Sign in to use this feature.

Years

Between: -

Subjects

remove_circle_outline
remove_circle_outline
remove_circle_outline
remove_circle_outline
remove_circle_outline
remove_circle_outline
remove_circle_outline
remove_circle_outline
remove_circle_outline

Journals

remove_circle_outline
remove_circle_outline
remove_circle_outline
remove_circle_outline
remove_circle_outline
remove_circle_outline
remove_circle_outline
remove_circle_outline
remove_circle_outline
remove_circle_outline
remove_circle_outline
remove_circle_outline

Article Types

Countries / Regions

remove_circle_outline
remove_circle_outline
remove_circle_outline

Search Results (317)

Search Parameters:
Keywords = isolated-check

Order results
Result details
Results per page
Select all
Export citation of selected articles as:
35 pages, 1106 KB  
Review
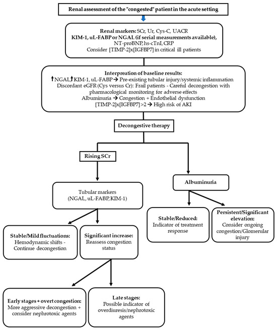
Integrating Novel Biomarkers into Clinical Practice: A Practical Framework for Diagnosis and Management of Cardiorenal Syndrome
by Georgios Aletras, Maria Bachlitzanaki, Maria Stratinaki, Emmanuel Lamprogiannakis, Ioannis Petrakis, Emmanuel Foukarakis, Yannis Pantazis, Michael Hamilos and Kostas Stylianou
Life 2025, 15(10), 1540; https://doi.org/10.3390/life15101540 - 1 Oct 2025
Abstract
Cardiorenal syndrome (CRS) reflects the intricate and bidirectional interplay between cardiac and renal dysfunction, commonly resulting in diagnostic uncertainty, therapeutic dilemmas and poor outcomes. While traditional biomarkers like serum creatinine (Cr) and natriuretic peptides remain widely used, their limitations in specificity, timing and [...] Read more.
Cardiorenal syndrome (CRS) reflects the intricate and bidirectional interplay between cardiac and renal dysfunction, commonly resulting in diagnostic uncertainty, therapeutic dilemmas and poor outcomes. While traditional biomarkers like serum creatinine (Cr) and natriuretic peptides remain widely used, their limitations in specificity, timing and contextual interpretation often hinder optimal management. This narrative review synthesizes the current evidence on established and emerging biomarkers in CRS, with emphasis on their clinical relevance, integration into real-world practice, and potential to inform precision therapy. Markers of glomerular filtration rate beyond creatinine—such as cystatin C—offer more accurate assessment in frail or sarcopenic patients, while tubular injury markers such as NGAL, KIM-1, and urinary L-FABP (uL-FABP) provide early signals of structural renal damage. The FDA-approved NephroCheck® test—based on TIMP-2 and IGFBP7— enables risk stratification for imminent AKI up to 24 h before functional decline. Congestion-related markers such as CA125 and bio-adrenomedullin outperform natriuretic peptides in certain CRS phenotypes, particularly in right-sided heart failure or renally impaired patients. Fibrosis and inflammation markers (galectin-3, sST2, GDF-15) add prognostic insights, especially when combined with NT-proBNP or troponin. Rather than presenting biomarkers in isolation, this review proposes a framework that links them to specific clinical contexts—such as suspected decongestion-related renal worsening or persistent congestion despite therapy—to support actionable interpretation. A tailored, scenario-based, multi-marker strategy may enhance diagnostic precision and treatment safety in CRS. Future research should prioritize prospective biomarker-guided trials and standardized pathways for clinical integration. Full article
(This article belongs to the Special Issue Cardiorenal Disease: Pathogenesis, Diagnosis, and Treatments)
Show Figures

