Chemical Attributes of UK-Grown Tea and Identifying Catechin and Metabolite Dynamics in Green and Black Tea Using Metabolomics and Machine Learning
Abstract
1. Introduction
2. Materials and Methods
2.1. Sample Collection
2.2. Chemicals and Reagents
2.3. Sample Preparation and Extraction
2.4. Sample Preparation for Analysis by Flow Infusion Electrospray Ionisation Mass Spectrometry (FIE-MS)
2.5. Flow Infusion Electrospray Ionisation Mass Spectrometry (FIE-MS)
2.6. Ultra-High-Performance Liquid Chromatography Coupled with Triple-Quadrupole Tandem Mass Spectrometry
2.7. Data Analysis
3. Results
3.1. Results
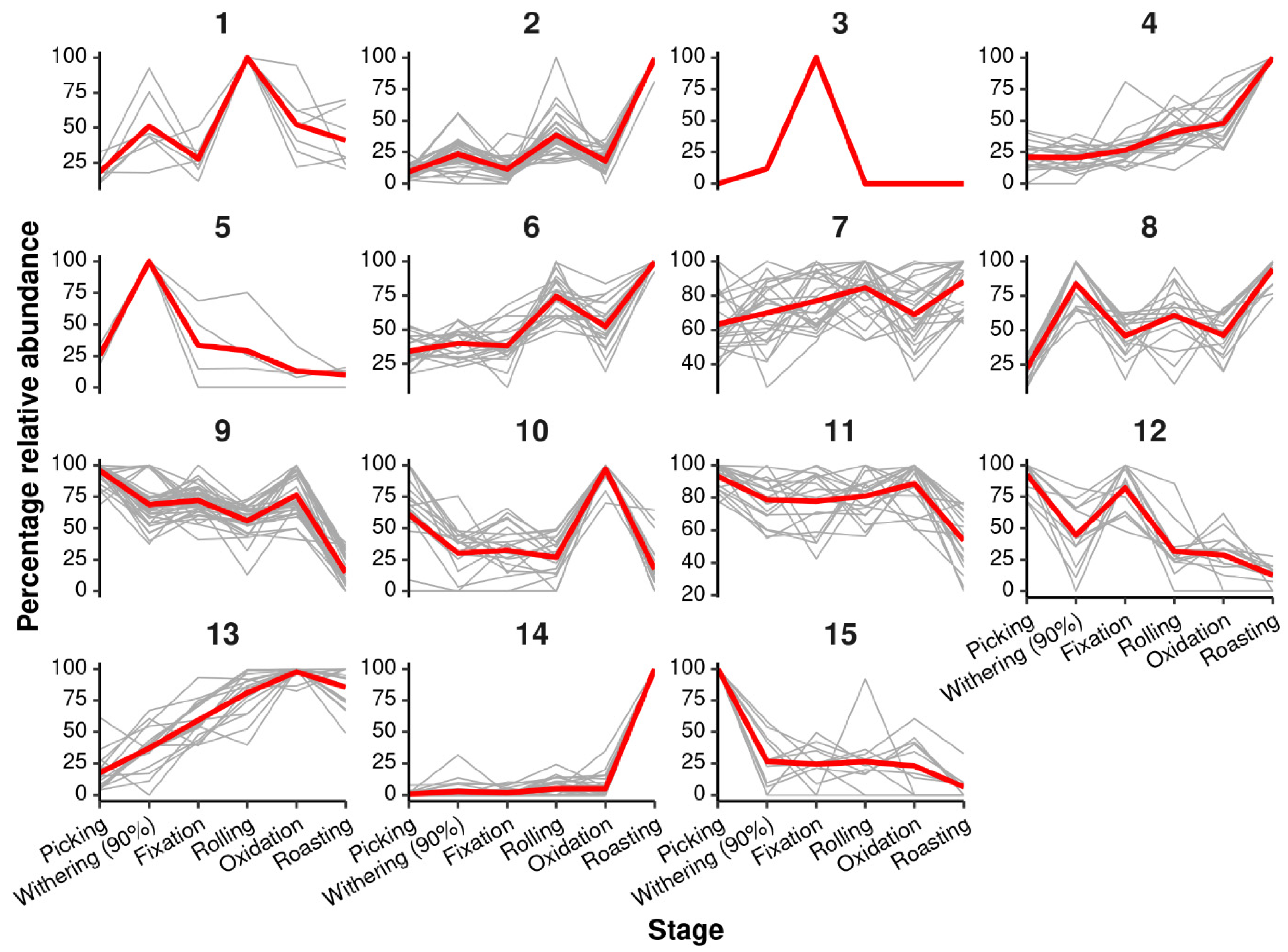
3.2. Green Tea
3.3. Black Tea
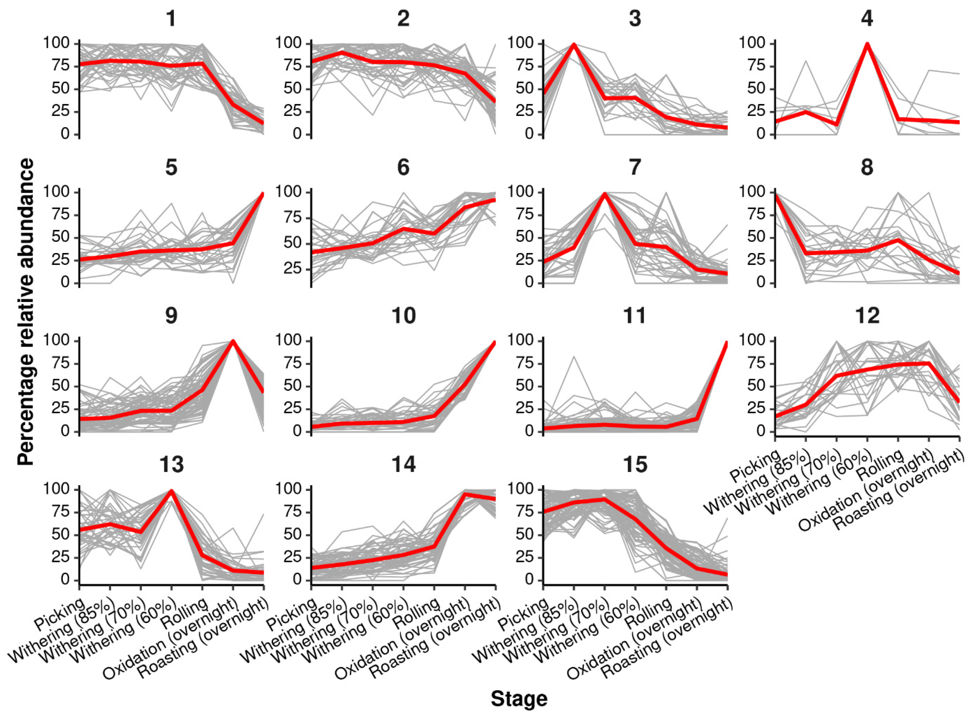
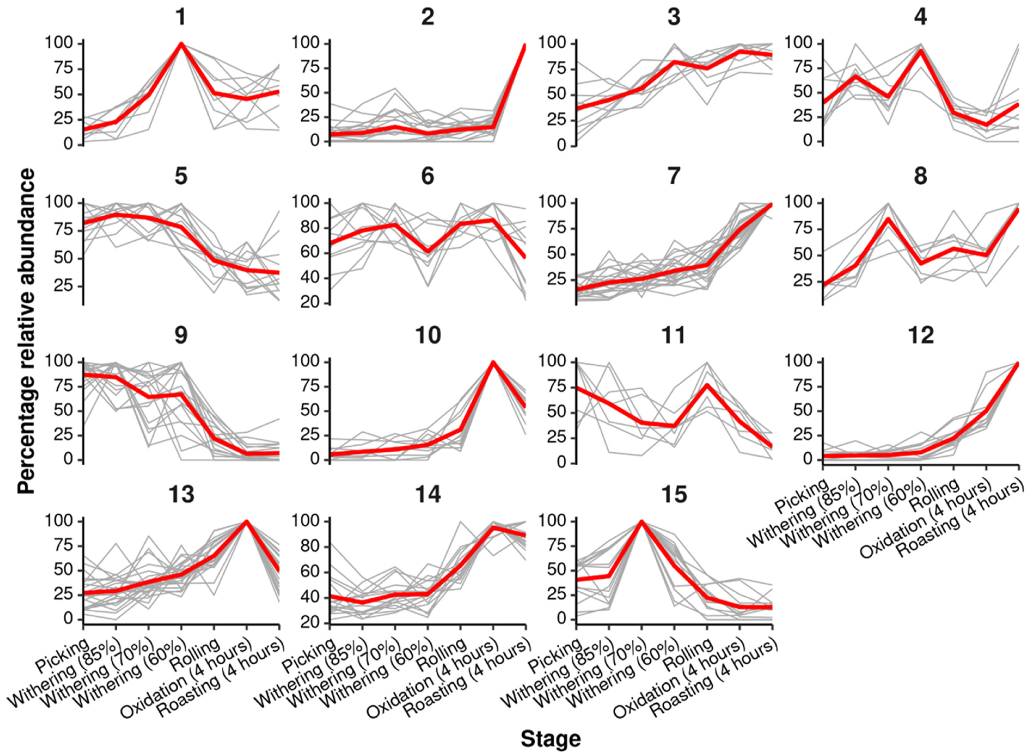
3.4. Black Tea—4 h
3.5. Black Tea—Overnight
3.6. Oxidation and Roasting
3.7. Catechins in Black and Green Tea
4. Discussion
5. Conclusions
Supplementary Materials
Author Contributions
Funding
Institutional Review Board Statement
Informed Consent Statement
Data Availability Statement
Acknowledgments
Conflicts of Interest
Abbreviations
| FIE-MS | Flow Infusion Electrospray Ionisation Mass Spectrometry |
| EC | (-)-epicatechin |
| EGC | (-)-epigallocatechin |
| ECG | (-)-epicatechin-3-gallate |
| EGCG | (-)-epigallocatechin-3-gallate |
| HPLC | High-performance liquid chromatography |
| MS | Mass Spectrometry |
References
- Samanta, S. Potential Bioactive Components and Health Promotional Benefits of Tea (Camellia sinensis). J. Am. Nutr. Assoc. 2022, 41, 65–93. [Google Scholar] [CrossRef] [PubMed]
- Cabrera, C.; Artacho, R.; Giménez, R. Beneficial effects of green tea—A review. J. Am. Coll. Nutr. 2006, 25, 79–99. [Google Scholar] [CrossRef] [PubMed]
- Farag, M.A.; Elmetwally, F.; Elghanam, R.; Kamal, N.; Hellal, K.; Hamezah, H.S.; Zhao, C.; Mediani, A. Metabolomics in tea products; a compile of applications for enhancing agricultural traits and quality control analysis of Camellia sinensis. Food Chem. 2023, 404, 134628. [Google Scholar] [CrossRef] [PubMed]
- Ahmed, S.; Griffin, T.S.; Kraner, D.; Schaffner, M.K.; Sharma, D.; Hazel, M.; Leitch, A.R.; Orians, C.M.; Han, W.; Stepp, J.R.; et al. Environmental Factors Variably Impact Tea Secondary Metabolites in the Context of Climate Change. Front. Plant Sci. 2019, 10, 939. [Google Scholar] [CrossRef]
- Bag, S.; Mondal, A.; Majumder, A.; Banik, A. Tea and its phytochemicals: Hidden health benefits & modulation of signaling cascade by phytochemicals. Food Chem. 2022, 371, 131098. [Google Scholar] [CrossRef]
- Deka, H.; Sarmah, P.P.; Devi, A.; Tamuly, P.; Karak, T. Changes in major catechins, caffeine, and antioxidant activity during CTC processing of black tea from North East India. RSC Adv. 2021, 11, 11457–11467. [Google Scholar] [CrossRef]
- Mozumder, N.H.M.R.; Hwang, K.H.; Lee, M.-S.; Kim, E.-H.; Hong, Y.-S. Metabolic Evidence on Vintage Effect in Tea (Camellia sinensis L.) Plants. Appl. Biol. Chem. 2023, 66, 86. [Google Scholar] [CrossRef]
