Sign in to use this feature.

Years

Between: -

Subjects

remove_circle_outline
remove_circle_outline
remove_circle_outline
remove_circle_outline
remove_circle_outline
remove_circle_outline
remove_circle_outline
remove_circle_outline
remove_circle_outline

Journals

remove_circle_outline
remove_circle_outline
remove_circle_outline
remove_circle_outline
remove_circle_outline

Article Types

Countries / Regions

remove_circle_outline
remove_circle_outline
remove_circle_outline
remove_circle_outline

Search Results (860)

Search Parameters:
Keywords = linear slide

Order results
Result details
Results per page
Select all
Export citation of selected articles as:
40 pages, 3651 KB  
Article
Active Fault-Tolerant Control for Steering Actuator Bias in Autonomous Vehicles Using Adaptive Sliding Mode Observer
by Hyunggyu Kim and Wongun Kim
Sensors 2026, 26(5), 1680; https://doi.org/10.3390/s26051680 - 6 Mar 2026
Abstract
Autonomous vehicle path-tracking and lateral stability depend critically on reliable steering actuator operation. However, steering systems are susceptible to bias faults from mechanical misalignment, friction, drivetrain asymmetry, and degradation. These faults distort commanded versus actual steering inputs, causing accumulated lateral and heading errors [...] Read more.
Autonomous vehicle path-tracking and lateral stability depend critically on reliable steering actuator operation. However, steering systems are susceptible to bias faults from mechanical misalignment, friction, drivetrain asymmetry, and degradation. These faults distort commanded versus actual steering inputs, causing accumulated lateral and heading errors during high-speed driving. Actuator biases manifest as constant offsets, gradual drift, or intermittent activations, which complicate reliable diagnosis. This study presents an adaptive sliding mode observer-based active fault-tolerant control framework for real-time detection, estimation, and mitigation. An extended four-state lateral error model incorporating distance and heading errors captures the influence of steering bias on vehicle behavior and stability. Adaptive observer gain tuning addresses modeling uncertainties arising from speed variations, linearization residuals, and tire stiffness changes to ensure robust estimation under realistic driving conditions. The effectiveness of the proposed method is validated through high-speed double lane change simulations considering three representative bias scenarios: an initial constant bias, a gradually increasing drift bias, and an intermittent bias. Results demonstrate reliable bias estimation and significantly improved path-tracking accuracy compared to uncompensated cases. Operating without additional sensors, hardware redundancies, or controller switching, the framework is suitable for practical implementation in autonomous vehicle steering systems. Full article
(This article belongs to the Topic Vehicle Dynamics and Control, 2nd Edition)
24 pages, 684 KB  
Article
Robust Vehicular Dynamics and Sliding Mode Control of Multi-Rotor UAVs in Harsh Wind Fields
by Umar Farid, Bilal Khan and Zahid Ullah
Machines 2026, 14(3), 277; https://doi.org/10.3390/machines14030277 - 2 Mar 2026
Viewed by 187
Abstract
A crucial problem for autonomous aerial operations is to provide dependable and strong control of unmanned aerial vehicles (UAVs) in adverse environmental circumstances. The current paper provides an extensive analysis of the vehicle dynamics and control of drones in strong wind fields with [...] Read more.
A crucial problem for autonomous aerial operations is to provide dependable and strong control of unmanned aerial vehicles (UAVs) in adverse environmental circumstances. The current paper provides an extensive analysis of the vehicle dynamics and control of drones in strong wind fields with altitude-dependent wind shear, wind gusts, and turbulence. A comparative evaluation of sliding mode control (SMC), linear quadratic regulator (LQR), model predictive control (MPC), adaptive constrained adaptive linear control (ACALC), and higher-order control barrier function (HOCBF)-based control in the context of trajectory tracking performance, control effort, and robustness is carried out. Simulation outcomes show that SMC exhibits superior robustness to sudden wind disturbances and the most consistent tracking accuracy under stochastic variations; HOCBF and ACALC provide comparable high precision with added constraint enforcement and adaptive capability, respectively; MPC has smooth control and minimal energy consumption; and LQR has a high level of computational efficiency with significantly tolerable tracking performance. Monte Carlo calculations are conducted to measure tracking errors and control energy under the stochastic wind variations, and the capability of the proposed control strategies to remain resilient in uncertain conditions is brought to light. The results provide useful information about the architecture of effective controllers used in UAVs during severe weather conditions and underline the compromises between the accuracy of tracking, the control effort, and the energy consumption. The suggested framework offers an effective and scalable system suitable for reliable autonomous drone activity in complicated reality settings. Full article
(This article belongs to the Special Issue Advances in Vehicle Dynamics)
Show Figures

