Sign in to use this feature.

Years

Between: -

Subjects

remove_circle_outline
remove_circle_outline
remove_circle_outline
remove_circle_outline
remove_circle_outline
remove_circle_outline
remove_circle_outline
remove_circle_outline
remove_circle_outline

Journals

remove_circle_outline
remove_circle_outline
remove_circle_outline
remove_circle_outline
remove_circle_outline
remove_circle_outline
remove_circle_outline
remove_circle_outline
remove_circle_outline
remove_circle_outline
remove_circle_outline
remove_circle_outline
remove_circle_outline
remove_circle_outline
remove_circle_outline
remove_circle_outline
remove_circle_outline
remove_circle_outline

Article Types

Countries / Regions

remove_circle_outline
remove_circle_outline
remove_circle_outline
remove_circle_outline
remove_circle_outline
remove_circle_outline

Search Results (2,287)

Search Parameters:
Keywords = investment decision-making

Order results
Result details
Results per page
Select all
Export citation of selected articles as:
40 pages, 6427 KB  
Article
Tripartite Evolutionary Game for Carbon Reduction in Highway Service Areas: Evidence from Xinjiang, China
by Huiru Bai and Dianwei Qi
Sustainability 2025, 17(22), 10145; https://doi.org/10.3390/su172210145 - 13 Nov 2025
Abstract
This study focuses on highway service areas. Building upon prior research that identified key influencing factors through surveys and ISM–MICMAC analysis, it constructs a tripartite evolutionary game model involving the government, service area operators, and carbon reduction technology providers based on stakeholder theory. [...] Read more.
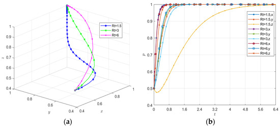
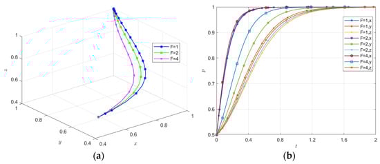
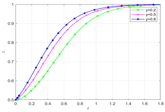
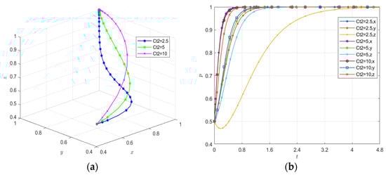
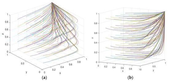
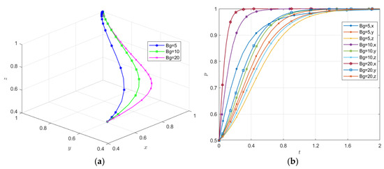
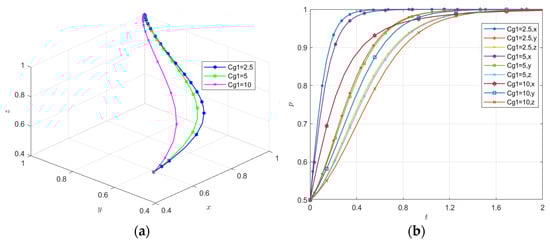
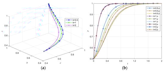
This study focuses on highway service areas. Building upon prior research that identified key influencing factors through surveys and ISM–MICMAC analysis, it constructs a tripartite evolutionary game model involving the government, service area operators, and carbon reduction technology providers based on stakeholder theory. Combined with MATLAB simulations, the model reveals the dynamic patterns of the carbon reduction system. The results indicate that government strategies exert the strongest influence on the system and catalyze the other two parties, followed by service area operators. Carbon reduction technology providers adopt a more cautious stance in decision-making. Government actions shape system evolution through a “cost-benefit-incentive” triple mechanism, with its strategies exhibiting significant spillover effects on other actors. Enterprise behavior is markedly influenced by Xinjiang’s regional characteristics, where the core barriers to corporate carbon reduction lie in the costs of proactive equipment and technological investments. The willingness of technology providers to cooperate primarily depends on two drivers: incremental baseline benefits and enhanced economies of scale. The core trade-off in government decision-making lies between the cost of strong regulation (Cg1) and the cost of environmental governance under weak regulation (Cg2). An increase in Cg1 prolongs the government’s convergence time by 233.3% and indirectly suppresses the willingness of enterprises and technology providers due to weakened subsidy capacity. Enterprises are relatively sensitive to the investment costs of carbon reduction equipment and technology, with convergence time extending by 120%. Technology providers are highly sensitive to incremental baseline returns (Rt), with stabilization time extending by 500%. Compared to existing research, this model quantitatively reveals the “cost-benefit-incentive” triple transmission mechanism for carbon reduction coordination in “grid-end” regions, identifying key parameters for strategic shifts among stakeholders. Based on this, corresponding policy recommendations are provided for all three parties, offering precise and actionable directions for the sustainable advancement of carbon reduction efforts in service areas. The research conclusions can provide a replicable collaborative framework for decarbonizing transportation infra-structure in grid-end regions with high clean energy endowments. Full article
Show Figures

