Evaluation of the Effects of Acorns on the Meat Quality and Transcriptome Profile of Finishing Yuxi Pigs
Simple Summary
Abstract
1. Introduction
2. Materials and Methods
2.1. Animals, Trial Design, and Management
2.2. Sample Collection
2.3. Assay of Meat Quality
2.3.1. pH Values
2.3.2. Meat Color
2.3.3. Drip Loss
2.3.4. Cooking Loss
2.3.5. Shear Force
2.4. Analysis of Chemical Composition
2.5. Analysis of Free Amino Acid Contents
2.6. Histological Analysis
2.7. Measurement of Glycolytic Potential (GP) and Adenosine Phosphate Contents
2.8. Analysis of Glycolytic Enzyme Activity
2.9. Transcriptome Analysis
2.9.1. RNA Extraction, Library Construction, and RNA Sequencing
2.9.2. Identification of Differentially Expressed Genes (DEGs)
2.9.3. Functional Enrichment Analysis of DEGs
2.10. Quantitative Real-Time PCR (qPCR)
2.11. Statistical Analysis
3. Results
3.1. Meat Quality
3.2. Amino Acid Analysis
3.3. GP, Glycolytic Enzyme Activities, and Adenosine Phosphate Levels
3.4. Myofiber Histology
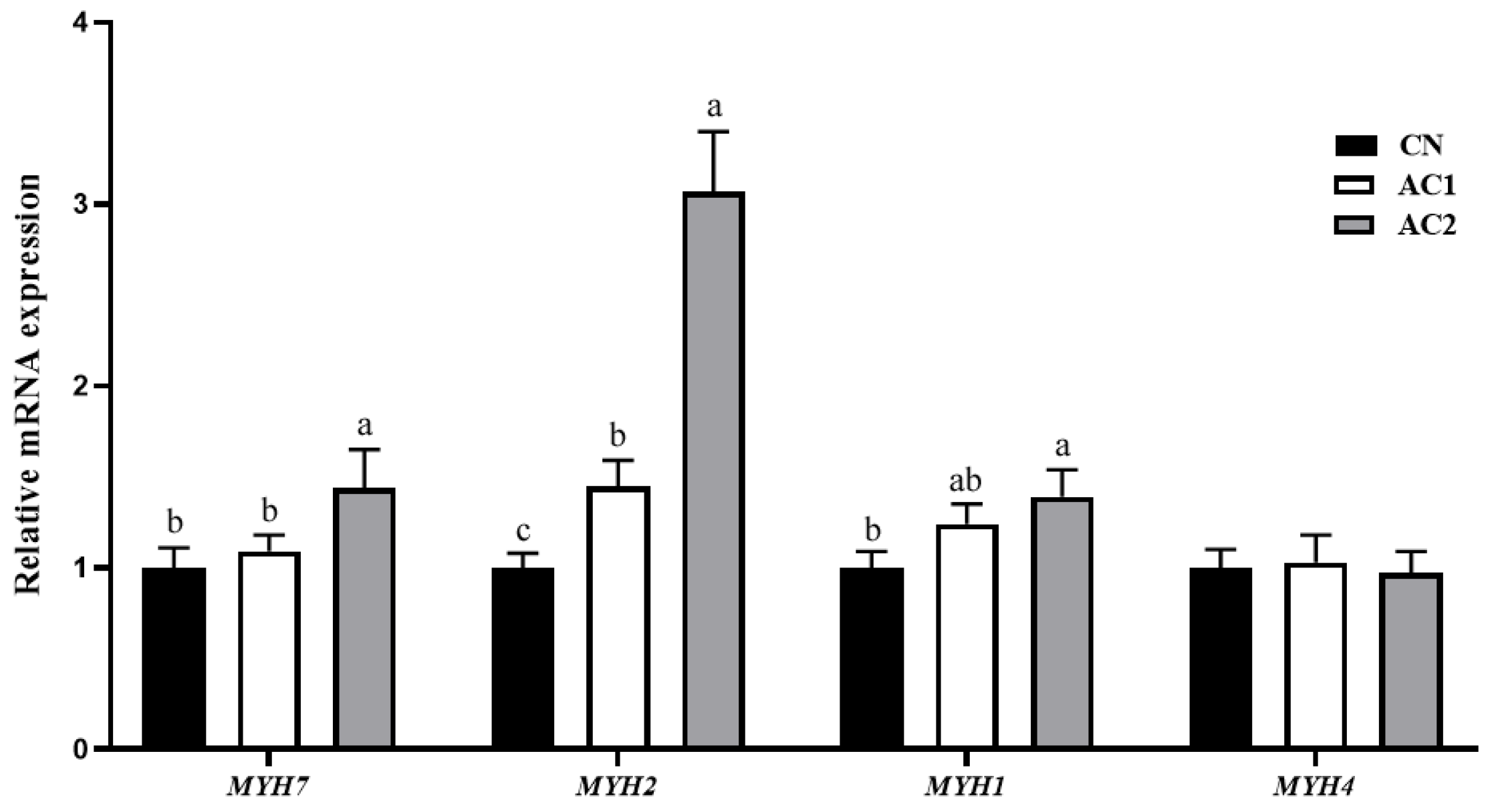
3.5. Expression Levels of Myofiber-Related Genes
3.6. Transcriptome Analysis
3.7. DEG Screening and Analysis
3.8. GO Annotation and KEGG Pathway Mapping
3.9. DEG Validation
4. Discussion
5. Conclusions
Supplementary Materials
Author Contributions
Funding
Institutional Review Board Statement
Informed Consent Statement
Data Availability Statement
Conflicts of Interest
References
- Makkar, H.P.S. Review: Feed demand landscape and implications of food-not feed strategy for food security and climate change. Animal 2018, 12, 1744–1754. [Google Scholar] [CrossRef] [PubMed]
- Lebret, B.; Lhuisset, S.; Labussière, E.; Louveau, I. Combining pig genetic and feeding strategies improves the sensory, nutritional and technological quality of pork in the context of relocation of feed resources. Meat Sci. 2023, 197, 109074. [Google Scholar] [CrossRef] [PubMed]
- Wang, Y.; Xu, C.; Wang, Q.; Jiang, Y.; Qin, L. Germplasm resources of oaks (Quercus L.) in China: Utilization and prospects. Biology 2022, 12, 76. [Google Scholar] [CrossRef]
- Çetin, N.; Ciftci, B.; Kara, K.; Kaplan, M. Effects of gradually increasing drying temperatures on energy aspects, fatty acids, chemical composition, and in vitro ruminal fermentation of acorn. Environ. Sci. Pollut. Res. Int. 2023, 30, 19749–19765. [Google Scholar] [CrossRef] [PubMed]
- Li, S.; Zhou, Y.; Liu, M.; Zhang, Y.; Cao, S. Nutrient composition and starch characteristics of Quercus glandulifera Bl. seeds from China. Food Chem. 2015, 185, 371–376. [Google Scholar] [CrossRef] [PubMed]