Figure 1

26 pages, 5967 KB  
Article
Robust Adaptive Sensorless Control for PMLSM Based on Improved Sliding Mode Observer and Extended State Observer
by Yaning Shi, Rong Guo, Sijie Li, Xiaoyu Zhang and Yang Song
Electronics 2026, 15(5), 984; https://doi.org/10.3390/electronics15050984 - 27 Feb 2026
Viewed by 166
Abstract
Nowadays, sensorless control of permanent magnet synchronous linear motors (PMLSM) is widely utilized in industrial applications due to its inherent cost and spatial advantages. However, existing sensorless control methods for PMLMs face insufficient observation accuracy of states and disturbances and poor variable-speed trajectory [...] Read more.
Nowadays, sensorless control of permanent magnet synchronous linear motors (PMLSM) is widely utilized in industrial applications due to its inherent cost and spatial advantages. However, existing sensorless control methods for PMLMs face insufficient observation accuracy of states and disturbances and poor variable-speed trajectory tracking. To address these issues, this paper proposes a sensorless control method combining multi-observer coordinated perception and robust adaptive control. Firstly, a sliding mode observer based on an improved saturation switching function is designed, which suppresses current noise with a low-pass filter to achieve unbiased estimation of back electromotive force (EMF). Secondly, an extended state observer with back-EMF as input is constructed to synchronously observe disturbances such as the mover speed, position, and thrust ripple of linear machine. Then, a robust adaptive controller is designed to compensate for system uncertainty via an adaptive law, forming closed-loop control with SVPWM. Compared with the traditional methods, the proposed multi-observer coordinated perception scheme can significantly enhance the observation accuracy of the mover speed, position, and lumped disturbances, and the robust adaptive controller can effectively improve the variable-speed trajectory, tracking performance under system uncertainties. Finally, the simulation results have confirmed the effectiveness of the proposed method in accurately observing and tracking speed and position, providing a feasible solution for high-precision sensorless control of PMLSM. Full article
Show Figures

Figure 1

26 pages, 2942 KB  
Article
Real-Time Adaptive Linear Quadratic Regulator Control for the QUBE–2 Rotary Inverted Pendulum
by Cynthia Lopez-Jordan and Mohammad Jafari
Math. Comput. Appl. 2026, 31(2), 33; https://doi.org/10.3390/mca31020033 - 27 Feb 2026
Viewed by 124
Abstract
This paper presents a real-time adaptive Linear Quadratic Regulator (LQR) control strategy for the rotary inverted pendulum. The state weighting matrix of the LQR cost function is continuously adapted online based on real-time tracking error, state dynamics, and sliding-mode-inspired robustness measures. Unlike conventional [...] Read more.
This paper presents a real-time adaptive Linear Quadratic Regulator (LQR) control strategy for the rotary inverted pendulum. The state weighting matrix of the LQR cost function is continuously adapted online based on real-time tracking error, state dynamics, and sliding-mode-inspired robustness measures. Unlike conventional LQR controllers with fixed weighting matrices or hybrid schemes that apply sliding mode control directly to the control input, the proposed approach modulates the LQR cost function itself, enabling dynamic reshaping of controller behavior while preserving smooth control action. The real-time adaptive controller is implemented using a continuous-time Riccati differential equation solved online, making the method suitable for real-time deployment. Experimental validation is conducted on two Quanser QUBE-Servo 2 rotary inverted pendulum platforms under square, sinusoidal, and sawtooth reference trajectories. Performance is compared against a fixed-gain LQR controller using multiple quantitative metrics, including tracking error and control effort. Experimental results demonstrate substantial improvements in tracking accuracy, with reductions exceeding 70–90% in error metrics, while simultaneously achieving over 94% reduction in control effort. These findings verify that adaptive cost shaping provides an effective and practical mechanism for enhancing LQR performance in underactuated experimental systems. Full article
Show Figures