Figure 1

27 pages, 3412 KB  
Article
Exploring Preference Heterogeneity and Acceptability for Forest Restoration Policies: Latent Class Choice Modeling and Principal Component Analysis
by Chulhyun Jeon and Danny Campbell
Forests 2025, 16(10), 1507; https://doi.org/10.3390/f16101507 - 24 Sep 2025
Viewed by 136
Abstract
The restoration of forest ecosystems damaged by wildfires and pest outbreaks has become increasingly urgent. However, the public-good nature of forests, the involvement of diverse stakeholders, and the spatial variability of degradation present significant challenges to effective policy design. In particular, previous studies [...] Read more.
The restoration of forest ecosystems damaged by wildfires and pest outbreaks has become increasingly urgent. However, the public-good nature of forests, the involvement of diverse stakeholders, and the spatial variability of degradation present significant challenges to effective policy design. In particular, previous studies have largely examined these threats in isolation, and few have provided integrated economic analyses of their combined impacts. This gap underscores the need to better understand heterogeneous public preferences and their implications for restoration policy. To address this, we conducted a discrete choice experiment (DCE) with 1021 Korean citizens and applied a two-stage analytical framework combining principal component analysis (PCA) and latent class choice modeling (LCM). Five distinct preference segments were identified, each exhibiting substantial variation in willingness to pay (WTP) for restoration attributes. Policy simulations further revealed that public acceptance declines sharply at higher cost levels, highlighting the importance of setting realistic financial thresholds for broad support. While visual materials, consequentiality checks, and cheap talk scripts were employed to mitigate hypothetical bias, the limitations of external validity and potential sampling biases should be acknowledged. Our findings provide empirical evidence for tailoring restoration policies to different stakeholder groups, while also stressing the financial and institutional constraints of implementation. In particular, the results suggest that cost thresholds, citizen engagement, and awareness-raising strategies must be carefully balanced to ensure both effectiveness and public acceptance. Taken together, these insights contribute to evidence-based forest policymaking that is both economically efficient and socially acceptable, while recognizing the context-specific limitations of the Korean case and the need for comparative studies across countries. Full article
(This article belongs to the Section Forest Economics, Policy, and Social Science)
Show Figures

Figure 1

21 pages, 3200 KB  
Article
Probiotic Potential of Lactic Acid Bacteria Isolated from Moroccan Traditional Food Products
by Ange Olivier Parfait Yao, Majid Mounir, Hary Razafindralambo and Philippe Jacques
Microorganisms 2025, 13(9), 2201; https://doi.org/10.3390/microorganisms13092201 - 19 Sep 2025
Viewed by 310
Abstract
This study assessed the performance and potential use of lactic acid bacteria (LAB) from Moroccan traditional foods as probiotics in animal feed. Five LAB strains Lactiplantibacillus plantarum from whey sourdough, Leuconostoc pseudomesenteroides and Leuconostoc mesenteroides from goat cheese, Enterococcus durans and Lacticaseibacillus casei [...] Read more.
This study assessed the performance and potential use of lactic acid bacteria (LAB) from Moroccan traditional foods as probiotics in animal feed. Five LAB strains Lactiplantibacillus plantarum from whey sourdough, Leuconostoc pseudomesenteroides and Leuconostoc mesenteroides from goat cheese, Enterococcus durans and Lacticaseibacillus casei from fermented milk were isolated and identified by 16S rRNA gene sequencing and MALDI-TOF mass spectrometry. Probiotic traits were evaluated by measuring acid/bile tolerance, cell surface hydrophobicity, emulsifying properties, antimicrobial activity and organic acid production, and safety checked through hemolysis and antibiotic sensitivity tests. L. plantarum, L. casei, and E. durans showed high survival rates after 24 h of culture under acid/bile stress conditions. The surface hydrophobicity of all strains ranged from 14.4 to 39.2%. L. plantarum showed the highest emulsifying capacity (81.4%) and stability (20%) after 24 h. Most strains inhibited pathogenic Staphylococcus epidermidis, Bacillus cereus, and Escherichia coli. Metabolite profiling revealed L. pseudomesenteroides as an interesting butyric acid-producing bacterium and L. plantarum as a remarkable strain releasing high content of organic acids. Their antibiotic susceptibility and non-hemolytic nature support their safety and potential use as feed additives. Full article
(This article belongs to the Section Microbial Biotechnology)
Show Figures

