Sign in to use this feature.

Years

Between: -

Subjects

remove_circle_outline
remove_circle_outline
remove_circle_outline
remove_circle_outline
remove_circle_outline
remove_circle_outline
remove_circle_outline
remove_circle_outline
remove_circle_outline

Journals

Article Types

Countries / Regions

Search Results (114)

Search Parameters:
Keywords = lexicographic

Order results
Result details
Results per page
Select all
Export citation of selected articles as:
20 pages, 2607 KB  
Article
Robust Optimization Algorithm of Multi-Objective and Multi-Scenario Performance for Uncertain Microgrids Based on Lexicographic Order Method
by Jiabin Xue, Pengyuan Zheng, Chen Wei and Guanglin Song
Sustainability 2026, 18(2), 1100; https://doi.org/10.3390/su18021100 - 21 Jan 2026
Viewed by 43
Abstract
For microgrids with uncertainties in renewable energy generation and normal load demand, a robust multi-objective and multi-scenario performance optimization algorithm based on lexicographic order is proposed, which considers system economic cost, environmental cost, and user comfort as the objective functions. At first, historical [...] Read more.
For microgrids with uncertainties in renewable energy generation and normal load demand, a robust multi-objective and multi-scenario performance optimization algorithm based on lexicographic order is proposed, which considers system economic cost, environmental cost, and user comfort as the objective functions. At first, historical data are processed using K-means clustering to extract typical scenario sequences. In the day-ahead scheduling stage, a lexicographic order method is applied to sequentially optimize the three objectives: economic cost, environmental cost, and user comfort. For each objective, robust optimization is performed by adopting the probability-weighted sum of the cost functions as the objective function. It obtains the optimal solution that ensures superior performance for typical scenarios. Subsequently, a robustness test is conducted under constraints that guarantee normal equipment operation and power balance for all scenarios. In the intraday scheduling stage, measured data of renewable energy and normal load are employed, and deviations in conventional power generation and grid interaction are penalized based on the day-ahead scheduling results. This adjustment improves the economic efficiency of the microgrid operation. Full article
(This article belongs to the Section Energy Sustainability)
Show Figures

Figure 1

34 pages, 3376 KB  
Article
Lexicographic Preferences Similarity for Coalition Formation in Complex Markets: Introducing PLPSim, HRECS, ContractLex, PriceLex, F@Lex, and PLPGen
by Faria Nassiri-Mofakham, Shadi Farid and Katsuhide Fujita
Information 2026, 17(1), 62; https://doi.org/10.3390/info17010062 - 9 Jan 2026
Viewed by 140
Abstract
Lexicographic preference trees (LP-Trees) provide a compact and expressive representation for modeling complex decision-making scenarios, yet measuring similarity between complete or partial structures remains a challenge. This study introduces PLPSim, a novel metric for quantifying alignment between partial lexicographic preference trees (PLP-Trees) and [...] Read more.
Lexicographic preference trees (LP-Trees) provide a compact and expressive representation for modeling complex decision-making scenarios, yet measuring similarity between complete or partial structures remains a challenge. This study introduces PLPSim, a novel metric for quantifying alignment between partial lexicographic preference trees (PLP-Trees) and develops three coalition formation algorithms—HRECS1, HRECS2, and HRECS3—that leverage PLPSim to group agents with similar preferences. We further propose ContractLex and PriceLex protocols (comprising CLF, CFB, CFW, CFA, CFP) for coalition-based contract and pricing strategies, along with a new evaluation metric, F@Lex, which is designed to assess satisfaction under lexicographic preferences. To illustrate the framework, we generate a synthetic dataset (PLPGen) contextualized in a hybrid renewable energy market, where consumers’ PLP-Trees are aggregated and matched with suppliers’ tariff contracts. Experiments across 162 market scenarios, evaluated using Normalized Discounted Cumulative Gain (nDCG), Davies–Bouldin dispersion, and F@Lex, demonstrate that PLPSim-based coalitions outperform baseline approaches. The combination HRECS3 + CFP yields the highest consumer satisfaction, while HRECS3 + CFB achieves balanced satisfaction for both consumers and suppliers. While electricity tariffs and renewable energy contracts—static and dynamic—serve as the motivating example, the proposed framework generalizes to diverse multi-agent systems, offering a foundation for preference-driven coalition formation, adaptive policy design, and sustainable market optimization. Full article
Show Figures

