Sign in to use this feature.

Years

Between: -

Subjects

remove_circle_outline
remove_circle_outline
remove_circle_outline
remove_circle_outline
remove_circle_outline
remove_circle_outline
remove_circle_outline
remove_circle_outline
remove_circle_outline

Journals

Article Types

Countries / Regions

remove_circle_outline
remove_circle_outline
remove_circle_outline

Search Results (142)

Search Parameters:
Keywords = l-malate

Order results
Result details
Results per page
Select all
Export citation of selected articles as:
13 pages, 2726 KB  
Article
Analysis of Malate and Other Di- and Tricarboxylic Acids Using Capillary Electrophoresis and Laser-Induced Photoluminescence Detection After Complexation with Europium Tetracycline
by Douglas B. Craig, Sumaiya Abas, Brynne K. Riehl, Winner Pathak and Joshua W. Hollett
Spectrosc. J. 2025, 3(4), 30; https://doi.org/10.3390/spectroscj3040030 - 4 Nov 2025
Viewed by 154
Abstract
Fumarate, succinate, maleate, dihydroxyfumarate, D–tartarate, L–tartarate, DL–tartarate, L-malate, D-malate, oxaloacetate, citrate, and DL-isocitrate in the 5–100 μM concentration range were incubated in 12.5 mM HEPES/25 mM TRIS base containing 200 μM Eu3+–tetracycline and 60% (v/v) formamide (pH [...] Read more.
Fumarate, succinate, maleate, dihydroxyfumarate, D–tartarate, L–tartarate, DL–tartarate, L-malate, D-malate, oxaloacetate, citrate, and DL-isocitrate in the 5–100 μM concentration range were incubated in 12.5 mM HEPES/25 mM TRIS base containing 200 μM Eu3+–tetracycline and 60% (v/v) formamide (pH unadjusted). After 30 min of incubation, they were separated at 4 °C by capillary electrophoresis utilizing laser-induced luminescence detection with 12.5 mM HEPES/25 mM TRIS base containing 60% formamide as the running buffer. All analytes yielded peaks, with the exception of fumarate, succinate, and maleate. L-Malate was detected down to 100 nM. The main component of this study was the analysis of malate. The objective was to develop a stereoselective methodology for the detection of L-malate. This was achieved by varying the formamide concentration and separation temperature. When the temperature was increased to 22 °C and the formamide concentration decreased to 40%, the sensitivity for L-malate was diminished about 10-fold, but that for D-malate was eliminated. This combination of conditions allowed for the stereospecific analysis of L-malate. Full article
Show Figures

Figure 1

15 pages, 1570 KB  
Article
Effect of Fireweed (Chamerion angustifolium L.) Extracts and Oenothein B on Colon Cancer Cells: Impact of Leaf Fermentation on Viability and Mitochondrial Function
by Dovile Uogintaite, Rasa Baniene, Aldona Jasukaitiene, Mindaugas Marksa, Marius Lasinskas, Elvyra Jariene and Sonata Trumbeckaite
Medicina 2025, 61(11), 1957; https://doi.org/10.3390/medicina61111957 - 31 Oct 2025
Viewed by 310
Abstract
Background and Objectives: Fireweed (Chamerion angustifolium L.) possesses antibacterial, antioxidant, anti-inflammatory, and anti-cancer properties. This study evaluated the effects of aqueous fireweed leaf extracts and their major compound, oenothein B, on the viability and mitochondrial function of Caco-2 colon cancer cells, emphasizing [...] Read more.
Background and Objectives: Fireweed (Chamerion angustifolium L.) possesses antibacterial, antioxidant, anti-inflammatory, and anti-cancer properties. This study evaluated the effects of aqueous fireweed leaf extracts and their major compound, oenothein B, on the viability and mitochondrial function of Caco-2 colon cancer cells, emphasizing the impact of leaf fermentation. Materials and Methods: Cells were treated for 48 h with oenothein B and aqueous extracts from unfermented (NF) and fermented leaves (F 24 h, F 48 h). Cell viability and mitochondrial function were assessed by MTT assay and high–resolution respirometry. Results: IC50 values were 0.843 mg/mL (NF), 1.548 mg/mL (F 24 h), 1.931 mg/mL (F 48 h), and 0.09 mg/mL (57 µM) (oenothein B). Mitochondrial respiration decreased in up to 67% (glutamate/malate) and 61% (succinate) in both fermented and unfermented groups, while oenothein B increased in leak respiration by 34–73% but reduced oxidative respiration by 24%. Conclusions: Aqueous extracts of fireweed from both unfermented and fermented leaves significantly reduced Caco-2 cell viability and mitochondrial function. Oenothein B on its own had a stronger effect on cell viability, but a weaker effect on mitochondrial function, compared to fireweed extracts. Full article
(This article belongs to the Section Pharmacology)
Show Figures

