Tribological Behavior and Wear Prediction of Copper-Based Brake Pads for Monorail Cranes Under Complex Hygrothermal Environments
Abstract
1. Introduction
Literature Review
2. Experimental Materials, Equipment, and Methods
2.1. Experimental Materials and Specimen Preparation
- (1)
- Upper Specimen (Brake Pad)Commercial suspended monorail brake pads from a mining equipment manufacturer were selected (Figure 1). The material was identified as copper-based powder metallurgy (P/M), prepared via a high-temperature sintering process.Material Properties: Compared to traditional resin-based materials, this copper-based P/M material contains a copper matrix (heat conduction), iron powder (reinforcing phase), graphite (lubricating phase), and SiO2 (friction component). Due to its excellent high-temperature stability, high mechanical strength, and anti-fade performance under heavy loads, it is widely used in the braking systems of new-generation large-tonnage monorails.Geometry and Physical Parameters: The specimen is cylindrical with a diameter of 32 mm, a thickness of 10 mm, and a nominal contact area of 8.04 cm2 (calculated based on geometric dimensions). According to the inspection report, the measured density is 11.4 g/cm3, and the friction surface hardness is HRC .
- (2)
- Lower Specimen (Counterpart Rail)The counterpart used to simulate the monorail track was manufactured from standard 45# Steel (AISI 1045 Steel), a medium carbon structural steel commonly used in coal mine auxiliary transport tracks and transmission shafts.Processing and Surface State: The counterpart was machined into a rectangular plate with dimensions of 300 mm (L) × 150 mm (W) × 5 mm (H). To reproduce the authentic conditions, the steel plate surface was mechanically ground before the experiment to strictly control the initial surface roughness within the range of 3.2–6.3 m, simulating the hot-rolled or semi-finished surface texture of underground service rails.
2.2. Experimental Equipment and Environmental Simulation
- (1)
- Contact Configuration and Motion Mechanism: The tester adopts a “Flat-on-flat” contact configuration. The upper specimen (brake pad) is stationary, while the lower specimen (rail plate) is driven by a high-precision ball screw linear module to perform horizontal reciprocating linear motion. Stroke Setting: The single reciprocating stroke length is set to 250 mm. This stroke setting ensures that the brake pad remains fully within the effective range of the rail surface (300 mm length) during motion, while enabling the simulation of the “Zero-velocity Point” and stick–slip vibration phenomena observed in actual operations.
- (2)
- Loading and Data Acquisition: The normal load is applied vertically by a high-thrust electric linear actuator, capable of providing constant pressure with rapid response. The tangential friction force is calculated in real-time via a high-precision dynamic torque sensor mounted on the drive shaft, which converts the torque signal into friction force data through the screw lead ratio. All data is collected and processed by the upper computer software.
- (3)
- Multi-condition Environmental Simulation: To support the research on the comparative tribological behavior under different humidity levels, localized environmental simulation methods were adopted. Relative Dry Condition: Conducted in a naturally ventilated laboratory environment where the relative humidity is monitored and maintained at approximately RH. High-Humidity Condition: An artificial humidification system (ultrasonic atomizer) is directed at the contact interface to create a localized high-humidity zone. A hygrometer probe is placed near the friction interface to monitor the environment, ensuring the local relative humidity remains above 90% RH throughout the test.
2.3. Experimental Scheme and Procedures
- (1)
- Experimental Variable Settings: The detailed matrix of testing conditions involves three key variables. Environmental Condition: Relative Dry (50% RH) vs. High Humidity (90% RH). Load Gradient: Set at 500, 700, 1000, 1200, and 1500 N, covering the pressure range from light-load creeping to heavy-load emergency braking. Speed Gradient: The reciprocating frequencies were adjusted to correspond to average sliding speeds of 0.125, 0.146, 0.167, 0.188, and 0.208 m/s.