Figure 1

28 pages, 4543 KB  
Article
Development and Evaluation of a Bioactive Halophilic Bacterial Exopolysaccharide-Based Coating Material to Extend Shelf Life and Mitigate Citrus Canker Disease in Citrus limon L.
by Chandni Upadhyaya, Hiren Patel, Ishita Patel and Trushit Upadhyaya
Coatings 2025, 15(9), 1068; https://doi.org/10.3390/coatings15091068 - 11 Sep 2025
Viewed by 370
Abstract
Halophilic isolates were screened to mitigate postharvest losses caused by citrus canker disease in lemon fruits. Among all isolates, SWIS03, isolated from the Sambhar Salt Lake in Rajasthan, India, exhibited the highest exopolysaccharide production, with good stability and antibacterial activity against Xanthomonas citri [...] Read more.
Halophilic isolates were screened to mitigate postharvest losses caused by citrus canker disease in lemon fruits. Among all isolates, SWIS03, isolated from the Sambhar Salt Lake in Rajasthan, India, exhibited the highest exopolysaccharide production, with good stability and antibacterial activity against Xanthomonas citri. Isolate SWIS03 was identified as halophilic Bacillus licheniformis DET601. It produced a very high EPS content in optimized sterilized seawater-based minimal media fortified with 2.5% sucrose and 0.3% beef extract, which was purified through repeated deproteinization and Sephadex G-75 chromatography. HPTLC analysis of composition check indicated the presence of glucose, mannose, and galactose. FTIR analysis also confirmed the presence of sugar and bound water, as well as the presence of hydroxyl, amine, amide, and methyl groups. Rheological characterization revealed a pseudoplastic nature, making it suitable for uniform coating. EPS was reported to have bioactive properties, including antioxidant activity (84.7 ± 1.75% DPPH scavenging potential), antimicrobial activity against human pathogens, and a noncytotoxic nature, which are essential for use in edible coatings. The effect of EPS coating formulation on healthy lemon fruits resulted in shelf-life extension of up to 26.6 ± 1.14 days and 18.0 ± 1.41 days at 4 °C and 30 °C in coated lemons, respectively, as demonstrated by physiological parameters such as % weight loss, firmness, titratable acidity, and shelf life of lemons. Also, EPS coating preserved the quality of fruits in terms of phenolic compounds and Vitamin C content, and reduced lipid peroxidation during storage. Biocontrol potential of halophilic EPS coating on lemon fruits revealed an 86.50% and 68.64% reduction in % disease incidence compared to uncoated fruits at 4 °C and 30 °C, respectively. Similarly, a significantly lower disease incidence (46.80% at 4 °C and 67.03% at 30 °C) was also reported compared to paraffin-coated (positive control) lemons. Consequently, halophilic Bacillus licheniformis DET601 EPS is an effective coating material for citrus fruits to prevent canker disease in post-harvest settings for agricultural and food industry applications. Full article
Show Figures

Figure 1

13 pages, 1757 KB  
Proceeding Paper
Research Trends and Gaps Relevant to the Safety and Balance of Structures Affected by Earthquakes and Floods: A Combined Literature Review and Systematic Bibliometrix Analysis
by Paikun, Andika Putra Pribad, Villiawanti Lestari and Maulana Yusuf
Eng. Proc. 2025, 107(1), 53; https://doi.org/10.3390/engproc2025107053 - 3 Sep 2025
Viewed by 889
Abstract
This study examines research trends and identifies key gaps relevant to the field of structural safety and resilience; additionally, a systematic literature review (SLR) guided by the PRISMA methodology was conducted, analyzing 4188 documents ranging from 1975 to 2025. The research revealed key [...] Read more.
This study examines research trends and identifies key gaps relevant to the field of structural safety and resilience; additionally, a systematic literature review (SLR) guided by the PRISMA methodology was conducted, analyzing 4188 documents ranging from 1975 to 2025. The research revealed key trends, including a focus on various aspects of the structural stability and resilience of buildings affected by earthquakes through analysis of various innovative methods and materials. The present study encompasses work describing the use of steel–wood composite columns to improve building stability, assessment of the impact of wood accumulation on bridges during floods, and the effect of debris flow on the stability of check dams. In addition, this study also evaluates the seismic performance of school buildings in Mexico, a method of diagnosing cracks in concrete dams, and the application of recycled materials from old tires for seismic disaster mitigation. Acoustic emission monitoring methods in medieval towers and the design of seismic isolation systems with variable damping are also discussed. Bibliometric analysis highlighted increased collaboration and a thematic shift towards green and data-driven approaches. However, significant gaps were identified. The findings explain that the use of innovative materials and methods can improve the stability and resistance of building structures with respect to dynamic loads, such as those associated with earthquakes and floods. The findings provide guidance for the design and maintenance of safer and more sustainable infrastructure in the future. Full article
Show Figures