- Rodríguez-Sánchez, J.A.; Ripoll, G.; Latorre, M.A. The influence of age at the beginning of Montanera period on meat characteristics and fat quality of outdoor Iberian pigs. Animal 2010, 4, 289–294. [Google Scholar] [CrossRef] [PubMed]
- Tejeda, J.F.; Hernández-Matamoros, A.; Paniagua, M.; González, E. Effect of free-range and low-protein concentrated diets on growth performance, carcass traits, and meat composition of Iberian pig. Animals 2020, 10, 273. [Google Scholar] [CrossRef] [PubMed]
- Fernández-Fígares, I.; Rodríguez-López, J.M.; González-Valero, L.; Lachica, M. Iberian pig adaptation to acorn consumption: I. Net portal appearance of metabolites. PeerJ 2018, 6, e5861. [Google Scholar] [CrossRef]
- Lachica, M.; Rodríguez-López, J.M.; González-Valero, L.; Fernández-Fígares, I. Iberian pig adaptation to acorn consumption: II. Net portal appearance of amino acids. PeerJ 2018, 6, e6137. [Google Scholar] [CrossRef]
- Tejerina, D.; García-Torres, S.; Cabeza de Vaca, M.; Vázquez, F.M.; Cava, R. Effect of production system on physical-chemical, antioxidant and fatty acids composition of Longissimus dorsi and Serratus ventralis muscles from Iberian pig. Food Chem. 2012, 133, 293–299. [Google Scholar] [CrossRef]
- Garrido, N.; Izquierdo, M.; Hernández-García, F.I.; Núñez, Y.; García-Torres, S.; Benítez, R.; Padilla, J.Á.; Óvilo, C. Differences in muscle lipogenic gene expression, carcass traits and fat deposition among three Iberian pig strains finished in two different feeding systems. Animals 2023, 13, 1138. [Google Scholar] [CrossRef] [PubMed]
- Sun, Z.; Liu, D.; An, S.; Wu, X.; Zhang, J.; Miao, Z. Effects of acorns on fatty acid composition and lipid metabolism in adipose tissue of Yuxi black pigs. Animals 2024, 14, 3271. [Google Scholar] [CrossRef]
- Qiao, R.; Li, X.; Han, X.; Wang, K.; Lv, G.; Ren, G.; Li, X. Population structure and genetic diversity of four Henan pig populations. Anim. Genet. 2019, 50, 262–265. [Google Scholar] [CrossRef] [PubMed]
- GB/T 39235-2020; Nutrient Requirements of Swine. Standards Press of China: Beijing, China, 2020.
- Ortiz, A.; Tejerina, D.; García-Torres, S.; González, E.; Morcillo, J.F.; Mayoral, A.I. Effect of animal age at slaughter on the muscle fibres of Longissimus thoracis and meat quality of fresh loin from Iberian × Duroc crossbred pig under two production systems. Animals 2021, 11, 2143. [Google Scholar] [CrossRef] [PubMed]
