Sign in to use this feature.

Years

Between: -

Subjects

remove_circle_outline
remove_circle_outline
remove_circle_outline
remove_circle_outline
remove_circle_outline
remove_circle_outline
remove_circle_outline
remove_circle_outline
remove_circle_outline

Journals

remove_circle_outline
remove_circle_outline
remove_circle_outline
remove_circle_outline
remove_circle_outline
remove_circle_outline
remove_circle_outline
remove_circle_outline
remove_circle_outline
remove_circle_outline
remove_circle_outline

Article Types

Countries / Regions

remove_circle_outline
remove_circle_outline
remove_circle_outline
remove_circle_outline

Search Results (424)

Search Parameters:
Keywords = interstitial concentrations

Order results
Result details
Results per page
Select all
Export citation of selected articles as:
27 pages, 3228 KB  
Article
Chitosan- and Gelatin-Based Composite Granular Hydrogels for Cartilage Tissue Regeneration
by Neda Khatami, Pedro Guerrero, Koro de la Caba, Ander Abarrategi and Sandra Camarero-Espinosa
Int. J. Mol. Sci. 2026, 27(6), 2889; https://doi.org/10.3390/ijms27062889 - 23 Mar 2026
Abstract
Cartilage regeneration remains an unmet clinical challenge. Despite the great advances in the production of hydrogels as support matrices for cartilage regeneration, the resulting mechanical properties remain low. Granular composite hydrogels appear as ideal candidates due to their injectability and modularity in design. [...] Read more.
Cartilage regeneration remains an unmet clinical challenge. Despite the great advances in the production of hydrogels as support matrices for cartilage regeneration, the resulting mechanical properties remain low. Granular composite hydrogels appear as ideal candidates due to their injectability and modularity in design. Here, we report on the fabrication and characterization of heterogeneous composite granular hydrogels based on methacrylated chitosan (CHIMA) and gelatin (GelMA) microparticles supported by an interstitial methacrylated alginate (ALMA) matrix. Microparticles were prepared by an oil-emulsion method and their size and morphology optimized, resulting in CHIMA and GelMA microparticles of 10.8 µm (95% CI 9.2, 13.1) and 115.8 µm (95% CI 107.5, 137.6) in diameter, respectively. The microparticles were mixed with ALMA and crosslinked to form granular hydrogels that demonstrated reduced swelling and weight loss. The storage modulus increased from 33 to 66.4 kPa for CHIMA/ALMA hydrogels and from 11.5 to 19.5 kPa for GelMA/ALMA hydrogels when the particle concentration increased from 10 to 50%, and was higher than traditional ALMA hydrogels. Hydrogels of 50:50 CHIMA:GelMA permitted a 6.6-fold increase in cell number after 28 days of culture, and promoted the chondrogenic differentiation of embedded mouse mesenchymal stem cells with a glycosaminoglycan deposition of over 15 µg and the expression of chondrogenic markers. Full article
Show Figures

Figure 1

22 pages, 9416 KB  
Article
Advances in Modelling of Irradiation Creep Using Rate Theory
by Malcolm Griffiths and Juan Eduardo Ramos Nervi
Metals 2026, 16(3), 312; https://doi.org/10.3390/met16030312 - 11 Mar 2026
Viewed by 202
Abstract
Irradiation creep of engineering alloys in nuclear reactor cores differs from the creep that is observed outside of the irradiation environment. It exhibits characteristics like high temperature thermal creep because it occurs in an environment of elevated vacancy point defect concentrations, but one [...] Read more.
Irradiation creep of engineering alloys in nuclear reactor cores differs from the creep that is observed outside of the irradiation environment. It exhibits characteristics like high temperature thermal creep because it occurs in an environment of elevated vacancy point defect concentrations, but one must also consider the effect of interstitial point defects and the effect of both vacancy and interstitial concentrations, which are greater than the thermal equilibrium values, on an evolving microstructure. Irradiation creep is dependent on the point defect flux to different sinks and can be modelled using conventional rate theory. The net interstitial or vacancy point defect flux to different sinks determines the strain rate in a direction that can be considered perpendicular to the plane of the sink, which is the extra half plane of an edge dislocation or the plane of a grain boundary. There has been increasing evidence that, for complex alloys such as Zr-2.5Nb pressure tubing in CANDU reactors, the irradiation creep is largely dependent on the grain structure (size and shape). While the maximum amount of thermal creep by dislocation slip will be proportional to the distance a dislocation travels, i.e., proportional to the grain dimension in the direction of slip, observations indicate that the magnitude of irradiation creep is inversely proportional to the grain dimensions, indicating a creep mechanism dependent on diffusional mass transport. Mechanistic modelling of irradiation creep based on rate theory is described and used to account for high diametral creep rates observed for pressure tubes with unusual microstructures fabricated by non-standard fabrication routes. Full article
(This article belongs to the Special Issue Advances in Research on Radiation Effects in Metals)
Show Figures