Graphical abstract

21 pages, 3703 KB  
Article
Optimization and Solution of Shunting Plan Formulation Model for EMU Depot Considering Maintenance Capacity
by Hua Zhang, Qichang Li, Bingyue Lin, Yanyi Liu and Xinpeng Zhang
Appl. Sci. 2026, 16(1), 477; https://doi.org/10.3390/app16010477 - 2 Jan 2026
Viewed by 263
Abstract
In this paper, we take the longitudinal two-stage and two-yard EMU (Electric Multiple Unit) depot as an example and discusses the optimization challenges of the first-level maintenance shunting operation plan under the background of limited maintenance capacity. A multi-objective programming is constructed, which [...] Read more.
In this paper, we take the longitudinal two-stage and two-yard EMU (Electric Multiple Unit) depot as an example and discusses the optimization challenges of the first-level maintenance shunting operation plan under the background of limited maintenance capacity. A multi-objective programming is constructed, which adopts the lexicographic ordering method and aims to minimize the occupancy time of key line areas and the number of train storage times. In order to enhance the flexibility and solution efficiency of the shunting operation plan, we design an efficient three-stage strategy algorithm. Specifically, in the first stage, the genetic and mutation rules are integrated, and the fast iterative advantage of the genetic algorithm is utilized to solve the time decision variables in the optimization problem. In the second stage, the allocation of track occupancy variables is further solved. The third stage focuses on the optimized allocation of maintenance team variables to ensure the scientific scheduling of maintenance resources. Finally, a validation experiment was conducted using the maintenance tasks of 19 EMU sets as the test scenario. The results indicate that when the number of maintenance teams is set to 4, an optimal balance between maintenance efficiency and operational cost is achieved, the occupancy duration of key line zones reaches 3034 min (the theoretical optimum), the number of maintenance teams is reduced by 33.33% compared to the initial 6 teams, and the number of storage operations is optimized to 27 times. Additionally, the algorithm’s solution time remains under 50 s, demonstrating significantly improved computational efficiency. Comparative experiments with baseline algorithms show that the proposed method reduces the occupancy duration of key line zones by up to 0.49%, decreases the number of storage operations by 14 times, and advances the maximum completion time by 20 min. In summary, the proposed method provides solid theoretical support for the formulation of maintenance plans and shunting schedules in EMU depots. Particularly in complex scenarios with limited maintenance capacity, it offers innovative and robust decision-making foundations, demonstrating significant practical guidance value. Full article
Show Figures

Figure 1

28 pages, 3910 KB  
Article
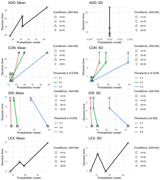
A Probabilistic Modeling Approach to Decision Strategies: Predicting Expected Information Search and Decision Time in Multi-Attribute Choice Tasks with Varying Numbers of Attributes and Alternatives
by Kazuhisa Takemura, Hajime Murakami and Yuki Tamari
Mathematics 2026, 14(1), 168; https://doi.org/10.3390/math14010168 - 1 Jan 2026
Viewed by 289
Abstract
It has been well established that individuals employ different decision strategies depending on the task environment, and these strategies differ in the amount of information search and time required to reach a decision. The present study developed probabilistic models for four representative decision [...] Read more.
It has been well established that individuals employ different decision strategies depending on the task environment, and these strategies differ in the amount of information search and time required to reach a decision. The present study developed probabilistic models for four representative decision strategies—additive, conjunctive, disjunctive, and lexicographic (including lexicographic semi-order)—and applied them to predict expected information search and decision time in multi-attribute decision-making tasks that varied in the number of attributes and alternatives. The modeling results showed that conjunctive and disjunctive strategies were strongly influenced by the number of attributes but were relatively unaffected by the number of alternatives. In contrast, the additive and lexicographic strategies were affected by both the number of attributes and alternatives, although the influence was smaller for the lexicographic strategy. To evaluate the predictive validity of these probabilistic models, their predictions were compared with those obtained through computer simulations based on an adaptive decision-maker model using the Mersenne Twister method, as well as with data from the previous psychological experiment. The comparative analyses revealed that the predictions generated by the probabilistic models were generally consistent with findings from prior empirical and simulation studies. These results suggest that even relatively simple mathematical models can successfully account for and predict variations in information search behavior and decision time leading to final choice outcomes. Full article
Show Figures