- Association of Official Analytical Chemists (AOAC). Animal Feed, 17th ed.; AOAC: Gaithersburg, MD, USA, 2000; pp. 69–90. [Google Scholar]
- Wang, Y.; Ning, C.; Wang, C.; Guo, J.; Wang, J.; Wu, Y. Genome-wide association study for intramuscular fat content in Chinese Lulai black pigs. Asian-Australas J. Anim. Sci. 2019, 32, 607–613. [Google Scholar] [CrossRef]
- Li, F.; Duan, Y.; Li, Y.; Tang, Y.; Geng, M.; Oladele, O.A.; Kim, S.W.; Yin, Y. Effects of dietary n-6:n-3 PUFA ratio on fatty acid composition, free amino acid profile and gene expression of transporters in finishing pigs. Br. J. Nutr. 2015, 113, 739–748. [Google Scholar] [CrossRef]
- Zhang, L.; Yue, H.Y.; Zhang, H.J.; Xu, L.; Wu, S.G.; Yan, H.J.; Gong, Y.S.; Qi, G.H. Transport stress in broilers: I. Blood metabolism, glycolytic potential, and meat quality. Poult. Sci. 2009, 88, 2033–2041. [Google Scholar] [CrossRef]
- Li, Y.J.; Gao, T.; Li, J.L.; Zhang, L.; Gao, F.; Zhou, G.H. Effects of dietary starch types on early postmortem muscle energy metabolism in finishing pigs. Meat Sci. 2017, 133, 204–209. [Google Scholar] [CrossRef]
- Wang, X.; Li, J.; Cong, J.; Chen, X.; Zhu, X.; Zhang, L.; Gao, F.; Zhou, G. Preslaughter transport effect on broiler meat quality and post-mortem glycolysis metabolism of muscles with different fiber types. J. Agric. Food. Chem. 2017, 65, 10310–10316. [Google Scholar] [CrossRef] [PubMed]
- Chen, L.; Bai, Y.; Everaert, N.; Li, X.; Tian, G.; Hou, C.; Zhang, D. Effects of protein phosphorylation on glycolysis through the regulation of enzyme activity in ovine muscle. Food Chem. 2019, 293, 537–544. [Google Scholar] [CrossRef]
- Kim, D.; Langmead, B.; Salzberg, S.L. HISAT: A fast spliced aligner with low memory requirements. Nat. Methods 2015, 12, 357–360. [Google Scholar] [CrossRef] [PubMed]
- Pertea, M.; Kim, D.; Pertea, G.M.; Leek, J.T.; Salzberg, S.L. Transcript-level expression analysis of RNA-seq experiments with HISAT, StringTie and Ballgown. Nat. Protoc. 2016, 11, 1650–1667. [Google Scholar] [CrossRef]
- Love, M.I.; Huber, W.; Anders, S. Moderated estimation of fold change and dispersion for RNA-seq data with DESeq2. Genome Biol. 2014, 15, 550. [Google Scholar] [CrossRef]
- Yu, G.; Wang, L.G.; Han, Y.; He, Q.Y. clusterProfiler: An R package for comparing biological themes among gene clusters. Omics 2012, 16, 284–287. [Google Scholar] [CrossRef] [PubMed]
- Lopez-Bote, C.J. Sustained utilization of the Iberian pig breed. Meat Sci. 1998, 49S1, S17–S27. [Google Scholar] [CrossRef]
