OGTT blood glucose, prediabetes, and hyperinsulinism), hypercholesterolemia, and adiposity indices (ABSI) than those with ISNW, but comparable to those with IRO. Participants with ISO had a more favorable glycoregulation profile, lipid profile, adipocytokines, and adiposity indices than those with IRO. IRNW had higher odds of being associated with prediabetes (OR 10.75; p < 0.001) than ISNW, while younger age, CUN-BAE, and ABSI were independently associated with both ISO and IRNW phenotypes. Conclusions: The IRNW phenotype should be actively evaluated to intervene on the cardiometabolic risk, while further studies are needed to confirm the sustainability of the favorable cardiometabolic profile of the ISO phenotype. Full article
22 pages, 30473 KB  
Article
Physiological, Transcriptomic, and Metabolomic Responses of Brachiaria decumbens Roots During Symbiosis Establishment with Piriformospora indica
by Man Liu, Xinyong Li, Wenke Zhang, Xinghua Zhao, Yuehua Sun, An Hu, Rui Zhang and Kai Luo
Biology 2026, 15(3), 215; https://doi.org/10.3390/biology15030215 - 23 Jan 2026
Viewed by 86
Abstract
Brachiaria decumbens is a high-yielding forage grass of major economic value in tropical regions. The root endophytic fungus Piriformospora indica is widely recognized for promoting plant growth and stress tolerance, yet its effects on B. decumbens remain poorly characterized. Here, we profiled root [...] Read more.
Brachiaria decumbens is a high-yielding forage grass of major economic value in tropical regions. The root endophytic fungus Piriformospora indica is widely recognized for promoting plant growth and stress tolerance, yet its effects on B. decumbens remain poorly characterized. Here, we profiled root responses to P. indica colonization at 10 days after inoculation (dais; early stage) and 20 dais (late stage) during symbiosis establishment. Colonization was confirmed by phenotypic and physiological assessments, with inoculated plants showing enhanced root growth; colonized roots exhibited higher activities of catalase (CAT), superoxide dismutase (SOD), and peroxidase (POD), along with increased indole-3-acetic acid (IAA) levels, whereas malondialdehyde (MDA), jasmonic acid (JA), and the ethylene precursor 1-aminocyclopropane-1-carboxylic acid (ACC) were reduced. Transcriptome and metabolomic profiling identified 1884 and 1077 differentially expressed genes (DEGs) and 2098 and 1509 differentially accumulated metabolites (DAMs) at 10 dais (Pi10d vs. CK10d) and 20 dais (Pi20d vs. CK20d), respectively, and 3355 DEGs and 2314 DAMs between stages (Pi20d vs. Pi10d). Functional enrichment highlighted key pathways related to secondary metabolism, carbohydrate metabolism, and lipid biosynthesis. Differentially expressed transcription factors spanned multiple families, including MYB, AP2/ERF, MADS-box, and bZIP, consistent with broad transcriptional reprogramming during symbiosis establishment. Integrative multi-omics analysis further highlighted phenylpropanoid biosynthesis and α-linolenic acid metabolism as consistently co-enriched pathways, suggesting coordinated shifts in gene expression and metabolite accumulation across colonization stages. Collectively, these results provide a multi-layered resource and a framework for mechanistic dissection of the P. indicaB. decumbens interaction. Full article
(This article belongs to the Special Issue Advances in Plant Multi-Omics)
Show Figures