Figure 1

19 pages, 2830 KB  
Article
High-Performance Indigenous Lactiplantibacillus plantarum Strains for Enhanced Malolactic Fermentation and Wine Quality
by Yongzhang Zhu, Ni Chen, Zhenghua Xu, Jingyue Liu, Shuwen Liu and Kan Shi
Microorganisms 2025, 13(10), 2328; https://doi.org/10.3390/microorganisms13102328 - 9 Oct 2025
Viewed by 412
Abstract
Malolactic fermentation (MLF), a key enological process for wine deacidification and aroma and flavor development, is predominantly mediated by lactic acid bacteria. This study characterized 342 indigenous Lactiplantibacillus plantarum (L. plantarum) isolates, a potential starter species underexploited for MLF, from China’s [...] Read more.
Malolactic fermentation (MLF), a key enological process for wine deacidification and aroma and flavor development, is predominantly mediated by lactic acid bacteria. This study characterized 342 indigenous Lactiplantibacillus plantarum (L. plantarum) isolates, a potential starter species underexploited for MLF, from China’s Jiaodong Peninsula wine regions through polyphasic analysis. Thirty strains with high tolerance to wine stress conditions and efficient malate metabolism were selected. Among these, two high-performance strains, P101 and J43, exhibited superior MLF kinetics. Their applications had almost no effect on the wine’s basic physicochemical parameters, color parameters, and individual phenolic contents. Solid-phase microextraction–gas chromatography–mass spectrometry (SPME-GC-MS) analysis revealed that these strains significantly enhance key aroma compound contents in wines, including ethyl acetate, ethyl lactate, ethyl 2-methylbutyrate, and nerol, contributing more floral and fruity aroma characteristics. These indigenous L. plantarum strains, novel microbial starter cultures, demonstrate dual functionality in enhancing wine quality through controlled fermentation while supporting microbial biodiversity through the development of region-specific strain resources. Full article
(This article belongs to the Special Issue Fruit Wine Fermentation and Microbial Communities)
Show Figures

Figure 1

13 pages, 946 KB  
Article
Acanthospermum australe Extract Inhibits the Chaperone Activity of Plasmodium falciparum Heat Shock Protein 70-1
by Ntombikhona Appear Koza, Ntokozo Nkosinathi Myeza, Heinrich Hoppe, Rebamang Anthony Mosa, Abidemi Paul Kappo, Mthokozisi Blessing Cedric Simelane and Andrew Rowland Opoku
Microorganisms 2025, 13(9), 2195; https://doi.org/10.3390/microorganisms13092195 - 19 Sep 2025
Viewed by 439
Abstract
The resistance of malaria parasites towards the current antimalarial therapies continues to fuel the search for new antimalarial drugs, preferably from natural sources. This study aimed to investigate the potential of the dichloromethane extract of Acanthospermum australe to inhibit Plasmodium falciparum heat shock [...] Read more.
The resistance of malaria parasites towards the current antimalarial therapies continues to fuel the search for new antimalarial drugs, preferably from natural sources. This study aimed to investigate the potential of the dichloromethane extract of Acanthospermum australe to inhibit Plasmodium falciparum heat shock protein 70-1 (PfHsp70-1). The plasmodium lactate dehydrogenase (pLDH) assay was used to determine the antiplasmodial activity of the crude extract against the chloroquine-sensitive P. falciparum strain 3D7. The inhibitory effect of the plant extract on the chaperone activity of P. falciparum heat shock protein 70-1 (PfHsp70-1) was determined using the ATPase, thermally induced luciferase and malate dehydrogenase (MDH) assays. The extract showed a significantly high activity against P. falciparum strain 3D7 with an IC50 value of 1.3 µg/mL. A decrease in thermally induced aggregation of MDH and luciferase was observed when each of the proteins was incubated with PfHsp70-1 only. However, an increased protein aggregation was observed when the proteins were incubated with PfHsp70-1 in the presence of the plant extract. The extract also exhibited inhibitory activity on the ATPase activity of PfHsp70-1. The results obtained from this study suggest that A. australe extract contains compounds that could target malaria parasite Hsp70 functions. Full article
(This article belongs to the Special Issue Research on Mosquito-Borne Pathogens)
Show Figures