Figure 1

16 pages, 274 KB  
Article
Exploring an Intervention to Enhance Positive Mental Health in People with First-Episode Psychosis: A Qualitative Study from the Perspective of Mental Health Professionals
by Júlia Rolduà-Ros, Antonio Rafael Moreno-Poyato, Joana Catarina Ferreira Coelho, Catarina Nogueira, Carlos Alberto Cruz Sequeira, Sónia Teixeira, Judith Usall and Maria Teresa Lluch-Canut
Healthcare 2025, 13(15), 1834; https://doi.org/10.3390/healthcare13151834 - 28 Jul 2025
Viewed by 467
Abstract
Background/Objectives: This study explores the perspectives of mental health professionals on tailoring the Mentis Plus intervention to enhance positive mental health (PMH) in individuals experiencing First-Episode Psychosis (FEP). Although the Mentis Plus Program has been previously implemented in other contexts, it has not [...] Read more.
Background/Objectives: This study explores the perspectives of mental health professionals on tailoring the Mentis Plus intervention to enhance positive mental health (PMH) in individuals experiencing First-Episode Psychosis (FEP). Although the Mentis Plus Program has been previously implemented in other contexts, it has not yet been applied to FEP care. Therefore, this study aimed to adapt the intervention for future implementation through expert consultation. Methods: A qualitative exploratory-descriptive design was employed. Data were collected via three focus groups comprising multidisciplinary professionals experienced in FEP care. Qualitative content analysis was used to examine the data. Results: Participants viewed the tailored Mentis Plus intervention as a valuable, recovery-oriented tool. Key recommendations included a flexible, group-based format with eight weekly sessions. Suggested intervention components encompassed gratitude journaling, emotional regulation techniques, and collaborative problem-solving exercises. Group delivery was highlighted as essential for mitigating isolation and promoting peer support. Practical implementation strategies included phased session structures and routine emotional check-ins. Identified barriers to implementation included the need for specialized training, limited therapeutic spaces, and the heterogeneity of participant needs. Facilitators included a person-centered approach, institutional backing, and sufficient resources. Conclusions: The findings support the feasibility and clinical relevance of a tailored Mentis Plus FEP Program—Brief Version. Expert-informed insights provide a foundation for adapting mental health interventions to early-psychosis care and inform future research and implementation strategies. Full article
19 pages, 55351 KB  
Article
Improving UAV Remote Sensing Photogrammetry Accuracy Under Navigation Interference Using Anomaly Detection and Data Fusion
by Chen Meng, Haoyang Yang, Cuicui Jiang, Qinglei Hu and Dongyu Li
Remote Sens. 2025, 17(13), 2176; https://doi.org/10.3390/rs17132176 - 25 Jun 2025
Viewed by 732
Abstract
Accurate and robust navigation is fundamental to Unmanned Aerial Vehicle (UAV) remote sensing operations. However, the susceptibility of UAV navigation sensors to diverse interference and malicious attacks can severely degrade positioning accuracy and compromise mission integrity. Addressing these vulnerabilities, this paper presents an [...] Read more.
Accurate and robust navigation is fundamental to Unmanned Aerial Vehicle (UAV) remote sensing operations. However, the susceptibility of UAV navigation sensors to diverse interference and malicious attacks can severely degrade positioning accuracy and compromise mission integrity. Addressing these vulnerabilities, this paper presents an integrated framework combining sensor anomaly detection with a Dynamic Adaptive Extended Kalman Filter (DAEKF) and federated filtering algorithms to bolster navigation resilience and accuracy for UAV remote sensing. Specifically, mathematical models for prevalent UAV sensor attacks were established. The proposed framework employs adaptive thresholding and residual consistency checks for the real-time identification and isolation of anomalous sensor measurements. Based on these detection outcomes, the DAEKF dynamically adjusts its sensor fusion strategies and noise covariance matrices. To further enhance the fault tolerance, a federated filtering architecture was implemented, utilizing adaptively weighted sub-filters based on assessed trustworthiness to effectively isolate faults. The efficacy of this framework was validated through rigorous experiments that involved real-world flight data and software-defined radio (SDR)-based Global Positioning System (GPS) spoofing, alongside simulated attacks. The results demonstrate exceptional performance, where the average anomaly detection accuracy exceeded 99% and the precision surpassed 98%. Notably, when benchmarked against traditional methods, the proposed system reduced navigation errors by a factor of approximately 2-3 under attack scenarios, which substantially enhanced the operational stability of the UAVs in challenging environments. Full article
Show Figures