Figure 1

26 pages, 6805 KB  
Article
Danthron Attenuates Intestinal Inflammation by Modulating Oxidative Stress via the EGFR-PI3K-AKT and Nrf2-HO-1 Pathways
by Chujun Ni, Haiqing Liu, Haiyang Jiang, Zexing Lin, Kangjian Wu, Runnan Wang, Huan Yang, Weijie Li, Chaogang Fan and Yun Zhao
Antioxidants 2026, 15(2), 157; https://doi.org/10.3390/antiox15020157 - 23 Jan 2026
Viewed by 125
Abstract
Inflammatory bowel disease (IBD) is characterized by excessive oxidative stress, mitochondrial dysfunction, and persistent activation of pro-inflammatory signaling pathways. Danthron, a natural anthraquinone derivative from rhubarb, has been reported to possess anti-inflammatory and antioxidant properties, yet its regulatory mechanisms in intestinal inflammation remain [...] Read more.
Inflammatory bowel disease (IBD) is characterized by excessive oxidative stress, mitochondrial dysfunction, and persistent activation of pro-inflammatory signaling pathways. Danthron, a natural anthraquinone derivative from rhubarb, has been reported to possess anti-inflammatory and antioxidant properties, yet its regulatory mechanisms in intestinal inflammation remain unclear. In this study, we combined network pharmacology, transcriptomic profiling, cell-based assays, intestinal organoids, and a dextran sulfate sodium (DSS)-induced colitis model to determine the protective effects of Danthron against oxidative injury. Integrated target prediction and RNA-seq analysis identified EGFR–PI3K–AKT and Nrf2–HO-1 as key signaling axes modulated by Danthron. In macrophages and intestinal epithelial cells, Danthron markedly suppressed LPS- or H2O2-induced ROS accumulation, lipid peroxidation, and mitochondrial membrane potential collapse, while restoring superoxide dismutase activity and reducing malondialdehyde levels. Danthron also inhibited M1 macrophage polarization, preserved epithelial tight-junction proteins, and maintained transepithelial electrical resistance. CETSA, DARTS, and molecular docking confirmed direct engagement of Danthron with components of both the EGFR–PI3K–AKT and Nrf2–HO-1 pathways. In vivo, Danthron significantly ameliorated DSS-induced colitis, reducing inflammatory cytokines, epithelial apoptosis, oxidative stress, and myeloid cell infiltration while improving mucosal architecture and enhancing organoid regenerative capacity. These findings demonstrate that Danthron exerts potent antioxidant and anti-inflammatory effects through coordinated inhibition of EGFR–PI3K–AKT signaling and activation of the Nrf2–HO-1 axis, suggesting its promise as a multi-target therapeutic candidate for IBD. Full article
Show Figures

Figure 1

19 pages, 1099 KB  
Article
Growth, Health and Physiological Responses of Freshwater-Reared Atlantic Salmon (Salmo salar) Fed Graded Dietary Lipid Levels
by Byoungyoon Lee, Junoh Lee, Saeyeon Lim, Gwanghyeok Kim, Minjae Seong, Dahyun Jeong, Sijun Han, Byung-Hwa Min, Kang-Woong Kim, Seong-Mok Jeong, Mun Chang Park, Woo Seok Hong, Se Ryun Kwon and Youngjin Park
Animals 2026, 16(3), 356; https://doi.org/10.3390/ani16030356 - 23 Jan 2026
Viewed by 67
Abstract
This study evaluated the optimal dietary lipid level for Atlantic salmon (Salmo salar) reared in freshwater, aiming to provide foundational knowledge for the development of cost-effective and nutritionally balanced aquafeeds. Four experimental diets were formulated to contain comparable crude protein levels [...] Read more.
This study evaluated the optimal dietary lipid level for Atlantic salmon (Salmo salar) reared in freshwater, aiming to provide foundational knowledge for the development of cost-effective and nutritionally balanced aquafeeds. Four experimental diets were formulated to contain comparable crude protein levels (47%) but graded lipid levels of 14% (L14), 16% (L16), 18% (L18), and 20% (L20), and were fed to salmon with an initial mean body weight of 241.5 ± 9.7 g during a 12-week feeding trial. Fish in the L16 group exhibited the highest weight gain (WG) and feed efficiency (FE), whereas those in the L14 group showed significantly reduced growth performance. Antioxidant analysis revealed that glutathione peroxidase (GPx) activity was lowest in the L14 group (p < 0.05), while plasma glucose concentration was minimized in the L16 group (p < 0.05). Transcriptomic profiling of liver tissue from the L14 and L16 groups identified 2117 differentially expressed genes (DEGs). Genes associated with lipid metabolism were more highly expressed in the L16 group, whereas immune- and inflammation-related genes were upregulated in the L14 group. These findings suggest that a dietary lipid level of approximately 16% is most favorable for promoting growth, metabolic stability, and overall health in freshwater-reared Atlantic salmon, thereby providing practical guidance for optimizing feed formulation and improving the economic efficiency of freshwater salmon aquaculture. Full article
(This article belongs to the Special Issue Advances in Nutrition, Sustainability and Ecology of Salmonids)
Show Figures

