Sign in to use this feature.

Years

Between: -

Subjects

remove_circle_outline
remove_circle_outline
remove_circle_outline
remove_circle_outline
remove_circle_outline
remove_circle_outline
remove_circle_outline
remove_circle_outline
remove_circle_outline

Journals

remove_circle_outline
remove_circle_outline
remove_circle_outline
remove_circle_outline
remove_circle_outline
remove_circle_outline
remove_circle_outline
remove_circle_outline
remove_circle_outline
remove_circle_outline
remove_circle_outline
remove_circle_outline
remove_circle_outline
remove_circle_outline
remove_circle_outline
remove_circle_outline
remove_circle_outline
remove_circle_outline
remove_circle_outline
remove_circle_outline

Article Types

Countries / Regions

remove_circle_outline
remove_circle_outline
remove_circle_outline
remove_circle_outline
remove_circle_outline
remove_circle_outline
remove_circle_outline
remove_circle_outline
remove_circle_outline
remove_circle_outline

Search Results (2,925)

Search Parameters:
Keywords = lead vegetations

Order results
Result details
Results per page
Select all
Export citation of selected articles as:
15 pages, 5120 KB  
Article
Forest Degradation Analysis and Management from a Phytogeographical View: A Case Study of Ben En National Park, Vietnam
by Thuy Van Tran Thi, Thanh Tan Mai and Thu Nhung Nguyen
Land 2026, 15(5), 749; https://doi.org/10.3390/land15050749 (registering DOI) - 28 Apr 2026
Abstract
The forest within the Ben En National Park has a diverse flora, which, although protected, remains subject to degradation. The analysis and management strategies for forest degradation within this park were conducted using a phytogeographical approach supplemented by satellite imagery and a SWOT [...] Read more.
The forest within the Ben En National Park has a diverse flora, which, although protected, remains subject to degradation. The analysis and management strategies for forest degradation within this park were conducted using a phytogeographical approach supplemented by satellite imagery and a SWOT analysis. As a result, the area is characterized by nine distinct vegetation types comprising 1417 vascular plant species (from 902 genera and 196 families). These species belong to endemics from Northern, Central, and all of Vietnam, as well as 16 other phytogeographical elements. Tropical Asian and South China elements dominate the community structure in evergreen broad-leaved closed forests on both limestone and non-limestone mountains. Forest degradation is evident in changes to both floristic composition and vegetation structure. Floristic composition shows a trend of decreasing native elements while simultaneously increasing non-native or introduced elements. This “anthropogenic tropicalization” leads to a declining chain of ecological function from palaeotropical to introduced elements, resulting in biological invasion. For instance, the invasive species, Mimosa pigra, currently occupies about 442 ha in the semi-submerged zone of the Song Muc reservoir, indicating a loss of ecological function and a likely hydrological pathway for further spread. As a consequence of “anthropogenic tropicalization”, the vegetation is fragmented and gradually altered from a natural system to an anthropogenic one through a regressive succession from primary forest to bare land/invaded area. Based on the SWOT analysis, four management actions were proposed: 1—Establish a “sustainable native forest” program and “invasive species control” in the Song Muc reservoir; 2—Launch a “green livelihoods for the buffer zone” initiative; 3—Implement a “Smart forest monitoring” system; and 4—Forge an “ecotourism-conservation-community” alliance. Full article
Show Figures

Figure 1

30 pages, 12624 KB  
Article
Explaining Seasonal 5G Path Loss in a Vineyard: From Empirical Models to Interpretable Machine Learning
by Daniel Schneider, Ali Imran Jehangiri, Daniel Müller, Hannes Frey and Maria Anna Wimmer
Future Internet 2026, 18(5), 237; https://doi.org/10.3390/fi18050237 - 28 Apr 2026
Abstract
Radio network planning is critical for 5G deployments, particularly for temporary installations in rural areas where terrain and vegetation significantly impact signal propagation. While empirical path loss (PL) models characterize propagation environments through scenario-specific parameters—leading to inherently noisy predictions at individual sites—machine learning [...] Read more.
Radio network planning is critical for 5G deployments, particularly for temporary installations in rural areas where terrain and vegetation significantly impact signal propagation. While empirical path loss (PL) models characterize propagation environments through scenario-specific parameters—leading to inherently noisy predictions at individual sites—machine learning (ML) approaches can predict site-specific path loss from multiple features simultaneously. This study conducts a systematic literature review of rural path loss prediction methods and introduces a novel dataset collected via a 5G nomadic measurement platform in a vineyard environment, capturing real-world propagation characteristics. We present a comprehensive comparison of machine learning and interpretable machine learning techniques, demonstrating that vegetation dynamics (quantified through the Normalized Difference Vegetation Index, NDVI) is an important driver of path loss variability when combining data across seasonal campaigns—though not within individual campaigns, where distance dominates. Cross-campaign NDVI transfer, however, is sensitive to satellite resolution, which appears to conflate vine canopy with seasonally managed inter-row ground cover. In cross-campaign transfer, XGBoost proves substantially less susceptible to NDVI-induced degradation than Explainable Boosting Machines (EBM), and a hybrid Log-Normal Shadowing (LNS) and XGBoost model confirms that NDVI captures seasonal variability more effectively than empirical path loss parameters alone. Still, the data captured the expected seasonal trend between April and June 2025, from which our interpretable models derived useful propagation insights. Tree-based models like Random Forest and XGBoost achieved the highest prediction accuracy (R2 up to 0.924 on individual campaigns, 0.891 on combined data, and up to 0.945 (individual) and 0.907 (combined) with antenna pattern-corrected path loss), while explainable boosting machines achieved near-parity (R2 up to 0.919; 0.876 on combined data) with the advantage of interpretability. Among individual campaigns, June—with densest canopy cover—yielded the highest R2 values. These findings provide actionable insights for optimizing temporary 5G networks in precision agriculture and other rural applications. Full article
(This article belongs to the Section Smart System Infrastructure and Applications)
Show Figures