Figure 1

16 pages, 2505 KB  
Article
Adaptive Trajectory Control of a Hydraulic Excavator Based on RBF Sliding-Mode Control Method
by Linyu Tao, Changchun Hua, Wei Ma, Gang Lu, Zhenhua Wei and Shijia Wei
Appl. Syst. Innov. 2026, 9(3), 48; https://doi.org/10.3390/asi9030048 - 25 Feb 2026
Viewed by 228
Abstract
In this paper, a nonlinear integral sliding-mode controller (SMC) based on a radial basis function (RBF) neural network is proposed to address the challenges of high nonlinearity, parameter uncertainty, and unmodeled dynamics in the electro-hydraulic servo system of a robotic excavator. The controller [...] Read more.
In this paper, a nonlinear integral sliding-mode controller (SMC) based on a radial basis function (RBF) neural network is proposed to address the challenges of high nonlinearity, parameter uncertainty, and unmodeled dynamics in the electro-hydraulic servo system of a robotic excavator. The controller design incorporates adaptive RBF neural networks to compensate for system perturbations and uncertain nonlinearities, while an integral sliding surface is employed to eliminate steady-state error. This approach not only compensates for uncertainties but also reduces the traditional SMC’s high dependency on precise system parameters. The mathematical model of the bucket electro-hydraulic servo system is established without linear approximation. Based on this model, the sliding-mode controller with RBF neural networks (SMC-RBF) is designed, and its asymptotic stability is proven using the Lyapunov method. Simulation and experimental results are compared with a traditional PID controller to verify the proposed controller’s superiority. The simulations show that the SMC-RBF controller meets the requirements for tracking performance and demonstrates robustness, improving sinusoidal tracking performance by 46% compared to the PID controller. Experimental results further demonstrate that the SMC-RBF controller improves the trajectory accuracy for a two-meter straight line by 52.46% in comparison to the traditional PID controller. Full article
Show Figures

Figure 1

21 pages, 14954 KB  
Article
Tribological Behavior and Wear Prediction of Copper-Based Brake Pads for Monorail Cranes Under Complex Hygrothermal Environments
by Minti Xue, Ruihua Tong, Hao Lu, Zhiyuan Shi and Fan Jiang
Lubricants 2026, 14(2), 98; https://doi.org/10.3390/lubricants14020098 - 23 Feb 2026
Viewed by 258
Abstract
A significant amount of frictional heat is generated during the braking process of mine-used monorail cranes under heavy-load and low-speed creeping (or reciprocating speed regulation) conditions, causing thermal softening and performance degradation of the brake pads. Thus, investigating the tribological evolution mechanism is [...] Read more.
A significant amount of frictional heat is generated during the braking process of mine-used monorail cranes under heavy-load and low-speed creeping (or reciprocating speed regulation) conditions, causing thermal softening and performance degradation of the brake pads. Thus, investigating the tribological evolution mechanism is necessary to ensure reliable braking in deep underground environments. In this paper, full-scale tribological testing technology is applied to the brake system, and the friction and wear characteristics of copper-based powder metallurgy (P/M) brake pads under complex hygrothermal environments are studied. A physical experimental model coupling normal load, sliding speed, and humidity is established using a custom-designed open-structure reciprocating tester, revealing the “load weakening effect” under dry conditions and the “dual regulation mechanism” of mixed lubrication and cooling flushing under high humidity. Then, a surrogate prediction model of friction coefficient and wear rate, with respect to the operating parameters, is constructed based on Central Composite Design (CCD) and Response Surface Methodology (RSM). The reliability of the model under non-linear working conditions is estimated based on Analysis of Variance (ANOVA) and blind tests. The results indicate that the model possesses high prediction accuracy (relative error < 5%), and the feasibility of utilizing the high-humidity environment to enhance wear resistance and stability is verified. Full article
Show Figures

