Sign in to use this feature.

Years

Between: -

Subjects

remove_circle_outline
remove_circle_outline
remove_circle_outline
remove_circle_outline
remove_circle_outline
remove_circle_outline
remove_circle_outline

Journals

Article Types

Countries / Regions

Search Results (22)

Search Parameters:
Keywords = lignin chromophores

Order results
Result details
Results per page
Select all
Export citation of selected articles as:
42 pages, 10830 KB  
Review
Toward the Optimization of the Optical Behavior of Transparent Wood: Current State of the Art and Perspectives
by Diego Pugliese and Giulio Malucelli
Polymers 2025, 17(24), 3276; https://doi.org/10.3390/polym17243276 - 10 Dec 2025
Viewed by 474
Abstract
Transparent wood (TW) is a type of bio-based optical composite that combines wood’s hierarchical microstructure with polymers’ tailored optical properties to achieve high transmittance and controlled light scattering. TW is developed by removing lignin or modifying lignin chromophores and infiltrating a polymer whose [...] Read more.
Transparent wood (TW) is a type of bio-based optical composite that combines wood’s hierarchical microstructure with polymers’ tailored optical properties to achieve high transmittance and controlled light scattering. TW is developed by removing lignin or modifying lignin chromophores and infiltrating a polymer whose refractive index closely matches that of the delignified wood framework. This review critically examines the parameters governing transparency in millimeter-thick TW, including the influence of wood species, delignification and bleaching strategies, and polymer selection for infiltration and polymerization/curing. The discussion emphasizes the interplay between microstructural anisotropy, refractive index matching, and processing-induced defects, which collectively determine light transmittance and haze. The review summarizes current progress toward achieving glass-like transparency in the millimeter range, highlighting the advances and remaining challenges in optimizing TW for scalable structural and functional applications. Full article
(This article belongs to the Special Issue Transparent Wood: Current Achievements and Ongoing Challenges)
Show Figures

Graphical abstract

12 pages, 1980 KB  
Article
The Study on the Optimization of Composite Enzyme Preparations for Deinking of Old Newsprint Paper
by Yujiao Bi, Zhonghao Deng, Feng Guo, Jinjin Wang, Qun Li, Xiuzhen Wang, Fuping Lu and Ming Li
Sustainability 2025, 17(23), 10702; https://doi.org/10.3390/su172310702 - 29 Nov 2025
Viewed by 374
Abstract
Deinking is a key step in the recycling of waste paper. To address the problems of traditional chemical deinking, which generates large amounts of highly polluted wastewater and increases environmental pressure and treatment costs, as well as the issues of insufficient pulp brightness [...] Read more.
Deinking is a key step in the recycling of waste paper. To address the problems of traditional chemical deinking, which generates large amounts of highly polluted wastewater and increases environmental pressure and treatment costs, as well as the issues of insufficient pulp brightness and high effective residual ink concentration (ERIC), a study on enzymatic deinking of old newsprint paper (ONP) was conducted. By optimizing the ratio of lipase, cellulase, amylase, and xylanase, a composite enzyme preparation for ONP deinking was successfully developed, and the corresponding deinking process was established. The composition of the composite enzyme preparation is as follows: Lipase 1.5 U/g oven-dried pulp (ODP), Cellulase 2 U/g ODP, Amylase 1.5 U/g ODP, and Xylanase 2 U/g ODP. When the composite enzyme preparation was used for enzymatic deinking, compared with chemical deinking, the brightness increased by 3.52% ISO, ERIC decreased by 9.12 ppm, and the physical properties of the paper were improved to varying degrees. The deinking efficiency was significantly superior to that of chemical deinking, while the usage of chemical reagents was effectively reduced. Fourier transform infrared spectroscopy (FTIR) and scanning electron microscopy (SEM) were further used to investigate the effect of the composite enzyme on fiber structure and its possible synergistic mechanism: the surface structure and hydrogen bond network of fibers were altered, thereby reducing the content of chromophores such as hydroxyl, carbonyl, and benzene ring groups as well as residual lignin, and facilitating the separation of ink from the fiber surface. This study provides support for the development of an environmentally friendly waste paper recycling process and contributes to promoting the sustainable development of the papermaking industry. Full article
Show Figures