Figure 1

26 pages, 4555 KB  
Review
Progress and Trends in UAV-Based Soil Moisture Inversion: A Comparative Knowledge Mapping Analysis of CNKI and Web of Science
by Lu Wang, Taifeng Zhu, Weiwei Dai, Feng Liang, Chenglong Yu, Peng Xiong, Xiong Fang, Yanlan Huang and Wen Xie
Remote Sens. 2026, 18(9), 1327; https://doi.org/10.3390/rs18091327 - 26 Apr 2026
Abstract
Soil moisture critically governs terrestrial energy and water cycles. Precise monitoring of soil water content is essential for precision agriculture, drought early warning, and water resource management. Ground-based observations offer limited spatial coverage, and satellite remote sensing generally lacks high spatial resolution. Unmanned [...] Read more.
Soil moisture critically governs terrestrial energy and water cycles. Precise monitoring of soil water content is essential for precision agriculture, drought early warning, and water resource management. Ground-based observations offer limited spatial coverage, and satellite remote sensing generally lacks high spatial resolution. Unmanned aerial vehicle (UAV) remote sensing, which provides centimeter-level spatial detail, can effectively address this gap and has therefore attracted considerable attention in soil moisture inversion research. Using CiteSpace, we performed a bibliometric analysis of 97 Chinese papers from the China National Knowledge Infrastructure (CNKI) and 321 English papers from the Web of Science Core Collection (2014–2025). The field has expanded rapidly since 2018, with China occupying a leading role. Domestically, Northwest A&F University represents a major research cluster, while the Chinese Academy of Sciences leads internationally. Key research topics include UAVs, soil moisture, machine learning, hyperspectral sensing, canopy temperature, and precision agriculture. Research themes have progressed from reliance on vegetation indices and temperature data toward the integration of hyperspectral and thermal infrared measurements, and toward the use of machine learning approaches to improve inversion models and achieve more accurate estimations. This study delineates the classification and developmental context of a knowledge system for soil moisture inversion using UAV remote sensing. Current work concentrates on integrating multi-sensor data with machine learning, while future efforts will emphasize coupling physical mechanisms with deep learning. These findings offer researchers a clear view of the field’s frontiers and a basis for planning future studies. Full article
Show Figures

Figure 1

27 pages, 624 KB  
Systematic Review
Heavy Metal Contamination in Foods: Advances in Detection Technologies, Regulatory Challenges, Health Risks, and Implications for Sustainable Food Safety
by Diego A. Hernández-Montoya, Ana G. Castañeda-Miranda, Margarita L. Martinez-Fierro, Alfonso Talavera-Lopez, Remberto Sandoval-Aréchiga, Jose. R. Gomez-Rodriguez, Víktor I. Rodríguez-Abdalá, Rodrigo Castañeda-Miranda, Luis Alberto Flores-Chaires, Sodel Vazquez-Reyes and Salvador Ibarra Delgado
Sustainability 2026, 18(9), 4280; https://doi.org/10.3390/su18094280 (registering DOI) - 25 Apr 2026
Viewed by 638
Abstract
Heavy metal contamination of foods remains a persistent global challenge for food safety and public health, driven by industrialization, mining activities, intensive agriculture, and ongoing environmental degradation. This scoping review synthesizes peer-reviewed literature on the occurrence of priority toxic metals—arsenic, cadmium, lead, mercury, [...] Read more.
Heavy metal contamination of foods remains a persistent global challenge for food safety and public health, driven by industrialization, mining activities, intensive agriculture, and ongoing environmental degradation. This scoping review synthesizes peer-reviewed literature on the occurrence of priority toxic metals—arsenic, cadmium, lead, mercury, and nickel—in food matrices, with emphasis on contamination pathways, analytical detection strategies, and documented human health effects. The reviewed studies reveal widespread accumulation of heavy metals in staple foods, including cereals, vegetables, seafood, and processed products, with concentrations frequently approaching or exceeding international regulatory limits, particularly in regions exposed to strong anthropogenic pressure. Conventional laboratory-based techniques, such as atomic absorption spectrometry and inductively coupled plasma methods, remain the reference standards for quantitative determination and regulatory compliance; however, their application to large-scale or continuous monitoring is often constrained by cost, infrastructure, and operational complexity. Consequently, increasing attention has been directed toward emerging detection approaches, including portable X-Ray fluorescence, Raman/SERS spectroscopy, electrochemical biosensors, electronic tongues, and in situ magnetic measurements, as complementary tools for rapid screening and field-based surveillance. Among these, environmental magnetism and in situ magnetic techniques stand out as non-destructive, low-cost proxies capable of identifying metal-associated particulate contamination linked to food production systems. Chronic dietary exposure to heavy metals is consistently associated with neurotoxicity, nephrotoxicity, carcinogenicity, and oxidative stress, underscoring the need for integrated, multi-tiered monitoring frameworks to support early detection, risk assessment, and prevention. Full article
Show Figures