Figure 1

37 pages, 2828 KB  
Article
An Approach to Business Continuity Self-Assessment
by Nelson Russo, Henrique São Mamede and Leonilde Reis
Technologies 2025, 13(6), 242; https://doi.org/10.3390/technologies13060242 - 11 Jun 2025
Cited by 1 | Viewed by 1954
Abstract
Business Continuity Management (BCM) is critical for organizations to mitigate disruptions and maintain operations, yet many struggle with fragmented and non-standardized self-assessment tools. Existing frameworks often lack holistic integration, focusing narrowly on isolated components like cyber resilience or risk management, which limits their [...] Read more.
Business Continuity Management (BCM) is critical for organizations to mitigate disruptions and maintain operations, yet many struggle with fragmented and non-standardized self-assessment tools. Existing frameworks often lack holistic integration, focusing narrowly on isolated components like cyber resilience or risk management, which limits their ability to evaluate BCM maturity comprehensively. This research addresses this gap by proposing a structured Self-Assessment System designed to unify BCM components into an adaptable, standards-aligned methodology. Grounded in Design Science Research, the system integrates a BCM Model comprising eight components and 118 activities, each evaluated through weighted questions to quantify organizational preparedness. The methodology enables organizations to conduct rapid as-is assessments using a 0–100 scoring mechanism with visual indicators (red/yellow/green), benchmark progress over time and against peers, and align with international standards (e.g., ISO 22301, ITIL) while accommodating unique organizational constraints. Demonstrated via focus groups and semi-structured interviews with 10 organizations, the system proved effective in enhancing top management commitment, prioritizing resource allocation, and streamlining BCM implementation—particularly for SMEs with limited resources. Key contributions include a reusable self-assessment tool adaptable to any BCM framework, empirical validation of its utility in identifying weaknesses and guiding continuous improvement, and a pathway from initial assessment to advanced measurement via the Plan-Do-Check-Act cycle. By bridging the gap between theoretical standards and practical application, this research offers a scalable solution for organizations to systematically evaluate and improve BCM resilience. Full article
(This article belongs to the Section Information and Communication Technologies)
Show Figures

Figure 1

14 pages, 1696 KB  
Article
Development of Multiplex qPCR Method for Accurate Detection of Enzyme-Producing Psychrotrophic Bacteria
by Kidane Yalew, Shuwen Zhang, Solomon Gebreyowhans, Ning Xie, Yunna Wang, Jiaping Lv, Xu Li and Xiaoyang Pang
Foods 2025, 14(11), 1975; https://doi.org/10.3390/foods14111975 - 3 Jun 2025
Viewed by 873
Abstract
Microbial detection in milk is crucial for food safety and quality, as beneficial and harmful microorganisms can affect consumer health and dairy product integrity. Identifying and quantifying these microorganisms helps prevent contamination and spoilage. The study employs advanced molecular techniques to detect and [...] Read more.
Microbial detection in milk is crucial for food safety and quality, as beneficial and harmful microorganisms can affect consumer health and dairy product integrity. Identifying and quantifying these microorganisms helps prevent contamination and spoilage. The study employs advanced molecular techniques to detect and quantify the genomic DNA for the target hydrolytic enzyme coding genes lipA and aprX based on the multi-align sequence conserved region, specific primer pair, and hydrolysis probes designed using the singleplex qPCR and multiplex qPCR. Cultured isolates and artificially contaminated sterilized ultra-high-temperature (UHT) milk were analyzed for their specificity, cross-reactivity, and sensitivity. The finding indicated that strains with lipA and aprX genes were amplified while the other strains were not amplified. This indicated that the designed primer pairs/probes were very specific to the target gene of interest. The specificity of each design primer pair was checked using SYBR Green qPCR using 16 different isolate strains from the milk sample. The quantification specificity of each strain target gene was deemed to be with a mean Ct value for positive pseudomonas strain > 16.98 ± 1.76 (p < 0.0001), non-pseudomonas positive strain ≥ 27.47 ± 1.25 (p < 0.0001), no Ct for the negative control and molecular grade water. The sensitivity limit of detection (LOD) analyzed based on culture broth and milk sample was >105 and >104 in PCR amplification while it was >104 and >103 in real-time qPCR, respectively. At the same time, the correlation regression coefficient of the standard curve based on the pure culture cell DNA as the DNA concentration serially diluted (20 ng/µL to 0.0002 ng/µL) was obtained in multiplex without interference and cross-reactivity, yielding R2 ≥ 0.9908 slope (−3.2591) and intercepting with a value of 37, where the efficiency reached the level of 95–102% sensitivity reached up to 0.0002 ng/µL concentration of DNA, and sensitivity of microbial load was up to 1.2 × 102 CFU/mL. Therefore, multiplex TaqMan qPCR simultaneous amplification was considered the best method developed for the detection of the lipA and aprX genes in a single tube. This will result in developing future simultaneous (three- to four-gene) detection of spoilage psychrotrophic bacteria in raw milk. Full article
Show Figures