Figure 1

27 pages, 710 KB  
Article
Robust Multi-Objective Optimization Model for Reserve and Credit Fund Allocation in Banking Under Conditional Value-at-Risk Constraints
by Moch Panji Agung Saputra, Diah Chaerani, Sukono and Mazlynda Md Yusuf
J. Risk Financial Manag. 2026, 19(1), 4; https://doi.org/10.3390/jrfm19010004 - 19 Dec 2025
Viewed by 312
Abstract
In the realm of financial management, optimizing the allocation of funds in banking companies is vital to their operational efficiency. Banks manage their funds by allocating them into reserve and credit funds as the main activities of banking. Optimizing these allocations ensures that [...] Read more.
In the realm of financial management, optimizing the allocation of funds in banking companies is vital to their operational efficiency. Banks manage their funds by allocating them into reserve and credit funds as the main activities of banking. Optimizing these allocations ensures that all assets are effectively utilized. However, real-life optimization problems often involve uncertainty, making deterministic data assumptions insufficient. Robust Optimization is a methodology that addresses these uncertainties by incorporating computational tools to solve optimization problems with uncertain data. The uncertainty approach used in robust optimization is polyhedral sets. In the context of banking, uncertainties influencing the allocation of reserve and credit funds include financial risks and returns. These risks can be quantified using Conditional Value-at-Risk (CVaR), a suitable measure for banking fund allocation due to its ability to accommodate varying risk characteristics under different business conditions. This study focuses on developing an optimization model for reserve and credit fund allocation in banking companies using a Multi-objective Robust CVaR approach with lexicographic, informed by business risk data and credit instruments. The resulting optimization model yields optimal allocations for reserve and credit funds, ensuring efficient asset utilization to support banking operations. This approach offers new perspectives for banks to achieve fund allocations that are not only regulatory compliant but also optimal. The implications of such optimal allocations include mitigating risks associated with reserve fund imbalances and enhancing profitability through optimal credit returns. Full article
(This article belongs to the Section Banking and Finance)
Show Figures

Figure 1

25 pages, 911 KB  
Article
Constraint-Efficient Comparators via Weighted Accumulation
by Marc Guzmán-Albiol, Marta Bellés-Muñoz, Rafael Genés-Durán and Jose Luis Muñoz-Tapia
Mathematics 2025, 13(24), 3959; https://doi.org/10.3390/math13243959 - 12 Dec 2025
Viewed by 376
Abstract
This article presents an optimized method for verifying the comparison of two binary numbers using the rank-1 constraint system (R1CS) representation, a standard framework for verifiable computation systems. In particular, we analyze different strategies for implementing strict comparisons of the form [...] Read more.
This article presents an optimized method for verifying the comparison of two binary numbers using the rank-1 constraint system (R1CS) representation, a standard framework for verifiable computation systems. In particular, we analyze different strategies for implementing strict comparisons of the form t>K, where K is a known constant and t is an integer input to the comparison. We first analyze a lexicographic approach that, although conceptually straightforward, results in a large number of constraints due to its branching logic. To address this inefficiency, we introduce a weighted-accumulation method that computes an accumulator whose sign determines the comparison outcome. By assigning position-dependent weights to bit pairs and formulating the computation through degree-2 constraints, this method eliminates branching and significantly reduces the total number of constraints. In order to validate our designs, we implemented the described comparison algorithms in an R1CS compiler called circom, allowing us to generate and analyze the corresponding R1CS constraint systems in practice. Overall, the presented design not only ensures correctness but also demonstrates how careful exploitation of the R1CS structure can lead to efficient constraint settings. Full article
(This article belongs to the Special Issue Applied Cryptography and Information Security with Application)
Show Figures