- Li, Y.; Feng, Y.; Chen, X.; He, J.; Luo, Y.; Yu, B.; Chen, D.; Huang, Z. Dietary short-term supplementation of grape seed proanthocyanidin extract improves pork quality and promotes skeletal muscle fiber type conversion in finishing pigs. Meat Sci. 2024, 210, 109436. [Google Scholar] [CrossRef]
- Huff-Lonergan, E.; Baas, T.J.; Malek, M.; Dekkers, J.C.; Prusa, K.; Rothschild, M.F. Correlations among selected pork quality traits. J. Anim. Sci. 2002, 80, 617–627. [Google Scholar] [CrossRef] [PubMed]
- Szyndler-Nędza, M.; Świątkiewicz, M.; Migdał, Ł.; Migdał, W. The quality and health-promoting value of meat from pigs of the native breed as the effect of extensive feeding with acorns. Animals 2021, 11, 789. [Google Scholar] [CrossRef]
- Aaslyng, M.D.; Meinert, L. Meat flavour in pork and beef—From animal to meal. Meat Sci. 2017, 132, 112–117. [Google Scholar] [CrossRef]
- Xia, J.Q.; Liu, D.Y.; Liu, J.; Jiang, X.P.; Wang, L.; Yang, S.; Liu, D. Sex effects on carcass characteristics, meat quality traits and meat amino acid and fatty acid compositions in a novel Duroc line pig. J. Anim. Physiol. Anim. Nutr. 2023, 107, 129–135. [Google Scholar] [CrossRef] [PubMed]
- Li, Y.; He, Y.; Ran, J.; Huang, Y.; Li, X.; Jiang, H.; Li, X.; Pan, Y.; Zhao, S.; Song, C.; et al. Comparison of meat quality and glycolysis potential of two hybrid pigs in three-way hybrid model. Front. Vet. Sci. 2023, 10, 1136485. [Google Scholar] [CrossRef] [PubMed]
- Chen, R.; Wen, C.; Gu, Y.; Wang, C.; Chen, Y.; Zhuang, S.; Zhou, Y. Dietary betaine supplementation improves meat quality of transported broilers through altering muscle anaerobic glycolysis and antioxidant capacity. J. Sci. Food Agric. 2020, 100, 2656–2663. [Google Scholar] [CrossRef] [PubMed]
- Wang, T.; Li, J.; Shao, Y.; Yao, W.; Xia, J.; He, Q.; Huang, F. The effect of dietary garcinol supplementation on oxidative stability, muscle postmortem glycolysis and meat quality in pigs. Meat Sci. 2020, 161, 107998. [Google Scholar] [CrossRef] [PubMed]
- Ryu, Y.C.; Lee, M.H.; Lee, S.K.; Kim, B.C. Effects of muscle mass and fiber type composition of longissimus dorsi muscle on postmortem metabolic rate and meat quality in pigs. J. Muscle Foods 2006, 17, 343–353. [Google Scholar] [CrossRef]
- Song, S.; Ahn, C.H.; Song, M.; Kim, G.D. Pork loin chop quality and muscle fiber characteristics as affected by the direction of cut. Foods 2020, 10, 43. [Google Scholar] [CrossRef] [PubMed]