Figure 1

24 pages, 1003 KB  
Review
Diagnostic Potential of Metabolomic and Proteomic Biomarkers in Cardiology—A Narrative Review
by Lazzat Zhussupbekova, Dinara Nurkina, Gyulnar Zhussupova, Aliya Smagulova, Venera Rakhmetova, Elmira Akhmedyarova, Aisha Darybayeva, Klara Kurmangaliyeva and Ilya Kukes
Biomedicines 2026, 14(2), 257; https://doi.org/10.3390/biomedicines14020257 - 23 Jan 2026
Viewed by 252
Abstract
Cardiovascular disease is a major cause of death worldwide and a global socio-economic problem. To date, there are numerous studies focused on finding new biomarkers of cardiovascular diseases. High-technological methods such as mass spectrometry (MS), high-performance liquid chromatography (HPLC), and nuclear magnetic resonance [...] Read more.
Cardiovascular disease is a major cause of death worldwide and a global socio-economic problem. To date, there are numerous studies focused on finding new biomarkers of cardiovascular diseases. High-technological methods such as mass spectrometry (MS), high-performance liquid chromatography (HPLC), and nuclear magnetic resonance (NMR) spectroscopy enable us to record thousands of metabolites of organs and tissues. Studying organisms at a molecular level contributes to an in-depth understanding of preclinical conditions of various diseases. Metabolomics reflects the dynamics of metabolism distribution, including environmental influences, allowing us to create a metabolic profile of the patient. The aim of this review was to analyze current data on metabolomic and proteomic biomarkers in the diagnosis of cardiovascular diseases. The search databases were used to select studies on the potential clinical and diagnostic application of proteomic and metabolomic markers in cardiology. The selected sources were subjected to qualitative and thematic analysis. All biomarkers were grouped according to the pathophysiological process (inflammation, blood coagulation and lipid metabolism disorders, myocardial necrosis, etc.). The association of changes in metabolomic and proteomic profiles with the activation of pathogenic processes in the cardiovascular system was demonstrated. The use of these multivariate markers, individually or in combination, will increase the accuracy of early diagnosis and the effectiveness of treatment. This article also highlights the limitations of the method and possible ways to solve them. Full article
(This article belongs to the Section Endocrinology and Metabolism Research)
Show Figures

Figure 1

26 pages, 5269 KB  
Article
Development and Optimization of Resveratrol-Loaded NLCs via Low-Energy Methods: A Promising Alternative to Conventional High-Energy or Solvent-Based Techniques
by Nicoly T. R. Britto, Lilian R. S. Montanheri, Juliane N. B. D. Pelin, Raquel A. G. B. Siqueira, Matheus de Souza Alves, Tereza S. Martins, Ian W. Hamley, Patrícia S. Lopes, Vânia R. Leite-Silva and Newton Andreo-Filho
Processes 2026, 14(2), 393; https://doi.org/10.3390/pr14020393 - 22 Jan 2026
Viewed by 108
Abstract
High-energy methods dominate the development of lipid nanoparticles but often require specialized equipment that increases production costs. Low-energy approaches, particularly those free of organic solvents, offer a promising alternative. This study aimed to obtain nanostructured lipid carriers (NLCs) using a solvent-free, low-energy process [...] Read more.
High-energy methods dominate the development of lipid nanoparticles but often require specialized equipment that increases production costs. Low-energy approaches, particularly those free of organic solvents, offer a promising alternative. This study aimed to obtain nanostructured lipid carriers (NLCs) using a solvent-free, low-energy process combining microemulsification and phase inversion. Cetearyl alcohol and PEG-40 hydrogenated castor oil were selected as the solid lipid and surfactant, respectively; the formulation and process were optimized through a Box–Behnken Design. Incorporation of the ionic surfactant extended colloidal stability, while the poloxamer in the aqueous phase enhanced steric stabilization. Resveratrol was efficiently encapsulated (E.E. = 98%), contributing to reduced particle size (291 nm), improved homogeneity (PDI = 0.25), and positive surface charge (+43 mV). Scale-up yielded stable particles carrying resveratrol with a mean size of 507 nm, PDI = 0.24, and ZP = +52 mV. The optimized formulation remained stable for 90 days at 8 °C. In vitro release demonstrated a sustained and controlled release profile, with significantly lower resveratrol release compared to the free compound. Thermal analysis confirmed drug incorporation within the lipid matrix, while transmission electron microscopy (TEM) revealed spherical particles (~200 nm) and SAXS indicated a nanostructure of ~50 nm. Overall, this study demonstrates that solvent-free, low-energy processing can produce stable and scalable NLC formulations, successfully encapsulating resveratrol with favorable physicochemical properties and controlled release behavior. These findings highlight a simple, cost-effective strategy for developing lipid-based nanocarriers with potential applications in drug delivery. Full article
Show Figures