Figure 1

14 pages, 491 KB  
Article
The Impact of an Onboarding Plan for Newly Hired Nurses and Nursing Assistants: Results of a Quasi-Experimental Study
by Pilar Montes Muñoz, Pablo Cardinal-Fernández, Ángel Morales Rodríguez, Cayetana Ruiz-Zaldibar and Alicia de la Cuerda López
Nurs. Rep. 2025, 15(11), 398; https://doi.org/10.3390/nursrep15110398 - 12 Nov 2025
Abstract
Background/Objectives: High turnover and staff shortages in nursing pose challenges to professional integration and compromised patient safety. Structured onboarding programs are considered key strategies to enhance adaptation, reduce clinical errors, and promote retention. This study aimed to evaluate the impact of a structured [...] Read more.
Background/Objectives: High turnover and staff shortages in nursing pose challenges to professional integration and compromised patient safety. Structured onboarding programs are considered key strategies to enhance adaptation, reduce clinical errors, and promote retention. This study aimed to evaluate the impact of a structured onboarding program compared with the standard routine on early professional adaptation, safety culture, and satisfaction among newly hired nurses and nursing assistants. Methods: A prospective quasi-experimental study was conducted between 2022 and 2024 in three private hospitals in Madrid. A total of 200 newly hired health professionals (128 nurses and 72 assistants) were assigned alternately to either the intervention group (structured onboarding program) or the control group (usual routine). The intervention comprised three consecutive days of guided training with mentorship, simulation-based learning, and digital tool instruction. Adaptation was assessed with the validated GAML scale, and satisfaction was measured through a Likert survey one month later. Statistical analyses included Mann–Whitney U, Chi-squared tests, and linear regression. Results: The intervention group achieved significantly higher scores across all competency domains for both nurses and nursing assistants, with overall medians of 25 [22–27] and 22 [20–23.25], respectively, compared with notably lower values in the control groups (p < 0.001). The greatest improvements were observed in digital tool management, clinical protocol knowledge, problem-solving and decision-making, and patient safety practices, demonstrating the strong impact of the structured onboarding program. In terms of satisfaction, participants in the intervention group also reported higher ratings for the clarity and completeness of information, particularly regarding hospital structure, service-specific orientation, and occupational risk prevention. However, global satisfaction differences were more pronounced among nurses than nursing assistants. Conclusions: The structured onboarding program demonstrated substantial benefits in professional adaptation, safety culture, and perceived preparedness of newly hired staff. These findings support integrating standardized onboarding plans as part of hospital quality and safety strategies, requiring sustained leadership and resource investment for long-term success. Full article
Show Figures

Figure 1

35 pages, 5025 KB  
Article
Empowering the Potential of Nearshoring in Mexico: Addressing Energy Challenges with a Fuzzy-CES Framework
by Pedro Ponce, Sergio Castellanos and Juana Isabel Méndez
Processes 2025, 13(11), 3662; https://doi.org/10.3390/pr13113662 - 12 Nov 2025
Abstract
Nearshoring in Mexico is expanding rapidly, yet chronic volatility in the national power grid threatens the reliability and cost-competitiveness of relocated manufacturing lines. To inform strategic mitigation, this study presents a hybrid Fuzzy–CES decision-support framework that embeds the Constant-Elasticity-of-Substitution (CES) production function within [...] Read more.
Nearshoring in Mexico is expanding rapidly, yet chronic volatility in the national power grid threatens the reliability and cost-competitiveness of relocated manufacturing lines. To inform strategic mitigation, this study presents a hybrid Fuzzy–CES decision-support framework that embeds the Constant-Elasticity-of-Substitution (CES) production function within a Mamdani Fuzzy-Inference Engine, implemented in both Type-1 and Interval Type-2 variants, to evaluate and optimize production adaptability in energy-constrained environments. Using sector-wide data from Mexico’s automotive industry, key input variables (energy reliability, capital intensity, and labor availability) are objectively quantified and normalized to reflect the realities of regional plant operations. The system linguistically classifies each facility’s production elasticity as low, moderate, or high, and generates actionable recommendations for resource allocation, such as targeted investments in renewable microgrids or workforce strategies. Implemented in MATLAB, simulation results confirm that, while high capital and labor inputs are essential, energy reliability remains the primary bottleneck limiting adaptability; only states with all three strong factors achieve maximum resilience. The Type-2 fuzzy approach demonstrates superior robustness to input uncertainty, enhancing managerial decision-making under volatile grid conditions. In addition, a case study regarding the automotive industry is presented to illustrate how the proposed framework is implemented. The same structure can be used to deploy it in another industry. This research offers a transparent, data-driven tool to inform both firm-level investment and regional policy, directly supporting Mexico’s efforts to sustain competitiveness and resilience in the global shift toward nearshoring. Full article
(This article belongs to the Section Energy Systems)
Show Figures