- Li, N.; Xu, J.; Zhao, Y.; Zhao, M.; Liu, Z.; Wang, K.; Huang, J.; Zhu, M. The influence of processing methods on polyphenol profiling of tea leaves from the same large-leaf cultivar (Camellia sinensis var. assamica cv. Yunkang-10): Nontargeted/targeted polyphenomics and electronic sensory analysis. Food Chem. 2024, 460, 140515. [Google Scholar] [CrossRef]
- Higdon, J.V.; Frei, B. Tea catechins and polyphenols: Health effects, metabolism, and antioxidant functions. Crit. Rev. Food Sci. Nutr. 2003, 43, 89–143. [Google Scholar] [CrossRef]
- Sang, S.; Lambert, J.D.; Ho, C.; Yang, C.S. The chemistry and biotransformation of tea constituents. Pharmacol. Res. 2011, 64, 87–99. [Google Scholar] [CrossRef]
- Lloyd, A.J.; Warren-Walker, A.; Finch, J.; Harper, J.; Bennet, K.; Watson, A.; Lyons, L.; Martin, P.M.; Wilson, T.; Beckmann, M. Chemical Diversity of UK Grown Tea Explored Using Metabolomics and Machine Learning. Metabolites 2025, 15, 52. [Google Scholar] [CrossRef]
- Lee, J.E.; Lee, B.J.; Chung, J.O.; Kim, H.N.; Kim, E.H.; Jung, S.; Lee, H.; Lee, S.-J.; Hong, Y.-S. Metabolomic unveiling of a diverse range of green tea (Camellia sinensis) metabolites dependent on geography. Food Chem. 2015, 174, 452–459. [Google Scholar] [CrossRef]
- Li, J.; Wang, Y.; Suh, J.H. Multi-omics approach in tea polyphenol research regarding tea plant growth, development and tea processing: Current technologies and perspectives. Food Sci. Hum. Wellness 2022, 11, 524–536. [Google Scholar] [CrossRef]
- Fang, X.; Xue, R.; Xiao, J.; Pu, Q.; Wang, Y.; Yuan, Y.; Liu, B.; Sui, M.; Jiang, G.; Niaz, R.; et al. Effects of different fermentation modes on tea leaves: Revealing the metabolites modification by quasi-targeted metabolomics. Food Biosci. 2024, 62, 105223. [Google Scholar] [CrossRef]
- Beckmann, M.; Parker, D.; Enot, D.P.; Duval, E.; Draper, J. High-throughput, nontargeted metabolite fingerprinting using nominal mass flow injection electrospray mass spectrometry. Nat. Protoc. 2008, 3, 486–504. [Google Scholar] [CrossRef]
- Martens, L.; Chambers, M.; Sturm, M.; Kessner, D.; Levander, F.; Shofstahl, J.; Tang, W.H.; Römpp, A.; Neumann, S.; Pizarro, A.D.; et al. mzML—A Community Standard for Mass Spectrometry Data. Mol. Cell Proteom. 2011, 10, R110.000133. [Google Scholar] [CrossRef]
- Chambers, M.C.; Maclean, B.; Burke, R.; Amodei, D.; Ruderman, D.L.; Neumann, S.; Gatto, L.; Fischer, B.; Pratt, B.; Egertson, J.; et al. A Cross-platform Toolkit for Mass Spectrometry and Proteomics. Nat. Biotechnol. 2012, 30, 918–920. [Google Scholar] [CrossRef] [PubMed]
- Finch, J.P.; Wilson, T.; Lyons, L.; Phillips, H.; Beckmann, M.; Draper, J. Spectral binning as an approach to post-acquisition processing of high resolution FIE-MS metabolome fingerprinting data. Metabolomics 2022, 18, 64. [Google Scholar] [CrossRef] [PubMed]
- Draper, J.; Enot, D.P.; Parker, D.; Beckmann, M.; Snowdon, S.; Lin, W.; Zubair, H. Metabolite signal identification in accurate mass metabolomics data with MZedDB, an interactive m/z annotation tool utilising predicted ionisation behaviour ‘rules’. BMC Bioinform. 2009, 10, 227. [Google Scholar] [CrossRef]
- Tao, W.; Zhou, Z.; Zhao, B.; Wei, T. Simultaneous determination of eight catechins and four theaflavins in green, black and oolong tea using new HPLC-MS-MS method. J. Pharm. Biomed. Anal. 2016, 131, 140–145. [Google Scholar] [CrossRef]