Figure 1

17 pages, 267 KB  
Article
Directions and Perspectives for Preventive Activities in Primary Care—Patients’ Health-Promoting and Health-Risk Behaviours
by Anna Domańska, Sabina Lachowicz-Wiśniewska and Wioletta Żukiewicz-Sobczak
Nutrients 2026, 18(2), 346; https://doi.org/10.3390/nu18020346 - 21 Jan 2026
Viewed by 68
Abstract
Non-communicable diseases, particularly cardiovascular diseases (CVD) and metabolic syndrome (MS), remain a major challenge for primary health care (PHC). This study aimed to assess cardiometabolic risk and health behaviours in adult PHC patients using routine preventive screening. This prospective observational study included 506 [...] Read more.
Non-communicable diseases, particularly cardiovascular diseases (CVD) and metabolic syndrome (MS), remain a major challenge for primary health care (PHC). This study aimed to assess cardiometabolic risk and health behaviours in adult PHC patients using routine preventive screening. This prospective observational study included 506 adults attending routine consultations in an urban PHC centre in Poland. Preventive assessment included anthropometric measurements (body weight, height, BMI, and waist circumference), blood pressure, lipid profile, and fasting glucose levels. Health behaviours were recorded using the standardised NFZ CHUK questionnaire. The 10-year CVD risk was estimated using the SCORE2 algorithm. Multivariable logistic regression was used to identify independent factors associated with high cardiovascular risk (SCORE2 ≥ 5%) and of a composite endpoint defined as the presence of any non-optimal biochemical parameter. Nearly half of the participants had excess body weight (overweight or obesity), and more than half met criteria for central obesity. Borderline or elevated total cholesterol was found in 47% of patients, abnormal LDL in 27%, low HDL-C (<40 mg/dL) in 80% (84% when applying sex-specific cut-offs), and impaired fasting glucose or diabetes in about 12%. High SCORE2 risk (≥5%) was observed in approximately 9% of the cohort. In multivariable models, SCORE2 components (age, sex, and smoking) were, as expected, associated with high SCORE2 risk, and obesity (BMI ≥ 30 kg/m2)—a factor not included in SCORE2—was additionally associated with higher risk. Additionally, age, male sex, and obesity also predicted the presence of at least one non-optimal biochemical marker. The prevalence of high SCORE2 risk increased from 1.2% in patients with 0–1 modifiable risk factor to 25.7% in those with 4–5 factors. Lower educational attainment was associated with a higher proportion of high-risk individuals in univariate analysis. Routine preventive activities in PHC enable the identification of important lipid and glucose abnormalities and the clustering of modifiable risk factors, even in a relatively young, highly educated population. Systematic cardiovascular screening and a focus on patients with accumulated risk factors should remain a priority in PHC to enable early identification of high-risk patients and timely implementation of lifestyle and therapeutic interventions. Full article
21 pages, 1943 KB  
Article
Chrononutritional Effects of Cherry Consumption on Hepatic Lipid Profile
by Maria Josefina Ruiz de Azua, Francesca Manocchio, Álvaro Cruz-Carrión, Anna Arola-Arnal, Carolina Gerstner, Claudio Bernal and Manuel Suárez
Nutrients 2026, 18(2), 345; https://doi.org/10.3390/nu18020345 - 21 Jan 2026
Viewed by 99
Abstract
Background: Consumption of fruits of different origins with specific (poly)phenolic profiles can modulate the gene expression of enzymes and the levels of metabolites in a photoperiod-dependent manner. However, there is little information on how this affects the profile of hepatic and muscular [...] Read more.
Background: Consumption of fruits of different origins with specific (poly)phenolic profiles can modulate the gene expression of enzymes and the levels of metabolites in a photoperiod-dependent manner. However, there is little information on how this affects the profile of hepatic and muscular fatty acids (FAs) and how it interferes with metabolic pathways. This study aimed to determine whether consuming local or non-local cherries alters liver and muscle FA profiles under different photoperiods, and to identify the associated changes in metabolic gene expression and serum metabolites. Methods: Seventy-two Fischer 344 rats, fed a standard diet and either vehicle (VH), Local Cherry (LC), or non-Local Cherry (nLC), were exposed to different hours of light to simulate photoperiods (winter, spring/autumn, or summer) for 7 weeks. The FA profiles of the liver and muscle were determined using GC-FID, and the gene expression of key enzymes involved in FA metabolism was evaluated. Moreover, the composition of hydrophilic and lipophilic metabolites in the serum and liver was analyzed using nuclear magnetic resonance (NMR), and pathway analysis was performed. Results: Consumption of cherries in season (18 h of light) decreased saturated FAs levels in the liver, mainly palmitate, compared to their respective VH; interestingly, this effect was not observed in other photoperiods. Furthermore, muscle polyunsaturated FA (PUFAs) decreased, possibly due to increased oxidation. Conclusions: Seasonal cherry consumption improves the hepatic lipid profile and increases muscular oxidation. Future studies are needed to better define these effects and uncover the differences in lipid metabolism in response to cherry consumption. Full article
Show Figures