Figure 1

18 pages, 28407 KB  
Article
Dynamic Weathering Behavior of Heat-Treated Chinese Fir: Surface Properties, Chemical Composition, and Microstructure
by Yun Liu, Chenggong Gao, Qingbo Wang, Bekbolati Hadili, Yufeng Miao, Xinjie Cui and Junji Matsumura
Polymers 2025, 17(23), 3143; https://doi.org/10.3390/polym17233143 - 26 Nov 2025
Viewed by 384
Abstract
Heat-treated wood is widely used for its eco-friendliness and aesthetic appeal. However, it is prone to fading under ultraviolet (UV) radiation, which diminishes its decorative effect and shortens its service life. To clarify the performance evolution and degradation mechanisms of heat-treated wood, Chinese [...] Read more.
Heat-treated wood is widely used for its eco-friendliness and aesthetic appeal. However, it is prone to fading under ultraviolet (UV) radiation, which diminishes its decorative effect and shortens its service life. To clarify the performance evolution and degradation mechanisms of heat-treated wood, Chinese fir, treated at 190 °C under vacuum, was subjected to artificial weathering, and the dynamic changes in surface appearance, chemical composition, and microstructure were monitored. The results show that after artificial weathering, both heat-treated and untreated wood exhibited similar surface color change trends, characterized by darkening, yellowing, and reddening, but heat treatment significantly inhibited surface color changes. After 372 h of weathering, the total color change of heat-treated wood (ΔE = 24.05) was smaller than that of the untreated wood (ΔE = 37.78), and its yellowness index (b* = 58.93%) was also far lower than the untreated group (b* = 119.85%). Additionally, the gloss of heat-treated Chinese fir increased by 17% during weathering. However, as weathering progressed, the protective effect of heat treatment on the appearance gradually weakened, and it could not prevent long-term structural breakdown. The improved color stability is closely linked to condensed lignin and unsaturated phenolic chromophores, while the preferential thermal decomposition of hemicelluloses creates “weathering-vulnerable zones”. This study provides both a theoretical basis for understanding the weathering behavior of heat-treated wood and practical guidance for optimizing wood protection technologies. Full article
(This article belongs to the Special Issue New Challenges in Wood and Wood-Based Materials, 4th Edition)
Show Figures

Graphical abstract

13 pages, 3862 KB  
Article
Discolouration and Chemical Changes of Beech Wood After CO2 Laser Engraving
by Jozef Kúdela, Ivan Kubovský and Michal Andrejko
Forests 2024, 15(12), 2211; https://doi.org/10.3390/f15122211 - 16 Dec 2024
Cited by 1 | Viewed by 1295
Abstract
This study evaluated the influence of infrared laser radiation produced by a CO2 laser, performing under different engraving parameters, on the colour changes and chemical composition of a beech wood surface. The results showed that the lightness clearly decreased with increasing laser [...] Read more.
This study evaluated the influence of infrared laser radiation produced by a CO2 laser, performing under different engraving parameters, on the colour changes and chemical composition of a beech wood surface. The results showed that the lightness clearly decreased with increasing laser power and density. At the highest laser power and the highest raster density, the ΔL* value was 51.3. The values of coordinates a* and b* moderately increased up to a raster density of 5 mm−1; then, with a subsequent raster density increase, the values of these coordinates decreased again. However, the coordinate values were positive in all cases. Even the lowest laser power and raster density resulted in conspicuous discolouration or even a completely new colour compared to the original (ΔE = 10) of the beech wood surface. Further increases in the laser power and raster density resulted in progressively pronounced colour differences and a darker brown colour of the surface. The ATR-FTIR chemical analysis of the beech wood surface revealed that discolouration was mainly caused by heat-induced processes associated with the degradation of carbonyl groups (C=O) in lignin and hemicelluloses. The splitting of C=O bonds induced changes in the content of chromophores responsible for the natural wood colour and for the engraving-related discolouration. The study demonstrates that the amount of energy supplied onto the wood surface by a laser beam using diverse combinations of radiation parameters can be represented by a single variable: the total irradiation dose. The functional relation detected between this variable and the colour differences may serve as a basis for using a controlled laser beam for targeted wood surface discolouration to improve the quality of patterns transferred onto a wood surface. Knowledge of this relation will enable the targeted setting of the laser parameters during engraving so that the laser beam can be used as a tool for transferring high-quality patterns onto wood surfaces. Full article
(This article belongs to the Special Issue Phenomenon of Wood Colour)
Show Figures