Figure 1

31 pages, 1645 KB  
Review
The Mediterranean Diet and Cardiovascular Protection: Biochemical Mechanisms with Emphasis on Platelet-Activating Factor
by Paraskevi Detopoulou, Smaragdi Antonopoulou, Pinelopi Douvogianni and Constantinos A. Demopoulos
Nutrients 2026, 18(9), 1320; https://doi.org/10.3390/nu18091320 - 22 Apr 2026
Viewed by 425
Abstract
Landmark epidemiological studies and clinical trials, such as the Seven Countries Study, the Lyon Diet Heart Study, the PREDIMED Study and the CORDIOPREV Study, have shown significant reductions in cardiovascular events in those following the Mediterranean diet (MD). The aim of the present [...] Read more.
Landmark epidemiological studies and clinical trials, such as the Seven Countries Study, the Lyon Diet Heart Study, the PREDIMED Study and the CORDIOPREV Study, have shown significant reductions in cardiovascular events in those following the Mediterranean diet (MD). The aim of the present work is to summarize the most robust available evidence and the major biological pathways underlying the protective effects of the MD, with particular emphasis on the role of PAF inhibitors. Mechanistically, MD functions through a complex synergy of antioxidant, anti-inflammatory, and antithrombotic effects that collectively improve lipid profiles, enhance endothelial function, optimize postprandial metabolism and cell membrane signaling, making it a functional model for human longevity. The PAF-Implicated Atherosclerosis Theory has emerged as a key unifying framework, proposing that Platelet-Activating Factor (PAF)—a highly potent lipid inflammatory mediator—plays a central role in the initiation and progression of atherosclerosis. Oxidized LDL promotes the production of PAF and PAF-like lipids, leading to endothelial dysfunction, vascular inflammation, and atherosclerotic plaque formation. Traditional Mediterranean foods are rich in natural PAF inhibitors, particularly the polar lipid fractions of extra virgin olive oil, as well as wine, fish, vegetables, onions, and garlic. Animal studies demonstrate that these compounds can reduce or even regress atherosclerotic lesions, independently of serum cholesterol levels. Human dietary interventions have further shown that MD-based meals and functional foods enriched with PAF inhibitors reduce PAF activity and improve thrombosis-related biomarkers. This mechanistic framework helps explain phenomena such as the “French Paradox” and the cardio-protective effects associated with fish consumption. Moreover, the extraction of PAF inhibitors from Mediterranean food by-products, such as olive pomace, offers promising ecological and economic advantages. Collectively, targeting PAF and increasing dietary intake of PAF inhibitors represent promising strategies for the prevention and management of atherosclerosis and other inflammatory diseases, supporting the view that PAF may function as a major, modifiable risk factor in these conditions. Full article
(This article belongs to the Special Issue Mediterranean Diet and Cardiovascular Diseases)
Show Figures