- Djoumbou Feunang, Y.; Eisner, R.; Knox, C.; Chepelev, L.; Hastings, J.; Owen, G.; Fahy, E.; Steinbeck, C.; Subramanian, S.; Bolton, E.; et al. ClassyFire: Automated chemical classification with a comprehensive, computable taxonomy. J. Cheminform. 2016, 8, 61. [Google Scholar] [CrossRef] [PubMed]
- Picart-Armada, S.; Fernández-Albert, F.; Vinaixa, M.; Rodríguez, M.A.; Aivio, S.; Stracker, T.H.; Yanes, O.; Perera-Lluna, A. Null diffusion-based enrichment for metabolomics data. PLoS ONE 2017, 12, e0189012. [Google Scholar] [CrossRef]
- Picart-Armada, S.; Fernández-Albert, F.; Vinaixa, M.; Yanes, O.; Perera-Lluna, A. FELLA: An R package to enrich metabolomics data. BMC Bioinform. 2018, 19, 538. [Google Scholar] [CrossRef]
- Wang, Z.; He, T.; Fang, Y.; Lan, Z.; Liu, B.; Kong, K.W.; Sun, J.; He, X. Impact of processing methods in shaping taste, flavor, antioxidants, and metabolites in teas (Camellia sinensis): A multi-method analysis. Food Res. Int. 2025, 208, 116060. [Google Scholar] [CrossRef]
- Tang, G.-Y.; Meng, X.; Gan, R.-Y.; Zhao, C.-N.; Liu, Q.; Feng, Y.-B.; Li, S.; Wei, X.-L.; Atanasov, A.G.; Corke, H.; et al. Health Functions and Related Molecular Mechanisms of Tea Components: An Update Review. Int. J. Mol. Sci. 2019, 20, 6196. [Google Scholar] [CrossRef] [PubMed]
- Abudureheman, B.; Yu, X.; Fang, D.; Zhang, H. Enzymatic Oxidation of Tea Catechins and Its Mechanism. Molecules 2022, 27, 942. [Google Scholar] [CrossRef] [PubMed]





| Cluster | KEGG Id | KEGG Name | p-Score | |
|---|---|---|---|---|
| Green Tea | 2 | csin00290 | Valine, leucine and isoleucine biosynthesis | 0.000 |
| 2 | csin01210 | 2-Oxocarboxylic acid metabolism | 0.000 | |
| 2 | csin01230 | Biosynthesis of amino acids | 0.000 | |
| 2 | csin01240 | Biosynthesis of cofactors | 0.000 | |
| 4 | csin00941 | Flavonoid biosynthesis | 0.000 | |
| 6 | csin00906 | Carotenoid biosynthesis | 0.000 | |
| 6 | csin00941 | Flavonoid biosynthesis | 0.000 | |
| 6 | csin01110 | Biosynthesis of secondary metabolites | 0.000 | |
| 6 | csin04075 | Plant hormone signal transduction | 0.000 | |
| 7 | csin00030 | Pentose phosphate pathway | 0.000 | |
| 7 | csin00052 | Galactose metabolism | 0.000 | |
| 7 | csin00280 | Valine, leucine and isoleucine degradation | 0.001 | |
| 7 | csin00500 | Starch and sucrose metabolism | 0.000 | |
| 7 | csin00511 | Other glycan degradation | 0.010 | |
| 7 | csin00561 | Glycerolipid metabolism | 0.000 | |
| 7 | csin00600 | Sphingolipid metabolism | 0.000 | |
| 7 | csin00603 | Glycosphingolipid biosynthesis | 0.000 | |
| 7 | csin00604 | Glycosphingolipid biosynthesis | 0.007 | |
| 7 | csin00620 | Pyruvate metabolism | 0.041 | |
| 7 | csin00640 | Propanoate metabolism | 0.000 | |
| 7 | csin00945 | Stilbenoid, diarylheptanoid and gingerol bios… | 0.001 | |
| 7 | csin02010 | ABC transporters | 0.000 | |
| 8 | csin00052 | Galactose metabolism | 0.000 | |
| 8 | csin00500 | Starch and sucrose metabolism | 0.000 | |
| 8 | csin00600 | Sphingolipid metabolism | 0.000 | |
| 8 | csin00603 | Glycosphingolipid biosynthesis | 0.000 | |
| 8 | csin01110 | Biosynthesis of secondary metabolites | 0.000 | |