- Ryu, Y.C.; Kim, B.C. The relationship between muscle fiber characteristics, postmortem metabolic rate, and meat quality of pig longissimus dorsi muscle. Meat Sci. 2005, 71, 351–357. [Google Scholar] [CrossRef]
- An, W.; Huang, Z.; Mao, Z.; Qiao, T.; Jia, G.; Zhao, H.; Liu, G.; Chen, X. Dietary taurine supplementation improves the meat quality, muscle fiber type, and mitochondrial function of finishing pigs. J. Agric. Food Chem. 2023, 71, 15331–15340. [Google Scholar] [CrossRef] [PubMed]
- Schiaffino, S.; Reggiani, C. Fiber types in mammalian skeletal muscles. Physiol. Rev. 2011, 91, 1447–1531. [Google Scholar] [CrossRef]
- McCormick, R.J. Extracellular modifications to muscle collagen: Implications for meat quality. Poult. Sci. 1999, 78, 785–791. [Google Scholar] [CrossRef] [PubMed]
- Bao, X.; Zeng, Y.; Wei, S.; Wang, G.; Liu, C.; Sun, Y.; Chen, Q.; Li, H. Developmental changes of Col3a1 mRNA expression in muscle and their association with intramuscular collagen in pigs. J. Genet. Genomics 2007, 34, 223–228. [Google Scholar] [CrossRef]
- Chen, Y.; Sun, Y.; Li, Z.; Li, C.; Xiao, L.; Dai, J.; Li, S.; Liu, H.; Hu, D.; Wu, D.; et al. Identification of COL3A1 variants associated with sporadic thoracic aortic dissection: A case-control study. Front. Med. 2021, 15, 438–447. [Google Scholar] [CrossRef] [PubMed]
- Pedroso, J.A.B.; Ramos-Lobo, A.M.; Donato, J., Jr. SOCS3 as a future target to treat metabolic disorders. Hormones 2019, 18, 127–136. [Google Scholar] [CrossRef] [PubMed]
- Sahin, I.; Kawano, Y.; Sklavenitis-Pistofidis, R.; Moschetta, M.; Mishima, Y.; Manier, S.; Sacco, A.; Carrasco, R.; Fonseca, R.; Roccaro, A.M.; et al. Citron Rho-interacting kinase silencing causes cytokinesis failure and reduces tumor growth in multiple myeloma. Blood Adv. 2019, 3, 995–1002. [Google Scholar] [CrossRef] [PubMed]
- Wang, W.; Metzger, J.M. Parvalbumin isoforms for enhancing cardiac diastolic function. Cell Biochem. Biophys. 2008, 51, 1–8. [Google Scholar] [CrossRef] [PubMed]
- Piórkowska, K.; Żukowski, K.; Ropka-Molik, K.; Tyra, M.; Gurgul, A. A comprehensive transcriptome analysis of skeletal muscles in two Polish pig breeds differing in fat and meat quality traits. Genet. Mol. Biol. 2018, 41, 125–136. [Google Scholar] [CrossRef]








| Item | CN | AC1 | AC2 |
|---|---|---|---|
| Ingredient, % | |||
| Corn | 61.70 | 52.50 | 37.10 |
| Soybean meal | 10.70 | 13.10 | 17.20 |
| Wheat bran | 20.65 | 16.42 | 6.00 |
| Acorn | 0.00 | 10.00 | 30.00 |
| Soybean oil | 2.92 | 3.95 | 5.67 |