Graphical abstract

23 pages, 1914 KB  
Article
Rapid, Matrix-Dependent Changes in Polyphenols and Antioxidant Capacity of Methanol Plant Extracts During Short-Term Storage: Implications for Analytical Timing
by Attila Kiss and Tarek Alshaal
Int. J. Mol. Sci. 2026, 27(9), 3723; https://doi.org/10.3390/ijms27093723 - 22 Apr 2026
Viewed by 159
Abstract
Throughout this study, the short-term stability of methanol extracts was evaluated in cases of 15 distinctive, antioxidant-rich plant materials over 3, 7, and 14 days under refrigeration (4 °C), dark room-temperature, and light-exposed room-temperature conditions. A great variability in the matrix-dependent stability of [...] Read more.
Throughout this study, the short-term stability of methanol extracts was evaluated in cases of 15 distinctive, antioxidant-rich plant materials over 3, 7, and 14 days under refrigeration (4 °C), dark room-temperature, and light-exposed room-temperature conditions. A great variability in the matrix-dependent stability of the antioxidants, as well as the pronounced impact of the implied storage conditions on their plausible degradation, was revealed and featured. Initial total polyphenol content (TPC) ranged from 50.50 ± 0.44 mg gallic acid (GAE)/g DW (rosemary) to only 0.02 ± 0.006 mg GAE/g DW (amaranth). After 14 days, pigment-rich vegetable extracts (basil, beetroot powder, spinach powder, dried onion, tomato powder, and yarrow tail) lost 86.2–89.2% of TPC and 80–99% of DPPH (2,2-diphenyl-1-picrylhydrazyl) activity across all conditions, even under refrigeration. In contrast, for Lamiaceae species, markedly higher levels of the referred parameters were to be observed after 14-day-long storage. Decrease in TPC values was found to be 43.7% (rosemary), 50.6% (thyme), and 42.9% (oregano), respectively, while DPPH values were reduced by only 17–29%. Turmeric and walnut flour showed intermediate stability. Refrigeration consistently minimized the degradation of antioxidants (e.g., rosemary’s decrease in DPPH was only 20.3% at 4 °C vs. >70% under ambient conditions), while light exposure significantly accelerated losses of antioxidants in nearly all samples. Methanol extracts of many dietary plants, particularly pigment-rich ones, exhibit rapid and pronounced changes during short-term storage. Comparison with values obtained immediately after extraction shows that even brief storage can lead to substantial deviations. Although the current sampling intervals do not capture changes within the first hours, the results clearly indicate the need to minimize delays and standardize analytical timing to avoid underestimating phenolic content and antioxidant capacity. Moreover, these findings demonstrate that measured antioxidant properties are not solely inherent to the plant material but are strongly influenced by the extract matrix and methodological conditions. Consequently, antioxidant data should be regarded as matrix- and protocol-dependent, with important implications for their interpretation, comparability, and reproducibility across studies. Full article
(This article belongs to the Special Issue Advances in Plant Bioactive Compounds)
19 pages, 11668 KB  
Article
Identifying the Key Drivers of Changes in the Morphological Traits of Ledum palustre, Rhizosphere Soil Physicochemical Properties, and Microbial Community Structure Along a Fire Chronosequence in the Da Xing’an Mountains of Northeastern China
by Yurong Liang, Tuo Li, Huiying Cai, Qingpeng Liu, Hu Lou and Long Sun
Agronomy 2026, 16(9), 846; https://doi.org/10.3390/agronomy16090846 - 22 Apr 2026
Viewed by 223
Abstract
Ledum palustre (L. palustre) is widely used in drug development because of its antibacterial and analgesic effects. However, wild L. palustre is often affected by wildfires, resulting in unstable yields. Forest fires represent a major disturbance in northern forest ecosystems and [...] Read more.
Ledum palustre (L. palustre) is widely used in drug development because of its antibacterial and analgesic effects. However, wild L. palustre is often affected by wildfires, resulting in unstable yields. Forest fires represent a major disturbance in northern forest ecosystems and profoundly affect shrub vegetation and its associated rhizosphere microbial communities. In this study, we investigated a fire chronosequence (1991, 2004, 2012, 2017, and 2020) to systematically examine the morphological traits of L. palustre, rhizosphere soil physicochemical properties, and microbial community characteristics and to identify the key drivers underlying these patterns. The results revealed that postfire recovery time significantly influenced the morphological traits of L. palustre. The biomass, branch number, basal diameter, and plant height of the shrubs at the 1991 burned site increased by 270.49%, 36.11%, 79.32%, and 191.36%, respectively (p < 0.05). From unburned soils, 29 bacterial and 29 fungal isolates were obtained, with Bacillus sp. and Oidiodendron sp. being the dominant culturable bacterial and fungal taxa, respectively. With increasing postfire recovery time, soil moisture, total nitrogen, ammonium, nitrate, soil organic carbon, acid phosphatase (AP) and N-acetyl-β-D-glucosaminidase (NAG) activity significantly decreased. Early fire disturbance markedly altered soil microbial abundance and community composition, leading to an overall decrease in bacterial α diversity. The bacterial community structure at the 2020 burn site and the fungal community structure at the 2012 burn site significantly differed. Mantel tests revealed significant positive correlations between branch number and basal diameter (p < 0.01) and significant negative correlations between plant height and stem density (p < 0.001). Soil carbon and hydrolysable nitrogen were significantly positively correlated with AP and NAG activities (p < 0.001). Moreover, soil physicochemical properties significantly shaped soil microbial community structures, with bacterial communities in early postfire sites driven by total carbon and nitrogen (p < 0.05), whereas fungal communities in the 2012 burned site were influenced primarily by β-N-acetylglucosaminidase (BG) activity (p < 0.05). Fire disturbance drives successional changes in the rhizosphere microbial community structure and function by altering the soil nutrient status and enzyme activity, which in turn influences the morphological traits of L. palustre. This study provides a theoretical basis for improving the yield of L. palustre by exploring the variation in rhizosphere microorganisms. Full article
Show Figures

