Sign in to use this feature.

Years

Between: -

Subjects

remove_circle_outline
remove_circle_outline
remove_circle_outline
remove_circle_outline
remove_circle_outline
remove_circle_outline
remove_circle_outline
remove_circle_outline
remove_circle_outline

Journals

Article Types

Countries / Regions

Search Results (83)

Search Parameters:
Keywords = lightning risk

Order results
Result details
Results per page
Select all
Export citation of selected articles as:
17 pages, 5046 KB  
Article
Lightning Flashover Characteristic and Effective Protection Measures of 10 kV Distribution Line Network
by Song Zhang, Xiaobin Xiao, Lei Jia, Huaifei Chen, Lu Qu, Chakhung Yeung, Yuxuan Ding and Yaping Du
Energies 2025, 18(19), 5097; https://doi.org/10.3390/en18195097 - 25 Sep 2025
Abstract
Among various failure causes, lightning overvoltage represents the most significant threat to overhead distribution lines, which serve as critical components in power systems. This study uses the hybrid partial element equivalent circuit (PEEC) multi-conductor transmission line (MTL) method to perform overvoltage simulations and [...] Read more.
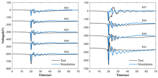
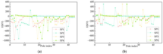
Among various failure causes, lightning overvoltage represents the most significant threat to overhead distribution lines, which serve as critical components in power systems. This study uses the hybrid partial element equivalent circuit (PEEC) multi-conductor transmission line (MTL) method to perform overvoltage simulations and investigate lightning risk distribution along distribution lines developed from a real 10 kV distribution networks in Guizhou, China. The results of the rocket-triggered lightning observation verify the accuracy of the hybrid method for direct lightning simulation. Combining the Monte Carlo method with the electro-geometric model (EGM), the impact of differential protection configurations on annual lightning flashover rates is analyzed. The results demonstrate that lightning strikes on phase wires generate high-magnitude overvoltages but with limited spatial influence, resulting in fewer pole flashovers. Conversely, strikes on poles produce lower overvoltage peaks but affect wider areas, leading to significantly more flashovers. Using annual flashover rates as the risk evaluation metric, the line topologies into high-risk, medium-risk, and other low-risk areas are classified. Targeting an annual flashover rate below 0.4 as the design objective, the configuration schemes of the arresters are progressively optimized. This risk-based approach provides an effective reference framework for differential protection design of distribution line safeguards. Full article
Show Figures

Figure 1

37 pages, 26864 KB  
Article
Multidimensional Assessment of Meteorological Hazard Impacts: Spatiotemporal Evolution in China (2004–2021)
by Zhaoge Sun, Shi Shen and Wei Xia
Land 2025, 14(9), 1892; https://doi.org/10.3390/land14091892 - 16 Sep 2025
Viewed by 262
Abstract
Meteorological hazards threaten sustainable development by affecting human safety, economic stability, and food security. Climate change increases extreme weather frequency, underscoring the urgency for comprehensive evaluation frameworks. However, existing frameworks rarely integrate multiple impact dimensions, limiting their practical utility. To address this gap, [...] Read more.
Meteorological hazards threaten sustainable development by affecting human safety, economic stability, and food security. Climate change increases extreme weather frequency, underscoring the urgency for comprehensive evaluation frameworks. However, existing frameworks rarely integrate multiple impact dimensions, limiting their practical utility. To address this gap, our core objective is to develop two novel index series, a single-hazard composite impact index (SHCI) and a multi-hazard composite impact index (MHCI), employing entropy weighting to integrate demographic and economic factors, enabling a more holistic assessment of meteorological hazard impacts in China. Analysis of 2004–2021 data on drought, rainstorm and flood (RF), hail and lightning (HL), typhoon, and low-temperature freezing (LTF) revealed decreases in the national MHCI and SHCI. Key results include the following: (1) the relative MHCI decreased by 74.8%, exceeding 61.21% of absolute MHCI; (2) nationally, 2010, 2013, and 2016 had high MHCI values, and Sichuan has the most extreme hazard years (three) among all the provinces; and (3) provincially, Ningxia has the highest absolute and relative MHCI, while SHCIs varied spatially. These findings provide specific references for climate adaptation planning and the optimization of hazard risk reduction strategies. The methodology offers a versatile framework for multi-hazard risk assessment in nations experiencing climatic and demographic transitions. Full article
Show Figures