Figure 1

13 pages, 2351 KB  
Article
Desulfitobacterium elongatum sp. nov. NIT-TF6 Isolated from Trichloroethene-Dechlorinating Culture with Formate
by Udaratta Bhattacharjee, Ryuya Tomita, Li Xie and Naoko Yoshida
Microorganisms 2025, 13(8), 1863; https://doi.org/10.3390/microorganisms13081863 - 9 Aug 2025
Viewed by 767
Abstract
A strictly anaerobic bacterium denoted as strain NIT-TF6 of the genus Desulfitobacterium was isolated from a trichloroethene-dechlorinating culture with formate. Cells were straight rods of 1.6–6 µm long and 0.25–0.5 µm in diameter and used H2, lactate, pyruvate, and malate as [...] Read more.
A strictly anaerobic bacterium denoted as strain NIT-TF6 of the genus Desulfitobacterium was isolated from a trichloroethene-dechlorinating culture with formate. Cells were straight rods of 1.6–6 µm long and 0.25–0.5 µm in diameter and used H2, lactate, pyruvate, and malate as electron donors and thiosulfate and Fe (III)-citrate as electron acceptors. The genome of strain NIT-TF6 was 4.8 Mbp in size and included nine 16S rRNA genes. Phylogenetic analysis based on 16S rRNA sequences showed that NIT-TF6 shared the highest sequence similarity (96.39%) with Desulfitobacterium hafniense DCB-2ᵀ, forming an independent clade in the phylogenetic tree. Digital DNA-DNA hybridization (dDDH) and average nucleotide identity (ANI) values between strain NIT-TF6 and other Desulfitobacterium species ranged from 15.9 to 16.9% and from 71.68 to 72.51%, respectively. These are well below the thresholds for species delineation. A distinguishing feature of strain NIT-TF6 was its possession of both L-lactate dehydrogenase (L-LDH) and D-lactate dehydrogenase (D-LDH), in contrast to other Desulfitobacterium strains that exclusively express D-LDH. Based on the dDDH and ANI results, combined with physiological, phylogenetic, morphological, biochemical, genomic, and metabolic iron-related characteristics, strain NIT-TF6 has been proposed as a novel species within the genus Desulfitobacterium. The name Desulfitobacterium elongatum sp. nov. has been proposed for this strain, with NIT-TF6ᵀ designated as the type strain. Full article
(This article belongs to the Section Environmental Microbiology)
Show Figures

Figure 1

23 pages, 2372 KB  
Article
Uropathogenic Escherichia coli Associated with Risk of Urosepsis—Genetic, Proteomic, and Metabolomic Studies
by Beata Krawczyk, Paweł Wityk, Magdalena Burzyńska, Tomasz Majchrzak and Michał Jan Markuszewski
Int. J. Mol. Sci. 2025, 26(12), 5681; https://doi.org/10.3390/ijms26125681 - 13 Jun 2025
Cited by 2 | Viewed by 2079
Abstract
In the absence of fully effective therapies and preventive strategies against the development of urosepsis, a deeper understanding of the virulence mechanisms of Uropathogenic Escherichia coli (UPEC) strains is needed. UPEC strains employ a wide range of virulence factors (VFs) to persist in [...] Read more.
In the absence of fully effective therapies and preventive strategies against the development of urosepsis, a deeper understanding of the virulence mechanisms of Uropathogenic Escherichia coli (UPEC) strains is needed. UPEC strains employ a wide range of virulence factors (VFs) to persist in the urinary tract and bloodstream. UPEC strains were isolated from patients with sepsis and a control group without sepsis. PCR was used to detect 36 genes encoding various groups of virulence and fitness factors. Profiling of both intracellular and extracellular bacterial proteins was also included in our approach. Bacterial metabolites were identified and quantified using GC-MS and LC-MS techniques. The UpaG autotransporter, a trimeric E. coli AT adhesin, was significantly more prevalent in urosepsis strains (p = 0.00001). Iron uptake via aerobactin and the Iha protein also appeared to be predictive of urosepsis (p = 0.03 and p = 0.002, respectively). While some studies suggest an association between S fimbriae and the risk of urosepsis, we observed no such correlation (p = 0.0001). Proteomic and metabolomic analyses indicated that elevated levels of bacterial citrate, malate, coenzyme Q10, pectinesterase (YbhC), and glutamate transport proteins, as well as the regulators PhoP two-component system, CpxR two-component system, Nitrate/nitrite response regulator protein NarL, and the Ferrienterobactin receptor FepA, may play a role in sepsis. These genetic biomarkers, proteins, and metabolites derived from UPEC could potentially serve as indicators for assessing the risk of developing sepsis. Full article
Show Figures