Figure 1

31 pages, 12992 KB  
Article
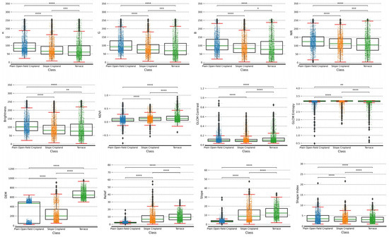
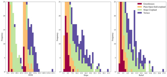
Geographical Zoning-Based Classification of Agricultural Land Use in Hilly and Mountainous Areas Using High-Resolution Remote Sensing Images
by Junyao Zhang, Xiaomei Yang, Zhihua Wang, Xiaoliang Liu, Haiyan Wu, Xiaoqiong Cai and Shifeng Fu
Remote Sens. 2026, 18(8), 1259; https://doi.org/10.3390/rs18081259 - 21 Apr 2026
Viewed by 177
Abstract
Accurately mapping agricultural land use in fragmented hilly and mountainous areas is crucial for resource management but is severely challenged by spatial heterogeneity. While high-resolution (HR) images excel at delineating fine parcel boundaries, their limited spectral and temporal information often leads to spectral [...] Read more.
Accurately mapping agricultural land use in fragmented hilly and mountainous areas is crucial for resource management but is severely challenged by spatial heterogeneity. While high-resolution (HR) images excel at delineating fine parcel boundaries, their limited spectral and temporal information often leads to spectral confusion among diverse agricultural types. To address this limitation, this study proposes a novel spatiotemporal feature-driven geographical zoning method integrating vegetation phenology, topography, and human activity. This zoning strategy decouples the complex global classification task into relatively simple local problems, providing explicit geoscientific constraints for subsequent classification. The proposed method was validated by classifying plain open-field croplands, sloping croplands, terraces, and greenhouses in the hilly and mountainous areas of Beijing using 2 m resolution satellite images. Compared to traditional global classification methods, the proposed zoning-based method increased the overall accuracy from 84.81% to 90.81%, the Kappa coefficient from 0.74 to 0.85, and the Intersection over Union (IoU) from 77.85% to 90.85%. The advantages of geographic zoning were particularly evident in mitigating spatial heterogeneity and enhancing boundary precision. These findings indicate that integrating dynamic geographical zoning as a priori knowledge successfully bridges the gap between HR spatial details and environmental contexts, offering a robust solution for mapping fragmented agricultural landscapes. Full article
Show Figures

Figure 1

35 pages, 28499 KB  
Article
Burn Severity and Environmental Controls of Postfire Forest Recovery in the Kostanay Region (Kazakhstan) Based on Integrated Field and Satellite Data
by Zhanar Ozgeldinova, Altyn Zhanguzhina, Dana Akhmetova, Zhandos Mukayev, Meruyert Ulykpanova and Karshyga Turluybekov
Environments 2026, 13(4), 229; https://doi.org/10.3390/environments13040229 - 21 Apr 2026
Viewed by 334
Abstract
Wildfires are among the key drivers of transformation in boreal ecosystems; however, the mechanisms of postfire recovery in the arid regions of Eurasia remain insufficiently understood. The aim of this study was to identify the role of burn severity and associated edaphic and [...] Read more.
Wildfires are among the key drivers of transformation in boreal ecosystems; however, the mechanisms of postfire recovery in the arid regions of Eurasia remain insufficiently understood. The aim of this study was to identify the role of burn severity and associated edaphic and hydrological factors in shaping the natural regeneration trajectories of Scots pine forests in the Kostanay region of northern Kazakhstan. This study is based on the integration of field data on seedling regeneration and soil conditions with the analysis of long-term satellite-derived indices (NDVI, NDMI, and NBR). Sample plots were grouped according to fixed burn severity classes, which enabled a consistent statistical comparison and reduced the interpretative ambiguity that has characterized previous studies in the region. The results indicate that pine forest regeneration is most successful under low and moderate burn severity, where seed sources are preserved and favourable moisture conditions are maintained. In contrast, high burn severity leads to a reduction in regenerative potential and a shift in recovery trajectories toward deciduous or sparsely vegetated communities. The spectral indices derived from the remote sensing data strongly agreed with the field-based indicators, confirming their suitability for assessing postfire vegetation dynamics. Soil properties act as important modifying factors of recovery processes, particularly under conditions of limited water availability. These findings enhance the current understanding of postfire recovery mechanisms in the arid part of the boreal zone and highlight the need for differentiated management of postfire landscapes. The integration of field observations with remote sensing data provides a robust framework for monitoring and forecasting recovery processes under an increasingly intensified fire regime. Full article
Show Figures