Figure 1

20 pages, 370 KB  
Article
On the Extended Adjacency Eigenvalues of Graphs and Applications
by Hilal A. Ganie and Amal Alsaluli
Mathematics 2025, 13(22), 3620; https://doi.org/10.3390/math13223620 - 12 Nov 2025
Viewed by 443
Abstract
Let Aex(G) be the extended adjacency matrix of G. The eigenvalues of Aex(G) are called extended adjacency eigenvalues of G. The sum of the absolute values of eigenvalues of the [...] Read more.
Let Aex(G) be the extended adjacency matrix of G. The eigenvalues of Aex(G) are called extended adjacency eigenvalues of G. The sum of the absolute values of eigenvalues of the Aex-matrix is called the extended adjacency energy Eex(G) of G. In this paper, we obtain the Aex-spectrum of the joined union of regular graphs in terms of their adjacency spectrum and the eigenvalues of an auxiliary matrix. Consequently, we derive the Aex-spectrum of the join of two regular graphs, the lexicographic product of regular graphs, and the Aex-spectrum of various families of graphs. Further, as applications of our results, we construct infinite classes of infinite families of extended adjacency equienergetic graphs. We show that the Aex-energy of the join of two regular graphs is greater than or equal to their energy. We also determine the Aex-eigenvalues of the power graph of finite abelian groups. Full article
(This article belongs to the Section A: Algebra and Logic)
Show Figures

Figure 1

23 pages, 323 KB  
Article
Hybrid Decision Framework for Resilient and Sustainable Supplier Selection Under Uncertainty: Application to Unmanned Aerial Vehicle Industries
by Abolghasem Yousefi-Babadi, Alireza Ostovari and Lyes Benyoucef
Sustainability 2025, 17(22), 9968; https://doi.org/10.3390/su17229968 - 7 Nov 2025
Viewed by 483
Abstract
Global brands are increasingly establishing dedicated administrative departments to strengthen sustainability and resilience in their supply chains. However, overlooking these aspects at the supplier level can result in significant costs and systemic vulnerabilities. This study addresses this gap through four key contributions: First, [...] Read more.
Global brands are increasingly establishing dedicated administrative departments to strengthen sustainability and resilience in their supply chains. However, overlooking these aspects at the supplier level can result in significant costs and systemic vulnerabilities. This study addresses this gap through four key contributions: First, we provide a comprehensive sustainability assessment by simultaneously considering economic, environmental, and social pillars along with resilience, operationalized through twenty-four sub-criteria. Second, we explicitly incorporate human judgment and uncertainty by modeling supplier evaluation with interval weights, capturing the ambiguity and subjectivity inherent in expert decision-making. Third, we propose a novel hybrid methodology, integrating lexicographic goal programming (LGP), the analytical hierarchy process (AHP), and two-stage logarithmic goal programming (TLGP) in a systematic framework. Finally, we validate the approach in real-world contexts through case studies in the electronics and unmanned aerial vehicle (UAV) industries. The results reveal notable differences in supplier rankings when comparing LGP and TLGP, highlighting the methodological implications of advanced goal programming in uncertain environments. Overall, this study advances supplier selection research by offering both a validated decision-support tool for practitioners and methodological insights for scholars working on sustainability and resilience under uncertainty. Full article
Show Figures