Graphical abstract

20 pages, 2478 KB  
Article
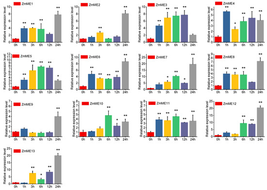
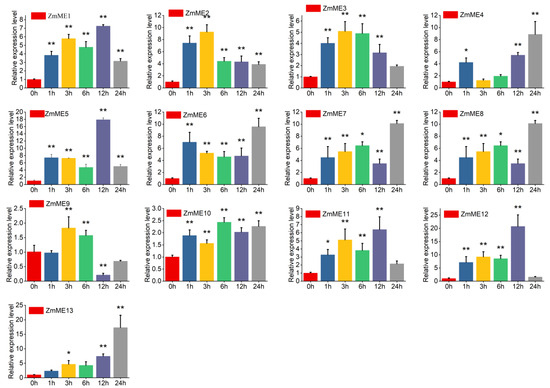
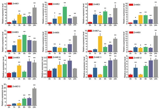
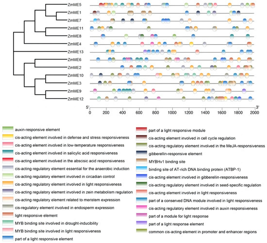
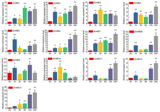
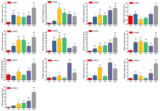
Identification and Abiotic Stress Expression Profiling of Malic Enzyme-Associated Genes in Maize (Zea mays L.)
by Haishan Yan, Yongsheng Li, Zengke Ma, Ruihong Wang, Yuqian Zhou, Wenqi Zhou, Haijun He, Xiaojuan Wang, Xiaorong Lian, Xiaoyun Dong and Lirong Yao
Plants 2025, 14(11), 1603; https://doi.org/10.3390/plants14111603 - 24 May 2025
Viewed by 708
Abstract
Malic enzyme (ME), a key enzyme involved in various metabolic pathways, catalyzes the oxidative decarboxylation of malate to generate pyruvate, CO2, and NADPH. This enzyme plays essential roles in plant growth, development, and stress responses. In this study, 13 maize ME [...] Read more.
Malic enzyme (ME), a key enzyme involved in various metabolic pathways, catalyzes the oxidative decarboxylation of malate to generate pyruvate, CO2, and NADPH. This enzyme plays essential roles in plant growth, development, and stress responses. In this study, 13 maize ME genes were identified by performing homologous sequence alignment using the sequences of the Arabidopsis ME gene family as references. Chromosomal localization analysis demonstrated that ME genes were not detected on chromosomes 9 and 10, whereas the remaining eight chromosomes exhibited an uneven distribution of these genes. Phylogenetic analysis indicated a high degree of conservation between maize ME genes and their orthologs in teosinte (Zea luxurians L.) throughout the evolutionary history of Poaceae crops. Furthermore, cis-acting element analysis of promoters demonstrated that members of the maize ME gene family harbor regulatory elements associated with stress responses, phytohormones signaling, and light responsiveness, which suggests their potential role in abiotic stress adaptation. Expression profiling under stress conditions revealed differential expression levels of maize ME genes, with ZmME13 emerging as a promising candidate gene for enhancing stress resistance. These results lay a solid foundation for further investigation into the biological functions of the maize ME gene family. Full article
(This article belongs to the Section Plant Response to Abiotic Stress and Climate Change)
Show Figures