| 8 | csin02010 | ABC transporters | 0.000 | |
| 9 | csin00020 | Citrate cycle (TCA cycle) | 0.000 | |
| 9 | csin00053 | Ascorbate and aldarate metabolism | 0.000 | |
| 9 | csin00300 | Lysine biosynthesis | 0.000 | |
| 9 | csin00480 | Glutathione metabolism | 0.000 | |
| 9 | csin00620 | Pyruvate metabolism | 0.000 | |
| 9 | csin00640 | Propanoate metabolism | 0.000 | |
| 9 | csin00660 | C5-Branched dibasic acid metabolism | 0.027 | |
| 9 | csin00941 | Flavonoid biosynthesis | 0.000 | |
| 9 | csin01200 | Carbon metabolism | 0.000 | |
| 9 | csin01210 | 2-Oxocarboxylic acid metabolism | 0.000 | |
| 9 | csin01230 | Biosynthesis of amino acids | 0.000 | |
| 11 | csin00020 | Citrate cycle (TCA cycle) | 0.000 | |
| 11 | csin00250 | Alanine, aspartate and glutamate metabolism | 0.036 | |
| 11 | csin00290 | Valine, leucine and isoleucine biosynthesis | 0.043 | |
| 11 | csin00660 | C5-Branched dibasic acid metabolism | 0.000 | |
| 11 | csin00860 | Porphyrin metabolism | 0.000 | |
| 11 | csin00920 | Sulphur metabolism | 0.000 | |
| 11 | csin00941 | Flavonoid biosynthesis | 0.000 | |
| 11 | csin00966 | Glucosinolate biosynthesis | 0.019 | |
| Black tea | 3 | csin00020 | Citrate cycle (TCA cycle) | 0.026 |
| 3 | csin00030 | Pentose phosphate pathway | 0.000 | |
| 3 | csin00250 | Alanine, aspartate and glutamate metabolism | 0.001 | |
| 3 | csin00350 | Tyrosine metabolism | 0.012 | |
| 3 | csin00650 | Butanoate metabolism | 0.000 | |
| 3 | csin00760 | Nicotinate and nicotinamide metabolism | 0.000 | |
| 3 | csin01100 | Metabolic pathways | 0.017 | |
| 3 | csin01200 | Carbon metabolism | 0.014 | |
| 5 | csin00053 | Ascorbate and aldarate metabolism | 0.000 | |
| 5 | csin00660 | C5-Branched dibasic acid metabolism | 0.000 | |
| 7 | csin00053 | Ascorbate and aldarate metabolism | 0.002 | |
| 7 | csin00130 | Ubiquinone and other terpenoid-quinone biosyn… | 0.000 | |
| 7 | csin00350 | Tyrosine metabolism | 0.004 | |
| 7 | csin00360 | Phenylalanine metabolism | 0.000 | |
| 7 | csin00460 | Cyanoamino acid metabolism | 0.029 | |
| 7 | csin00940 | Phenylpropanoid biosynthesis | 0.000 | |
| 7 | csin00999 | Biosynthesis of various plant secondary metab… | 0.000 | |
| 8 | csin00941 | Flavonoid biosynthesis | 0.000 | |
| 8 | csin00944 | Flavone and flavonol biosynthesis | 0.000 | |
| 9 | csin00944 | Flavone and flavonol biosynthesis | 0.000 | |
| 10 | csin00220 | Arginine biosynthesis | 0.034 | |
| 10 | csin00330 | Arginine and proline metabolism | 0.000 | |
| 10 | csin00630 | Glyoxylate and dicarboxylate metabolism | 0.000 | |
| 10 | csin00710 | Carbon fixation in photosynthetic organisms | 0.000 | |
| 12 | csin00010 | Glycolysis/Gluconeogenesis | 0.000 | |
| 12 | csin00051 | Fructose and mannose metabolism | 0.000 | |
| 12 | csin00052 | Galactose metabolism | 0.000 | |
| 12 | csin00510 | N-Glycan biosynthesis | 0.000 | |
| 12 | csin00511 | Other glycan degradation | 0.000 | |
| 12 | csin00513 | Various types of N-glycan biosynthesis | 0.000 | |
| 12 | csin00531 | Glycosaminoglycan degradation | 0.000 | |
| 12 | csin00562 | Inositol phosphate metabolism | 0.000 | |
| 12 | csin00600 | Sphingolipid metabolism | 0.000 | |