Figure 1

27 pages, 382 KB  
Article
Profitability and Capital Intensity: Moderating Role of Debt Financing
by Abdulazeez Y. H. Saif-Alyousfi, Abdullah Alsadan and Hassan Alalmaee
Economies 2025, 13(11), 324; https://doi.org/10.3390/economies13110324 - 12 Nov 2025
Abstract
This study investigates the relationship between capital intensity, debt financing, and profitability in non-financial firms in Oman over the period 2012–2022. Using a robust panel dataset of 76 firms, the research explores how capital structure dynamics influence firm performance across different firm sizes [...] Read more.
This study investigates the relationship between capital intensity, debt financing, and profitability in non-financial firms in Oman over the period 2012–2022. Using a robust panel dataset of 76 firms, the research explores how capital structure dynamics influence firm performance across different firm sizes and industries. The findings reveal that capital intensity significantly enhances profitability, and debt financing further strengthens this effect, with variations observed across firm size and sector. The analysis also identifies a non-linear (concave) relationship between capital intensity and profitability, indicating that while moderate capital investment improves firm performance, excessive capital accumulation may lead to diminishing returns. Larger firms, with better access to financial resources, exhibit a stronger positive relationship between debt financing and profitability, while smaller firms face more challenges due to limited access to capital. Industry-specific results indicate that capital-intensive sectors, such as Energy and Industrials, demonstrate a more pronounced effect of capital intensity on profitability compared to less capital-intensive sectors. The study also incorporates the effects of the COVID-19 pandemic, showing its significant influence on firm performance, particularly in sectors with high debt exposure. By integrating non-linear effects, firm size, industry heterogeneity, and pandemic shocks, this study provides novel insights into capital structure management in emerging economies, offering implications for both corporate decision-makers and policymakers aiming to enhance financial access and optimize debt strategies across sectors. Full article
(This article belongs to the Section Macroeconomics, Monetary Economics, and Financial Markets)
28 pages, 672 KB  
Article
Optimal Planning and Investment Return Analysis of Grid-Side Energy Storage System Addressing Multi-Dimensional Grid Security Requirements
by Tianhan Zhang, Junfei Wu, Jianjun Hong, Hang Zhou, Jianfeng Zheng, Zhenhua Zheng, Chengeng Niu, Zhihai Gao, Lizhuo Peng and Zhenzhi Lin
Appl. Sci. 2025, 15(22), 11944; https://doi.org/10.3390/app152211944 - 10 Nov 2025
Viewed by 119
Abstract
To address the challenges posed to the secure and reliable operation of the power grid under the “dual-carbon” goals, an optimal planning and investment return analysis method for grid-side energy storage system (GSESS) is proposed, with multi-dimensional grid security requirements being considered. By [...] Read more.
To address the challenges posed to the secure and reliable operation of the power grid under the “dual-carbon” goals, an optimal planning and investment return analysis method for grid-side energy storage system (GSESS) is proposed, with multi-dimensional grid security requirements being considered. By this method, a decision-making framework for the scientific planning of GSESS is provided, through which both technical and economic viability are balanced. Firstly, an evaluation indicator system for GSESS demand is established, in which loading stress, voltage quality, and renewable energy accommodation capacity are comprehensively considered. The candidate sites are then prioritized by a hybrid subjective-objective weighting method combined with the Technique for Order of Preference by Similarity to Ideal Solution (TOPSIS). Subsequently, the top 10% most severe scenarios are identified from historical operational data, and a set of typical extreme scenarios is extracted using an improved K-means clustering algorithm. Based on these scenarios, an optimal capacity planning model incorporating multi-dimensional security constraints is formulated, and the final planning scheme is thereby determined. Furthermore, with the objective of maximizing net revenue from multiple application scenarios, an optimal operational model for GSESS is established. The life-cycle costs and benefits are quantified, and a comprehensive investment return analysis is conducted accordingly. Finally, the proposed methodology is validated through a case study based on the 220 kV substations in QZ City of China. It is demonstrated by the results that through the application of the derived planning scheme, the operational security of the power grid is significantly enhanced, and a promising outlook for investment returns is also exhibited. Full article
Show Figures