Figure 1

23 pages, 1429 KB  
Article
The Resistance of Germinating Pea (Pisum sativum L.) Seeds to Silver Nanoparticles
by Karolina Stałanowska, Katarzyna Głowacka, Bogusław Buszewski and Lesław Bernard Lahuta
Plants 2025, 14(11), 1594; https://doi.org/10.3390/plants14111594 - 23 May 2025
Viewed by 1288
Abstract
The results of our recent research revealed that biologically synthesized silver nanoparticles (bio-AgNPs) applied to several-day-old pea (Pisum sativum L.) plants or used for seed nanopriming protected pea plants against selected fungal pathogens. However, the susceptibility of pea to bio-AgNPs during seed [...] Read more.
The results of our recent research revealed that biologically synthesized silver nanoparticles (bio-AgNPs) applied to several-day-old pea (Pisum sativum L.) plants or used for seed nanopriming protected pea plants against selected fungal pathogens. However, the susceptibility of pea to bio-AgNPs during seed germination remains mostly unknown. Therefore, in this study, we investigated the cells’ viability, ROS generation, total antioxidant capacity, the activity of selected antioxidant enzymes, and changes in the polar metabolite profiles of 4-day-old pea seedlings developed in water (control) and water suspensions of bio-AgNPs (at 50 and 200 mg/L). The bio-AgNPs did not negatively affect pea seeds’ germination, early seedlings’ growth, and root tips cells’ viability (at both tested concentrations). In the root, the bio-AgNPs at a lower concentration (50 mg/L) stimulated ROS generation. Nanoparticles enhanced peroxidase activity in root and the total antioxidant capacity in epicotyl. Increased levels of malate, phosphoric acid, proline, GABA, and alanine were observed in root and epicotyl of pea seedlings developed at 50 mg/L of bio-AgNPs. A higher concentration affected the tricarboxylic acid cycle and nitrogen metabolism. Bio-AgNPs alerted oxidative homeostasis and primary metabolism of pea seedlings but did not exceed a certain threshold limit and thus did not injure pea at an early stage of seedling development. Full article
(This article belongs to the Special Issue Nanomaterials in Plant Growth and Stress Adaptation—2nd Edition)
Show Figures

Figure 1

15 pages, 2067 KB  
Article
Insights into Chemoreceptor MCP2201-Sensing D-Malate
by Rui Cui, Jie Li, Yuan Hong, Lu Guo, Yun-Hao Wang, Yi-Fei Bai and De-Feng Li
Int. J. Mol. Sci. 2025, 26(10), 4902; https://doi.org/10.3390/ijms26104902 - 20 May 2025
Viewed by 691
Abstract
Bacterial chemoreceptors sense extracellular stimuli and drive bacteria toward a beneficial environment or away from harm. Their ligand-binding domains (LBDs) are highly diverse in terms of sequence and structure, and their ligands cover various chemical molecules that could serve as nitrogen, carbon, and [...] Read more.
Bacterial chemoreceptors sense extracellular stimuli and drive bacteria toward a beneficial environment or away from harm. Their ligand-binding domains (LBDs) are highly diverse in terms of sequence and structure, and their ligands cover various chemical molecules that could serve as nitrogen, carbon, and energy sources. The mechanism of how this diverse range of LBDs senses different ligands is essential to signal transduction. Previously, we reported that the chemoreceptor MCP2201 from Comamonas testosteroni CNB-1 sensed citrate and L-malate, altered the ligand-free monomer–dimer equilibrium of LBD to citrate-bound monomer (with limited monomer) and L-malate-bound dimer, and triggered positive and negative chemotactic responses. Here, we present our findings, showing that D-malate binds to MCP2201, induces LBD dimerization, and triggers the chemorepellent response exactly as L-malate did. A single site mutation, T105A, can alter the D-malate-bound LBD dimer into a monomer–dimer equilibrium and switch the negative chemotactic response to D-malate to a positive one. Differences in attractant-bound LBD oligomerization, such as citrate-bound wildtype LBD monomer and D-malate-bound T105A dimer, indicated that LBD oligomerization is a consequence of signal transduction instead of a trigger. Our study expands our knowledge of chemoreceptor-sensing ligands and provides insight into the evolution of bacterial chemoreceptors. Full article
(This article belongs to the Special Issue Membrane Proteins: Structure, Function, and Drug Discovery)
Show Figures