- (2)
- Testing Procedures: The testing process includes three distinct stages. Step I (Running-in): Given the large contact area of full-scale specimens, to eliminate the influence of machining asperities and establish conformal contact, a running-in process is conducted at 200 N/0.1 m/s for 10 min before the formal test, until the friction coefficient stabilizes. Step II (Reciprocating Wear Test): Formal tests are conducted according to the experimental matrix. Each condition is repeated 3 times to ensure statistical reliability. Step III (Post-processing and Measurement): After each test, the specimens are ultrasonically cleaned with acetone. Note that for high-humidity specimens, to eliminate weighing errors caused by potential moisture absorption (ensuring the accuracy of wear mass analysis), specimens are dried in an oven at 60 °C for 1 h before weighing. The mass loss () is then measured using a precision electronic balance (Accuracy: 0.001 g).
3. Experimental Results and Analysis
3.1. Macroscopic Influence of Load and Speed on Tribological Performance
- (1)
- Load Weakening and Energy Dissipation in Dry EnvironmentFigure 3 presents the statistical results of mean friction coefficient and wear mass under 5 different load conditions in a relatively dry environment (50% RH). The following analysis can be drawn from the data distribution trend:Non-linear Decrease in Friction Coefficient: As the normal load increases from 500 N to 1500 N, the average friction coefficient shows a monotonic downward trend (dropping from approx. 0.55 to 0.50). This load-weakening effect is likely associated with the frictional heat accumulation at the interface. Under high contact stress, although the sliding speed is relatively low, the substantial heat flux generated by the 1500 N load has the potential to increase the interface temperature. Experimental observations during this study showed that the bulk temperature of the specimen surface reached approximately 150 °C under the maximum load condition. According to frictional thermodynamics theory, such heat accumulation may induce localized thermal softening of the copper matrix, thereby reducing the shear strength of the surface layer and leading to the observed decrease in the nominal friction coefficient.Energy-Driven Characteristics of Wear Mass: Contrary to the friction coefficient, wear mass increases significantly with load. This conforms to the classical Archard’s Law of Wear, where wear volume is proportional to normal load. In the high-load range (1200–1500 N), the slope of wear mass growth slows down slightly, suggesting that under high pressure, debris might be compacted on the contact surface to form a protective third-body layer, mitigating direct material removal to some extent.
- (2)
- Mixed Lubrication and Damage Inhibition in High HumidityFigure 4 presents the test data under 90% RH high humidity conditions. Compared to the dry environment, the introduction of the water medium results in distinct evolutionary characteristics:Friction Reduction Induced by Mixed Effect: Under all load conditions, the wet friction coefficient is lower than the dry friction coefficient (overall decrease of approx. 15–20%). This is because the water film generates a partial mixed load-carrying effect at the contact interface, bearing part of the normal load and reducing direct asperity contact. Especially in the low-load zone (500–700 N), the water film is well-maintained, making the lubrication effect more significant.Wear Inhibition via Flushing and Cooling: Statistical data shows that wear mass under wet conditions is significantly lower than dry wear under equivalent loads. This numerical difference confirms the dual mechanism of Flushing and Cooling of the water medium: continuous water flow removes frictional heat, inhibiting matrix softening; simultaneously, it flushes hard particles out of the contact zone, blocking the occurrence of severe abrasive wear. This allows copper-based brake pads to demonstrate excellent wear life in humid underground environments.