Figure 1

18 pages, 3071 KB  
Article
Elemental Composition of Magnetic Nanoparticles in Wildland–Urban Interface Fire Ashes Revealed by Single Particle-Inductively Coupled Plasma-Time-of-Flight-Mass Spectrometer
by Mahbub Alam, Austin R. J. Downey, Bo Cai and Mohammed Baalousha
Nanomaterials 2025, 15(18), 1420; https://doi.org/10.3390/nano15181420 - 15 Sep 2025
Viewed by 285
Abstract
This study investigates the elemental composition of magnetic nanoparticles (MNPs) in eleven wildland–urban interface (WUI) fire ashes, including one vegetation, six structural, and four vehicle ashes, along with three fire-impacted soil samples. The WUI fire ash samples were collected following the 2020 North [...] Read more.
This study investigates the elemental composition of magnetic nanoparticles (MNPs) in eleven wildland–urban interface (WUI) fire ashes, including one vegetation, six structural, and four vehicle ashes, along with three fire-impacted soil samples. The WUI fire ash samples were collected following the 2020 North Complex (NC) Fire and Sonoma–Lake–Napa unit (LNU) Lightning Complex Fire in California. Efficiency of magnetic separation was confirmed via Time-Domain Nuclear Magnetic Resonance (TD-NMR); the relaxometry showed that the transverse relaxation rate R2 decreased from 2.02 s−1 before separation to 0.29 s−1 after separation (ΔR2 = −1.73 s−1; −86%), due to the removal of magnetic particles. The particle number concentrations, size distributions, and elemental compositions (and ratios) of MNPs were determined using single particle-inductively coupled plasma–time-of-flight-mass spectrometry (SP-ICP-TOF-MS). The major types of nanoparticles (NPs) detected in the magnetically separated MNPs were Fe-, Ti-, Cr-, Pb-, Mn-, and Zn-bearing NPs. The iron-bearing NPs accounted for 3.2 to 83.5% of the magnetically separated MNPs, and decreased following the order vegetation ash (77.4%) > soil (63.2–69.9%) > structural (3.2–83.5%) ash. The titanium-bearing NPs accounted for 3.3 to 66.1% of the magnetically separated MNPs, and decreased following the order vehicle (14.1–66.1%) > structural (3.5–36.4%) > vegetation (3.3%) ash. The majority of the detected NPs in the fire ashes occurred in the form of multi-metal (mm) NPs, attributed to the presence of NPs as heteroaggregates and/or due to the sorption of metals on the surfaces of NPs during combustion. However, a notable fraction (3–91%) of the detected NPs occurred as single-metal (sm) NPs, particularly smFe-bearing NPs, which accounted for 48 to 91% of all the Fe-bearing particles in the magnetically separated MNPs. The elemental ratios (e.g., Al/Fe, Ti/Fe, Cr/Fe, and Zn/Fe) in the magnetically separated MNPs from structural and vehicle ashes were higher than those in the soil samples and vegetation ashes, indicating enrichment of metals in magnetically separated NPs from vehicle and structural ashes compared to vegetation ash. Overall, this study demonstrates that the MNPs generated by WUI fire ash are associated with potentially toxic elements (e.g., Cr and Zn), exacerbating the environmental and human health risks of WUI fires. This study also highlights the need for further research into the properties, environmental fate, transport, and interactions of MNPs with biological systems during and following WUI fires. Full article
(This article belongs to the Section Environmental Nanoscience and Nanotechnology)
Show Figures