Figure 1

15 pages, 2878 KB  
Article
Systemic Effects of Nitrate on Nitrogen Fixation and Sucrose Catabolism in Soybean (Glycine max (L.) Merr.) Nodules
by Xuelai Wang, Tong Guo, Yuchen Zhang, Xiaochen Lyu, Shuangshuang Yan, Chao Yan, Zhenping Gong and Chunmei Ma
Agronomy 2025, 15(5), 1032; https://doi.org/10.3390/agronomy15051032 - 25 Apr 2025
Cited by 1 | Viewed by 939
Abstract
Soybean (Glycine max) nitrogen fixation is inhibited by nitrate, which has been linked to a reduction in carbon allocation and metabolism within nodules. However, the underlying mechanisms remain unclear. In this study, we tested the hypothesis that the nitrate-induced suppression of [...] Read more.
Soybean (Glycine max) nitrogen fixation is inhibited by nitrate, which has been linked to a reduction in carbon allocation and metabolism within nodules. However, the underlying mechanisms remain unclear. In this study, we tested the hypothesis that the nitrate-induced suppression of nitrogen fixation is mediated through altered sucrose allocation and catabolism in nodules. Using unilaterally nodulated dual-root soybean plants in sand-based systems, we applied 200 mg·L−1 nitrate exclusively to the non-nodulated roots for 14 days. Nitrate supply enhanced the proportion of dry weight in leaves but reduced it in nodules at 3, 7, and 14 days. Similarly, nodule dry weight, nodule number, acetylene reduction activity (ARA), and specific nodule activity (SNA) all declined significantly during the same intervals. Notably, sucrose content in the nodules decreased significantly by 20.4% after 3 days but recovered at 7 and 14 days. In contrast, sucrose synthase (SuSy) cleavage activity and malate content in nodules decreased significantly following nitrate treatment, with reductions of 27.8% and 30.7% observed at 7 days, and further decreased to 38.5% and 39.2% at 14 days, respectively. These results suggest that transient sucrose scarcity may drive the initial decline in nitrogen fixation capacity, while restricted sucrose catabolism and decreased malate levels may be a consequence rather than a cause. Full article
(This article belongs to the Section Agricultural Biosystem and Biological Engineering)
Show Figures

Figure 1

44 pages, 19008 KB  
Article
Mitigating Diabetic Cardiomyopathy: The Synergistic Potential of Sea Buckthorn and Metformin Explored via Bioinformatics and Chemoinformatics
by Kamran Safavi, Navid Abedpoor, Fatemeh Hajibabaie and Elina Kaviani
Biology 2025, 14(4), 361; https://doi.org/10.3390/biology14040361 - 31 Mar 2025
Cited by 3 | Viewed by 2017
Abstract
Diabetic cardiomyopathy (DCM), a critical complication of type 2 diabetes mellitus (T2DM), is marked by metabolic dysfunction, oxidative stress, and chronic inflammation, ultimately progressing to heart failure. This study investigated the synergistic therapeutic potential of Hippophae rhamnoides L. (sea buckthorn, SBU) extract and [...] Read more.
Diabetic cardiomyopathy (DCM), a critical complication of type 2 diabetes mellitus (T2DM), is marked by metabolic dysfunction, oxidative stress, and chronic inflammation, ultimately progressing to heart failure. This study investigated the synergistic therapeutic potential of Hippophae rhamnoides L. (sea buckthorn, SBU) extract and metformin in a mouse model of T2DM-induced DCM. T2DM was induced using a 45% high-fat-AGEs-enriched diet, followed by treatment with SBU, metformin, or their combination. Treatment effects were monitored through bioinformatic analysis, chemoinformatic prediction, behavioral testing, biochemical assays, histopathological evaluations and gene expression profiles. Based on bioinformatic analysis, we identified key hub genes involved in the diabetic cardiomyopathy including SERPINE1, NRG1, MYH11, PTH, NR4A2, NRF2, PGC1α, GPX4, ATF1, ASCL2, NOX1, NLRP3, CCK8, COX2, CCL2, PTGS2, EGFR, and oncostatin, which are pivotal in modulating the ferroptosis pathway. Furthermore, the expression of long non-coding RNAs (lncRNAs) NEAT1 and MALAT1, critical regulators of inflammation and cell death, was effectively downregulated, correlating with decreased levels of the pro-inflammatory marker oncostatin. The combined therapy significantly improved glucose regulation, reduced systemic inflammation and protected the heart from oxidative damage. Histopathological analysis revealed notable reductions in cardiac necrosis and fibrosis. Particularly, the combination therapy of SBU and metformin demonstrated a synergistic effect, surpassing the benefits of individual treatments in preventing cardiac damage. These findings highlight the potential of integrating SBU with metformin as a novel therapeutic strategy for managing DCM by targeting both metabolic and ferroptosis-related pathways. This dual intervention opens promising avenues for future clinical applications in diabetic heart disease management, offering a comprehensive approach to mitigating the progression of DCM. Full article
(This article belongs to the Special Issue Ferroptosis: Mechanisms and Human Disease)
Show Figures