3.2. Tribological Evolution Laws Under Speed–Load Coupling Effects
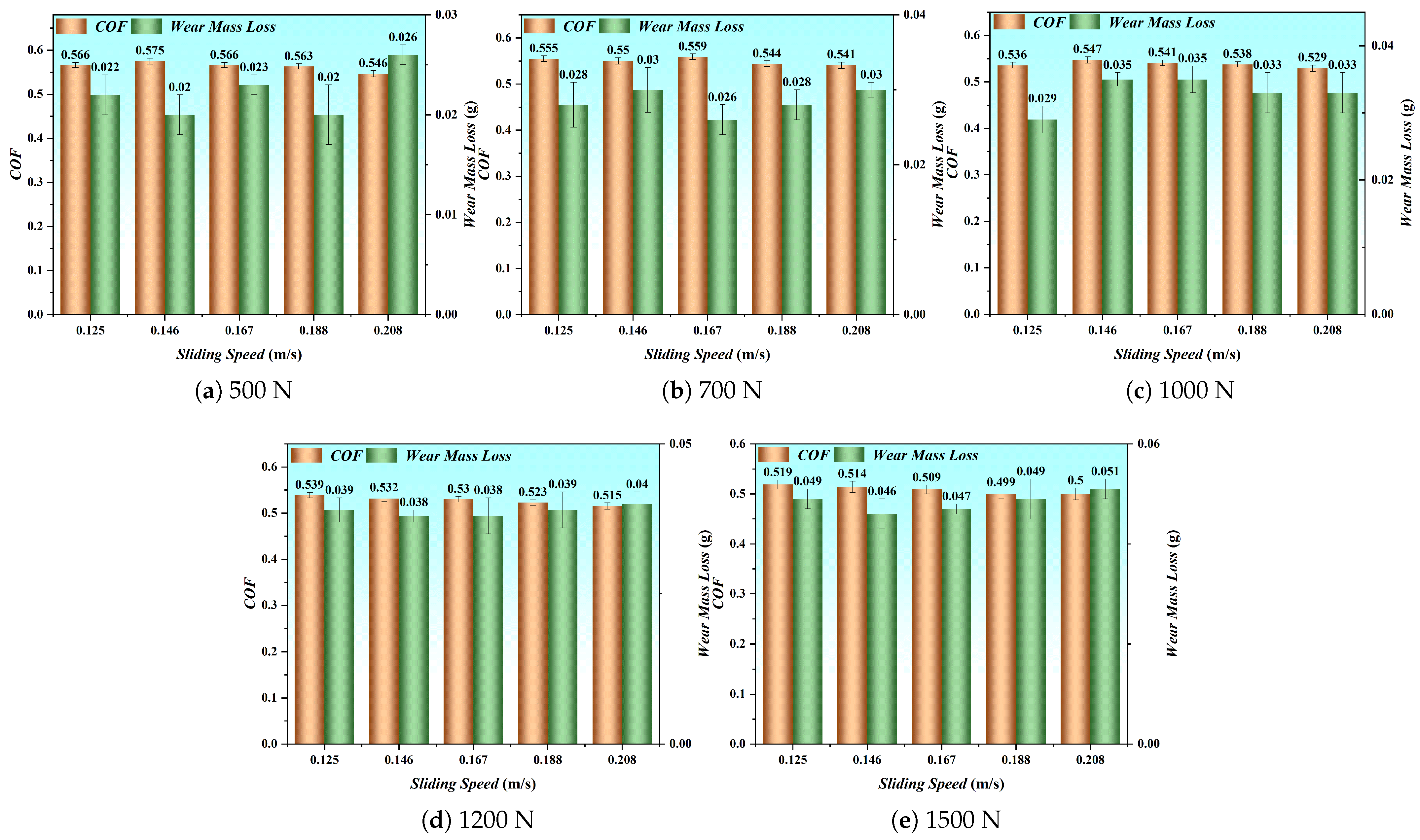
- (1)
- Non-linear Decay Characteristics of Friction CoefficientFigure 5 illustrates the evolution of the friction coefficient with sliding speed under different loads. The data indicates that the copper-based friction material exhibits typical negative velocity dependence and a load weakening effect.(a) Thermal Softening Mechanism under Dry Friction: As speed increased from 0.125 m/s to 0.208 m/s, the COF under all loads showed a downward trend. Especially under the heavy load of 1500 N, the COF dropped from 0.519 to 0.500. This phenomenon of “friction reduction under heavy load and high speed” conforms to the classic Bowden–Tabor adhesion theory. At high-pressure contact points during reciprocating motion, the flash temperature effect causes thermal softening of the copper matrix, reducing shear strength (). According to , although decreases, the growth rate of the contact area is lower than the load growth rate, leading to a decrease in the overall friction coefficient. Additionally, under the heavy load of 1500 N, wear debris is more easily compacted to form a continuous “third-body layer,” effectively isolating direct metal contact and further reducing frictional resistance.(b) Transition to Mixed Lubrication under Wet Friction: The wet friction coefficient was generally lower than that of dry friction, and the decrease with increasing speed was more pronounced (e.g., dropping from 0.434 to 0.410 under 1500 N). This indicates that the interfacial friction state is transitioning from boundary lubrication to mixed lubrication. Calculation indicates that under the experimental conditions ( m/s, – m), the theoretical film thickness ratio () remains well below 1, precluding the formation of a full fluid film. Therefore, the friction reduction is attributed not to full mixed lubrication, but to the load-sharing effect of localized water pockets and the significant reduction in surface energy due to water molecule adsorption.