Figure 1

19 pages, 29205 KB  
Article
The Influence of Addition of Expired Pharmaceuticals on Thermal Behaviour of Selected Types of Biomass
by Andrzej Strojwas, Valentina Zubkova, Dariusz Banas and Ilona Stabrawa
Energies 2024, 17(12), 2809; https://doi.org/10.3390/en17122809 - 7 Jun 2024
Cited by 2 | Viewed by 1683
Abstract
The influence of 2 wt.% additives of expired paracetamol and naproxen on the thermal behaviour of densified samples of pea husks (PH), corncobs (CC), and sunflower inflorescences (SI) was studied using an analytical TG/FTIR unit. Gaseous, liquid, and solid pyrolysis products were evaluated [...] Read more.
The influence of 2 wt.% additives of expired paracetamol and naproxen on the thermal behaviour of densified samples of pea husks (PH), corncobs (CC), and sunflower inflorescences (SI) was studied using an analytical TG/FTIR unit. Gaseous, liquid, and solid pyrolysis products were evaluated using XRD, SEM, and EDX techniques along with FT-IR, ATR, and UV spectroscopies. It was found that the additives changed the yield and composition of pyrolysis products differently. The addition of paracetamol increases the contribution of guaiacyl rings in the condensed material of all samples, and the addition of naproxen—that of chromophores originating from the decomposition of lignin. The additives diversely affected the contribution of hydrocarbons in the composition of volatile products of pyrolysis: they decreased this contribution in PH samples, increased it in SI samples, and did not change in CC samples. The additives used changed the morphology and composition of organic and inorganic parts of pyrolyzed biomass. These changes in inorganics caused the changes in the composition of pyrolysis products. The conducted research proves not only the possibility of the utilization of expired pharmaceuticals during their pyrolysis with densified PH and CC samples but also the ability to reduce the undesirable hydrocarbons in the obtained volatile products. Full article
(This article belongs to the Special Issue Advances in Bioenergy and Waste-to-Energy Technologies)
Show Figures

Figure 1

17 pages, 6534 KB  
Article
The Effect of CO2 Laser Engraving on the Surface Structure and Properties of Spruce Wood
by Jozef Kúdela, Michal Andrejko and Ivan Kubovský
Coatings 2023, 13(12), 2006; https://doi.org/10.3390/coatings13122006 - 26 Nov 2023
Cited by 11 | Viewed by 2438
Abstract
This work appraises the influence of CO2 laser irradiation on mass loss, morphology, chemical changes and discolouration of spruce wood surfaces. The amount of energy applied to the surface was expressed as the total irradiation dose, which was demonstrated to have a [...] Read more.
This work appraises the influence of CO2 laser irradiation on mass loss, morphology, chemical changes and discolouration of spruce wood surfaces. The amount of energy applied to the surface was expressed as the total irradiation dose, which was demonstrated to have a strong impact on increasing wood weight loss. Along with increasing mass loss, surface roughness also increased, resulting from the differences in density between the early wood and late wood. The evaluated roughness parameters increased linearly with increasing irradiation dose and mass loss. At the maximum irradiation dose, the Ra parameter value parallel to the fibre direction showed a 6-fold increase; perpendicular to the grain, the increase was as much as 33.5-fold. Similar differences were also observed for the parameter Rz. At the lowest laser power and the lowest raster density, the engraved spruce wood surface exhibited some evidence of discolouration (ΔE* ≅ 9). An additional increase in the amount of supplied energy clearly resulted in a novel surface colour compared to the original (ΔE* = 12). The chemical analysis of the wood surface revealed that the discolouration was mainly caused by heat-induced cleavage of C=O groups in the lignin and hemicellulose structures. Part of these structures (so-called chromophores) are responsible for the natural colour of the wood as well as for colour changes caused by engraving. The detected dependences of the wood mass loss and colour values on the total radiation dose are the basis for achieving targeted modifications of spruce wood surfaces using a laser beam. Full article
Show Figures