Figure 1

20 pages, 43256 KB  
Article
Comparative Study of Bitmixing, Marginal, and Lexicographic Methods for Color Image Morphological Processing
by Carlos Paredes-Orta, Angélica Rosario Jiménez-Sánchez, Damián Vargas-Vázquez, Edgar Rafael Ponce de León Sánchez, Israel Santillan and Jorge Domingo Mendiola-Santibañez
Symmetry 2025, 17(11), 1858; https://doi.org/10.3390/sym17111858 - 4 Nov 2025
Viewed by 409
Abstract
A comprehensive comparative study is presented of three approaches for color morphological processing: the proposed bitmixing transformation, lexicographic ordering, and conventional marginal processing. The novel bitmixing method converts RGB channels into a single 24-bit scalar representation through bit-interleaving, preserving both color information and [...] Read more.
A comprehensive comparative study is presented of three approaches for color morphological processing: the proposed bitmixing transformation, lexicographic ordering, and conventional marginal processing. The novel bitmixing method converts RGB channels into a single 24-bit scalar representation through bit-interleaving, preserving both color information and spatial ordering relationships. This enables the direct application of grayscale morphological operators while generally preserving structural, chromatic, and visual relationships in processed objects. Under appropriate conditions—such as when objects exhibit clear color-based boundaries and bilateral symmetry—the method tends to maintain these symmetries more consistently than marginal or lexicographic alternatives. Experimental evaluation shows that the bitmixing approach achieves a competitive balance between color preservation and computational efficiency. In specific scenarios involving color-defined regions and symmetric structures, it demonstrates modest advantages over marginal and lexicographic methods. These findings suggest that the proposed method can serve as a viable alternative in applications where color fidelity, structural coherence, and symmetry preservation are desirable, though its benefits are context-dependent. Full article
(This article belongs to the Section Computer)
Show Figures

Graphical abstract

27 pages, 2572 KB  
Article
Automating Lexical Graph Construction with Large Language Models: A Scalable Approach to Japanese Multi-Relation Lexical Networks
by Benedikt Perak and Dragana Špica
Knowledge 2025, 5(4), 24; https://doi.org/10.3390/knowledge5040024 - 27 Oct 2025
Viewed by 1211
Abstract
In recent advancements within natural language processing (NLP), lexical networks play a crucial role in representing semantic relationships between words, enhancing applications from word sense disambiguation to educational tools. Traditional methods for constructing lexical networks, however, are resource-intensive, relying heavily on expert lexicographers. [...] Read more.
In recent advancements within natural language processing (NLP), lexical networks play a crucial role in representing semantic relationships between words, enhancing applications from word sense disambiguation to educational tools. Traditional methods for constructing lexical networks, however, are resource-intensive, relying heavily on expert lexicographers. Leveraging GPT-4o, a large language model (LLM), our study presents an automated, scalable approach to creating multi-relational Japanese lexical networks for the general Japanese language. This study builds on previous methods of integrating synonyms but extends to other relations such as hyponymy, hypernymy, meronymy, and holonomy. Using a combination of structured prompts and graph-based data storage, the model extracts detailed lexical relationships, which are then systematically validated and encoded. Results reveal a substantial expansion in network size, with over 155,000 nodes and 700,000 edges, enriching Japanese lexical associations with nuanced hierarchical and associative layers. Comparisons with WordNet show substantial alignment in relation types, particularly with soft matching, underscoring the model’s efficacy in reflecting the multifaceted nature of lexical semantics. This work contributes a versatile framework for constructing expansive lexical resources that hold promises for enhancing NLP tasks and educational applications across various languages and domains. Full article
(This article belongs to the Special Issue Knowledge Management in Learning and Education)
Show Figures