Figure 1

10 pages, 998 KB  
Article
Risks to the Growth, Conservation and Management of the Ural Saiga Population
by Gaisa Absatirov, Darkhan Smagulov, Kazybay Bozymov, Malik Shalmenov, Yedige Nassambayev, Kairly Yessengaliyev, Laura Baitlessova and Ahmet Onur Girisgin
Diversity 2025, 17(9), 595; https://doi.org/10.3390/d17090595 - 25 Aug 2025
Viewed by 633
Abstract
The Ural saiga antelope (Saiga tatarica) inhabits the expansive steppes and deserts of Kazakhstan. Disease outbreaks, particularly among livestock, can impact saiga populations by causing competition for resources and increasing mortality rates. This study focuses on the risks faced by the [...] Read more.
The Ural saiga antelope (Saiga tatarica) inhabits the expansive steppes and deserts of Kazakhstan. Disease outbreaks, particularly among livestock, can impact saiga populations by causing competition for resources and increasing mortality rates. This study focuses on the risks faced by the saiga population in Western Kazakhstan, along with strategies for their conservation and effective management. The research and data collection were conducted in the Kaztalov, Zhangala, Bokeyorda, and Zhanybek districts of West Kazakhstan, in the natural habitat and migration range of the Ural saiga population. To thoroughly assess the potential risks, we undertook a detailed analysis involving multiple data points, which encompassed monitoring, necropsy, microorganism isolation, and an examination of existing records between the years 2011 and 2024. By the conclusion of our study, we organized the identified risks into three distinct categories: biotic factors, abiotic factors, and anthropogenic factors. As a result of the evaluations made according to the categories, pathogenic bacteria (Pasteurella multocida, Clostridium perfringens), helminths, and ticks were identified as biotic risks; natural and climatic conditions (storms and lightning) as abiotic risks; and poaching and human practices in the fields as anthropogenic risks. This organization allowed us to clearly identify the specific risks faced by antelopes, providing insights that can inform future conservation efforts. Full article
(This article belongs to the Special Issue Bison and Beyond: Achievements and Problems in Wildlife Conservation)
Show Figures

Figure 1

23 pages, 888 KB  
Article
Regional Prediction of Fire Characteristics Using Machine Learning in Australia
by Zina Abohaia, Abeer Elkhouly, May El Barachi and Obada Al-Khatib
Fire 2025, 8(8), 330; https://doi.org/10.3390/fire8080330 - 16 Aug 2025
Viewed by 965
Abstract
Wildfires are increasing in frequency and severity, with Australia’s 2019–2020 Black Summer burning over 18 million hectares. Accurate prediction of wildfire behavior is essential for effective risk assessment and emergency response. This study presents a machine learning framework for predicting wildfire dynamics across [...] Read more.
Wildfires are increasing in frequency and severity, with Australia’s 2019–2020 Black Summer burning over 18 million hectares. Accurate prediction of wildfire behavior is essential for effective risk assessment and emergency response. This study presents a machine learning framework for predicting wildfire dynamics across Australia’s seven regions using the IBM wildfire dataset. Various Machine Learning (ML) models were evaluated to forecast three key indicators: Fire Area (km2), Fire Brightness Temperature (K), and Fire Radiative Power (MW). Lasso Regression consistently outperformed the other models, achieving an average RMSE of 0.04201 and R2 of 0.29355. Performance varied across regions, with stronger results in areas like New South Wales and Queensland, likely influenced by differences in topography, microclimate, and vegetation. However, limitations include the exclusion of ignition sources such as lightning and human activity, which are critical for capturing the environment accurately and improving predictive accuracy. Future work will integrate these factors alongside more detailed weather and vegetation data. Practical implementation may face challenges related to real-time data availability, system integration, and response coordination, but this approach offers promising potential for operational wildfire decision support. Full article
(This article belongs to the Special Issue Intelligent Forest Fire Prediction and Detection)
Show Figures