Figure 1

18 pages, 22316 KB  
Article
Optimization of Multi-Scale Feature Extraction and Loss Functions in YOLOv8 for Insulator Defect Detection
by Meng Su, Shuailun Geng, Hong Yu, Shuai Zhou, Lihua Zhou and Jiao Luo
Mathematics 2026, 14(8), 1376; https://doi.org/10.3390/math14081376 - 19 Apr 2026
Viewed by 266
Abstract
To address the challenges of high miss detection rates and accuracy degradation in UAV-based insulator defect detection—primarily stemming from complex background interference and the loss of fine-grained features—this paper presents an optimized lightweight detection framework based on an improved YOLOv8 model. The integration [...] Read more.
To address the challenges of high miss detection rates and accuracy degradation in UAV-based insulator defect detection—primarily stemming from complex background interference and the loss of fine-grained features—this paper presents an optimized lightweight detection framework based on an improved YOLOv8 model. The integration of a Spatial-to-Depth Convolution (SPDConv) module strengthens the extraction of fine-grained features for microscopic defects, while the incorporation of an SCConv module suppresses computational redundancy, leading to a 2.80% accuracy improvement. This architecture is further enhanced by a Channel and Spatial Reconstruction Attention Module (CSRAM), which dynamically prioritizes target-related regions and mitigates noise from vegetation and infrastructure. To improve regression robustness against low-quality annotations and blurred boundaries, a Focal-WIoU loss function utilizing a dynamic non-monotonic focusing mechanism is introduced. Experimental results on complex insulator datasets demonstrate that the proposed model achieves an mAP@0.5 of 91.75% and an mAP@0.5:0.95 of 59.86%, representing a 4.40% and 5.04% increase over the YOLOv8 baseline, respectively. Notably, while maintaining a lightweight profile with only 11.14 M parameters and 28.66 G FLOPs, the model achieves a high inference speed of 376.56 FPS, effectively enabling precise multi-scale defect recognition under extreme operational conditions. Full article
(This article belongs to the Special Issue Optimization Models and Algorithms in Data Science, 2nd Edition)
Show Figures

Figure 1

25 pages, 3815 KB  
Article
Endophytic Fungi from the Cerrado Biome Mitigate Biotic Stress Induced by Sclerotinia sclerotiorum in Cotton
by Luciana Cristina Vitorino, Damiana Souza Santos Augusto, Alex Santos Macedo, Marcio Rosa, Fabiano Guimarães Silva, Mateus Neri Oliveira Reis, Marconi Batista Teixeira and Layara Alexandre Bessa
Plants 2026, 15(8), 1251; https://doi.org/10.3390/plants15081251 - 18 Apr 2026
Viewed by 183
Abstract
The necrotrophic pathogen Sclerotinia sclerotiorum compromises the physiological and anatomical integrity of cotton, leading to substantial economic losses due to rapid tissue necrosis, stem blight, boll rot, and leaf wilting. In this context, the use of endophytic microorganisms emerges as a promising strategy [...] Read more.
The necrotrophic pathogen Sclerotinia sclerotiorum compromises the physiological and anatomical integrity of cotton, leading to substantial economic losses due to rapid tissue necrosis, stem blight, boll rot, and leaf wilting. In this context, the use of endophytic microorganisms emerges as a promising strategy for the biocontrol of white mold. This study tested the hypothesis that endophytic fungal strains isolated from the roots of Butia purpurascens, a palm tree endemic to the Cerrado biome, could mitigate disease symptoms in Gossypium hirsutum L. To evaluate this, cotton plants were subjected to biotic stress imposed by S. sclerotiorum to assess the effectiveness of seven fungal strains in attenuating disease. The impact of the pathogen was monitored through growth variables, gas exchange, leaf temperature, chlorophyll a fluorescence, antioxidant enzyme activity, proline and malondialdehyde (MDA) levels, and the incidence of rot in petioles, leaves, and flower buds. Overall, inoculation with endophytic fungi significantly alleviated the effects of the phytopathogen, promoting vegetative growth and optimizing physiological performance. Treated plants exhibited alleviated stress in primary photochemistry, reduced non-photochemical energy dissipation, and stable carbon fixation. Additionally, efficient modulation of the antioxidant system and preservation of anatomical structures were observed, minimizing the severe symptoms of white mold. Notably, the non-pathogenic strains BP10EF (Gibberella moniliformis), BP16EF (Penicillium purpurogenum), and BP33EF (Hamigera insecticola) acted as potent physiological modulators, yielding responses similar to those of healthy plants. These results highlight the biotechnological potential of these endophytic strains, which can be explored as both growth promoters and resistance inducers in cotton against white mold. Full article
Show Figures