Figure 1

25 pages, 3276 KB  
Article
SIDWA: Synthetic Image Detection Based on Discrete Wavelet Transform Stem and Deformable Sliding Window Cross-Attention
by Luo Li, Tianyi Lu, Jiaxin Song and Ke Cheng
Electronics 2026, 15(4), 891; https://doi.org/10.3390/electronics15040891 - 21 Feb 2026
Viewed by 188
Abstract
With the rapid evolution of Generative Adversarial Networks (GANs) and diffusion models (DMs), the detection of synthetic images faces significant challenges due to non-rigid artifacts and complex frequency biases. In this paper, we propose SIDWA, a novel dual-branch detection framework that leverages the [...] Read more.
With the rapid evolution of Generative Adversarial Networks (GANs) and diffusion models (DMs), the detection of synthetic images faces significant challenges due to non-rigid artifacts and complex frequency biases. In this paper, we propose SIDWA, a novel dual-branch detection framework that leverages the synergy between frequency and spatial domains. Within the spatial branch, we design a Deformable Sliding Window Cross-Attention (DSWA) module, which utilizes a learnable offset mechanism to dynamically warp the receptive field, effectively capturing distorted edges and non-linear texture features. Simultaneously, the Discrete Wavelet Transform (DWT) Stem decomposes input images into multi-scale sub-bands to preserve crucial high-frequency residues. Through a Frequency-Semantic Resonance Projector (FSRP) strategy, the semantic priors from the spatial branch act as queries to guide the model toward localized frequency anomalies, achieving a unified “where to look” and “how to analyze” approach. Experimental results for the SIDataset (SIDset) benchmark demonstrate that Synthetic Image Detection based on Discrete Wavelet Transform Stem and Deformable Sliding Window Cross-Attention (SIDWA) achieves superior performance, with an average accuracy exceeding 95% and a competitive inference time of 18.2 ms on an NVIDIA A100 GPU. Ablation studies further validate the critical role of learnable offsets and frequency integration in enhancing robustness and generalization. SIDWA offers an efficient and reliable forensic solution for combating the growing threats of sophisticated generative forgeries. Full article
Show Figures

Figure 1

19 pages, 3696 KB  
Article
Speed Control of Sliding Mode Variable Structure for Permanent Magnet Synchronous Motors Based on Iterative Learning and Torque Compensation
by Na Zheng, Guoqiang Qiu, Yanming Cheng and Dejun Liu
Appl. Sci. 2026, 16(4), 1958; https://doi.org/10.3390/app16041958 - 16 Feb 2026
Viewed by 187
Abstract
To reduce the impact of periodic pulsating torque and non-periodic disturbances on the speed control performance of permanent magnet synchronous motors (PMSMs), a sliding mode variable structure control method incorporating iterative learning compensation and load torque observation compensation is proposed. First, iterative learning [...] Read more.
To reduce the impact of periodic pulsating torque and non-periodic disturbances on the speed control performance of permanent magnet synchronous motors (PMSMs), a sliding mode variable structure control method incorporating iterative learning compensation and load torque observation compensation is proposed. First, iterative learning control (ILC) is designed to address periodic disturbances and suppress periodic torque ripple. A load torque observation compensator is developed to counteract non-periodic disturbances, thereby enhancing the system’s robustness against uncertain disturbances. Second, numerical simulations compare the proposed method with sliding mode control (SMC), sliding mode control with load torque observation compensation (SMC + LO), and linear active disturbance rejection control (LADRC). The simulation results demonstrate that the proposed control strategy achieves reduced torque ripple, improved system tracking, and strong robustness. Finally, physical experiments are conducted, and the results closely align with the simulations. Both simulation and experimental outcomes confirm the effectiveness of the proposed control strategy in enhancing the speed performance of permanent magnet synchronous motors. Full article
(This article belongs to the Special Issue Power Electronics and Motor Control)
Show Figures