Figure 1

40 pages, 11770 KB  
Article
Exploring Cost–Comfort Trade-Off in Implicit Demand Response for Fully Electric Solar-Powered Nordic Households
by Meysam Aboutalebi, Matin Bagherpour, Josef Noll and Geir Horn
Energies 2025, 18(21), 5568; https://doi.org/10.3390/en18215568 - 22 Oct 2025
Cited by 1 | Viewed by 696
Abstract
This paper proposes a household energy management system for all-electric households, focusing on the interplay between cost savings and occupant comfort through an implicit demand response programme. A sequential multi-objective optimisation model is developed based on the lexicographic approach, allowing for the effective [...] Read more.
This paper proposes a household energy management system for all-electric households, focusing on the interplay between cost savings and occupant comfort through an implicit demand response programme. A sequential multi-objective optimisation model is developed based on the lexicographic approach, allowing for the effective prioritisation of objectives. The model optimally schedules a diverse range of electricity demands using real-world data from a Norwegian pilot household to evaluate its unique flexibility potential, while remaining adaptable for other regions. This includes integrating thermal and non-thermal demands with electric mobility via vehicle-to-home enabled electric vehicle charger. This approach achieves significant cost savings on energy bills and enhances user comfort across aggregated comfort indicators. Multiple scenarios are designed to evaluate the performance of the proposed demand response under diverse pricing mechanisms. Results indicate that transitioning from variable pricing to fixed pricing can lead to lower average electricity costs and higher average user comfort. The analysis reveals that prioritising occupant comfort can substantially increase electricity demand, resulting in a nearly fourfold rise in average annual expenses, while also leading to a decrease in self-consumption and self-sufficiency. Additionally, the study illustrates how grid tariff adjustments can benefit households and support the development of local renewable energy. Full article
Show Figures

Figure 1

17 pages, 347 KB  
Article
Traces of Ancient Turkish Belief Systems in Kazakh: The Example of ‘Baksı’
by Serdar Özdemir
Genealogy 2025, 9(4), 110; https://doi.org/10.3390/genealogy9040110 - 14 Oct 2025
Viewed by 1484
Abstract
This study examines the figure of the baksı as a living reflection of ancient Turkic belief systems in contemporary Kazakh culture. The baksı, whose earliest attestations in Old Uyghur Turkic derive from the Chinese po-shih (“scholar, teacher”), historically denoted a wide range [...] Read more.
This study examines the figure of the baksı as a living reflection of ancient Turkic belief systems in contemporary Kazakh culture. The baksı, whose earliest attestations in Old Uyghur Turkic derive from the Chinese po-shih (“scholar, teacher”), historically denoted a wide range of roles, including religious guide, scholar, scribe, healer, bard, and shaman. Employing an interdisciplinary methodology that integrates philological, lexicographic, folkloric, and ethnographic perspectives, the research traces the semantic development of the term across Turkic and Mongolic traditions, its uses in historical texts, and its representations in Kazakh oral literature such as proverbs, idioms, epics, and fairy tales. The findings show that while the baksı has been idealised as a healer, sage, and spiritual mediator, it has also been depicted with suspicion as a deceiver or figure associated with jinn, particularly in the post-Islamic period. Ethnographic insights further reveal that becoming a baksı involves a sacred calling, initiation rituals, and distinctive clothing and performance practices, situating the figure at the intersection of religion, medicine, and art. The study concludes that the baksı is not only a historical heritage but also a dynamic cultural institution, mediating between past and present, nature and society, and continuing to shape Kazakh identity today. Full article
18 pages, 4037 KB  
Article
Research on Hybrid Communication Strategy for Low-Power Battery-Free IoT Terminals
by Shichao Zhang, Deyu Miao, Na Zhang, Yi Han, Yali Gao, Jiaqi Liu and Weidong Gao
Electronics 2025, 14(19), 3881; https://doi.org/10.3390/electronics14193881 - 30 Sep 2025
Viewed by 547
Abstract
The sharp increase in Internet of Things (IoT) terminal numbers imposes significant pressure on energy and wireless spectrum resources. Battery-free IoT technology has become an effective solution to address the high power consumption and cost issues of traditional IoT systems. While leveraging backscatter [...] Read more.
The sharp increase in Internet of Things (IoT) terminal numbers imposes significant pressure on energy and wireless spectrum resources. Battery-free IoT technology has become an effective solution to address the high power consumption and cost issues of traditional IoT systems. While leveraging backscatter communication, battery-free IoT faces challenges such as low throughput and poor fairness among wireless links. To tackle these problems, this study proposes a low-power hybrid communication mechanism for terminals. Within this mechanism, a time-frame partitioning method for hybrid communication strategies is designed based on sensing results of licensed spectrum channels. Considering terminal power constraints, quality of service (QoS) requirements of primary communication links, and time resource limitations, a hybrid communication strategy model is established to jointly optimize fairness and maximize throughput. To resolve the non-convexity in the Multi-objective Lexicographical Optimization Problem (MLOP), the Block Coordinate Descent (BCD) method and auxiliary variables are introduced. Simulation results demonstrate that, compared to the baseline scheme, the proposed approach reduces the throughput gap between links from 85.4% to 0.32% when the channel gain differences are small, while the total system throughput decreases by only 8.81%. As the channel gain disparity increases, the baseline scheme exhibits a more pronounced disadvantage in terms of throughput fairness, while the proposed approach still reduces the throughput gap between the best and worst links from 91.02% to 0.684% at the cost of a 9.18% decrease in total system throughput. These results demonstrate that the proposed scheme effectively balances fairness and throughput performance across diverse channel conditions, ensuring relatively equitable quality of service for all users in the IoT network. Full article
Show Figures