Figure 1

17 pages, 7276 KB  
Article
Febuxostat Improves MASLD in Male Rats: Roles of XOR Inhibition and Associated JNK/NRF2/HO-1 Pathway Changes
by Zhiyu Pu, Yangyang Cen, Bowen Yang, Kaijun Xing, Linxi Lian, Xi Chi, Jianjun Yang and Yannan Zhang
Int. J. Mol. Sci. 2026, 27(2), 1069; https://doi.org/10.3390/ijms27021069 - 21 Jan 2026
Viewed by 79
Abstract
Metabolic dysfunction-associated steatotic liver disease (MASLD) is a peril to public health. Xanthine oxidoreductase (XOR) is implicated in oxidative stress and lipid metabolism, which constitute the pathological basis of MASLD. As a specific XOR inhibitor, febuxostat therefore exhibits considerable potential for mitigating MASLD. [...] Read more.
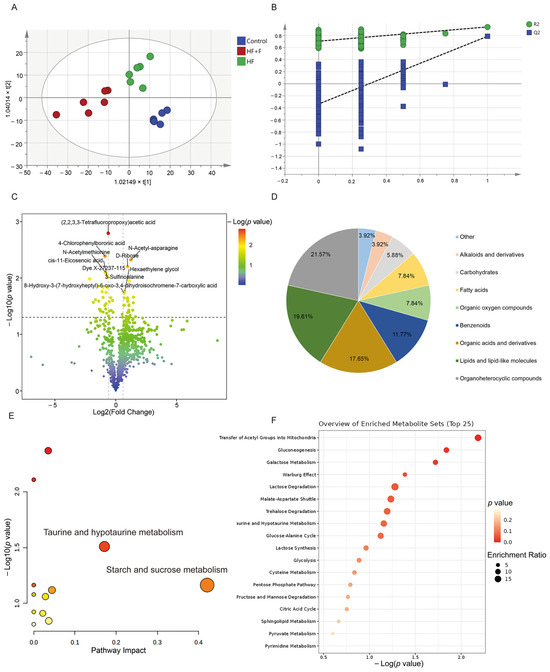
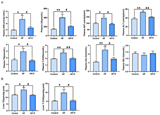
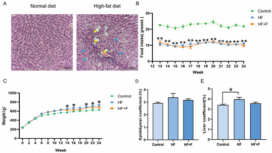
Metabolic dysfunction-associated steatotic liver disease (MASLD) is a peril to public health. Xanthine oxidoreductase (XOR) is implicated in oxidative stress and lipid metabolism, which constitute the pathological basis of MASLD. As a specific XOR inhibitor, febuxostat therefore exhibits considerable potential for mitigating MASLD. However, the efficacy and underlying mechanisms of febuxostat in this context remain to be elucidated. Against this background, the present study aimed to observe the effect of febuxostat on the physiological changes of male MASLD rats and explore the related mechanisms. All rats were assigned to three groups: control, high-fat diet (HF), and high-fat diet with febuxostat (HF + F). After euthanasia, biosamples were immediately harvested to conduct an extensive suite of experiments, encompassing histological examination, assessment of biochemical and oxidative stress markers, serum non-targeted metabolomics, and Western blot analysis. Histological examination showed marked reductions in hepatic lipid accumulation and hepatocellular degeneration in the HF + F group relative to the HF group. Consistently, compared to the HF group, the HF + F group showed significant reductions in the elevated levels of plasma/hepatic lipids, and plasma oxidative stress markers (p < 0.05). Serum metabolomics revealed distinct metabolic profiles among groups, with 51 differential metabolites between HF + F and HF groups, with pathways such as taurine and hypotaurine metabolism and starch and sucrose metabolism being significantly altered (p < 0.05). Western blot analysis showed reduced p-JNK and increased NRF2 and HO-1 expression in the HF + F group (p < 0.05). In summary, we found that inhibiting XOR with febuxostat improved hepatic steatosis, serum metabolic dysregulation and systemic oxidative stress status, and it accompanied by JNK/NRF2/HO-1 pathway key molecule protein alterations in male MASLD rats. Full article
(This article belongs to the Section Molecular Endocrinology and Metabolism)
Show Figures