Figure 1

11 pages, 3365 KB  
Article
Study on the Discoloration Mechanism of Eucalyptus Wood during Thermal Treatment in Different Media
by Peng Zhang, Jianmin Gao, Fu Liu, Yao Chen and Yao Peng
Polymers 2023, 15(7), 1599; https://doi.org/10.3390/polym15071599 - 23 Mar 2023
Cited by 6 | Viewed by 2229
Abstract
Chromophore structures in wood are the core elements for regulating wood color. Thermal treatment can regulate the color of wood, thus increasing its added value. In this study, conventional thermal treatment was used to regulate the color of Eucalyptus, in order to make [...] Read more.
Chromophore structures in wood are the core elements for regulating wood color. Thermal treatment can regulate the color of wood, thus increasing its added value. In this study, conventional thermal treatment was used to regulate the color of Eucalyptus, in order to make its color close to the precious wood species Burma padauk. The color change in Eucalyptus wood was analyzed using the chromaticity index and UV–Vis. The chromophore structures in the treated wood and their discoloration mechanisms were characterized via FTIR, XPS, NMR, etc. The results showed that the color of eucalyptus could be regulated via thermal treatment to become more similar to the color of Burma padauk under both saturated steam and hot air. The treated wood showed a color difference in the 400~500 nm region in spectral absorption. The changes in the chromophore structures of wood were accompanied by the degradation of hemicelluloses. Meanwhile, demethoxylation occurred in the syringyl structure G of lignin, which led to the polymerization of lignin and decreased the lightness value of wood. Moreover, the number of conjugated structures in the chromophore groups increased, which caused the color of the wood to tend toward red. This study provides a reference for the color regulation of wood, and the mechanisms are also discussed. Full article
(This article belongs to the Section Biobased and Biodegradable Polymers)
Show Figures

Figure 1

27 pages, 1201 KB  
Review
A Review of Biomass-Derived UV-Shielding Materials for Bio-Composites
by Tae Hoon Kim, Seung Hyeon Park, Seoku Lee, A.V.S.L. Sai Bharadwaj, Yang Soo Lee, Chang Geun Yoo and Tae Hyun Kim
Energies 2023, 16(5), 2231; https://doi.org/10.3390/en16052231 - 25 Feb 2023
Cited by 30 | Viewed by 10611
Abstract
The adverse effects of UV (ultraviolet) radiation on polymeric materials and organic constituents can damage the molecular structure of human skin and polymeric materials, resulting in their degradation. Therefore, additives or reagents for UV-shielding must be used in related applications, including polymer compounds [...] Read more.
The adverse effects of UV (ultraviolet) radiation on polymeric materials and organic constituents can damage the molecular structure of human skin and polymeric materials, resulting in their degradation. Therefore, additives or reagents for UV-shielding must be used in related applications, including polymer compounds and skin cosmetics. Bio-based polymers have shown great potential as alternatives to conventional metallic and organic materials (e.g., TiO2 and ZnO) in various applications; therefore, natural products have gained attention as a potential resource to overcome UV-induced health and environmental problems. In particular, biomass-derived materials such as lignin, fiber, and silica have been investigated as UV-shielding materials owing to their biocompatibility, biodegradability, and low carbon emissions. In this review, the UV-shielding effect and potential of various biomass-derived materials, such as silica, nanocellulose, and fibers, are reviewed. Among them, lignin is considered a promising UV-shielding material because of the presence of chromophores and functional groups capable of absorbing UV radiation of all ranges. Full article
Show Figures

Figure 1

13 pages, 2462 KB  
Article
Colour and Chemical Changes of Black Locust Wood during Heat Treatment
by František Kačík, Ivan Kubovský, Jiří Bouček, Richard Hrčka, Milan Gaff and Danica Kačíková
Forests 2023, 14(1), 73; https://doi.org/10.3390/f14010073 - 30 Dec 2022
Cited by 26 | Viewed by 3859
Abstract
Black locust is a fast-growing deciduous tree species with multiple industrial purposes due to its valuable traits. However, the heterogeneity of colour distribution between sapwood and heartwood limits its application. Thermal modification is an environment-friendly technology for improving various wood properties, especially dimensional [...] Read more.
Black locust is a fast-growing deciduous tree species with multiple industrial purposes due to its valuable traits. However, the heterogeneity of colour distribution between sapwood and heartwood limits its application. Thermal modification is an environment-friendly technology for improving various wood properties, especially dimensional stability, decay resistance, and colour homogeneity. In this work, black locust (Robinia pseudoacacia L.) wood samples were thermally modified at temperatures of 160, 180, and 210 °C. Extractives and main wood components were analysed by wet chemical methods, colour was measured by spectrometry, and structural changes by Fourier transform infrared spectroscopy. The obtained results show that the darkening of black locust wood, unlike other wood species of the temperate zone, is mainly caused by changes in extractives. Their content decreases during thermal treatment, but new chromophores are formed, especially in quinones. Degradation of hemicelluloses and the partial degradation of cellulose also contribute to colour changes. At higher temperatures, condensation reactions can occur in lignin, leading to the formation of some chromophores. Statistical analysis confirmed that temperature can be considered a very significant factor affecting the colour of the wood surface. Full article
(This article belongs to the Special Issue Performance and Modification of Wood and Wood-Based Materials)
Show Figures