| 12 | csin00603 | Glycosphingolipid biosynthesis | 0.002 | |
| 12 | csin00604 | Glycosphingolipid biosynthesis | 0.000 | |
| 12 | csin02010 | ABC transporters | 0.000 | |
| 12 | csin04070 | Phosphatidylinositol signalling system | 0.000 | |
| 12 | csin04141 | Protein processing in endoplasmic reticulum | 0.000 | |
| 13 | csin00040 | Pentose and glucuronate interconversions | 0.000 | |
| 13 | csin00250 | Alanine, aspartate and glutamate metabolism | 0.000 | |
| 13 | csin00460 | Cyanoamino acid metabolism | 0.000 | |
| 13 | csin00470 | D-Amino acid metabolism | 0.000 | |
| 13 | csin00543 | Exopolysaccharide biosynthesis | 0.000 | |
| 13 | csin00908 | Zeatin biosynthesis | 0.000 | |
| 13 | csin01232 | Nucleotide metabolism | 0.000 | |
| 13 | csin04122 | Sulphur relay system | 0.000 | |
| 14 | csin00220 | Arginine biosynthesis | 0.000 | |
| 14 | csin00290 | Valine, leucine and isoleucine biosynthesis | 0.000 | |
| 14 | csin00650 | Butanoate metabolism | 0.000 | |
| 14 | csin01110 | Biosynthesis of secondary metabolites | 0.000 | |
| 14 | csin01210 | 2-Oxocarboxylic acid metabolism | 0.000 | |
| 14 | csin01230 | Biosynthesis of amino acids | 0.000 | |
| 14 | csin01240 | Biosynthesis of cofactors | 0.000 | |
| 15 | csin00941 | Flavonoid biosynthesis | 0.000 | |
| Overnight | 1 | csin00020 | Citrate cycle (TCA cycle) | 0.000 |
| 1 | csin00053 | Ascorbate and aldarate metabolism | 0.000 | |
| 1 | csin00480 | Glutathione metabolism | 0.000 | |
| 1 | csin00660 | C5-Branched dibasic acid metabolism | 0.000 | |
| 1 | csin00945 | Stilbenoid, diarylheptanoid and gingerol bios… | 0.000 | |
| 1 | csin00999 | Biosynthesis of various plant secondary metab… | 0.001 | |
| 2 | csin00020 | Citrate cycle (TCA cycle) | 0.000 | |
| 2 | csin00250 | Alanine, aspartate and glutamate metabolism | 0.036 | |
| 2 | csin00290 | Valine, leucine and isoleucine biosynthesis | 0.000 | |
| 2 | csin00660 | C5-Branched dibasic acid metabolism | 0.000 | |
| 2 | csin00860 | Porphyrin metabolism | 0.000 | |
| 2 | csin00966 | Glucosinolate biosynthesis | 0.000 | |
| 3 | csin00020 | Citrate cycle (TCA cycle) | 0.000 | |
| 3 | csin00052 | Galactose metabolism | 0.000 | |
| 3 | csin00053 | Ascorbate and aldarate metabolism | 0.000 | |
| 3 | csin00500 | Starch and sucrose metabolism | 0.000 | |
| 3 | csin00511 | Other glycan degradation | 0.001 | |
| 3 | csin00531 | Glycosaminoglycan degradation | 0.003 | |
| 3 | csin00561 | Glycerolipid metabolism | 0.031 | |
| 3 | csin00600 | Sphingolipid metabolism | 0.000 | |
| 3 | csin00603 | Glycosphingolipid biosynthesis | 0.000 | |
| 3 | csin00604 | Glycosphingolipid biosynthesis | 0.000 | |
| 3 | csin00620 | Pyruvate metabolism | 0.000 | |
| 3 | csin01200 | Carbon metabolism | 0.035 | |
| 3 | csin02010 | ABC transporters | 0.000 | |
| 5 | csin00010 | Glycolysis/Gluconeogenesis | 0.000 | |
| 5 | csin00051 | Fructose and mannose metabolism | 0.000 | |
| 5 | csin00052 | Galactose metabolism | 0.000 | |
| 5 | csin00510 | N-Glycan biosynthesis | 0.000 | |
| 5 | csin00511 | Other glycan degradation | 0.000 | |
| 5 | csin00513 | Various types of N-glycan biosynthesis | 0.000 | |
| 5 | csin00562 | Inositol phosphate metabolism | 0.000 | |