Figure 1

23 pages, 6925 KB  
Article
Transcriptome Analysis of the Effects of Selenium Form and Concentration on Rice Growth and Metabolism at the Seedling Stage
by Xinbo Jiang, Hairu Yu, Jiamin Yin, Fazl Ullah, Xilu Zhang, Di Chen, Shixin Li, Hongyan Zhao and Xijiu Jin
Agronomy 2025, 15(4), 867; https://doi.org/10.3390/agronomy15040867 - 30 Mar 2025
Viewed by 923
Abstract
Selenium (Se) is an essential trace element for humans, and the production of Se-enriched rice (Oryza sativa) is a key approach for Se supplementation. Nevertheless, the effects of different Se forms and concentrations on the metabolism and aboveground absorption pathways of [...] Read more.
Selenium (Se) is an essential trace element for humans, and the production of Se-enriched rice (Oryza sativa) is a key approach for Se supplementation. Nevertheless, the effects of different Se forms and concentrations on the metabolism and aboveground absorption pathways of rice seedlings are not yet well-understood. Therefore, we conducted a hydroponic experiment and used transcriptome analysis to study the absorption and transformation processes of sodium selenite (Na2SeO3) and selenomethionine (SeMet) in rice at the seedling stage. The aboveground (stem + leaf) Se concentration at the seedling stage was higher under the SeMet treatments, and low Se applications (<25 μM) significantly promoted rice growth. Selenocysteine (SeCys) and SeMet were the primary forms of Se in rice, accounting for 57–86.35% and 7.6–31.5%, respectively, while selenate [Se (VI)] significantly increased when Se levels exceeded 25 μM. In the transcriptome, differentially expressed genes (DEGs) were significantly enriched in the following pathways: carbon metabolism, amino acid biosynthesis, and glutathione metabolism. In the Na2SeO3 treatments, genes encoding phosphoglycerate mutase (PGM), triosephosphate isomerase (TPI), phosphofructokinase (PFK), pyruvate kinase (PK), malate dehydrogenase (MDH), polyamine oxidase (PAO), aspartate aminotransferase (AST), and glutathione S-transferase (GST) were upregulated, and the expression levels of differentially expressed genes (DEGs) decreased with increasing Se levels. SeMet treatments upregulated genes encoding PFK, PK, glutamine synthetase (NADH-GOGAT), and L-ascorbate peroxidase (APX), and expression levels of DEGs increased with increasing Se levels. This study provides important insights into the molecular mechanisms of the uptake and metabolism of different Se forms in rice at the seedling stage. Full article
(This article belongs to the Section Plant-Crop Biology and Biochemistry)
Show Figures

Figure 1

16 pages, 1795 KB  
Article
Bioprospecting Indigenous Oenococcus oeni Strains from Chinese Wine Regions: Multivariate Screening for Stress Tolerance and Aromatic Competence
by Yongzhang Zhu, Xiaoqing Hong, Zhenghua Xu, Shuwen Liu and Kan Shi
Foods 2025, 14(7), 1207; https://doi.org/10.3390/foods14071207 - 29 Mar 2025
Viewed by 1087
Abstract
Malolactic fermentation (MLF), an essential enological process for wine deacidification and aroma development, is predominantly mediated by Oenococcus oeni (O. oeni). This investigation characterized 170 indigenous O. oeni isolates from two principal Chinese viticultural regions (Yinchuan, Ningxia, and Changli, Hebei) through [...] Read more.
Malolactic fermentation (MLF), an essential enological process for wine deacidification and aroma development, is predominantly mediated by Oenococcus oeni (O. oeni). This investigation characterized 170 indigenous O. oeni isolates from two principal Chinese viticultural regions (Yinchuan, Ningxia, and Changli, Hebei) through polyphasic analysis. Forty-nine strains demonstrating genetic potential for efficient malate metabolism and biosafety compliance (absence of ethyl carbamate and biogenic amines genes) were subjected to adaptive laboratory evolution under enologically relevant stress conditions. Comparative evaluation with the superior indigenous strain SD-2a revealed eight stress-adapted isolates exhibiting superior MLF kinetics, completing L-malic acid degradation in Marselan wine. Solid-phase microextraction-gas chromatography-mass spectrometry (SPME-GC-MS) profiling identified three isolates’ (3-31, 9-10, and 9-50) significant enhancement of key fermentation aromas in experimental fermentations. These oenologically adapted indigenous strains demonstrate promising potential as regional-specific starter cultures, providing a scientific foundation for developing terroir-expressive winemaking practices and optimizing microbial resources in China’s wine industry. Full article
Show Figures