Figure 1

19 pages, 11675 KB  
Article
Investigating ICESat-2 ATL08 Terrain Height Estimation Performance and Affecting Factors: The Impact of Land Cover, Slope, and Acquisition Time
by Emre Akturk, Arif Oguz Altunel and Samet Dogan
Sensors 2026, 26(8), 2485; https://doi.org/10.3390/s26082485 - 17 Apr 2026
Viewed by 307
Abstract
Spaceborne LiDAR systems, such as ICESat-2, provide critical data for global land cover and topography; however, their performance in rugged, vegetated landscapes requires rigorous local validation. This study evaluates the vertical accuracy of ICESat-2 ATL08 terrain height metrics in the complex Turkish Western [...] Read more.
Spaceborne LiDAR systems, such as ICESat-2, provide critical data for global land cover and topography; however, their performance in rugged, vegetated landscapes requires rigorous local validation. This study evaluates the vertical accuracy of ICESat-2 ATL08 terrain height metrics in the complex Turkish Western Black Sea region, utilizing a reference dataset of high-precision terrestrial GNSS measurements. Following strict IQR-based outlier detection and photon density filtering, 1637 spatially matched segments were analyzed. The h_te_best_fit terrain height metric showed the best agreement with the terrestrial GNSS reference data, yielding an RMSE of 3.37 m and a mean bias of −0.42 m, indicating a slight underestimation of the terrain surface. The univariate analysis revealed a strong positive correlation between terrain slope and vertical error, indicating that slope is the prominent degradation factor contributing to pulse broadening. Additionally, dense forest cover was found to limit ground photon retrieval, leading to increased error margins, whereas nighttime acquisitions offered slightly improved precision. These findings suggest that while ATL08 is a valuable topographic source, slope-dependent corrections are essential for applications in mountainous environments. Full article
(This article belongs to the Section Environmental Sensing)
Show Figures

Figure 1

21 pages, 6052 KB  
Article
An Uncertainty-Aware Hybrid CNN–Transformer Network for Accurate Water Body Extraction from High-Resolution Remote Sensing Images in Complex Scenarios
by Qiao Xu, Huifan Wang, Pengcheng Zhong, Yao Xiao, Yuxin Jiang, Yan Meng, Qi Zhang, Cheng Zeng, Yangjie Sun and Yuxuan Liu
Remote Sens. 2026, 18(8), 1210; https://doi.org/10.3390/rs18081210 - 17 Apr 2026
Viewed by 332
Abstract
Timely and accurate monitoring of surface water dynamics via remote sensing is critical, given water resources’ importance. However, accurate water body delineation based on high-resolution remotely sensed imagery is still challenging due to the complexity of water bodies’ boundaries and the diversity of [...] Read more.
Timely and accurate monitoring of surface water dynamics via remote sensing is critical, given water resources’ importance. However, accurate water body delineation based on high-resolution remotely sensed imagery is still challenging due to the complexity of water bodies’ boundaries and the diversity of their shapes and sizes, which can lead to boundary ambiguity and varying degrees of confusion with near-water vegetation in water body maps. To address this challenge, we introduce an uncertainty-aware hybrid CNN–Transformer model for delineating water bodies using remotely sensed imagery. In our designed network, a multi-scale transformer (MST) module is first designed to effectively model and refine the multi-scale global semantic dependencies of water bodies. Subsequently, an uncertainty-guided multi-scale information fusion (MSIF) module is constructed to extract water body mapping information from these multi-scale features output from the MST module and fuse them adaptively. Across different scales, the extracted features differ in their ability to distinguish water bodies from non-water bodies and in their levels of uncertainty. Consequently, during the adaptive fusion of multi-scale water body information in the MSIF module, the mapping uncertainty is quantified and suppressed to minimize its impact, thus yielding enhanced precision in water body delineation. Ultimately, a comprehensive loss function is designed for model optimization to generate the final water body map. Furthermore, to promote water body segmentation models’ development, this study also presents the HBD_Water water body sample dataset, which contains 44 multispectral, 5000 × 5000-pixel images at 2 m spatial resolution, and will be released on the LuojiaSET platform soon. Finally, to verify the proposed model and its constituent MST and MSIF modules, extensive water mapping experiments were performed on three datasets. The experimental results substantiate their effectiveness. Furthermore, comparative experiment results demonstrate that the proposed model performs better at water body extraction than advanced networks including TransUNet, DeeplabV3+, and ADCNN. Full article
Show Figures