Figure 1

10 pages, 4026 KB  
Article
Effect of Heating Temperatures During Thermal Processes on the Electrical Properties of Cast Multi-Crystalline Silicon
by Panbing Zhou, Zhiqiang Dong, Nian Yang and Lang Zhou
Crystals 2026, 16(3), 191; https://doi.org/10.3390/cryst16030191 - 11 Mar 2026
Viewed by 139
Abstract
Photoluminescence (PL) imaging techniques combined with a minority carrier lifetime measurement system were utilized to investigate the effects of heating temperature on the interstitial iron (Fei) concentration, the recombination activity of structural defects, and the minority carrier lifetime in cast multicrystalline [...] Read more.
Photoluminescence (PL) imaging techniques combined with a minority carrier lifetime measurement system were utilized to investigate the effects of heating temperature on the interstitial iron (Fei) concentration, the recombination activity of structural defects, and the minority carrier lifetime in cast multicrystalline silicon (mc-Si). The results indicate that heating mc-Si wafers to 800 °C followed by natural cooling led to a 21.4% increase in Fei concentration, a 121% increase in recombination-active dislocations, a 142% increase in recombination-active grain boundaries, a 158% rise in the “dark area percentage,” and a 46.6% decrease in minority carrier lifetime. When the heating temperature was increased to 1000 °C followed by natural cooling, the Fei concentration rose by a factor of 11.87, and the “dark area percentage” increased by 8668%, suggesting widespread metal impurity—particularly iron contamination across the entire wafer, which resulted in an extremely low minority carrier lifetime of only 0.224 μs. Full article
(This article belongs to the Section Materials for Energy Applications)
Show Figures

Figure 1

15 pages, 1638 KB  
Article
Beyond Euglycemia: Case Studies Using Continuous Glucose Monitoring in Elite Athletes Without Diabetes During Record Athletic Events
by Kristina Skroce, Lauren V. Turner, Andrea Zignoli, David J. Lipman, Howard C. Zisser and Michael C. Riddell
Sensors 2026, 26(5), 1624; https://doi.org/10.3390/s26051624 - 5 Mar 2026
Viewed by 449
Abstract
Glucose data regarding extreme elite performances in athletes without diabetes remains limited. The purpose is to characterize continuous glucose monitoring (CGM) responses in elite athletes across distinct high-performance contexts. This descriptive case series includes three separate elite athletes who used a CGM during [...] Read more.
Glucose data regarding extreme elite performances in athletes without diabetes remains limited. The purpose is to characterize continuous glucose monitoring (CGM) responses in elite athletes across distinct high-performance contexts. This descriptive case series includes three separate elite athletes who used a CGM during their respective sporting events. The first is an ultra-endurance relay cycling world-record performance (Race Across the West, RAW), the second is a continuous high-intensity Everesting Challenge cycling record attempt, and the third is a maximal constant-weight no-fins breath-hold depth dive performed in international competition. Glycemic outcomes, as measured by CGM, included mean, maximum, and minimum glucose, glucose standard deviation (SD), and the percentage of time in tight glucose range (TITR: 70–140 mg/dL; 3.9–7.8 mmol/L), time below range (TBR: <70 mg/dL; <3.9 mmol/L), and time above range (TAR140: >140 mg/dL; >7.8 mmol/L). Other performance data, including peak power, heart rate, and lactate, are also provided where available. During the RAW challenge lasting 44 h and 20 min, mean glucose was 91 ± 23.2 mg/dL (mean ± SD) with 9.15% TBR and 35.58% TITR during cycling and 115 ± 24.7 mg/dL with 9.11% TBR and 43.16% TITR during resting periods. In contrast, the Everesting Challenge cycling record attempt demonstrated a persistently elevated glucose profile (160 ± 5.7 mg/dL), minimal variability (CV 3.5%), and 100% TAR140. Following the maximal breath-hold depth dive, interstitial glucose was 100% TAR140 during recovery (187 ± 18.5 mg/dL), alongside marked elevations in blood lactate concentrations (peak 13.4 mmol/L). The series of case studies demonstrate that substantial deviations from traditional euglycemic ranges are common during elite performance in athletes without diabetes. Interpretation of CGM data in athletic settings should therefore be performance- and context-specific rather than based on clinical glycemic thresholds. Full article
(This article belongs to the Collection Sensor Technology for Sports Science)
Show Figures