| 5 | csin02010 | ABC transporters | 0.000 | |
| 5 | csin04070 | Phosphatidylinositol signalling system | 0.000 | |
| 5 | csin04141 | Protein processing in endoplasmic reticulum | 0.000 | |
| 6 | csin00010 | Glycolysis/Gluconeogenesis | 0.000 | |
| 6 | csin00030 | Pentose phosphate pathway | 0.000 | |
| 6 | csin00051 | Fructose and mannose metabolism | 0.031 | |
| 6 | csin00280 | Valine, leucine and isoleucine degradation | 0.000 | |
| 6 | csin00400 | Phenylalanine, tyrosine and tryptophan biosyn… | 0.048 | |
| 6 | csin00410 | beta-Alanine metabolism | 0.005 | |
| 6 | csin00520 | Amino sugar and nucleotide sugar metabolism | 0.000 | |
| 6 | csin00620 | Pyruvate metabolism | 0.000 | |
| 6 | csin00630 | Glyoxylate and dicarboxylate metabolism | 0.000 | |
| 6 | csin00640 | Propanoate metabolism | 0.001 | |
| 6 | csin00650 | Butanoate metabolism | 0.000 | |
| 6 | csin00710 | Carbon fixation in photosynthetic organisms | 0.000 | |
| 6 | csin00920 | Sulphur metabolism | 0.001 | |
| 6 | csin01100 | Metabolic pathways | 0.002 | |
| 6 | csin01200 | Carbon metabolism | 0.000 | |
| 6 | csin01250 | Biosynthesis of nucleotide sugars | 0.040 | |
| 6 | csin04148 | Efferocytosis | 0.000 | |
| 7 | csin00941 | Flavonoid biosynthesis | 0.000 | |
| 8 | csin00350 | Tyrosine metabolism | 0.000 | |
| 8 | csin01100 | Metabolic pathways | 0.017 | |
| 9 | csin00030 | Pentose phosphate pathway | 0.000 | |
| 9 | csin00040 | Pentose and glucuronate interconversions | 0.000 | |
| 9 | csin00220 | Arginine biosynthesis | 0.000 | |
| 9 | csin00290 | Valine, leucine and isoleucine biosynthesis | 0.000 | |
| 9 | csin00945 | Stilbenoid, diarylheptanoid and gingerol bios… | 0.000 | |
| 9 | csin00960 | Tropane, piperidine and pyridine alkaloid bio… | 0.000 | |
| 11 | csin01100 | Metabolic pathways | 0.017 | |
| 11 | csin01110 | Biosynthesis of secondary metabolites | 0.000 | |
| 12 | csin00260 | Glycine, serine and threonine metabolism | 0.000 | |
| 12 | csin00330 | Arginine and proline metabolism | 0.004 | |
| 12 | csin00410 | beta-Alanine metabolism | 0.000 | |
| 12 | csin00630 | Glyoxylate and dicarboxylate metabolism | 0.000 | |
| 12 | csin00770 | Pantothenate and CoA biosynthesis | 0.046 | |
| 13 | csin01100 | Metabolic pathways | 0.017 | |
| 13 | csin01110 | Biosynthesis of secondary metabolites | 0.000 | |
| 14 | csin00030 | Pentose phosphate pathway | 0.000 | |
| 14 | csin00130 | Ubiquinone and other terpenoid-quinone biosyn… | 0.000 | |
| 14 | csin00290 | Valine, leucine and isoleucine biosynthesis | 0.000 | |
| 14 | csin00310 | Lysine degradation | 0.012 | |
| 14 | csin00350 | Tyrosine metabolism | 0.005 | |
| 14 | csin00360 | Phenylalanine metabolism | 0.000 | |
| 14 | csin00400 | Phenylalanine, tyrosine and tryptophan biosyn… | 0.000 | |
| 14 | csin00562 | Inositol phosphate metabolism | 0.000 | |
| 14 | csin00650 | Butanoate metabolism | 0.006 | |
| 14 | csin00750 | Vitamin B6 metabolism | 0.000 | |
| 14 | csin00940 | Phenylpropanoid biosynthesis | 0.000 | |
| 14 | csin00944 | Flavone and flavonol biosynthesis | 0.000 | |
| 14 | csin00950 | Isoquinoline alkaloid biosynthesis | 0.000 | |