Graphical abstract

21 pages, 971 KB  
Article
Lightning Nowcasting Using Dual-Polarization Weather Radar and Machine Learning Approaches: Evaluation of Feature Engineering Strategies and Operational Integration
by Marcos Antonio Alves, Rosana Alves Molina, Bruno Alberto Soares Oliveira, Daniel Calvo, Marcos Cesar Andrade Araujo Filho, Douglas Batista da Silva Ferreira, Ana Paula Paes Santos, Ivan Saraiva, Osmar Pinto and Eugenio Lopes Daher
Climate 2025, 13(8), 168; https://doi.org/10.3390/cli13080168 - 14 Aug 2025
Viewed by 1014
Abstract
Lightning nowcasting is crucial for ensuring safety and operational continuity in weather-exposed industries such as mining. This study evaluates three machine learning (ML)-based approaches for predicting lightning using dual-polarimetric weather radar data collected in the eastern Amazon, Brazil. The strategies propose advances in [...] Read more.
Lightning nowcasting is crucial for ensuring safety and operational continuity in weather-exposed industries such as mining. This study evaluates three machine learning (ML)-based approaches for predicting lightning using dual-polarimetric weather radar data collected in the eastern Amazon, Brazil. The strategies propose advances in literature in three ways by involving (i) grouping radar variables by temperature layers, (ii) statistical summaries at key altitudes, and (iii) analyzing all the 18 levels of reflectivity data combined with Principal Component Analysis (PCA) dimensionality reduction and ensemble models. For each approach, models such as Random Forest, Support Vector Machines, and XGBoost were trained and tested using data from 2021–2022 with class balancing and feature engineering techniques. Among the approaches, the PCA-based ensemble achieved the best generalization (recall = 0.89, F1 = 0.77), while the layer-based method had the highest recall (0.97), and the altitude-based strategy offered a computationally efficient alternative with competitive results. These findings confirm the predictive value of radar-derived features and emphasize the role of feature representation in model performance. Additionally, the best model was integrated into the operational LEWAIS alert system, and four integration strategies were tested. The strategy that combined alerts from both ML and LEWAIS systems reduced the failure-to-warn rate to 0.0531 and increased the lead time to 10.18 min, making it ideal for safety-critical applications. Overall, the results show that ML models based solely on radar inputs can achieve robust lightning nowcasting, supporting both scientific advancement and industrial risk mitigation. Full article
Show Figures

Figure 1

22 pages, 3293 KB  
Article
Spatiotemporal-Imbalance-Aware Risk Prediction Framework for Lightning-Caused Distribution Grid Failures
by Shenqin Tang, Xin Yang, Jie Huang, Junyao Hu, Jiawu Zuo and Shuo Li
Sustainability 2025, 17(16), 7228; https://doi.org/10.3390/su17167228 - 10 Aug 2025
Viewed by 523
Abstract
Lightning strikes pose a significant threat to the reliability of power distribution networks, with cascading effects on energy sustainability and community resilience. This paper proposes a lightning disaster risk prediction model for distribution networks, designing a lightning strike hazard matrix to classify historical [...] Read more.
Lightning strikes pose a significant threat to the reliability of power distribution networks, with cascading effects on energy sustainability and community resilience. This paper proposes a lightning disaster risk prediction model for distribution networks, designing a lightning strike hazard matrix to classify historical fault records and incorporating future multi-source heterogeneous data to predict lightning-induced fault hazard levels and enhance the sustainability of grid operations. To address spatiotemporal imbalances in data distribution, we first propose diagnostic threshold settings for low-frequency elements alongside a method for calculating hazard diagnostic criteria. This approach systematically integrates high-hazard, low-frequency factors into risk analyses. Second, we introduce an adaptive weight optimization algorithm that dynamically adjusts risk factor weights by quantifying their contributions to overall system risk. This method overcomes the limitations of traditional frequency-weighted approaches, ensuring more robust hazard assessment. Experimental results demonstrate that, compared to baseline models, the proposed model achieves average improvements of 21%/8.3% in AUROC, 30.2%/47.4% in SE, and 20.5%/8.1% in CI, empirically validating its superiority in risk prediction and engineering applicability. Full article
(This article belongs to the Special Issue Disaster Prevention, Resilience and Sustainable Management)
Show Figures