Figure 1

10 pages, 2015 KB  
Article
Relation of Chemical Composition and Colour of Spruce Wood
by Viera Kučerová, Richard Hrčka and Tatiana Hýrošová
Polymers 2022, 14(23), 5333; https://doi.org/10.3390/polym14235333 - 6 Dec 2022
Cited by 12 | Viewed by 2833
Abstract
The visual inspection of fresh cut spruce wood (Picea abies, L. Karst.) showed the variability of its colour. Wood visual inspection is a part of wood quality assessment, for example, prior to or after its processing. The detail spruce wood colour [...] Read more.
The visual inspection of fresh cut spruce wood (Picea abies, L. Karst.) showed the variability of its colour. Wood visual inspection is a part of wood quality assessment, for example, prior to or after its processing. The detail spruce wood colour analysis was performed using spectrophotometric data. The colour was measured by the bench-top spectrophotometer CM-5 Konica Minolta. The spectrophotometer was calibrated with a built-in white standard and on air. The whole analysis was performed in an xy chromaticity diagram supplemented with coordinate Y and CIE L*a*b* colour spaces. The ratio of the white chromophore amount to the amount of all achromatic chromophores is related to the Y coordinate. The ratio of the chromatic chromophore amount to all chromophores amount is saturation. The constructed model of the spruce wood colour is composed of four chromophores. The white chromophore belongs to holocellulose. The black chromophore belongs to lignin. The saturation is influenced by two chromophores. One of them belongs to extractives, another to lignin. The amounts of chromophores correlated with the spruce wood chemical composition. The chemical composition was measured using the procedures of Seifert, Wise, Sluiter, and ASTM. Moreover, the wood colour is affected by the moisture content. Full article
(This article belongs to the Special Issue Biodegradable and Natural Polymers)
Show Figures

Figure 1

14 pages, 5589 KB  
Article
Differences in Chemical Constituents between Dalbergia oliveri Heartwood and Sapwood and Their Effect on Wood Color
by Liuming Wei, Ruoke Ma and Yunlin Fu
Molecules 2022, 27(22), 7978; https://doi.org/10.3390/molecules27227978 - 17 Nov 2022
Cited by 10 | Viewed by 2902
Abstract
The purpose of this study was to characterize and quantify the chemical constituents of heartwood and sapwood of Dalbergia oliveri extract in order to investigate the chemical components that determine the formation of heartwood’s color. In this work, the types of pigments in [...] Read more.
The purpose of this study was to characterize and quantify the chemical constituents of heartwood and sapwood of Dalbergia oliveri extract in order to investigate the chemical components that determine the formation of heartwood’s color. In this work, the types of pigments in heartwood and sapwood extract were analyzed using UV-Visible (UV) Spectrophotometer, and the main pigment components of heartwood and sapwood extract were identified and quantified using ultra-high performance liquid chromatography-mass spectrometry (UHPLC-MS). The results showed that the difference in content of the main components between heartwood and sapwood of Dalbergia oliveri was slight, and the lignin structure between heartwood and sapwood is basically identical; flavonoid pigments were found to be the primary chromophoric components of heartwood and sapwood extract. However, a total of 21 flavonoids were identified in heartwood and sapwood, of which the unique substances to heartwood were vitexin, isorhamnetin, and pelargonidin, and the content of isoliquiritigenin, formononetin, and biochanin A were 253, 37, and 583 times higher in the heartwood than in the sapwood, respectively, which could be the main pigment components affecting the significant color difference between heartwood and sapwood of Dalbergia oliveri. These results will provide a foundation for revealing the underlying mechanism of color difference between heartwood and sapwood and provide a theoretical basis for wood coloring. Full article
Show Figures