Figure 1

18 pages, 4151 KB  
Article
Evaluation of the Effects of Acorns on the Meat Quality and Transcriptome Profile of Finishing Yuxi Pigs
by Jinzhou Zhang, Chuankuan Zhang, Shuaitao Meng, Heming Wang, Dongyang Liu, Liping Guo and Zhiguo Miao
Animals 2025, 15(5), 614; https://doi.org/10.3390/ani15050614 - 20 Feb 2025
Viewed by 1037
Abstract
In this study, we explored the effects of dietary acorn on the meat quality and transcriptome profile of finishing Yuxi pigs. A total of 90 pigs (99.60 ± 1.63 kg) were randomly assigned to three groups: the control group fed a commercial diet [...] Read more.
In this study, we explored the effects of dietary acorn on the meat quality and transcriptome profile of finishing Yuxi pigs. A total of 90 pigs (99.60 ± 1.63 kg) were randomly assigned to three groups: the control group fed a commercial diet (CN), and two treatment groups fed 100 (AC1) and 300 (AC2) g/kg of acorns, respectively. Each group contained five replicates with six pigs per replicate. After a 120-day treatment period, the AC2 group showed significantly higher pH24h, a*, intramuscular fat, and umami amino acid and significantly lower L*, cooking loss, and shear force than the CN group (p < 0.05). Further, the AC2 group showed significantly increased glycogen, ATP, and ADP, creatine kinase activity, and myofiber density and significantly decreased glycolytic potential, lactic acid, and lactate dehydrogenase, malate dehydrogenase, phosphofructokinase muscle, and pyruvate kinase activities (p < 0.05). The mRNA levels of MYH7, MYH2, and MYH1 were significantly upregulated in the AC2 group (p < 0.05). A transcriptome analysis further revealed significant differences in gene expression patterns between the AC2 and CN groups. These findings suggest that dietary acorns at 300 g/kg improve pork quality by inducing the conversion of myofiber types and regulating glycolysis. Full article
(This article belongs to the Section Pigs)
Show Figures

Figure 1

12 pages, 2479 KB  
Article
VsMATE1-Mediated Citrate Efflux Is Involved in Al Resistance in Common Vetch (Vicia sativa L.)
by Wenhui Yan, Jia Shi, Ling He, Zigang Hou, Zhenfei Guo and Haifeng Zhu
Plants 2025, 14(2), 290; https://doi.org/10.3390/plants14020290 - 20 Jan 2025
Viewed by 965
Abstract
Planting aluminum-tolerant legume green manure is a cost-effective and sustainable method to increase soil fertility as well as decrease Al toxicity in acidic soils. By analyzing the relative root elongation of seven legume green manure species, common vetch (Vicia sativa L.) was [...] Read more.
Planting aluminum-tolerant legume green manure is a cost-effective and sustainable method to increase soil fertility as well as decrease Al toxicity in acidic soils. By analyzing the relative root elongation of seven legume green manure species, common vetch (Vicia sativa L.) was identified as an Al-resistant species. Furthermore, cultivars 418 (cv. Sujian No.3) and 426 (cv. Lanjian No.3) were identified as Al-resistant and -sensitive cultivars, respectively, among 12 common vetch germplasms. The root growth of 418 was less inhibited by Al toxicity in both the germination stage and seedling stage than that of 426. Under Al toxicity, 418 accumulated less Al in both roots and shoots. Citrate is more abundant in the roots of common vetch compared to oxalate or malate. The internal citrate contents showed no significant difference between 418 and 426 under either control or Al treatment. However, the citrate efflux increased in response to Al in 418 but not in 426 and was higher in 418 under Al stress than in 426. Consistently, VsMATE1 expression increased faster and to a greater extent in 418 than 426 in response to Al stress. These results indicated that a VsMATE1-mediated citrate efflux might play an important role in Al resistance in common vetch. It is suggested that VsMATE1 is a valuable candidate gene for aluminum resistance breeding. Full article
Show Figures

Figure 1

Back to TopTop