Figure 1

16 pages, 3781 KB  
Article
Review of NFPA 780 Standard Compliance for Improved Lightning Protection in Indonesia’s Oil and Gas Industry
by Bryan Denov and Reynaldo Zoro
Energies 2025, 18(15), 4002; https://doi.org/10.3390/en18154002 - 28 Jul 2025
Viewed by 1165
Abstract
Lightning represents a critical danger to facilities such as oil tank farms, with the potential to cause major explosive incidents. To address this risk, Indonesia’s oil and gas industry has adopted the NFPA 780 Standard for lightning protection systems. However, tank explosions and [...] Read more.
Lightning represents a critical danger to facilities such as oil tank farms, with the potential to cause major explosive incidents. To address this risk, Indonesia’s oil and gas industry has adopted the NFPA 780 Standard for lightning protection systems. However, tank explosions and refinery disruptions caused by lightning strikes continue to occur annually, highlighting the need to reassess the standard’s self-protection criteria, particularly in Indonesia’s tropical climate. The NFPA 780 standard was primarily developed based on lightning characteristics in subtropical regions. This study evaluates its effectiveness in tropical environments, where lightning parameters such as peak currents, frequencies, and ground flash densities differ significantly. By analyzing specific incidents of tank explosions in Indonesia, the research reveals that compliance with the NFPA 780 standard alone may not be adequate to protect critical infrastructure. To address these challenges, this study proposes a novel approach to lightning protection by designing solutions tailored to the unique characteristics of tropical climates. By incorporating local lightning parameters, the proposed measures aim to enhance safety and resilience in oil and gas facilities. This research provides a framework for adapting international standards to regional needs, improving the effectiveness of lightning protection in tropical environments. Full article
(This article belongs to the Topic EMC and Reliability of Power Networks)
Show Figures

Figure 1

11 pages, 935 KB  
Article
Rescue Blankets in Direct Exposure to Lightning Strikes—An Experimental Study
by Markus Isser, Wolfgang Lederer, Daniel Schwaiger, Mathias Maurer, Sandra Bauchinger and Stephan Pack
Coatings 2025, 15(8), 868; https://doi.org/10.3390/coatings15080868 - 23 Jul 2025
Viewed by 1592
Abstract
Lightning strikes pose a significant risk during outdoor activities. The connection between conventionally used rescue blankets in alpine emergencies and the risk of lightning injury is unclear. This experimental study investigated whether rescue blankets made of aluminum-coated polyethylene terephthalate increase the likelihood of [...] Read more.
Lightning strikes pose a significant risk during outdoor activities. The connection between conventionally used rescue blankets in alpine emergencies and the risk of lightning injury is unclear. This experimental study investigated whether rescue blankets made of aluminum-coated polyethylene terephthalate increase the likelihood of lightning injuries. High-voltage experiments of up to 2.5 MV were conducted in a controlled laboratory setting, exposing manikins to realistic lightning discharges. In a balanced test environment, two conventionally used brands were investigated. Upward leaders frequently formed on the edges along the fold lines of the foils and were significantly longer in crumpled rescue blankets (p = 0.004). When a lightning strike occurred, the thin metallic layer evaporated at the contact point without igniting the blanket or damaging the underlying plastic film. The blankets diverted surface currents and prevented current flow to the manikins, indicating potentially protective effects. The findings of this experimental study suggest that upward leaders rise from the edge areas of rescue blankets, although there is no increased risk for a direct strike. Rescue blankets may even provide partial protection against exposure to electrical charges. Full article
Show Figures