Figure 1

12 pages, 3572 KB  
Article
Conversion of Cellulose and Lignin Residues into Transparent UV-Blocking Composite Films
by Fan Yang, Lu Xu, Guodong Dai, Lin Luo, Kaifeng Yang, Churui Huang, Dong Tian and Fei Shen
Molecules 2022, 27(5), 1637; https://doi.org/10.3390/molecules27051637 - 1 Mar 2022
Cited by 12 | Viewed by 4174
Abstract
The valorization of cellulose and lignin residues in an integrated biorefinery is of great significance to improve the overall economics but has been challenged by their structural recalcitrance, especially for lignin residue. In this work, a facile chemical conversion route to fabricating functional [...] Read more.
The valorization of cellulose and lignin residues in an integrated biorefinery is of great significance to improve the overall economics but has been challenged by their structural recalcitrance, especially for lignin residue. In this work, a facile chemical conversion route to fabricating functional UV-blocking cellulose/lignin composite films through a facile dissolution–regeneration process using these biomass residues was proposed. Three representative lignin residues, i.e., aspen and poplar wood lignin, and corn stover (CS) lignin were assessed for their feasibility for the film fabrication. The UV-blocking performance of the composite films were comparatively investigated. Results showed that all these three lignin residues could enhance the UV-blocking property of the composite films, corresponding to the reduction in the optical energy band gap from 4.31 to 3.72 eV, while poplar lignin had a considerable content of chromophores and showed the best UV-blocking enhancement among these three assessing lignins. The enhancement of UV-blocking property was achieved without compromising the visible-light transparency, mechanical strength and thermal stability of the composite films even at 4% lignin loading. This work showed the high promise of integrating biomass residue conversion into lignocellulose biorefinery for a multi-production purpose. Full article
(This article belongs to the Special Issue Bioconversion of Lignocellulosic Biomass and Process Intensification)
Show Figures

Figure 1

12 pages, 3299 KB  
Article
Effect of Heat Treatment on the Physic-Mechanical Characteristics of Eucalyptusurophylla S.T. Blake
by Lin Yang and Honghui Jin
Materials 2021, 14(21), 6643; https://doi.org/10.3390/ma14216643 - 4 Nov 2021
Cited by 23 | Viewed by 2299
Abstract
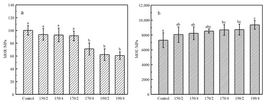
Eucalyptus plantations wood have great potential application in high quality solid wood product. In order to improve the overall characteristics, heat treatments (HT) were carried out using Eucalyptus urophylla S.T. Blake wood at 150, 170 and 190 °C, for 2 and 4 h, [...] Read more.
Eucalyptus plantations wood have great potential application in high quality solid wood product. In order to improve the overall characteristics, heat treatments (HT) were carried out using Eucalyptus urophylla S.T. Blake wood at 150, 170 and 190 °C, for 2 and 4 h, separately. The effects of HT on physical and mechanical properties, wood color, dimensional stability and chemical change were investigated. The results indicate that: Mass loss (ML) of wood at a moderate temperature of 150 °C was small, but increased remarkably when temperature exceeds 170 °C. A maximum ML of 5.83% was observed at 190 °C/4 h; the velocity of water vapor adsorption and equilibrium moisture content (EMC) of HT wood decreased significantly, and varied considerably with treating severity; absolute dry density of HT wood decreased, presenting a similar tendency with ML, but the reduction was greater than ML; HT reduced the tangential and radial swelling ratio and swelling coefficients of wood, and improved the dimensional stability by 71.88% at 190 °C; modulus of rupture (MOR) and modulus of elasticity (MOE) of HT wood varied significantly in severer conditions, but there were no obvious changes in a moderate conditions at 150 °C; there was a slight color change at 150 °C, but wood color became more dark and uniform with treating severity; HT decreased the relative content of hydroxyl groups in wood components, improving wood dimensional stability. Color change of wood may be caused by variations of chromophoric groups and its own structure of lignin due to HT. Moderate temperature HT at 150 °C improved dimensional stability and color uniform of wood, but without reducing mechanical stress. This is a practical HT condition for Eucalyptus urophylla S.T. Blake. Full article
Show Figures