Figure 1

24 pages, 1855 KB  
Systematic Review
Financial Literacy as a Tool for Social Inclusion and Reduction of Inequalities: A Systematic Review
by Mariela de los Ángeles Hidalgo-Mayorga, Mariana Isabel Puente-Riofrio, Francisco Paúl Pérez-Salas, Katherine Geovanna Guerrero-Arrieta and Alexandra Lorena López-Naranjo
Soc. Sci. 2025, 14(11), 658; https://doi.org/10.3390/socsci14110658 - 10 Nov 2025
Viewed by 210
Abstract
Financial literacy, defined as the set of knowledge, skills, and attitudes that enable individuals to make informed economic decisions and manage resources efficiently, is fundamental for social inclusion and the reduction of inequalities. This study, through a systematic review of the scientific literature [...] Read more.
Financial literacy, defined as the set of knowledge, skills, and attitudes that enable individuals to make informed economic decisions and manage resources efficiently, is fundamental for social inclusion and the reduction of inequalities. This study, through a systematic review of the scientific literature using the PRISMA methodology, selected 120 primary studies that met the inclusion and exclusion criteria and presented a low risk of bias. These studies examined aspects related to financial literacy programs, the populations benefited, their effects, the challenges encountered, and the lessons that can guide the replication of these initiatives. The results show that the most frequent programs include training in basic financial concepts—savings, budgeting, access to banking services and microfinance—as well as workshops, seminars, and group training sessions. The populations most benefited were rural communities and women, although informal workers, migrants, and refugees could also significantly improve their financial inclusion and economic resilience. Among the positive effects, improvements were observed in income and expense management, increased savings, investment planning, preparation for emergencies and retirement, and the strengthening of economic empowerment and the sustainability of microenterprises and small enterprises. These findings highlight the importance of implementing financial literacy programs adapted to specific contexts to promote inclusion and economic well-being. Full article
(This article belongs to the Section Social Economics)
Show Figures

Figure 1

31 pages, 948 KB  
Article
Investment Risk Analysis of Municipal Railway Construction Projects Based on Improved SNA Methodology
by Rupeng Ren, Guilongjie Hu, Jun Fang, Xiaoqing Tong and Chengrui Wang
Buildings 2025, 15(22), 4025; https://doi.org/10.3390/buildings15224025 - 7 Nov 2025
Viewed by 339
Abstract
By analyzing all types of risks in the investment process of a municipal railroad construction project, 16 investment risk factors are extracted, and a network of investment risk factors and a comprehensive impact matrix of the project are constructed by comprehensively applying social [...] Read more.
By analyzing all types of risks in the investment process of a municipal railroad construction project, 16 investment risk factors are extracted, and a network of investment risk factors and a comprehensive impact matrix of the project are constructed by comprehensively applying social network analysis (SNA) and the decision-making test and evaluation laboratory (DEMATEL) method. By analyzing the point centrality, proximity centrality and intermediate centrality of the SNA network, core risk factors such as insufficient operation and management level (degree centrality: 51.111) and cost overruns (in-closeness centrality: 93.75) are identified; through the correlation strength analysis of risk factors via the DEMATEL method, “policy–approval–schedule–cost” is clearly identified. Moreover, through the DEMATEL method, correlation intensity analysis between risk factors was clarified, and six key risk transmission paths were identified, such as “policy–approval–duration–cost”, “market–cost–operation”, etc., among which the cumulative impact coefficient of the “market–cost–operation” path reached 0.664. According to the results of the analysis of core risk factors and key risk transmission paths, targeted investment risk response proposals for municipal railroad construction projects are put forward with regard to four aspects: strengthening the control of core driving factors, curbing the deterioration of key results factors, blocking the risk of intermediate conduction factors, and resisting the impact of marginal risk factors. Full article
(This article belongs to the Special Issue Applying Artificial Intelligence in Construction Management)
Show Figures