Figure 1

21 pages, 5333 KB  
Article
Climate Extremes, Vegetation, and Lightning: Regional Fire Drivers Across Eurasia and North America
by Flavio Justino, David H. Bromwich, Jackson Rodrigues, Carlos Gurjão and Sheng-Hung Wang
Fire 2025, 8(7), 282; https://doi.org/10.3390/fire8070282 - 16 Jul 2025
Viewed by 1025
Abstract
This study examines the complex interactions among soil moisture, evaporation, extreme weather events, and lightning, and their influence on fire activity across the extratropical and Pan-Arctic regions. Leveraging reanalysis and remote-sensing datasets from 2000 to 2020, we applied cross-correlation analysis, a modified Mann–Kendall [...] Read more.
This study examines the complex interactions among soil moisture, evaporation, extreme weather events, and lightning, and their influence on fire activity across the extratropical and Pan-Arctic regions. Leveraging reanalysis and remote-sensing datasets from 2000 to 2020, we applied cross-correlation analysis, a modified Mann–Kendall trend test, and assessments of interannual variability to key variables including soil moisture, fire frequency and risk, evaporation, and lightning. Results indicate a significant increase in dry days (up to 40%) and heatwave events across Central Eurasia and Siberia (up to 50%) and Alaska (25%), when compared to the 1980–2000 baseline. Upward trends have been detected in evaporation across most of North America, consistent with soil moisture trends, while much of Eurasia exhibits declining soil moisture. Fire danger shows a strong positive correlation with evaporation north of 60° N (r ≈ 0.7, p ≤ 0.005), but a negative correlation in regions south of this latitude. These findings suggest that in mid-latitude ecosystems, fire activity is not solely driven by water stress or atmospheric dryness, highlighting the importance of region-specific surface–atmosphere interactions in shaping fire regimes. In North America, most fires occur in temperate grasslands, savannas, and shrublands (47%), whereas in Eurasia, approximately 55% of fires are concentrated in forests/taiga and temperate open biomes. The analysis also highlights that lightning-related fires are more prevalent in Eastern Europe and Southeastern Asia. In contrast, Western North America exhibits high fire incidence in temperate conifer forests despite relatively low lightning activity, indicating a dominant role of anthropogenic ignition. These findings underscore the importance of understanding land–atmosphere interactions in assessing fire risk. Integrating surface conditions, climate extremes, and ignition sources into fire prediction models is crucial for developing more effective wildfire prevention and management strategies. Full article
(This article belongs to the Section Fire Science Models, Remote Sensing, and Data)
Show Figures

Graphical abstract

14 pages, 737 KB  
Article
An Octant-Based Multi-Objective Optimization Approach for Lightning Warning in High-Risk Industrial Areas
by Marcos Antonio Alves, Bruno Alberto Soares Oliveira, Douglas Batista da Silva Ferreira, Ana Paula Paes dos Santos, Osmar Pinto, Fernando Pimentel Silvestrow, Daniel Calvo and Eugenio Lopes Daher
Atmosphere 2025, 16(7), 798; https://doi.org/10.3390/atmos16070798 - 30 Jun 2025
Cited by 1 | Viewed by 381
Abstract
Lightning strikes are a major hazard in tropical regions, especially in northern Brazil, where open-area industries such as mining are highly exposed. This study proposes an octant-based multi-objective optimization approach for spatial lightning alert systems, focusing on minimizing both false alarm rate (FAR) [...] Read more.
Lightning strikes are a major hazard in tropical regions, especially in northern Brazil, where open-area industries such as mining are highly exposed. This study proposes an octant-based multi-objective optimization approach for spatial lightning alert systems, focusing on minimizing both false alarm rate (FAR) and failure-to-warn (FTW). The method uses NSGA-III to optimize a configuration vector consisting of directional radii and alert thresholds, based solely on historical lightning location data. Experiments were conducted using four years of cloud-to-ground lightning data from a mining area in Pará, Brazil. Fifteen independent runs were executed, each with 96 individuals and up to 150 generations. The results showed a clear trade-off between FAR and FTW, with optimal solutions achieving up to 16% reduction in FAR and 50% reduction in FTW when compared to a quadrant-based baseline. The use of the hypervolume metric confirmed consistent convergence across runs. Sensitivity analysis revealed spatial patterns in optimal configurations, supporting the use of directional tuning. The proposed approach provides a flexible and interpretable model for risk-based alert strategies, compliant with safety regulations such as NBR 5419/2015 and NR-22. It offers a viable solution for automated alert generation in high-risk environments, especially where detailed meteorological data is unavailable. Full article
Show Figures