Figure 1

18 pages, 3649 KB  
Article
Diversity and Role of Prophages in Pseudomonas aeruginosa: Resistance Genes and Bacterial Interactions
by Keyla Vitória Marques Xavier, Adrianne Maria de Albuquerque Silva, Ana Carolina de Oliveira Luz, Felipe Santana Caboclo da Silva, Beatriz Souza Toscano de Melo, João Luiz de Lemos Padilha Pitta and Tereza Cristina Leal-Balbino
Genes 2025, 16(6), 656; https://doi.org/10.3390/genes16060656 - 29 May 2025
Viewed by 1200
Abstract
Pseudomonas aeruginosa is a major pathogen associated with hospital-acquired infections, and the spread of carbapenem-resistant isolates highlights the urgency of developing non-conventional therapies, such as phage therapy. For this alternative to be effective, understanding phage–host interactions is crucial for the selection of candidate [...] Read more.
Pseudomonas aeruginosa is a major pathogen associated with hospital-acquired infections, and the spread of carbapenem-resistant isolates highlights the urgency of developing non-conventional therapies, such as phage therapy. For this alternative to be effective, understanding phage–host interactions is crucial for the selection of candidate phages and offers new insights into these dynamics. Background/Objectives: This study aimed to characterize prophage diversity in clinical P. aeruginosa genomes, assess the relationship between phages and the CRISPR/Cas system, and investigate the potential role of prophages in disseminating resistance genes. Methods: A total of 141 genomes from Brazilian hospitals were analyzed. Prophage detection was performed using VIBRANT, and in silico analyses were conducted to evaluate taxonomic diversity, the presence of resistance genes, phage life cycle, genomic distribution, and the presence of the CRISPR/Cas system. Results: A total of 841 viral sequences were identified by the VIBRANT tool, of which 498 were confirmed by CheckV, with a predominance of the class Caudoviricetes and high overall phage diversity. No statistically significant difference was observed in the number of prophages between isolates with and without CRISPR/Cas systems. Prophages carrying resistance genes such as rsmA, OXA-56, SPM-1, and others were detected in isolates harboring the type I-C CRISPR/Cas system. Additionally, prophages showed no preference for specific insertion sites along the bacterial genome. Conclusions: These findings provide evidence of a well-established phage–host relationship. The dual role of prophages—as vectors of antimicrobial resistance and as potential therapeutic agents—reflects their dynamic impact on bacterial communities and reinforces their importance in developing new strategies to combat antimicrobial resistance. Full article
(This article belongs to the Section Microbial Genetics and Genomics)
Show Figures

Graphical abstract

18 pages, 1175 KB  
Article
Association of Comorbidity and Inflammatory and Nutritional Markers with Epilepsy and Seizure Frequency
by Demet Aygun and Hafize Uzun
Nutrients 2025, 17(11), 1847; https://doi.org/10.3390/nu17111847 - 28 May 2025
Cited by 1 | Viewed by 933
Abstract
Background: Epilepsy is a chronic neurological disorder frequently influenced by systemic inflammation, nutritional status, and comorbid conditions, which may worsen seizure outcomes. Given the increasing recognition of these factors in disease progression, this study aimed to investigate the relationship between the Modified Charlson [...] Read more.
Background: Epilepsy is a chronic neurological disorder frequently influenced by systemic inflammation, nutritional status, and comorbid conditions, which may worsen seizure outcomes. Given the increasing recognition of these factors in disease progression, this study aimed to investigate the relationship between the Modified Charlson Comorbidity Index (mCCI), inflammatory hematological parameters, and the prognostic nutritional index (PNI) with seizure frequency and clinical prognosis in patients with epilepsy. Methods: A total of 159 participants were enrolled between January 2021 and January 2023, including 53 healthy controls (mean age: 44 ± 14.2 years; female: 21, male: 32), 53 epilepsy patients without comorbidity (mean age: 33 ± 12.5 years; female: 28, male: 25), and 53 epilepsy patients with comorbidities (mean age: 56.2 ± 13.8 years; female: 22, male: 31). The participants were divided into three groups: 53 patients with isolated epilepsy, 53 patients with epilepsy and comorbid conditions, and 53 healthy individuals with no known diseases, matched for age and sex with the patient groups, who presented for routine check-ups. The mCCI was calculated for patients with comorbid epilepsy. Inflammatory hematological parameters and the PNI were assessed in all participants using previously obtained complete blood count data. Results: Inflammatory markers such as white blood cell count, neutrophil count, C-reactive protein (CRP), platelet-to-lymphocyte ratio (PLR), neutrophil-to-lymphocyte ratio (NLR), systemic immune-inflammation index (SII), and mean platelet distribution width (PDW) were significantly higher in epilepsy patients with comorbidities compared to other groups. Epilepsy patients with comorbidities had a higher seizure frequency compared to those without comorbidities (75.5% vs. 54.7%, p < 0.001). The PNI was lowest in epilepsy patients with comorbidities, showing a significant difference between all groups (p < 0.001). High comorbidity burden increased seizure risk by 4.56 times (95% CI: 1.30–16.01), each unit increase in the SII raised the risk by 1.13 times (95% CI: 1.08–1.19), and each unit decrease in the PNI increased the risk by 1.14 times (OR = 0.88, p < 0.001). Cerebrovascular disease and hemiplegia were also significant risk factors, increasing seizure risk by 4.15 and 4.48 times, respectively. Conclusions: Our study demonstrates that inflammatory hematological parameters, particularly SII and MCCI scores, are elevated in epilepsy patients and further increase with comorbidities. These markers are strongly associated with seizure occurrence, highlighting the prognostic significance of systemic inflammation and comorbidity burden in epilepsy. Given the frequent observation of low PNI values in patients with comorbid conditions, which may reflect compromised nutritional status, and given associations suggest a role in poor clinical outcomes, comprehensive management is essential. Monitoring the PNI and SII may help stratify high-risk patients for targeted nutritional and anti-inflammatory interventions. Full article
(This article belongs to the Section Nutritional Immunology)
Show Figures