- (2)
- Energy Dissipation Response of Wear MassFigure 6 reveals the evolution trend of wear mass with speed. Contrary to the friction coefficient, wear mass exhibited a significant “positive correlation,” which directly reflects the driving role of energy input ( value) on material damage.(a) Aggravation of Severe Wear under Dry Friction: Under the ultimate load of 1500 N, as speed increased to 0.208 m/s, the wear mass climbed to 0.051 g (the maximum value). This corresponds to a transition from mild abrasive wear to severe delamination wear. The immense frictional work input caused severe plastic deformation and fatigue spalling in the sub-surface metal. The bidirectional shear stress of reciprocating motion aggravated the propagation of fatigue cracks, leading to large delamination spalls.(b) Flushing and Cooling Effects under Wet Friction: Although wet wear mass increased with speed, it was significantly lower than dry wear under all conditions (maximum only 0.035 g). The wet environment demonstrated excellent damage-suppression capabilities. The cooling effect of the water medium promptly removed frictional heat, inhibiting thermal softening. Meanwhile, the flushing effect combined with reciprocating motion effectively flushed hard debris out of the contact zone, preventing accumulation and ploughing. This kept the wear mechanism under wet friction consistently in a milder state of micro-cutting.
3.3. Microscopic Wear Mechanism Analysis Based on SEM and EDS Characterization
- (1)
- Granular Spalling and Oxidative Wear under Dry ConditionsFigure 7a,b present the microscopic morphology of the friction surface under dry conditions, revealing distinct failure modes driven by mechanical fatigue and thermal accumulation. As shown in the SEM image (Figure 7a), the worn surface is characterized by severe granular spalling and the accumulation of loose debris. Distinct from the laminar delamination typically observed in homogeneous materials, the P/M surface exhibits matrix disintegration, where spherical particles are detached from the sintered matrix. This indicates that under high contact stress (1500 N), the fatigue fracture of sintering necks between powder particles occurred, leading to the rapid removal of material in the form of granular fragments. This failure mode correlates directly with the high wear mass ( g) recorded in Section 3.1. High-magnification observation (Figure 7b) provides physical evidence of significant surface deformation. In localized regions, the surface exhibits distinct tongue-like plastic flow characteristics, where the metal layer is smeared and elongated along the sliding direction. During the experiments, the bulk temperature of the specimen surface was observed to reach approximately 150 °C under the maximum load condition. Although precise in situ flash temperature at the asperities was not theoretically calculated in this study, the observed rheological morphology is highly consistent with the characteristics of thermal softening. It suggests that the instantaneous temperature at contact points likely reached the softening threshold of the copper matrix, causing it to behave like a viscous fluid. This provides morphological evidence supporting the load weakening hypothesis proposed in Section 3.1.
- (2)
- Mixed Polishing and Oxidation Suppression under High HumidityConversely, the worn surface under the high-humidity environment (90% RH) exhibits excellent surface integrity, as shown in Figure 7c,d. The low-magnification image (Figure 7c) reveals that the wet surface is free from deep fatigue cracks or large-scale spalling pits. The morphology is dominated by mild matrix erosion, indicating that the water medium effectively mitigated the subsurface shear stress. Crucially, high-magnification characterization (Figure 7d) demonstrates a remarkable polishing effect. The surface appears exceptionally smooth and flat, with no evidence of the severe plastic smearing or deep abrasive furrows observed in the dry state. This morphology strongly supports the dominance of mixed lubrication: the continuous water film effectively separated the contact asperities, transforming the contact mode from solid-to-solid to solid–liquid–solid.
3.4. Load Sensitivity Analysis at Experimental Parameter Boundaries
4. Construction and Comprehensive Verification of Wear Prediction Model Based on RSM
4.1. Establishment of Prediction Models
- L: Normal Load ();
- V: Sliding Speed ();
- : Friction Coefficient;
- W: Wear Mass ();
- : Random Error.