Figure 1

19 pages, 1325 KB  
Article
Identifying and Prioritizing Climate-Related Natural Hazards for Nuclear Power Plants in Korea Using Delphi
by Dongchang Kim, Shinyoung Kwag, Minkyu Kim, Raeyoung Jung and Seunghyun Eem
Sustainability 2025, 17(12), 5400; https://doi.org/10.3390/su17125400 - 11 Jun 2025
Viewed by 652
Abstract
Climate change is projected to increase the intensity and frequency of natural hazards such as heat waves, extreme rainfall, heavy snowfall, typhoons, droughts, floods, and cold waves, potentially impacting the operational safety of critical infrastructure, including nuclear power plants (NPPs). Although quantitative indicators [...] Read more.
Climate change is projected to increase the intensity and frequency of natural hazards such as heat waves, extreme rainfall, heavy snowfall, typhoons, droughts, floods, and cold waves, potentially impacting the operational safety of critical infrastructure, including nuclear power plants (NPPs). Although quantitative indicators exist to screen-out natural hazards at NPPs, comprehensive methodologies for assessing climate-related hazards remain underdeveloped. Furthermore, given the variability and uncertainty of climate change, it is realistically and resource-wise difficult to evaluate all potential risks quantitatively. Using a structured expert elicitation approach, this study systematically identifies and prioritizes climate-related natural hazards for Korean NPPs. An iterative Delphi survey involving 42 experts with extensive experience in nuclear safety and systems was conducted and also evaluated using the best–worst scaling (BWS) method for cross-validation to enhance the robustness of the Delphi priorities. Both methodologies identified extreme rainfall, typhoons, marine organisms, forest fires, and lightning as the top five hazards. The findings provide critical insights for climate resilience planning, inform vulnerability assessments, and support regulatory policy development to mitigate climate-induced risks to Korean nuclear power plants. Full article
Show Figures

Figure 1

19 pages, 7384 KB  
Review
A Review of Research Progress in Very Fast Transient Overvoltage (VFTO) Suppression Technology
by Huan Wang, Yinglong Diao, Xixiu Wu and Bolun Du
Energies 2025, 18(9), 2147; https://doi.org/10.3390/en18092147 - 22 Apr 2025
Viewed by 1000
Abstract
The very fast transient overvoltage (VFTO) is characterized by steep wavefronts, high amplitude, and wide spectrum. These characteristics can lead to partial discharges or insulation breakdowns in potted insulators, which can lead to localized overheating or turn-to-turn insulation damage in transformers. The strong [...] Read more.
The very fast transient overvoltage (VFTO) is characterized by steep wavefronts, high amplitude, and wide spectrum. These characteristics can lead to partial discharges or insulation breakdowns in potted insulators, which can lead to localized overheating or turn-to-turn insulation damage in transformers. The strong electromagnetic radiation generated by VFTO may also interfere with relay protection and communication systems, triggering risks to grid operation. This paper introduces the existing mainstream VFTO suppression methods, such as damping resistance method, disconnecting switch operation method, inductive method, etc., from the aspects of circuit structure, parameter design and suppression effect, and focuses on the influence of the material selection, parameter adjustment, and mounting structure adjustment of ferrite ring on VFTO suppression effect. In addition, the lightning arrester method and the method of utilizing overhead lines for VFTO suppression are also briefly discussed. The article concludes with a comparison of the advantages and disadvantages of each method and an outlook on the future research direction of VFTO suppression technology. Full article
(This article belongs to the Section F: Electrical Engineering)
Show Figures