Graphical abstract

22 pages, 2259 KB  
Article
Dynamical Characteristics of Isolated Donors, Acceptors, and Complex Defect Centers in Novel ZnO
by Devki N. Talwar and Piotr Becla
Nanomaterials 2025, 15(10), 749; https://doi.org/10.3390/nano15100749 - 16 May 2025
Cited by 1 | Viewed by 493
Abstract
Novel wide-bandgap ZnO, BeO, and ZnBeO materials have recently gained considerable interest due to their stellar optoelectronic properties. These semiconductors are being used in developing high-resolution, flexible, transparent nanoelectronics/photonics and achieving high-power radio frequency modules for sensors/biosensors, photodetectors/solar cells, and resistive random-access memory [...] Read more.
Novel wide-bandgap ZnO, BeO, and ZnBeO materials have recently gained considerable interest due to their stellar optoelectronic properties. These semiconductors are being used in developing high-resolution, flexible, transparent nanoelectronics/photonics and achieving high-power radio frequency modules for sensors/biosensors, photodetectors/solar cells, and resistive random-access memory applications. Despite earlier evidence of attaining p-type wz ZnO with N doping, the problem persists in achieving reproducible p-type conductivity. This issue is linked to charging compensation by intrinsic donors and/or background impurities. In ZnO: Al (Li), the vibrational features by infrared and Raman spectroscopy have been ascribed to the presence of isolated AlZn(LiZn) defects, nearest-neighbor (NN) [AlZnNO] pairs, and second NN [AlZnOLiZn;VZnOLiZn] complexes. However, no firm identification has been established. By integrating accurate perturbation models in a realistic Green’s function method, we have meticulously simulated the impurity vibrational modes of AlZn(LiZn) and their bonding to form complexes with dopants as well as intrinsic defects. We strongly feel that these phonon features in doped ZnO will encourage spectroscopists to perform similar measurements to check our theoretical conjectures. Full article
(This article belongs to the Section Physical Chemistry at Nanoscale)
Show Figures

Figure 1

18 pages, 439 KB  
Article
How Does the “Civilized City” Selection Affect Environmental Governance Performance? A Spatial DID Approach Based on Prefecture-Level Cities
by Weixing Ou, Ruirui Yang and Wanhai You
Sustainability 2025, 17(9), 3812; https://doi.org/10.3390/su17093812 - 23 Apr 2025
Cited by 1 | Viewed by 437
Abstract
Our study employs panel data from 272 Chinese prefecture-level cities (2003–2020), leveraging the “Civilized City” selection campaign as a quasi-natural experiment. Using a Spatial Durbin Difference-in-Differences model, we systematically analyze the policy’s impact on local environmental governance performance and its spatial spillover effects, [...] Read more.
Our study employs panel data from 272 Chinese prefecture-level cities (2003–2020), leveraging the “Civilized City” selection campaign as a quasi-natural experiment. Using a Spatial Durbin Difference-in-Differences model, we systematically analyze the policy’s impact on local environmental governance performance and its spatial spillover effects, with rigorous robustness checks. Results reveal a significant positive spatial correlation in China’s environmental governance performance, indicating interdependence among cities rather than isolated decision-making. The “Civilized City” initiative not only improves local environmental governance but also generates spillover benefits for neighboring regions, thereby enhancing coordinated regional sustainability. Finally, we propose policy recommendations grounded in empirical findings and China’s governance context. Full article
(This article belongs to the Special Issue Spatial Analysis for the Sustainable City)
Show Figures