Figure 1

26 pages, 1799 KB  
Article
Panel Cointegration and Causality Among Socioeconomic Indicators in CEE Regions: Insights for Regional Economic Resilience and Sustainable Development
by Mioara Băncescu and Irina Georgescu
Sustainability 2025, 17(22), 9947; https://doi.org/10.3390/su17229947 - 7 Nov 2025
Viewed by 391
Abstract
After the powerful socioeconomic shock of the fall of the communist regime in the early 90s, the ten countries in Central and Eastern Europe (CEE) analyzed in this study became growing Member States of the European Union (EU). However, they faced the 2008 [...] Read more.
After the powerful socioeconomic shock of the fall of the communist regime in the early 90s, the ten countries in Central and Eastern Europe (CEE) analyzed in this study became growing Member States of the European Union (EU). However, they faced the 2008 financial crisis, the 2019 COVID shock, and sharp income disparities both at the regional level and compared to the countries in Western EU. This study explores the differences in sustainable regional development, modeling with Panel Autoregressive Distributed Lag (ARDL) to analyze relationships across multiple cross-sections in the short and long run, as well as with Cointegration Tests and Granger Panel Causality to detect evidence of causality among the variables in the study. The analysis covers 2012–2022, a period in which the Member States from CEE had the best access to generous structural and cohesion EU funds and that includes both the post-financial crisis convergence phase and the COVID-19 shock, enabling us to capture regional resilience dynamics. The results indicate that capital formation and population density positively influence disposable household income in the long run, across CEE regions, while unemployment and life expectancy exert negative effects. The results of this paper can be of use to decision-making institutions seeking to implement proactive socioeconomic policies in the lagging regions, before the next crisis, focused on capital investments, reducing unemployment, and bridging the rural–urban divide. The study contributes to the literature on inclusive and sustainable economic development at the CEE regional level. Full article
(This article belongs to the Section Economic and Business Aspects of Sustainability)
Show Figures

Figure 1

30 pages, 2688 KB  
Article
Practice Primacy: Revisiting the Knowledge–Action Gap in Pro-Environmental Behavior with eXplainable AI
by Xun Yang, Shensheng Chen, Tingting Liu, Junjie Luo and Yuzhen Tang
Sustainability 2025, 17(21), 9916; https://doi.org/10.3390/su17219916 - 6 Nov 2025
Viewed by 383
Abstract
Against the backdrop of an escalating global environmental crisis, bridging the “knowledge–action gap” in the pro-environmental behavior (PEB) of university students has become a key challenge for sustainable development education, aligning with SDG 12 (Responsible Consumption and Production) and SDG 13 (Climate Action). [...] Read more.
Against the backdrop of an escalating global environmental crisis, bridging the “knowledge–action gap” in the pro-environmental behavior (PEB) of university students has become a key challenge for sustainable development education, aligning with SDG 12 (Responsible Consumption and Production) and SDG 13 (Climate Action). Traditional linear models often struggle to capture the complex non-linearities and interaction effects when explaining this gap. To overcome this limitation, this study introduces an integrated “prediction-plus-explanation” framework using eXplainable Artificial Intelligence (XAI). Based on survey data from 463 university students in China, we constructed a high-precision PEB prediction model (Accuracy = 93.55%) using the CatBoost algorithm and conducted an in-depth analysis of its internal decision-making mechanisms with the SHAP (SHapley Additive exPlanations) framework. The results reveal that a “Practice Primacy” model plays a dominant role in driving PEB: the formation of environmental habits, participation in environmental practices, and the investment of related resources are the overwhelmingly dominant factors in predicting individual behavior, with their cumulative contribution far exceeding that of traditional cognitive and attitudinal variables. Furthermore, heterogeneity analysis revealed significant group differences in these driving mechanisms: the behavioral decisions of male students tend to be more “value-driven,” while lower-division students are more susceptible to external educational interventions. By quantifying the non-linear effects and relative importance of each driver, this study offers a new “Action-to-Cognition” perspective for bridging the knowledge–action gap and provides robust, data-driven support for universities to design precise and differentiated intervention strategies, thus contributing to the achievement of SDGs. Full article
Show Figures