Figure 1

13 pages, 4734 KB  
Article
Assessment of Airfoil Lightning Strikes Characterization on Aircraft in Dynamic Conditions
by Ning Yang, Zheng Shi, Ying Wen, Shuangwu Yuan and Haohui Zhang
Atmosphere 2025, 16(2), 173; https://doi.org/10.3390/atmos16020173 - 4 Feb 2025
Viewed by 1049
Abstract
Lightning is a long-gap high-current discharge event in nature, and its enormous discharge energy can cause structural damage to struck objects. Relevant studies have shown that aircraft in the air are exposed to a higher risk of lightning strikes than ground objects. However, [...] Read more.
Lightning is a long-gap high-current discharge event in nature, and its enormous discharge energy can cause structural damage to struck objects. Relevant studies have shown that aircraft in the air are exposed to a higher risk of lightning strikes than ground objects. However, most studies on aircraft lightning strikes have used static models, and there are still shortages of research objects under high-speed movements. Therefore, it is necessary to conduct an investigation of the lightning strike characteristics of aircraft under dynamic conditions to ensure flight safety fully. In this study, the lightning strike characteristics of airfoil under dynamic conditions have been simulated by studying two variables, airspeed and angle of attack, while employing the Leader Progression Model (LPM). The results show that adjustments in the angle of attack cause changes in the atmospheric pressure field, and a maximum pressure difference of up to 5.44 × 104 Pa is observed at the angle of attack of 15°, which results in a change in the average electric field strength Estr, leading to a 33.63% difference in the upward leader trigger height. At an airspeed equal to 120 m/s, the trigger height in the low-pressure region is only 54.7% of that in the high-pressure region (435 m and 795 m, respectively). A higher lightning strike risk is found in areas of higher air pressure and is positively correlated with angle of attack and airspeed. Full article
(This article belongs to the Section Atmospheric Techniques, Instruments, and Modeling)
Show Figures

Figure 1

14 pages, 3792 KB  
Article
Wind Turbine Blade Fault Detection Method Based on TROA-SVM
by Zhuo Lei, Haijun Lin, Xudong Tang, Yong Xiong and He Wen
Sensors 2025, 25(3), 720; https://doi.org/10.3390/s25030720 - 24 Jan 2025
Viewed by 1547
Abstract
Wind turbines are predominantly situated in remote, high-altitude regions, where they face a myriad of harsh environmental conditions. Factors such as high humidity, strong gusts, lightning strikes, and heavy snowfall significantly increase the vulnerability of turbine blades to fatigue damage. This susceptibility poses [...] Read more.
Wind turbines are predominantly situated in remote, high-altitude regions, where they face a myriad of harsh environmental conditions. Factors such as high humidity, strong gusts, lightning strikes, and heavy snowfall significantly increase the vulnerability of turbine blades to fatigue damage. This susceptibility poses serious risks to the normal operation and longevity of the turbines, necessitating effective monitoring and maintenance strategies. In response to these challenges, this paper proposes a novel fault detection method specifically designed for analyzing wind turbine blade noise signals. This method integrates the Tyrannosaurus Optimization Algorithm (TROA) with a support vector machine (SVM), aiming to enhance the accuracy and reliability of fault detection. The process begins with the careful preprocessing of raw noise signals collected from wind turbines during actual operational conditions. The method extracts vital features from three key perspectives: the time domain, frequency domain, and cepstral domain. By constructing a comprehensive feature matrix that encapsulates multi-dimensional characteristics, the approach ensures that all relevant information is captured. Rigorous analysis and feature selection are subsequently conducted to eliminate redundant data, thereby focusing on retaining the most significant features for classification. A TROA-SVM classification model is then developed to effectively identify the faults of the turbine blades. The performance of this method is validated through extensive experiments, which indicate that the recognition accuracy rate is 98.7%. This accuracy is higher than that of the traditional methods, such as SVM, K-Nearest Neighbors (KNN), and random forest, demonstrating the proposed method’s superiority and effectiveness. Full article
(This article belongs to the Special Issue Sensor-Fusion-Based Deep Interpretable Networks)
Show Figures

Figure 1

Back to TopTop