Figure 1

24 pages, 7609 KB  
Article
CGHD: Dual-Temporal Dataset of Composite Geological Hazards via Multi-Source Optical Remote Sensing Images
by Yuebao Wang, Guang Yang, Xiaotong Guo, Wangze Lu, Rongxiang Liu, Meng Huang and Shuai Liu
Remote Sens. 2026, 18(8), 1198; https://doi.org/10.3390/rs18081198 - 16 Apr 2026
Viewed by 323
Abstract
Geological hazards are characterized by their sudden occurrence, high destructiveness, and wide spatial impact. In particular, landslides and debris flows triggered by earthquakes and intense rainfall often lead to severe casualties and substantial property losses. Therefore, the rapid delineation of affected areas is [...] Read more.
Geological hazards are characterized by their sudden occurrence, high destructiveness, and wide spatial impact. In particular, landslides and debris flows triggered by earthquakes and intense rainfall often lead to severe casualties and substantial property losses. Therefore, the rapid delineation of affected areas is crucial for disaster assessment and post-disaster reconstruction. To this end, several geohazard datasets have been developed from remote sensing imagery, focusing on specific regions, disaster types, and data sources, providing valuable support for geohazard detection and risk assessment. Our study addresses the diversity of real-world geological disasters in terms of their types, causes, and spatial distribution and constructs the Composite Geological Hazards Dataset (CGHD), a dual-temporal geohazard dataset that enhances generalisation and practical applicability. CGHD incorporates pre- and post-disaster remote sensing images of 14 landslide and debris flow events that occurred worldwide between 2017 and 2024, collected using four remote sensing platforms and encompassing multiple spatial scales and land-cover categories. The affected areas varied significantly in size and shape, with land-cover types including roads, buildings, vegetation, farmland, and water bodies. This resulted in 3963 pairs of pre- and post-disaster images, each with a size of 1024 × 1024 pixels. We validated the reliability of the CGHD through experiments with nine change-detection models and further evaluated its generalisation capability using an unseen dataset. The experimental results demonstrate that CGHD achieves high recognition accuracy and strong generalisation across diverse geographic environments, providing comprehensive data support for intelligent geohazard recognition and disaster assessment. Full article
Show Figures

Figure 1

25 pages, 4141 KB  
Article
CARYPAR: A Multimodal Decision-Support Framework Integrating Satellite Bio-Environmental Reanalysis and Proximal Edge-Intelligence for Hylocereus spp. Health Monitoring
by Carlos Diego Rodríguez-Yparraguirre, Abel José Rodríguez-Yparraguirre, Cesar Moreno-Rojo, Wendy Akemmy Castañeda-Rodríguez, Iván Martin Olivares-Espino, Andrés David Epifania-Huerta, María Adriana Vilchez-Reyes, Dany Paul Gonzales-Romero, Enrique Jannier Boy-Vásquez and Wilson Arcenio Maco-Vasquez
Sustainability 2026, 18(8), 3928; https://doi.org/10.3390/su18083928 - 15 Apr 2026
Viewed by 274
Abstract
Pitahaya (Hylocereus spp.) production is increasingly affected by climatic factors, as well as by phytopathogens and abiotic stress, leading to delays in agronomic interventions and reduced productivity. The objective was to design, implement, and validate a multimodal system (CARYPAR) that enables early [...] Read more.
Pitahaya (Hylocereus spp.) production is increasingly affected by climatic factors, as well as by phytopathogens and abiotic stress, leading to delays in agronomic interventions and reduced productivity. The objective was to design, implement, and validate a multimodal system (CARYPAR) that enables early disease detection and agile decision-making, characterized by low latency and reduced dependence on cloud connectivity. The methodology integrates climate reanalysis from NASA POWER, biophysical remote sensing variables derived from Sentinel-1/2, and proximal computer vision captured via mobile devices using a late fusion architecture and an optimized convolutional neural network, EfficientNet-V2B0, which discriminates between optimal and pathological conditions in vegetative tissues and fruit. The results of the experimental validation carried out in 160 georeferenced units achieved an overall accuracy of 80.0% and an F1 score of 0.8645 for Bad Fruit. The McNemar test and the operational agreement with agro-industrial experts yielded a Cohen’s Kappa index of κ = 0.6831, with an inference latency reduced to 22.00 ms. It is concluded that the multimodal integration of satellite bio-environmental data with edge computer vision achieves substantial agreement with agronomic expert judgment under heterogeneous field conditions (Cohen’s κ = 0.6831), supporting its role as a decision-support tool rather than a replacement for expert assessment. Therefore, its adoption can enhance real-time irrigation management and crop protection, while contributing to traceability and sustainable resource management in agricultural regions with limited connectivity. Full article
(This article belongs to the Section Sustainable Agriculture)
Show Figures

Figure 1

Back to TopTop