4.2. Physical Interpretation of Model Coefficients
- (1)
- Friction Coefficient Models ():Negative Interaction Term (): Both dry and wet friction models contain negative interaction terms ( and ). This mathematically confirms the load–speed coupling weakening effect observed in Chapter 3. That is, the friction coefficient drops most significantly when high load and high speed act simultaneously (high value), reflecting the mechanism of thermal softening or mixed lubrication enhancement.
- (2)
- Wear Mass Models (W):Positive Load Term (): The linear coefficient of load is positive in both environments, indicating that load is the primary driving force for wear. Negative Interaction in Wet Wear (): Notably, the interaction term for wet wear is negative (), whereas it is positive for dry wear (). This implies that in a wet environment, the water film effectively decouples the synergistic damage of load and speed, acting as a protective barrier under high-energy inputs.
4.3. Statistical Analysis and Model Adequacy Verification
4.4. Model Verification and Robustness Test
4.5. Comprehensive Performance Evaluation
- (1)
- Emergency Braking Scenario (Dry Preferred): The Dry condition (Red Zone) dominates in absolute “Friction Level” and “Load Capacity”. For emergency braking on steep slopes where maximum braking torque is the paramount safety criterion, the dry friction state provides a higher safety margin.
- (2)
- Continuous Operation Scenario (Wet/Humid Preferred): The Wet condition (Blue Zone) excels in “Friction Stability” and “Wear Resistance”. For operational scenarios such as long-distance speed regulation or uniform cruising, the high-humidity environment facilitates the formation of a stable mixed lubrication film. Although the peak braking force is slightly reduced, the significant reduction in wear rate and vibration favors the longevity and reliability of the braking system.
5. Conclusions and Prospects
5.1. Conclusions
- (1)
- Revealed the non-linear friction fade laws under “low-speed heavy-load” conditions: Experiments confirmed that the friction pair exhibited significant load weakening and negative speed dependence within the testing range (– m/s). The measured bulk temperature rise (reaching approximately 150 °C) and the observed “tongue-like plastic flow” on the worn surface collectively support the hypothesis that localized thermal softening of the copper matrix occurs under limit load conditions (1500 N). This softening reduces the shear strength of the surface material, leading to a moderate decrease in the friction coefficient while preventing catastrophic friction collapse.
- (2)
- Elucidated the dual regulation mechanism of underground high-humidity environments on friction and wear: Regarding the high-humidity environment (>90% RH) underground, the study found that the water medium played a significant regulatory role. On one hand, the mixed effect of the water film reduced the average friction coefficient by about 15–20% compared to dry conditions, suggesting that system pressure needs to be increased by about 1.2 times to compensate for braking force loss during wet rail braking. On the other hand, the flushing effect and cooling effect of the water flow effectively removed debris from the contact zone and suppressed temperature rise, cutting off the path to severe adhesive wear caused by heat accumulation. This resulted in a significantly lower wear rate under wet conditions, proving that the humid environment is actually beneficial for extending the service life of brake pads.
- (3)
- Constructed a multi-factor friction and wear prediction model based on RSM: To achieve continuous prediction of tribological performance under complex conditions, a quadratic polynomial RSM model including interaction terms was established. ANOVA analysis indicated that the interaction between load and speed () has an extremely significant effect on tribological performance. The model not only accurately quantified the “load–speed coupling weakening effect” but also passed the blind test verification at a non-sampled point (850 N) with an error < 5%. Radar chart evaluation based on this model indicates that dry conditions are more suitable for emergency braking requiring high torque, while wet conditions possess advantages in friction stability and wear resistance, favoring long-term equipment operation.
5.2. Prospects
- (1)
- In situ Visualization of Thermo-Mechanical Coupling Fields: The current study primarily inferred the thermal softening mechanism based on measured bulk temperatures and microscopic rheological morphology. Verification of the precise instantaneous flash temperature rise, especially under low-speed but heavy-load conditions, remains a critical task. Future work will introduce high-precision infrared thermal imaging technology or fiber Bragg grating sensing technology to construct a real-time monitoring system for the flash temperature field at the braking interface. The aim is to establish a more precise temperature–friction–wear 3D coupling model from a thermodynamic perspective, providing direct data support for optimizing the thermal stability of brake pad materials.