Figure 1

13 pages, 497 KB  
Proceeding Paper
Symmetries and Scale Invariance in Global Maps of Quantum Circuits
by Theophanes Raptis and Vasilios Raptis
Proceedings 2025, 123(1), 5; https://doi.org/10.3390/proceedings2025123005 - 9 Sep 2025
Viewed by 2233
Abstract
We present a combinatorial analysis of any maximal set of gate compositions parameterized over a finite alphabet which revealed an underlying fractal structure. Results are presented as global maps in the form of large 2D arrays where each row stands for an unfolded [...] Read more.
We present a combinatorial analysis of any maximal set of gate compositions parameterized over a finite alphabet which revealed an underlying fractal structure. Results are presented as global maps in the form of large 2D arrays where each row stands for an unfolded list of matrix elements for any unitary matrix resulting from a succession of Kronecker products while columns stand for all possible words representing such sequences. These can be given either in lexicographic order or via a non-binary (n-ary) Gray code in which case any such map can be factorized. Full article
(This article belongs to the Proceedings of The 5th International Conference on Symmetry (Symmetry 2025))
Show Figures

Figure 1

16 pages, 235 KB  
Entry
The Computational Study of Old English
by Javier Martín Arista
Encyclopedia 2025, 5(3), 137; https://doi.org/10.3390/encyclopedia5030137 - 4 Sep 2025
Viewed by 1552
Definition
This entry presents a comprehensive overview of the computational study of Old English that surveys the evolution from early digital corpora to recent artificial intelligence applications. Six interconnected domains are examined: textual resources (including the Helsinki Corpus, the Dictionary of Old English [...] Read more.
This entry presents a comprehensive overview of the computational study of Old English that surveys the evolution from early digital corpora to recent artificial intelligence applications. Six interconnected domains are examined: textual resources (including the Helsinki Corpus, the Dictionary of Old English Corpus, and the York-Toronto-Helsinki Parsed Corpus), lexicographical resources (analysing approaches from Bosworth–Toller to the Dictionary of Old English), corpus lemmatisation (covering both prose and poetic texts), treebanks (particularly Universal Dependencies frameworks), and artificial intelligence applications. The paper shows that computational methodologies have transformed Old English studies because they facilitate large-scale analyses of morphology, syntax, and semantics previously impossible through traditional philological methods. Recent innovations are highlighted, including the development of lexical databases like Nerthusv5, dependency parsing methods, and the application of transformer models and NLP libraries to historical language processing. In spite of these remarkable advances, problems persist, including limited corpus size, orthographic inconsistency, and methodological difficulties in applying modern computational techniques to historical languages. The conclusion is reached that the future of computational Old English studies lies in the integration of AI capabilities with traditional philological expertise, an approach that enhances traditional scholarship and opens new avenues for understanding Anglo-Saxon language and culture. Full article
(This article belongs to the Section Arts & Humanities)
Back to TopTop