Figure 1

22 pages, 16114 KB  
Article
Chattering Reduction Using Various Switching Functions in the Sliding Mode Control Method for PMSM Drives
by Gijeong Yoon and Yeongsu Bak
Electronics 2026, 15(4), 816; https://doi.org/10.3390/electronics15040816 - 13 Feb 2026
Viewed by 219
Abstract
This paper proposes chattering reduction using various switching functions in the sliding mode control (SMC) method for permanent magnet synchronous motor (PMSM) drives. In general, a PI controller is used in PMSM control systems. However, the PI controller has limitations due to the [...] Read more.
This paper proposes chattering reduction using various switching functions in the sliding mode control (SMC) method for permanent magnet synchronous motor (PMSM) drives. In general, a PI controller is used in PMSM control systems. However, the PI controller has limitations due to the linear control structure when dealing with nonlinearities and uncertainties, and its low robustness to parameter variations and disturbances can lead to performance degradation when operating conditions change. To overcome these limitations, the SMC method has been researched. However, the traditional SMC method uses the signum function as the switching function, and the discontinuity of the signum function causes chattering. Therefore, this paper uses various improved continuous switching functions to improve the responsiveness without chattering. Simulation and experimental results confirm that these various switching functions enhance both the responsiveness and robustness against disturbances in PMSM drives. Full article
(This article belongs to the Special Issue Design and Control of Drives and Electrical Machines)
Show Figures

Figure 1

21 pages, 41229 KB  
Article
Research on a Sensorless Control Strategy for Permanent Magnet Synchronous Motors Based on Non-Singular Fast Terminal Sliding Mode Theory
by Min Ge, Guozhong Yao, Te Pu and Zhengjiang Wang
Appl. Sci. 2026, 16(4), 1767; https://doi.org/10.3390/app16041767 - 11 Feb 2026
Viewed by 272
Abstract
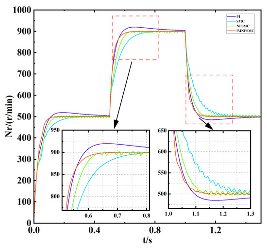
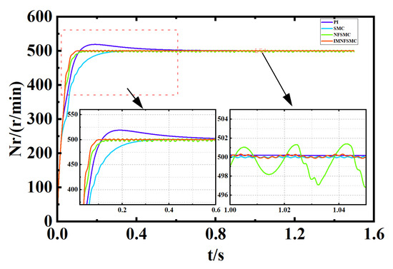
This study introduces a sensorless control approach for permanent magnet synchronous motors (PMSMs) that employs an Improved Non-Singular Fast Terminal Sliding Mode Controller (IMNFTSMC) and an Improved Non-Singular Fast Terminal Sliding Mode Observer (IMNFTSMO). The IMNFTSMC employs a novel hybrid reaching law and [...] Read more.
This study introduces a sensorless control approach for permanent magnet synchronous motors (PMSMs) that employs an Improved Non-Singular Fast Terminal Sliding Mode Controller (IMNFTSMC) and an Improved Non-Singular Fast Terminal Sliding Mode Observer (IMNFTSMO). The IMNFTSMC employs a novel hybrid reaching law and a continuous piecewise square root switching function to achieve faster convergence and effective chattering reduction over the conventional Sliding Mode Controller (SMC). This design successfully replaces two critical components: the discontinuous constant velocity term (a key component of the traditional SMC reaching law that is a primary source of control chattering in PMSM torque regulation) and the high-gain exponential term (which tends to induce overshoot during transient speed adjustments and degrade steady-state control precision). In the IMNFTSMO, a hybrid approach combining linear and non-singular terminal sliding modes eliminates phase lag associated with low-pass filtering in traditional sliding mode observers, improving rotor position and speed estimation accuracy. Stability of both IMNFTSMC and IMNFTSMO is rigorously proven using Lyapunov stability theory.Validation through extensive simulations and hardware experiments, including challenging zero-speed start, speed stepping, and load disturbance tests, confirms the proposed strategy provides improved dynamic response, effective anti-disturbance capability, and high accuracy for rotor position and speed estimation compared to established benchmark methods, demonstrating its feasibility for mid-to-low speed sensorless PMSM drives. Full article
(This article belongs to the Special Issue Power Electronics and Motor Control)
Show Figures