| 14 | csin01210 | 2-Oxocarboxylic acid metabolism | 0.016 | |
| 14 | csin01230 | Biosynthesis of amino acids | 0.000 | |
| 14 | csin04075 | Plant hormone signal transduction | 0.007 | |
| 15 | csin00020 | Citrate cycle (TCA cycle) | 0.000 | |
| 15 | csin00053 | Ascorbate and aldarate metabolism | 0.000 | |
| 15 | csin00300 | Lysine biosynthesis | 0.000 | |
| 15 | csin00480 | Glutathione metabolism | 0.000 | |
| 15 | csin00620 | Pyruvate metabolism | 0.000 | |
| 15 | csin00640 | Propanoate metabolism | 0.000 | |
| 15 | csin00660 | C5-Branched dibasic acid metabolism | 0.000 | |
| 15 | csin00941 | Flavonoid biosynthesis | 0.000 | |
| 15 | csin01200 | Carbon metabolism | 0.004 | |
| 15 | csin01210 | 2-Oxocarboxylic acid metabolism | 0.003 | |
| 15 | csin01230 | Biosynthesis of amino acids | 0.000 |
| Comparison | Trend | KEGG ID | KEGG Name | p-Score |
|---|---|---|---|---|
| Oxidation (4 h)~Oxidation (overnight) | decreased | csin00052 | Galactose metabolism | 0.000001 |
| decreased | csin00350 | Tyrosine metabolism | 0.00094 | |
| decreased | csin00360 | Phenylalanine metabolism | 0.00158 | |
| decreased | csin00500 | Starch and sucrose metabolism | 0.000001 | |
| decreased | csin00600 | Sphingolipid metabolism | 0.000001 | |
| decreased | csin00603 | Glycosphingolipid biosynthesis | 0.000001 | |
| decreased | csin00940 | Phenylpropanoid biosynthesis | 0.0000405 | |
| decreased | csin00941 | Flavonoid biosynthesis | 0.000001 | |
| decreased | csin00944 | Flavone and flavonol biosynthesis | 0.000941 | |
| decreased | csin00999 | Biosynthesis of various plant secondary metabolite. | 0.000001 | |
| decreased | csin02010 | ABC transporters | 0.000001 | |
| increased | csin00040 | Pentose and glucuronate interconversions | 0.000001 | |
| increased | csin00051 | Fructose and mannose metabolism | 0.000001 | |
| increased | csin00053 | Ascorbate and aldarate metabolism | 0.000001 | |
| increased | csin00290 | Valine, leucine and isoleucine biosynthesis | 0.000001 | |
| increased | csin00310 | Lysine degradation | 0.000001 | |
| increased | csin00562 | Inositol phosphate metabolism | 0.000001 | |
| increased | csin00630 | Glyoxylate and dicarboxylate metabolism | 0.0000296 | |
| increased | csin00660 | C5-Branched dibasic acid metabolism | 0.000001 | |
| increased | csin00750 | Vitamin B6 metabolism | 0.00000455 | |
| increased | csin00760 | Nicotinate and nicotinamide metabolism | 0.000001 | |
| increased | csin00770 | Pantothenate and CoA biosynthesis | 0.000001 | |
| increased | csin00906 | Carotenoid biosynthesis | 0.000001 | |
| increased | csin00945 | Stilbenoid, diarylheptanoid and gingerol biosynthe… | 0.0000448 | |
| increased | csin01230 | Biosynthesis of amino acids | 0.0000232 | |
| Roasting (4 h)~Roasting (overnight) | decreased | csin00020 | Citrate cycle (TCA cycle) | 0.000001 |
| decreased | csin00052 | Galactose metabolism | 0.0000184 | |
| decreased | csin00053 | Ascorbate and aldarate metabolism | 0.000001 | |
| decreased | csin00062 | Fatty acid elongation | 0.00129 | |
| decreased | csin00500 | Starch and sucrose metabolism | 0.000001 | |
| decreased | csin00600 | Sphingolipid metabolism | 0.0000352 | |