Figure 1

17 pages, 3014 KB  
Article
Lignin/Carbohydrate Complex Isolated from Posidonia oceanica Sea Balls (Egagropili): Characterization and Antioxidant Reinforcement of Protein-Based Films
by Seyedeh Fatemeh Mirpoor, Odile Francesca Restaino, Chiara Schiraldi, Concetta Valeria L. Giosafatto, Francesco Ruffo and Raffaele Porta
Int. J. Mol. Sci. 2021, 22(17), 9147; https://doi.org/10.3390/ijms22179147 - 24 Aug 2021
Cited by 19 | Viewed by 4127
Abstract
A lignin fraction (LF) was extracted from the sea balls of Posidonia oceanica (egagropili) and extensively dialyzed and characterized by FT-IR and NMR analyses. LF resulted water soluble and exhibited a brownish-to-black color with the highest absorbance in the range of 250–400 nm, [...] Read more.
A lignin fraction (LF) was extracted from the sea balls of Posidonia oceanica (egagropili) and extensively dialyzed and characterized by FT-IR and NMR analyses. LF resulted water soluble and exhibited a brownish-to-black color with the highest absorbance in the range of 250–400 nm, attributed to the chromophore functional groups present in the phenylpropane-based polymer. LF high-performance size exclusion chromatography analysis showed a highly represented (98.77%) species of 34.75 kDa molecular weight with a polydispersity index of 1.10 and an intrinsic viscosity of 0.15. Quantitative analysis of carbohydrates indicated that they represented 28.3% of the dry weight of the untreated egagropili fibers and 72.5% of that of LF. In particular, eight different monosaccharides were detected (fucose, arabinose, rhamnose, galactose, glucose, xylose, glucosamine and glucuronic acid), glucuronic acid (46.6%) and rhamnose (29.6%) being the most present monosaccharides in the LF. Almost all the phenol content of LF (113.85 ± 5.87 mg gallic acid eq/g of extract) was water soluble, whereas around 22% of it consisted of flavonoids and only 10% of the flavonoids consisted of anthocyanins. Therefore, LF isolated from egagropili lignocellulosic material could be defined as a water-soluble lignin/carbohydrate complex (LCC) formed by a phenol polymeric chain covalently bound to hemicellulose fragments. LCC exhibited a remarkable antioxidant activity that remained quite stable during 6 months and could be easily incorporated into a protein-based film and released from the latter overtime. These findings suggest egagropili LCC as a suitable candidate as an antioxidant additive for the reinforcement of packaging of foods with high susceptibility to be deteriorated in aerobic conditions. Full article
(This article belongs to the Special Issue Bio-Based Materials for Packaging)
Show Figures

Figure 1

11 pages, 2838 KB  
Article
Changes in the Physical and Chemical Properties of Alder Wood in the Process of Thermal Treatment with Saturated Water Steam
by Michal Dudiak and Ladislav Dzurenda
Coatings 2021, 11(8), 898; https://doi.org/10.3390/coatings11080898 - 27 Jul 2021
Cited by 17 | Viewed by 2979
Abstract
The paper presents changes in color and selected physico-chemical properties of alder (Alnus glutinosa) wood during the process of thermal treatment of the wood with a saturated steam-air mixture or saturated water steam in the temperature range t = 95–125 °C [...] Read more.
The paper presents changes in color and selected physico-chemical properties of alder (Alnus glutinosa) wood during the process of thermal treatment of the wood with a saturated steam-air mixture or saturated water steam in the temperature range t = 95–125 °C for τ = 3 to 12 h. During the process of thermal treatment of alder wood, the original light white-gray color changes depending on the temperature and time of modification to soft reddish-brown to dark brown color shades. Color changes of alder wood expressed in the form of the total color difference are in the range of values ∆E* = 2.7–31.7. Measurements of the density of thermally treated alder wood in the dry state indicate that due to the thermal treatment of alder wood, the density decreases by ρ ≤ 4.6% compared to the average density of native alder wood. Due to the hydrolysis of hemicelluloses, in the process of thermal treatment of wet alder wood, its acidity changes in the range of values: pH = 4.9 to 3.1. Analyzes of ATR-FTIR spectroscopy indicate changes in alder wood extractants and hemicellulose degradation. A decrease in unconjugated and an increase in conjugated carbonyls was observed at all temperatures of thermal modification of alder wood. Measurements indicate changes in the lignin of alder wood and the fact that as the temperature increases, the formation of new carbonyls increases, which is reflected in the change of the chromophoric system. Full article
(This article belongs to the Special Issue Advances in Wood Treatment)
Show Figures

Figure 1

Back to TopTop