Figure 1

22 pages, 2281 KB  
Article
A Two-Stage Robust Capacity Optimal Configuration Model for Power Systems Considering Multi-Objective Optimization
by Zhixiang Wang, Xirui Jiang, Zheng Fan and Yanan Wu
Processes 2025, 13(11), 3545; https://doi.org/10.3390/pr13113545 - 4 Nov 2025
Viewed by 271
Abstract
To mitigate renewable energy curtailment and maintain long-term power balance, both planning and operational strategies must be addressed. However, most existing studies on power system capacity optimization focus on a single objective, such as economic efficiency or carbon reduction. To overcome this limitation, [...] Read more.
To mitigate renewable energy curtailment and maintain long-term power balance, both planning and operational strategies must be addressed. However, most existing studies on power system capacity optimization focus on a single objective, such as economic efficiency or carbon reduction. To overcome this limitation, this paper proposes a two-stage robust capacity optimization and decision-making framework for power systems that incorporates multi-objective optimization. In the first stage, a bi-level robust capacity optimization model is developed, where the upper-level problem targets capacity expansion planning and the lower-level problem addresses chronological production simulation and operational optimization. The upper-level objectives include minimizing investment and operating costs, maximizing supply reliability, and maximizing renewable energy integration. Secondly, the NSGA-II algorithm is employed to solve the constructed bi-level multi-objective optimization model. Finally, a decision-making model based on the Best–Worst Method (BWM), entropy weighting, and the Technique for Order Preference by Similarity to Ideal Solution (TOPSIS) is constructed to further evaluate and select among multiple Pareto-optimal solutions obtained in the first stage, thereby determining the final capacity configuration scheme. The case study demonstrates that the proposed two-stage framework maintains good stability under scenarios such as extreme weather, ensuring a power supply reliability of 98.78% and a new energy utilization rate of 98.5% under various conditions. Full article
Show Figures

Figure 1

25 pages, 3090 KB  
Article
Multi-Objective Site Selection of Underground Smart Parking Facilities Using NSGA-III: An Ecological-Priority Perspective
by Xiaodan Li, Yunci Guo, Huiqin Wang, Yangyang Wang, Zhen Liu and Dandan Sun
Eng 2025, 6(11), 305; https://doi.org/10.3390/eng6110305 - 3 Nov 2025
Viewed by 282
Abstract
In high-density urban areas where ecological protection constraints are increasingly stringent, transportation infrastructure layout must balance service efficiency and environmental preservation. From an ecological-prioritization perspective, this study proposes a three-stage multi-objective optimization strategy for siting underground smart parking facilities using the NSGA-III algorithm, [...] Read more.
In high-density urban areas where ecological protection constraints are increasingly stringent, transportation infrastructure layout must balance service efficiency and environmental preservation. From an ecological-prioritization perspective, this study proposes a three-stage multi-objective optimization strategy for siting underground smart parking facilities using the NSGA-III algorithm, with Haidian District, Beijing, as a case study. First, spatial identification and screening are conducted using GIS, integrating urban fringe-space extraction with POI, AOI, population, and transportation network data to determine candidate locations. Second, a multi-objective model is constructed to minimize green space occupation, walking distance, and construction cost while maximizing service coverage, and is solved with NSGA-III. Third, under the ecological-prioritization strategy, the solution with the lowest land occupation is selected, and marginal benefit analysis is applied to identify the optimal trade-off between ecological and economic objectives, forming a flexible decision-making framework. The findings show that several feasible schemes can achieve zero green-space occupation while maintaining high service coverage, and marginal benefit analysis identifies a cost-effective solution serving about 20,000 residents with an investment of 7 billion CNY. These results confirm that ecological protection and urban service efficiency can be reconciled through quantitative optimization, offering practical guidance for sustainable infrastructure planning. The proposed methodology integrates spatial analysis, multi-objective optimization, and post-Pareto analysis into a unified framework, addressing diverse infrastructure planning problems with conflicting objectives and ecological constraints. It offers both theoretical significance and practical applicability, supporting sustainable urban development under multiple scenarios. Full article
Show Figures