| CaHPO4 | 1.30 | 1.30 | 1.30 |
| Limestone | 1.15 | 1.15 | 1.15 |
| Salt | 0.30 | 0.30 | 0.30 |
| Lysine | 0.18 | 0.18 | 0.18 |
| Methionine | 0.10 | 0.10 | 0.10 |
| Premix 1 | 1.00 | 1.00 | 1.00 |
| Total | 100.00 | 100.00 | 100.00 |
| Nutrient level 2 | |||
| Digestible energy, MJ·kg−1 | 13.42 | 13.42 | 13.41 |
| Crude protein, % | 12.93 | 12.94 | 12.94 |
| Calcium, % | 0.95 | 0.95 | 0.94 |
| Total phosphorus, % | 0.69 | 0.68 | 0.67 |
| Available phosphorous, % | 0.38 | 0.37 | 0.36 |
| Methionine, % | 0.30 | 0.29 | 0.29 |
| Lysine, % | 0.84 | 0.85 | 0.85 |
| SID lysine, % | 0.76 | 0.76 | 0.76 |
| Item | CN | AC1 | AC2 | SEM | p-Value |
|---|---|---|---|---|---|
| pH45min | 5.98 | 5.96 | 6.03 | 0.14 | 0.260 |
| pH24h | 5.64 b | 5.73 ab | 5.89 a | 0.09 | 0.023 |
| L*45min | 35.2 a | 35.1 a | 31.5 b | 1.26 | 0.012 |
| a*45min | 7.0 b | 7.3 b | 9.7 a | 0.78 | 0.005 |
| b*45min | 3.5 | 3.5 | 3.2 | 0.56 | 0.466 |
| L*24h | 40.8 a | 40.0 a | 34.9 b | 1.73 | 0.001 |
| a*24h | 7.9 b | 8.2 b | 10.3 a | 0.17 | <0.001 |
| b*24h | 4.8 | 4.7 | 4.5 | 0.52 | 0.314 |
| Moisture, % | 68.7 | 67.8 | 67.5 | 1.82 | 0.233 |
| Protein, % | 22.1 | 22.5 | 22.0 | 0.56 | 0.108 |
| IMF, % | 4.3 c | 5.5 b | 7.4 a | 0.45 | <0.001 |
| Ash, % | 1.1 | 1.1 | 1.0 | 0.13 | 0.204 |
| Drip loss, % | 3.3 | 3.4 | 3.1 | 0.27 | 0.174 |
| Cooking loss, % | 27.7 a | 27.5 a | 25.7 b | 1.31 | 0.016 |
| Shear force, N | 56.9 a | 55.0 a | 38.8 b | 2.58 | <0.001 |
| Item | CN | AC1 | AC2 | SEM | p-Value |
|---|---|---|---|---|---|
| Asp | 7.33 b | 7.33 b | 7.56 a | 0.13 | 0.024 |
| Glu | 12.32 b | 12.48 ab | 12.73 a | 0.24 | 0.035 |
| Gly | 3.34 | 3.36 | 3.37 | 0.14 | 0.861 |
| Tyr | 3.47 | 3.50 | 3.53 | 0.13 | 0.170 |
| Ala | 4.37 | 4.33 | 4.34 | 0.08 | 0.166 |
| Phe | 3.81 | 3.82 | 3.84 | 0.07 | 0.223 |
| Thr | 3.64 | 3.61 | 3.58 | 0.23 | 0.240 |
| Val | 4.19 | 4.22 | 4.25 | 0.08 | 0.150 |
| Met | 2.18 | 2.13 | 2.17 | 0.07 | 0.202 |
| Ile | 4.19 | 4.18 | 4.22 | 0.29 | 0.207 |
| Leu | 6.73 | 6.78 | 6.79 | 0.43 | 0.117 |
| Lys | 7.26 | 7.29 | 7.32 | 0.44 | 0.107 |
| Trp | 1.82 | 1.83 | 1.85 | 0.13 | 0.145 |
| His | 4.62 | 4.54 | 4.40 | 0.08 | 0.118 |
| Arg | 4.87 | 4.84 | 4.88 | 0.08 | 0.445 |
| Pro | 2.80 | 2.81 | 2.72 | 0.10 | 0.350 |
| Ser | 2.80 | 2.74 | 2.57 | 0.14 | 0.146 |
| Cys | 0.78 | 0.78 | 0.76 | 0.03 | 0.611 |
| TAA | 80.52 | 80.57 | 80.88 | 2.87 | 0.324 |
| EAA | 33.82 | 33.86 | 34.02 | 0.79 | 0.113 |
| UAA | 34.64 b | 34.82 ab | 35.37 a | 0.51 | 0.026 |