Figure 1

25 pages, 11268 KB  
Article
Multiphysics Field Coupling Analysis and Highly Robust Control Strategy with Coupling Functions of Vehicle-Mounted Flywheel Battery
by Xiaoyan Diao, Hongyuan Yin, Weiyu Zhang and Duyuan Lian
Actuators 2026, 15(2), 86; https://doi.org/10.3390/act15020086 - 1 Feb 2026
Viewed by 264
Abstract
The vehicle-mounted flywheel battery is a complex assembly of multiple components that is subject to intense multi-physical field coupling and external disturbances, which lead to real-time changes in system parameters and reduce control performance. The aim of this study is to enhance the [...] Read more.
The vehicle-mounted flywheel battery is a complex assembly of multiple components that is subject to intense multi-physical field coupling and external disturbances, which lead to real-time changes in system parameters and reduce control performance. The aim of this study is to enhance the robustness and dynamic stability of the system under emergency avoidance conditions. Its internal multiphysics field coupling is intricate, and external disturbances further intensify the cross-coupling. Building upon this method, a highly robust control strategy with real-time coupling characteristic parameters is designed in this study. First, a bidirectional coupling method combining electromagnetism, heat, and structure fields was proposed. This method captured the dynamic interactions among the magnetic, thermal, and structural fields. Based on this analysis, a coupling characteristic function was extracted to quantify the real-time coupling strength. Then, this function was mapped into the parameters of the sliding mode controller. Adaptive gain adjustment can be achieved without relying on an accurate system model. The key assumptions include linear material properties within the operational temperature range and negligible unsteady turbulence effects in airflow. Full article
Show Figures

Figure 1

17 pages, 3566 KB  
Article
Changing Climate–Productivity Relationships: Nonlinear Trends and State-Dependent Sensitivities in Eurasian Grasslands
by Cuicui Jiao, Shenqi Zou, Dongbao Xu, Xiaobo Yi and Qingxiang Li
Diversity 2026, 18(2), 77; https://doi.org/10.3390/d18020077 - 29 Jan 2026
Viewed by 252
Abstract
Grassland productivity faces heightened uncertainty under nonlinear climatic forcing. This study characterizes the spatial heterogeneity of nonlinear variations and nonstationary climate sensitivities across the Eurasian Steppe Region (EASR) to provide a scientific basis for its adaptive management. Using the aboveground net primary productivity [...] Read more.
Grassland productivity faces heightened uncertainty under nonlinear climatic forcing. This study characterizes the spatial heterogeneity of nonlinear variations and nonstationary climate sensitivities across the Eurasian Steppe Region (EASR) to provide a scientific basis for its adaptive management. Using the aboveground net primary productivity (ANPP) and climate datasets (1982–2015), we employed piecewise linear regression, LOWESS, and sliding window partial correlation analysis to identify temporal turning points and dynamic climate–productivity relationships. We identified distinct turning points in 1994 and 2008, revealing a phased “Increasing–Decreasing–Increasing” trajectory. A key novelty is the mapping of eight phased trajectory patterns, illustrating significant spatial heterogeneity in productivity trends. Furthermore, we demonstrate temporally reversed climate sensitivities. Notably, the sensitivity of ANPP to temperature shifted from positive to negative as warming-induced water stress intensified. While precipitation remains the dominant driver (68% of the region), its influence is nonstationary and state-dependent. In the Qinghai–Tibet Plateau, the limiting factor transitioned from thermal to water availability. Overall, productivity in the EASR appears to undergo phased reorganization under shifting climatic baselines. Our findings suggest that future ecosystem models should incorporate time-varying sensitivity parameters to account for nonlinear dynamics and potential trend reversals in grassland ecosystems. Full article
Show Figures