Figure 1

29 pages, 3545 KB  
Article
Economic Feasibility Assessment of Industrial Heritage Reuse Under Multi-Attribute Decision-Based Urban Renewal Design
by Shuxuan Meng, Jingbo Zhang and Lei Xiong
Urban Sci. 2025, 9(11), 456; https://doi.org/10.3390/urbansci9110456 - 2 Nov 2025
Viewed by 271
Abstract
Industrial heritage is increasingly becoming an important resource for sustainable urban renewal. With the acceleration of deindustrialization and urban transformation, Adaptive Reuse (AR) is regarded as the core path connecting heritage protection and functional renewal. Balancing the diverse value dimensions of AR has [...] Read more.
Industrial heritage is increasingly becoming an important resource for sustainable urban renewal. With the acceleration of deindustrialization and urban transformation, Adaptive Reuse (AR) is regarded as the core path connecting heritage protection and functional renewal. Balancing the diverse value dimensions of AR has also become a key research focus. However, existing research mostly focuses on financial returns and investment efficiency, ignoring the long-term impact of community space and cultural dimensions on economic feasibility; at the same time, culture is often simplified into a tool for asset appreciation and urban branding, lacking a systematic model that reveals the structural role of culture in economic feasibility. Therefore, this study constructs a multi-attribute decision-making framework that integrates economic performance, community space, and cultural value. Using Guangzhou Guanggang New City as a representative case, the Fuzzy Delphi Method (FDM), Analytic Network Process (ANP), and Grey Relational Analysis (GRA) were employed to screen and rank the highest-priority reuse schemes. The results show that the economic dimension holds the highest overall weight, followed by the community and cultural dimensions. This suggests that economic feasibility remains a key prerequisite for industrial heritage renewal, while cultural and community factors play an important supporting role in achieving long-term sustainability. This study provides a quantifiable assessment path for the adaptive reuse of industrial heritage and offers a basis for decision making in other cities seeking a balance between economic rationality and cultural sustainability. Full article
Show Figures

Figure 1

23 pages, 816 KB  
Article
Impact of Weather Variability on the Operational Costs of a Maritime Ferry
by Beata Magryta-Mut and Mateusz Torbicki
Water 2025, 17(21), 3146; https://doi.org/10.3390/w17213146 - 2 Nov 2025
Viewed by 314
Abstract
Maritime ferries increasingly operate under non-stationary hydro–meteorological conditions that complicate cost planning. This study investigates how short-term weather variability affects expenditures for a ferry on the Gdynia–Karlskrona route. We combine a state-based operational framework (18 discrete states) with a subsystem-level cost model covering [...] Read more.
Maritime ferries increasingly operate under non-stationary hydro–meteorological conditions that complicate cost planning. This study investigates how short-term weather variability affects expenditures for a ferry on the Gdynia–Karlskrona route. We combine a state-based operational framework (18 discrete states) with a subsystem-level cost model covering navigation, propulsion/steering, loading/unloading, stability control, and mooring/anchoring. Direct and indirect costs are linked to subsystem activity and state duration, while weather is incorporated through hazard categories that scale hourly costs. Expert-elicited rates and observed monthly state durations provide the basis for baseline estimates and hazard scenario simulations. Results reveal a disproportionate cost structure: two open-sea states constitute over 97% of the baseline monthly cost (19,490.19 PLN). Weather hazards further amplify costs, with moderate (1st-degree) and severe (2nd-degree) scenarios producing increases of ~8% and ~20%, respectively, compared to normal conditions. By embedding weather as an endogenous factor in a probabilistic cost model based on a semi-Markov process, the approach enhances predictive fidelity and supports decision-making for climate-resilient planning. These findings suggest that adaptive routing, speed management, and targeted maintenance of the propulsion and steering subsystems during open-sea navigation offer the highest potential for cost resilience. The study provides operators and policymakers with a transparent framework for climate-resilient planning and investment in semi-enclosed maritime corridors. Full article
(This article belongs to the Section Water and Climate Change)
Show Figures