| decreased | csin00603 | Glycosphingolipid biosynthesis | 0.000001 | |
| decreased | csin00620 | Pyruvate metabolism | 0.0228 | |
| decreased | csin00941 | Flavonoid biosynthesis | 0.000001 | |
| decreased | csin00944 | Flavone and flavonol biosynthesis | 0.0183 | |
| decreased | csin00999 | Biosynthesis of various plant secondary metabolite. | 0.000001 | |
| decreased | csin02010 | ABC transporters | 0.00000268 | |
| increased | csin00010 | Glycolysis/Gluconeogenesis | 0.00000109 | |
| increased | csin00040 | Pentose and glucuronate interconversions | 0.000001 | |
| increased | csin00051 | Fructose and mannose metabolism | 0.000001 | |
| increased | csin00053 | Ascorbate and aldarate metabolism | 0.000001 | |
| increased | csin00290 | Valine, leucine and isoleucine biosynthesis | 0.000001 | |
| increased | csin00310 | Lysine degradation | 0.000001 | |
| increased | csin00562 | Inositol phosphate metabolism | 0.000001 | |
| increased | csin00630 | Glyoxylate and dicarboxylate metabolism | 0.000001 | |
| increased | csin00650 | Butanoate metabolism | 0.000001 | |
| increased | csin00760 | Nicotinate and nicotinamide metabolism | 0.000001 | |
| increased | csin02010 | ABC transporters | 0.000001 |
Disclaimer/Publisher’s Note: The statements, opinions and data contained in all publications are solely those of the individual author(s) and contributor(s) and not of MDPI and/or the editor(s). MDPI and/or the editor(s) disclaim responsibility for any injury to people or property resulting from any ideas, methods, instructions or products referred to in the content. |
© 2026 by the authors. Licensee MDPI, Basel, Switzerland. This article is an open access article distributed under the terms and conditions of the Creative Commons Attribution (CC BY) license.
Share and Cite
Lloyd, A.J.; Finch, J.; Warren-Walker, A.; Watson, A.; Lyons, L.; Martinez Martin, M.P.; Wilson, T.; Beckmann, M. Chemical Attributes of UK-Grown Tea and Identifying Catechin and Metabolite Dynamics in Green and Black Tea Using Metabolomics and Machine Learning. Metabolites 2026, 16, 84. https://doi.org/10.3390/metabo16010084
Lloyd AJ, Finch J, Warren-Walker A, Watson A, Lyons L, Martinez Martin MP, Wilson T, Beckmann M. Chemical Attributes of UK-Grown Tea and Identifying Catechin and Metabolite Dynamics in Green and Black Tea Using Metabolomics and Machine Learning. Metabolites. 2026; 16(1):84. https://doi.org/10.3390/metabo16010084
Chicago/Turabian StyleLloyd, Amanda J., Jasen Finch, Alina Warren-Walker, Alison Watson, Laura Lyons, MJ Pilar Martinez Martin, Thomas Wilson, and Manfred Beckmann. 2026. "Chemical Attributes of UK-Grown Tea and Identifying Catechin and Metabolite Dynamics in Green and Black Tea Using Metabolomics and Machine Learning" Metabolites 16, no. 1: 84. https://doi.org/10.3390/metabo16010084
APA StyleLloyd, A. J., Finch, J., Warren-Walker, A., Watson, A., Lyons, L., Martinez Martin, M. P., Wilson, T., & Beckmann, M. (2026). Chemical Attributes of UK-Grown Tea and Identifying Catechin and Metabolite Dynamics in Green and Black Tea Using Metabolomics and Machine Learning. Metabolites, 16(1), 84. https://doi.org/10.3390/metabo16010084