Figure 1

23 pages, 1858 KB  
Article
State Estimation-Based Disturbance Rejection Control for Third-Order Fuzzy Parabolic PDE Systems with Hybrid Attacks
by Karthika Poornachandran, Elakkiya Venkatachalam, Oh-Min Kwon, Aravinth Narayanan and Sakthivel Rathinasamy
Mathematics 2026, 14(3), 444; https://doi.org/10.3390/math14030444 - 27 Jan 2026
Viewed by 301
Abstract
In this work, we develop a disturbance suppression-oriented fuzzy sliding mode secured sampled-data controller for third-order parabolic partial differential equations that ought to cope with nonlinearities, hybrid cyber attacks, and modeled disturbances. This endeavor is mainly driven by formulating an observer model with [...] Read more.
In this work, we develop a disturbance suppression-oriented fuzzy sliding mode secured sampled-data controller for third-order parabolic partial differential equations that ought to cope with nonlinearities, hybrid cyber attacks, and modeled disturbances. This endeavor is mainly driven by formulating an observer model with a T–S fuzzy mode of execution that retrieves the latent state variables of the perceived system. Progressing onward, the disturbance observers are formulated to estimate the modeled disturbances emerging from the exogenous systems. In due course, the information received from the system and disturbance estimators, coupled with the sliding surface, is compiled to fabricate the developed controller. Furthermore, in the realm of security, hybrid cyber attacks are scrutinized through the use of stochastic variables that abide by the Bernoulli distributed white sequence, which combat their unpredictability. Proceeding further in this framework, a set of linear matrix inequality conditions is established that relies on the Lyapunov stability theory. Precisely, the refined looped Lyapunov–Krasovskii functional paradigm, which reflects in the sampling period that is intricately split into non-uniform intervals by leveraging a fractional-order parameter, is deployed. In line with this pursuit, a strictly (Φ1,Φ2,Φ3)ϱ dissipative framework is crafted with the intent to curb norm-bounded disturbances. A simulation-backed numerical example is unveiled in the closing segment to underscore the potency and efficacy of the developed control design technique. Full article
Show Figures

Figure 1

31 pages, 751 KB  
Review
Modeling and Control of Rigid–Elastic Coupled Hypersonic Flight Vehicles: A Review
by Ru Li, Bowen Xu and Weiqi Yang
Vibration 2026, 9(1), 8; https://doi.org/10.3390/vibration9010008 - 27 Jan 2026
Viewed by 640
Abstract
With the development of aerospace technology, hypersonic flight vehicles are evolving towards larger size, lighter weight, and higher performance. Their cross-domain maneuverability and extreme flight environment led to the rigid–flexible coupling effect and became the core bottleneck restricting performance improvement, seriously affecting flight [...] Read more.
With the development of aerospace technology, hypersonic flight vehicles are evolving towards larger size, lighter weight, and higher performance. Their cross-domain maneuverability and extreme flight environment led to the rigid–flexible coupling effect and became the core bottleneck restricting performance improvement, seriously affecting flight stability and control accuracy. This paper systematically reviews the research status in the field of control for high-speed rigid–flexible coupling aircraft and conducts a review focusing on two core aspects: dynamic modeling and control strategies. In terms of modeling, the modeling framework based on the average shafting, the nondeformed aircraft fixed-coordinate system, and the transient coordinate system is summarized. In addition, the dedicated modeling methods for key issues, such as elastic mode coupling and liquid sloshing in the fuel tank, are also presented. The research progress and challenges of multi-physical field (thermal–structure–control, fluid–structure–control) coupling modeling are analyzed. In terms of control strategies, the development and application of linear control, nonlinear control (robust control, sliding mode variable structure control), and intelligent control (model predictive control, neural network control, prescribed performance control) are elaborated. Meanwhile, it is pointed out that the current research has limitations, such as insufficient characterization of multi-physical field coupling, neglect of the closed-loop coupling characteristics of elastic vibration, and lack of adaptability to special working conditions. Finally, the relevant research directions are prospected according to the priority of “near-term engineering requirements–long-term frontier exploration”, providing Refs. for the breakthrough of the rigid–flexible coupling control technology of the new-generation high-speed aircraft. Full article
Show Figures