Figure 1

18 pages, 953 KB  
Article
Comparative Environmental Insights into Additive Manufacturing in Sand Casting and Investment Casting: Pathways to Net-Zero Manufacturing
by Alok Yadav, Rajiv Kumar Garg, Anish Sachdeva, Karishma M. Qureshi, Mohamed Rafik Noor Mohamed Qureshi and Muhammad Musa Al-Qahtani
Sustainability 2025, 17(21), 9709; https://doi.org/10.3390/su17219709 - 31 Oct 2025
Viewed by 288
Abstract
As manufacturing industries pursue net-zero emission (NZE) goals, hybrid manufacturing processes that integrate additive manufacturing (AM) with traditional casting techniques are gaining traction for their sustainability potential across the globe. Therefore, this work presents a “gate-to-gate” life cycle assessment (LCA) comparing AM-assisted sand [...] Read more.
As manufacturing industries pursue net-zero emission (NZE) goals, hybrid manufacturing processes that integrate additive manufacturing (AM) with traditional casting techniques are gaining traction for their sustainability potential across the globe. Therefore, this work presents a “gate-to-gate” life cycle assessment (LCA) comparing AM-assisted sand casting (AM-SC) and AM-assisted investment casting (AM-IC), for Al-Si5-Cu3 alloy as a case material, under various energy scenarios including a conventional grid mix and renewable sources (wind, solar, hydro, and biomass). This study compares multiple environmental impact categories based on the CML 2001 methodology. The outcomes show that AM-SC consistently outperforms AM-IC in most impact categories. Under the grid mix scenario, AM-SC achieves 31.57% lower GWP, 19.28% lower AP, and 21.15% lower EP compared to AM-IC. AM-SC exhibits a 90.5% reduction in “Terrestrial Ecotoxicity Potential” and 75.73% in “Marine Ecotoxicity Potential”. Wind energy delivers the most significant emission reduction across both processes, reducing GWP by up to 98.3%, while AM-IC performs slightly better in HTP. These outcomes of the study offer site-specific empirical insights that support strategic decision-making for process selection and energy optimisation in casting. By quantifying environmental trade-offs aligned with India’s current energy mix and future renewable targets, the study provides a practical benchmark for tracking incremental gains toward the NZE goal. This work followed international standards (ISO 14040 and 14044), and the data were validated with both foundry records and field measurements; this study ensures reliable methods. The findings provide practical applications for making sustainable choices in the manufacturing process and show that the AM-assisted conventional manufacturing process is a promising route toward net-zero goals. Full article
Show Figures

Figure 1

24 pages, 3955 KB  
Article
Data-Driven Decarbonization: Machine Learning Insights into GHG Trends and Informed Policy Actions for a Sustainable Bangladesh
by Md Shafiul Alam, Mohammad Shoaib Shahriar, Md. Ahsanul Alam, Waleed M. Hamanah, Mohammad Ali, Md Shafiullah and Md Alamgir Hossain
Sustainability 2025, 17(21), 9708; https://doi.org/10.3390/su17219708 - 31 Oct 2025
Viewed by 531
Abstract
This work presents optimized decision tree-based ensemble machine learning models for predicting and quantifying the effects of greenhouse gas (GHG) emissions in Bangladesh. It aims to identify policy implications in response to significant environmental changes. The models analyze the emissions of CO2 [...] Read more.
This work presents optimized decision tree-based ensemble machine learning models for predicting and quantifying the effects of greenhouse gas (GHG) emissions in Bangladesh. It aims to identify policy implications in response to significant environmental changes. The models analyze the emissions of CO2, N2O, and CH4 from sectors including energy, industry, agriculture, and waste. We consider many parameters, including energy consumption, population, urbanization, gross domestic products, foreign direct investment, and per capita income. The data covers the period from 1971 to 2019. The model is trained using 80% of the dataset and validated using the remaining 20%. The hyperparameters, such as the number of estimators, maximum samples, maximum depth, learning rate, and minimum samples leaf, were optimized via particle swarm optimization. The models were tested, and their forecasts were extended till 2041. An examination of feature importance has identified energy consumption as a critical factor in greenhouse gas emissions, acknowledging the positive effects of clean energy in accordance with the clean development mechanism. The results demonstrate a robust model performance, with an R2 score of approximately 0.90 for both the training and testing datasets. The bagging decision tree model showed the lowest mean squared error of 151.3453 and the lowest mean absolute percentage error of 0.1686. The findings of this study will help decision-makers understand the complex connections between socioeconomic conditions and the elements that contribute to greenhouse gas emissions. The discoveries will enable more precise monitoring of national greenhouse gas (GHG) inventories, allowing for focused efforts to mitigate climate change in Bangladesh. Full article
Show Figures

Figure 1

Back to TopTop