| EAA/TAA, % | 42.00 | 42.03 | 42.06 | 1.55 | 0.132 |
| UAA/TAA, % | 43.02 | 43.22 | 43.73 | 1.24 | 0.221 |
| Items | CN | AC1 | AC2 | SEM | p-Value |
|---|---|---|---|---|---|
| Glycogen, µmol/g | 9.85 b | 10.32 b | 14.16 a | 1.27 | 0.031 |
| Lactic acid, µmol/g | 75.03 a | 72.08 a | 51.92 b | 4.68 | <0.001 |
| GP, µmol/g | 94.71 a | 89.42 b | 80.25 b | 5.07 | 0.014 |
| CK, U/g | 4.21 b | 4.84 b | 6.77 a | 0.89 | 0.015 |
| HK, U/g | 47.06 | 47.19 | 45.11 | 3.52 | 0.256 |
| LDH, U/g | 15.63 a | 14.46 a | 10.37 b | 1.44 | 0.020 |
| MDH, U/g | 27.09 a | 26.01 a | 22.89 b | 2.61 | 0.003 |
| PFKM, U/g | 7.15 a | 6.13 b | 3.56 c | 1.15 | 0.012 |
| PK, U/g | 46.80 a | 44.56 a | 33.24 b | 4.33 | 0.001 |
| ATP, µmol/g | 0.14 b | 0.15 b | 0.19 a | 0.04 | 0.025 |
| ADP, µmol/g | 0.23 b | 0.21 b | 0.32 a | 0.05 | 0.003 |
| AMP, µmol/g | 0.09 | 0.11 | 0.11 | 0.02 | 0.156 |
Disclaimer/Publisher’s Note: The statements, opinions and data contained in all publications are solely those of the individual author(s) and contributor(s) and not of MDPI and/or the editor(s). MDPI and/or the editor(s) disclaim responsibility for any injury to people or property resulting from any ideas, methods, instructions or products referred to in the content. |
© 2025 by the authors. Licensee MDPI, Basel, Switzerland. This article is an open access article distributed under the terms and conditions of the Creative Commons Attribution (CC BY) license (https://creativecommons.org/licenses/by/4.0/).
Share and Cite
Zhang, J.; Zhang, C.; Meng, S.; Wang, H.; Liu, D.; Guo, L.; Miao, Z. Evaluation of the Effects of Acorns on the Meat Quality and Transcriptome Profile of Finishing Yuxi Pigs. Animals 2025, 15, 614. https://doi.org/10.3390/ani15050614
Zhang J, Zhang C, Meng S, Wang H, Liu D, Guo L, Miao Z. Evaluation of the Effects of Acorns on the Meat Quality and Transcriptome Profile of Finishing Yuxi Pigs. Animals. 2025; 15(5):614. https://doi.org/10.3390/ani15050614
Chicago/Turabian StyleZhang, Jinzhou, Chuankuan Zhang, Shuaitao Meng, Heming Wang, Dongyang Liu, Liping Guo, and Zhiguo Miao. 2025. "Evaluation of the Effects of Acorns on the Meat Quality and Transcriptome Profile of Finishing Yuxi Pigs" Animals 15, no. 5: 614. https://doi.org/10.3390/ani15050614
APA StyleZhang, J., Zhang, C., Meng, S., Wang, H., Liu, D., Guo, L., & Miao, Z. (2025). Evaluation of the Effects of Acorns on the Meat Quality and Transcriptome Profile of Finishing Yuxi Pigs. Animals, 15(5), 614. https://doi.org/10.3390/ani15050614