Figure 1

14 pages, 1363 KB  
Article
Nallan’s Direct Ray: An Innovative Gyroscopic-Guided Radiographic Device for Intraoral Radiography
by Nallan C. S. K. Chaitanya, Nada Tawfig Hashim, Vivek Padmanabhan, Riham Mohammed, Sharifa Jameel Hossain, Sadiah Fathima, Nurain Mohammad Hisham, Neeharika Satya Jyothi Allam, Shishir Ram Shetty, Rajanikanth Yarram and Muhammed Mustahsen Rahman
Diagnostics 2026, 16(3), 386; https://doi.org/10.3390/diagnostics16030386 - 25 Jan 2026
Viewed by 352
Abstract
Background: Intraoral radiography remains highly operator-dependent, with small deviations in beam angulation or receptor placement leading to geometric distortions, diagnostic inaccuracies, and repeated exposures. This pilot study introduces and evaluates a gyroscopic-guided, laser-assisted radiographic device designed to standardize cone positioning and improve [...] Read more.
Background: Intraoral radiography remains highly operator-dependent, with small deviations in beam angulation or receptor placement leading to geometric distortions, diagnostic inaccuracies, and repeated exposures. This pilot study introduces and evaluates a gyroscopic-guided, laser-assisted radiographic device designed to standardize cone positioning and improve the geometric reliability of bisecting-angle intraoral radiographs. Methods: Eighteen dental graduates and practitioners performed periapical radiographs on phantom models using a charge-coupled device (CCD) sensor over six months. Each participant obtained six standardized projections with and without the device, yielding 200 analysable radiographs. Radiographic linear measurements included tooth height (occluso–apical dimension) and tooth width (mesio-distal diameter), which were compared with reference values obtained using the paralleling technique. Radiographic errors—including cone cut, elongation, proximal overlap, sliding occlusal plane deviation, and apical cut—were recorded and compared between groups. Results: Use of the gyroscopic-guided device significantly enhanced geometric accuracy. Height measurements showed a strong correlation with reference values in the device group (r = 0.942; R2 = 0.887) compared with the non-device technique (r = 0.767; R2 = 0.589; p < 0.0001). Width measurements demonstrated similar improvement (device: r = 0.878; R2 = 0.770; non-device: r = 0.748; R2 = 0.560; p < 0.0001). Overall, the device reduced technical radiographic errors by approximately 62.5%, with significant reductions in cone cut, elongation, proximal overlap, sliding occlusal plane errors, and tooth-centering deviations. Conclusions: Integrating gyroscopic stabilization with laser trajectory guidance substantially improves the geometric fidelity, reproducibility, and diagnostic quality of intraoral radiographs. By minimizing operator-dependent variability, this innovation has the potential to reduce repeat exposures and enhance clinical diagnostics. Further clinical trials are recommended to validate performance in patient-based settings. Full article
(This article belongs to the Special Issue Advances in Dental Imaging, Oral Diagnosis, and Forensic Dentistry)
Show Figures

Figure 1

Back to TopTop