- (2)
- Full-scale Whole-machine Field Industrial Tests: To verify the applicability of the RSM model in more complex engineering environments, the next step will involve field industrial tests on actual full-scale monorail cranes. The focus will be on examining the dynamic response characteristics of brake pad friction performance under extreme conditions such as long-distance continuous downhill braking and emergency braking, further correcting and perfecting the laboratory prediction model to better serve engineering practices.
- (3)
- Research on Tribological Behavior under Multi-phase Complex Media: Considering the diversity of underground environments, future research will further expand the dimensions of environmental media. The focus will be on exploring the evolution laws of the third-body layer and wear mechanisms at the friction pair interface under the mixed action of multi-phase contaminants such as water–coal dust–oil pollution. This will facilitate the construction of a generalized braking safety theory system covering various extreme environments, laying a theoretical foundation for developing a new generation of high-performance, all-weather monorail brake pads.
Author Contributions
Funding
Data Availability Statement
Conflicts of Interest
References
- Popescu, F.D.; Radu, S.M.; Andras, A.; Brînas, I. Numerical modeling of mine hoist disc brake temperature for safer operation. Sustainability 2021, 13, 2874. [Google Scholar] [CrossRef]
- Belhocine, A.; Abdullah, O.I. Finite element analysis (FEA) of frictional contact phenomenon on vehicle braking system. Mech. Based Des. Struct. Mach. 2022, 50, 2961–2996. [Google Scholar] [CrossRef]
- Belhocine, A.; Abdullah, O.I. A thermomechanical model for the analysis of disc brake using the finite element method in frictional contact. J. Eng. Res. 2022, 10, 128–141. [Google Scholar] [CrossRef]
- Ay, C.; Demir, A. Investigation of thermo-mechanical behavior in brake disc–pad couple using the finite element method. Surf. Rev. Lett. 2022, 29, 2250117. [Google Scholar] [CrossRef]
- Fan, J.; Wang, N.; Wang, X.; Hao, Y.; Wu, S.; Wang, Y.; Liu, J. Effect of the coke/flake graphite ratio on the microstructure and properties of Cu-based powder metallurgy friction materials. J. Mater. Eng. Perform. 2022, 31, 10378–10392. [Google Scholar] [CrossRef]
- Zheng, D.; Zhao, X.; An, K.; Chen, L.; Zhao, Y.; Khan, D.F.; Qu, X.; Yin, H. Effects of Fe and graphite on friction and wear properties of brake friction materials for high-speed and heavy-duty vehicles. Tribol. Int. 2023, 178, 108061. [Google Scholar] [CrossRef]
- Zhang, X.; Zhang, Y.; Du, S.; Yang, Z.; He, T.; Li, Z. Study on the tribological performance of copper-based powder metallurgical friction materials with Cu-coated or uncoated graphite particles as lubricants. Materials 2018, 11. [Google Scholar] [CrossRef]
- Li, H.; Liu, Y.; Zheng, B.; Wang, S.; Yi, Y.; Zhang, Y.; Li, W. On the tribological behaviors of Cu matrix composites with different Cu-coated graphite content. J. Mater. Res. Technol. 2023, 25, 83–94. [Google Scholar] [CrossRef]
- Bouillanne, O.; Mollon, G.; Saulot, A.; Berthier, Y. Wear in progress: How third body flow controls surface damage. Tribol. Lett. 2024, 72, 84. [Google Scholar] [CrossRef]
- Jin, L.; Zhang, S.; Ru, G.; Yin, J.; Shi, L.; Li, X.; Sha, Z.; Liu, Y. Simulation study on the evolution behaviour of endogenous third bodies in the rough friction interface during braking and their impact. Machines 2025, 13, 83. [Google Scholar] [CrossRef]