Figure 1

11 pages, 5939 KB  
Article
Pulsed Electromagnetic Field Therapy Alters the Genomic Profile of Bladder Cancer Cell Line HT-1197
by Maxwell Sandberg, Wyatt Whitman, Randall Bissette, Christina Ross, Matvey Tsivian and Stephen J. Walker
J. Pers. Med. 2025, 15(4), 143; https://doi.org/10.3390/jpm15040143 - 4 Apr 2025
Cited by 2 | Viewed by 2095
Abstract
Background/Objectives: Pulsed electromagnetic field (PEMF) therapy involves the use of magnetic waveform energy for targeted treatment delivery. This technique has shown promising results in the treatment of various cancers. Currently, treatment of bladder cancer is highly invasive, involving intravesical chemotherapy or radical cystectomy. [...] Read more.
Background/Objectives: Pulsed electromagnetic field (PEMF) therapy involves the use of magnetic waveform energy for targeted treatment delivery. This technique has shown promising results in the treatment of various cancers. Currently, treatment of bladder cancer is highly invasive, involving intravesical chemotherapy or radical cystectomy. The potential therapeutic effects of PEMF therapy on bladder cancer are a relatively new and understudied area; therefore, the goal of this investigation was to gain mechanistic insight by examining the effects of PEMF therapy on a bladder cancer cell line in vitro. Methods: Cells from the bladder cancer cell line HT-1197 were cultured and incubated with (treatment group) or without (control group) PEMF therapy for one hour each day for five days. Cell counts were compared using Incucyte® data to determine proliferation rates. At days 1 and 5, total RNA was isolated from cells, and following quantity and quality checks, gene expression was compared between the two groups. Proliferation rates from cell line HT-1197 were compared to prior published results on the bladder cancer cell line HT-1376. Results: HT-1197 cells treated with PEMF therapy had slower proliferation rates compared to controls (p < 0.05), but HT-1376 cells did not (p > 0.05). Principal component analysis showed complete separation of treated and untreated cells, with PEMF treatment accounting for 76% of the variation between the groups. Expression of numerous genes and cancer-related pathways was altered in the treated cells relative to the controls. Conclusions: Bladder cancer HT-1197 cells treated with PEMF therapy had slower proliferation and corresponding changes in gene expression. Several cancer-relevant pathways were differentially regulated following PEMF treatment. The conclusions are limited by the lack of a control healthy urothelial cell line in the experiments. Despite this shortcoming, our results suggest that PEMF therapy may be a promising avenue for further research in the treatment of bladder cancer. Full article
(This article belongs to the Special Issue Novel Diagnostic and Therapeutic Approaches to Urologic Oncology)
Show Figures

Figure 1

15 pages, 7338 KB  
Article
Development of Double Haploid Lines from Cucumber mosaic virus Resistant Pepper Germplasm by Anther Culture
by Zhana Ivanova, Gancho Pasev, Veronica Pashkoulova, Vesela Radeva and Stanislava Grozeva
Horticulturae 2025, 11(3), 293; https://doi.org/10.3390/horticulturae11030293 - 7 Mar 2025
Cited by 1 | Viewed by 1107
Abstract
Cucumber mosaic virus (CMV) is one of the most dangerous viral diseases threatening Solanaceae crops, in particular Capsicum sp. This study aims to develop double haploid (DH) pepper lines from germplasm resistant to CMV in order to speed up the breeding process. For [...] Read more.
Cucumber mosaic virus (CMV) is one of the most dangerous viral diseases threatening Solanaceae crops, in particular Capsicum sp. This study aims to develop double haploid (DH) pepper lines from germplasm resistant to CMV in order to speed up the breeding process. For this purpose, six genotypes previously tested for CMV resistance were used. Two induction mediums (17-2 and 17-3) with different concentrations of 2,4-Dichlorophenoxyacetic acid (2,4-D) for anther incubation and further plant regeneration were applied. L10 was the most responsive genotype, exhibiting the highest direct embryogenesis and the most plant regenerants on both mediums. Medium-specific response was observed in genotype L9 where regenerants were observed only on 17-2. Further, eight DH lines were evaluated with two CMV isolates (L-BG and PV-0418) and checked for local and systemic presence of the pathogen in leaves and fruits for a period of 60 days by DAS-ELISA. Of the tested DH lines, four (DH2, DH6, DH7 and DH9) were resistant to both strains, two (DH5 and DH14) were resistant to L-BG, and two (DH19 and DH21) were susceptible to both isolates. Field evaluation of DH7, DH9, and DH14 for some agronomic and morphological traits divided them into two groups according to the original genotypes. Full article
(This article belongs to the Section Plant Pathology and Disease Management (PPDM))
Show Figures

Graphical abstract

Back to TopTop