Figure 1

15 pages, 10163 KB  
Article
Betulinic Acid Attenuates Lipopolysaccharide-Induced Kidney Inflammatory Injury by Suppressing PANoptosis in Weaned Piglets
by Yu Yang, Huan Yao, Jiayu He, Zhaoping Ou, You Huang, Wenyu Ba, Ziming Wang, Jiao Wu, Hongyi Ding, Zhuliang Tan, Quanwei Li, Jine Yi and Shuiping Liu
Vet. Sci. 2026, 13(3), 213; https://doi.org/10.3390/vetsci13030213 - 25 Feb 2026
Viewed by 250
Abstract
In the intensive livestock farming industry, weaned piglets are highly prone to renal injury triggered by weaning stress, pathogen infection, and antibiotic abuse. This injury induces metabolic disorders and immunosuppression, severely restricting production efficiency. As a natural pentacyclic triterpene, betulinic acid (BA) exhibits [...] Read more.
In the intensive livestock farming industry, weaned piglets are highly prone to renal injury triggered by weaning stress, pathogen infection, and antibiotic abuse. This injury induces metabolic disorders and immunosuppression, severely restricting production efficiency. As a natural pentacyclic triterpene, betulinic acid (BA) exhibits notable biological activities, particularly in anti-inflammatory and antioxidant activities. However, its preventive potential against renal injury in piglets and the underlying mechanisms remain unclear. In this study, BA was administered as a long-term dietary pretreatment prior to lipopolysaccharide (LPS) challenge to evaluate its protective role in a preventive model of renal inflammatory injury in weaned piglets. BA pretreatment significantly mitigated pathological lesions, including renal tubular epithelial cell shedding and interstitial congestion, reduced the renal index, and decreased the concentrations of renal injury markers and serum UREA. In addition, BA pretreatment mitigated the renal oxidative stress and inflammatory injury induced by LPS in piglets. Molecular analyses showed that BA pretreatment was associated with decreased expression of key markers involved in apoptosis, necroptosis, and pyroptosis in renal tissue. Furthermore, protein–protein interaction analysis suggested potential associations between the HMGB1/TLR4/NF-κB signaling pathway and PANoptosis-related processes, providing exploratory and hypothesis-generating support for the proposed regulatory network. Collectively, these findings suggest that dietary BA pretreatment exerts a preventive effect against LPS-induced renal inflammatory injury in weaned piglets, potentially through modulation of HMGB1/TLR4/NF-κB-associated PANoptosis-related pathways, providing a theoretical basis for its application in livestock production. Full article
Show Figures