- Zhang, P.; Zhang, L.; Fu, K.; Wu, P.; Cao, J.; Shijia, C.; Qu, X. Fade behaviour of copper-based brake pad during cyclic emergency braking at high speed and overload condition. Wear 2019, 428, 10–23. [Google Scholar] [CrossRef]
- Zhang, Q.; Liu, H.; He, Z.; Mo, J.; Jin, W.; Shen, M.; Zhao, C. Impact of initial braking temperature on thermal-induced brake fade during long-downhill operations. Eng. Fail. Anal. 2025, 167, 109077. [Google Scholar] [CrossRef]
- Lu, C.; Jiang, X.; Chen, X.; Mo, J. Experimental study on the evolution of friction and wear behaviours of railway friction block during temperature rise under extreme braking conditions. Eng. Fail. Anal. 2022, 141, 106621. [Google Scholar] [CrossRef]
- Wu, J.; Yang, H.; Dong, P.; Fang, Y.; Zhang, X.; Zhang, J.; Zhang, C.; Xu, B. Effect of various compositions on high-temperature wear failure mechanism of copper-based friction components. Eng. Fail. Anal. 2025, 170, 109275. [Google Scholar] [CrossRef]
- Xiao, J.K.; Li, T.T.; Chen, J.; Zhang, C. Effects of oxidation temperature on the microstructure and tribological performance of Cu-based brake pad for high-speed train. Wear 2023, 514, 204559. [Google Scholar] [CrossRef]
- Xiao, J.K.; Xiao, S.X.; Chen, J.; Zhang, C. Wear mechanism of Cu-based brake pad for high-speed train braking at speed of 380 km/h. Tribol. Int. 2020, 150, 106357. [Google Scholar] [CrossRef]
- Zhang, M.; Ou, Y.; Yuan, H.; Pan, J.; Ma, L. Simulation experiment study on friction and wear of materials under high humidity conditions. Ind. Lubr. Tribol. 2023, 75, 672–678. [Google Scholar] [CrossRef]
- Ding, S.; Zhang, M.; Ou, Y.; Ma, L. Study on the influence of friction and wear properties of high-speed rail brake materials under humidity environment and temperature conditions. Materials 2023, 16, 1610. [Google Scholar] [CrossRef]
- Chen, Z.; Chen, Y.; Tang, W.; Zhang, Z.; Xue, W.; Guo, H.; Han, F. Reduce wear and control friction for copper-based powder metallurgy wet friction material by optimizing porosity, surface roughness and surface texture. Alex. Eng. J. 2025, 129, 722–737. [Google Scholar] [CrossRef]
- Yi, X.; Xu, H.; Jin, G.; Liu, X. Boundary slip and lubrication mechanisms of organic friction modifiers with effect of surface moisture. Friction 2024, 12, 1483–1498. [Google Scholar] [CrossRef]
- Mekgwe, G.N.; Akinribide, O.J.; Akinwamide, S.O.; Olorundaisi, E.; Gonya, E.M.; Olubambi, P.A. Tribological properties of graphitized TiC0.5N0.5 based composites using response surface methodology. Tribol. Int. 2024, 199, 109966. [Google Scholar] [CrossRef]
- Sathiyamurthy, S.; Saravanakumar, S.; Vinoth, V. Enhancing tribological performance of hybrid fiber-reinforced composites through machine learning and response surface methodology. J. Reinf. Plast. Compos. 2024, 44, 2306–2324. [Google Scholar] [CrossRef]
- Borgaonkar, A.; Syed, I. Tribological investigation of composite MoS2-TiO2-ZrO2 coating material by response surface methodology approach. J. Tribol. 2021, 144, 031401. [Google Scholar] [CrossRef]
- Saravanan, S.; Sengottaiyan, S.; Aravind, R.; Krishnakumar, S. Assessment of the tribological behavior of WAAM-fabricated SS316L through advanced ensemble machine learning predictions and RSM-based optimization. J. Mater. Eng. Perform. 2025, 35, 1777–1798. [Google Scholar] [CrossRef]