Figure 1

21 pages, 2287 KB  
Article
Chemical Attributes of UK-Grown Tea and Identifying Catechin and Metabolite Dynamics in Green and Black Tea Using Metabolomics and Machine Learning
by Amanda J. Lloyd, Jasen Finch, Alina Warren-Walker, Alison Watson, Laura Lyons, MJ Pilar Martinez Martin, Thomas Wilson and Manfred Beckmann
Metabolites 2026, 16(1), 84; https://doi.org/10.3390/metabo16010084 - 21 Jan 2026
Viewed by 66
Abstract
The Dartmoor Estate Tea plantation in Devon, UK, benefits from a unique microclimate and diverse soil conditions, which, together with its different processing methods, contribute to the distinctive flavours and chemical profiles of its teas. Objectives: The chemical diversity of Dartmoor tea was [...] Read more.
The Dartmoor Estate Tea plantation in Devon, UK, benefits from a unique microclimate and diverse soil conditions, which, together with its different processing methods, contribute to the distinctive flavours and chemical profiles of its teas. Objectives: The chemical diversity of Dartmoor tea was assessed via samples collected during processing of green and black tea. Methods: Leaf samples were collected during the processing of green and black tea and analysed using Flow Infusion Electrospray Ionisation Mass Spectrometry (FIE-MS). Results: For green tea processing, random forest regression identified features associated with the processing steps, resulting in a total of 272 m/z explanatory features. The analysis of black tea processing (4 h and overnight oxidation prior to roasting) yielded 209 discriminatory m/z features (4 h) and the model for the overnight oxidation and roasting treatments yielded 605 discriminatory m/z features. K-means clustering was performed on the percentage of relative abundance of the discriminatory m/z features. This grouped the discriminatory m/z features into 15 clusters of features showing similar trends across the processing stages. Functional and structural enrichment analysis was performed on each of the clusters and significant metabolic pathways included metabolism and biosynthesis of flavonoids, amino acids and lipids, the Pentose phosphate pathway, and the TCA cycle. Many discriminatory features were putatively classified as catechin-derived flavan-3-ols and flavonol glycosides. Conclusions: This research highlights the complex role that processing plays in shaping tea quality. It provides valuable insights into the metabolic pathways that influence tea production and emphasises how these factors determine the final chemical profile and sensory characteristics of tea. Full article
(This article belongs to the Section Food Metabolomics)
Show Figures