- Yadav, D.K.; Mandal, A.B.; Sharde, P.; Marandi, L.; Sinha, S. Tribological behavior of a Ti42Nb42Mo6Fe5Cr5 complex concentrated alloy and prediction through response surface methodology based mathematical modeling. J. Alloys Metall. Syst. 2024, 7, 100100. [Google Scholar] [CrossRef]
- Kolawole, F.O.; Ayeni, A.T.; Kolawole, S.K.; Kolade, O.S.; Owa, A.F. Statistical models for predicting wear and friction coefficient of valve tappet using ANOVA. Tribol. Ind. 2024, 46, 210. [Google Scholar] [CrossRef]










| Element | Dry Condition | Wet Condition | Change Trend | Mechanism Implication |
|---|---|---|---|---|
| Cu | 16.65 | 78.56 | Sharp Increase | Exposure of clean matrix (Flushing) |
| C | 46.86 | 11.34 | Decrease | Removal of tribofilm/graphite |
| O | 26.81 | 3.97 | Drastic Decrease (≈ 6.7×) | Oxidation Suppression |
| Fe | 4.32 | 2.91 | Decrease | Reduced Adhesive Transfer |
| Parameter | Load Variation | Dry Wear Growth | Wet Wear Growth 1 |
|---|---|---|---|
| Range | N | g | g |
| Ratio | 3.0× | 1.96× | 2.19× |
| Source | Sum of Squares | df | Mean Square | F-Value | p-Value |
|---|---|---|---|---|---|
| Model | 5 | 87.75 | |||
| L-Load | 1 | 3.81 | 0.0659 | ||
| V-Speed | 1 | 4.73 | 0.0425 | ||
| 1 | 0.28 | 0.6020 | |||
| 1 | 0.93 | 0.3470 | |||
| 1 | 7.06 | 0.0156 | |||
| Residual | 19 | ||||
| Cor Total | 24 |
| Response | Adj- | Pred- | Std. Dev. | |
|---|---|---|---|---|
| Dry COF | 0.9585 | 0.9476 | 0.9447 | 0.0047 |
| Wet COF | 0.9603 | 0.9499 | 0.9471 | 0.0037 |
| Dry Wear Mass | 0.9624 | 0.9524 | 0.9498 | 0.0020 |
| Wet Wear Mass | 0.9582 | 0.9472 | 0.9443 | 0.0016 |
| Parameter | RSM Predicted Value | Experimental Value | Relative Error (%) |
|---|---|---|---|
| Friction Coefficient | 0.435 | 0.438 | −0.68% |
| Wear Mass (g) | 0.0215 | 0.0207 | +3.86% |
Disclaimer/Publisher’s Note: The statements, opinions and data contained in all publications are solely those of the individual author(s) and contributor(s) and not of MDPI and/or the editor(s). MDPI and/or the editor(s) disclaim responsibility for any injury to people or property resulting from any ideas, methods, instructions or products referred to in the content. |
© 2026 by the authors. Licensee MDPI, Basel, Switzerland. This article is an open access article distributed under the terms and conditions of the Creative Commons Attribution (CC BY) license.
Share and Cite
Xue, M.; Tong, R.; Lu, H.; Shi, Z.; Jiang, F. Tribological Behavior and Wear Prediction of Copper-Based Brake Pads for Monorail Cranes Under Complex Hygrothermal Environments. Lubricants 2026, 14, 98. https://doi.org/10.3390/lubricants14020098
Xue M, Tong R, Lu H, Shi Z, Jiang F. Tribological Behavior and Wear Prediction of Copper-Based Brake Pads for Monorail Cranes Under Complex Hygrothermal Environments. Lubricants. 2026; 14(2):98. https://doi.org/10.3390/lubricants14020098
Chicago/Turabian StyleXue, Minti, Ruihua Tong, Hao Lu, Zhiyuan Shi, and Fan Jiang. 2026. "Tribological Behavior and Wear Prediction of Copper-Based Brake Pads for Monorail Cranes Under Complex Hygrothermal Environments" Lubricants 14, no. 2: 98. https://doi.org/10.3390/lubricants14020098
APA StyleXue, M., Tong, R., Lu, H., Shi, Z., & Jiang, F. (2026). Tribological Behavior and Wear Prediction of Copper-Based Brake Pads for Monorail Cranes Under Complex Hygrothermal Environments. Lubricants, 14(2), 98. https://doi.org/10.3390/lubricants14020098