Figure 1

13 pages, 607 KB  
Article
Phospholipid Profiling: A Computationally Assisted LC-HRMS Approach in Lecithin
by Ana Šijanec and Matevž Pompe
Separations 2026, 13(1), 40; https://doi.org/10.3390/separations13010040 - 21 Jan 2026
Viewed by 41
Abstract
The use of lecithin as an emulsifier in food supplements has increased in recent years. However, successful formation of liposomes or micelles requires an appropriate mixture of phospholipids in lecithin. To evaluate the emulsification properties of lecithin for food supplements, a reliable analytical [...] Read more.
The use of lecithin as an emulsifier in food supplements has increased in recent years. However, successful formation of liposomes or micelles requires an appropriate mixture of phospholipids in lecithin. To evaluate the emulsification properties of lecithin for food supplements, a reliable analytical procedure for characterizing phospholipids is necessary. A liquid chromatography–mass spectrometry method was developed to identify phospholipids in lecithin without standard reference materials. For efficient separation of phospholipids before mass spectrometric analysis, a reverse-phase high-performance liquid chromatography method was optimized using a Waters XBridge Protein BEH C4 column. The optimized chromatographic method demonstrated good linearity and precision. Molecular ions were detected in full scan mode to determine accurate mass-to-charge ratios for individual peaks in the chromatogram. A custom Python program was then used to generate a list of possible phospholipid species for each peak based on the measured mass-to-charge ratios. Tandem mass spectrometry was performed to confirm the identity of specific phospholipids by comparing experimental fragmentation patterns with theoretical predictions. Identification of the phospholipids was also confirmed with four commercially available standard reference compounds, demonstrating the reliability of the proposed approach. The developed method offers a practical and cost-effective strategy for identifying phospholipids in complex matrices, especially when standard reference compounds are unavailable. Additionally, it enables targeted selection of standard compounds for future quantitative analyses, making it a valuable tool for comprehensive lipid profiling. Full article
Show Figures

Graphical abstract

16 pages, 3522 KB  
Article
Multi-Omics Analysis Reveals the Adaptive Responses of Lycoris aurea to Arid Stress
by Mingxin Zhu, Zhaowentao Song, Yingzan Xie, Guanghua Liu and Youwei Zuo
Biology 2026, 15(2), 195; https://doi.org/10.3390/biology15020195 - 21 Jan 2026
Viewed by 69
Abstract
Understanding how plants respond to water limitation is increasingly important under accelerating climate change. Lycoris aurea, a widely distributed ornamental and medicinal bulbous plant, frequently inhabits environments with fluctuating soil moisture, yet its molecular drought-response mechanisms remain largely unexplored. In this study, [...] Read more.
Understanding how plants respond to water limitation is increasingly important under accelerating climate change. Lycoris aurea, a widely distributed ornamental and medicinal bulbous plant, frequently inhabits environments with fluctuating soil moisture, yet its molecular drought-response mechanisms remain largely unexplored. In this study, we investigated L. aurea growing under field-based, in situ soil moisture regimes, comparing low (~20% soil water content) and high (~40% soil water content) conditions. We combined soil property assessments with high-resolution transcriptomic and untargeted metabolomic profiling to characterize the adaptive responses of bulb tissues under contrasting soil water conditions. Although total nitrogen, phosphorus, and potassium levels were comparable across treatments, soil moisture, representing the primary contrasting field condition, and soil pH, a correlated environmental factor, were significantly associated with variation in gene expression and metabolite accumulation (p < 0.05, n = 3). Transcriptome analyses identified a total of 1034 differentially expressed genes enriched in pathways related to amino acid metabolism, cuticle formation, cell wall modification, and osmotic adjustment. Metabolomic analysis identified a total of 1867 differentially expressed metabolites belonging to carboxylic acids and prenol lipids, showing alterations involved in amino acids, lipids, phenolic acids, and alkaloids associated with osmoprotection, membrane stabilization, and structural reinforcement under low soil moisture. Pathway-based integration analysis highlighted four core pathways, including “alanine, aspartate and glutamate metabolism” (p = 0.00371) and “cutin, suberine and wax biosynthesis” (p = 0.00873), as central hubs linking transcriptional regulation with metabolic reconfiguration. Gene-metabolite-soil correlation networks further demonstrated that drought adaptation arises from tightly coordinated biochemical and structural adjustments rather than shifts in nutrient acquisition. Together, this species-specific study provides a comprehensive multi-omics framework for understanding drought tolerance in L. aurea, reveals key molecular targets associated with plant resilience, and offers potential targets and insights for the conservation of drought-resilient Lycoris cultivars. Full article
(This article belongs to the Special Issue Advances in Plant Multi-Omics)
Show Figures

Figure 1

Back to TopTop