Graphical abstract

22 pages, 3279 KB  
Article
Zinc Coordination by Thymosin β4: Structural Determinants and Functional Implications
by Joanna Izabela Lachowicz, Terenzio Congiu, Andrea Salis and Flaminia Cesare Marincola
Int. J. Mol. Sci. 2026, 27(4), 1740; https://doi.org/10.3390/ijms27041740 - 11 Feb 2026
Viewed by 373
Abstract
Thymosin β4 (Tβ4) is a highly acidic, intrinsically disordered 43-amino-acid peptide with diverse biological functions, yet its interactions with metal ions remain poorly understood. In this study, we provide the first experimental demonstration that Tβ4 forms discrete Zn2+-bound adducts and undergoes [...] Read more.
Thymosin β4 (Tβ4) is a highly acidic, intrinsically disordered 43-amino-acid peptide with diverse biological functions, yet its interactions with metal ions remain poorly understood. In this study, we provide the first experimental demonstration that Tβ4 forms discrete Zn2+-bound adducts and undergoes Zn2+-induced aggregation under physiological pH conditions. Combining zeta potential analysis, dynamic light scattering (DLS), electrospray ionization mass spectrometry (ESI-MS), nuclear magnetic resonance (NMR) spectroscopy, and scanning electron microscopy with elemental mapping (SEM/EDS), we show that Zn(II) binding progressively neutralizes Tβ4’s negative surface charge and triggers a sharp aggregation transition. ESI-MS unambiguously identifies Tβ4/Zn(II) complexes of peptide-to-zinc molar ratio 1:3, while DLS and SEM reveal the formation of compact, low-solubility supramolecular assemblies. NMR measurements support a metal-induced aggregation, confirming the absence of folding upon Zn(II) binding. By quantitatively comparing the experimentally determined critical aggregation concentration with physiologically observed extracellular Zn(II) ranges, we demonstrate that aggregation is unlikely in plasma or basal interstitial environments but may become feasible in Zn-rich microdomains, such as the synaptic cleft, where transient Zn(II) levels can exceed 1 μM. These findings introduce a previously unrecognized dimension of Tβ4 chemistry and suggest that a Zn(II)-mediated supramolecular assembly of Tβ4 could influence peptide behavior in neurological or inflammatory conditions characterized by elevated extracellular Zn(II). This work establishes a foundational biochemical framework for future studies aimed at elucidating the biological implications of Tβ4/Zn(II) complexation and aggregation in vivo. Full article
Show Figures

Figure 1

16 pages, 4095 KB  
Article
Nanostructure and Corrosion Resistance of Plasma-Based Low-Energy Nitrogen Ion Implanted 17-4PH Martensitic Stainless Steel
by Xu Yang, Honglong Che, Shuyuan Li and Mingkai Lei
Nanomaterials 2026, 16(3), 215; https://doi.org/10.3390/nano16030215 - 6 Feb 2026
Cited by 1 | Viewed by 296
Abstract
This study aims to enhance the corrosion property of 17-4PH martensitic stainless steel, a material commonly used in industrial applications including nuclear power components, to enhance its performance in borate buffer solutions. The study employed plasma-based low-energy nitrogen ion implantation at temperatures ranging [...] Read more.
This study aims to enhance the corrosion property of 17-4PH martensitic stainless steel, a material commonly used in industrial applications including nuclear power components, to enhance its performance in borate buffer solutions. The study employed plasma-based low-energy nitrogen ion implantation at temperatures ranging from 350 °C to 550 °C for 4 h to modify the steel surface. Microstructural characterization via XRD and TEM revealed the formation of a nanocrystalline nitrided layer, with thickness increasing from 11 to 27 μm and surface nitrogen concentration rising from 29.7 to 33.1% as temperature increased. Correspondingly, the nanocrystalline grains coarsened from an average size of 2 nm to 15 nm. The main findings showed that all nitrided layers significantly improved general corrosion resistance in pH 8.4 borate solution compared to the unmodified steel. An optimal performance with a corrosion potential of −169.4 mV(SCE) and a passive current density of 0.5 μA/cm2 was achieved at 450 °C, accompanying the development of a denser passive film with high polarization resistance and lower defect density. It is concluded that the high interstitial nitrogen concentration within the nanocrystalline γ′N accelerates passivation kinetics and enhances corrosion resistance, with the applied point defect model clarifying the underlying improvement mechanism. Full article
(This article belongs to the Section Synthesis, Interfaces and Nanostructures)
Show Figures

Figure 1

20 pages, 5919 KB  
Article
Optimization of Intraoperative Near-Infrared Fluorescence Mapping with Indocyanine Green for Sentinel Lymph Node Detection in Cervical and Endometrial Cancer
by Kanamat Efendiev, Maria Meshkova, Polina Alekseeva, Andrei Udeneev, Arkadii Moskalev, Maxim Loshchenov, Heda Maltsagova, Svetlana Mukhtarulina, Andrey Kaprin and Victor Loschenov
Pharmaceutics 2026, 18(2), 211; https://doi.org/10.3390/pharmaceutics18020211 - 6 Feb 2026
Viewed by 650
Abstract
Background/Objectives: Lymph node dissection during surgeries for cervical and endometrial cancer is associated with significant complications and morbidity. Sentinel lymph nodes (SLNs) mapping using indocyanine green (ICG) has become a promising method for reducing surgical invasiveness and improving patient outcomes. However, the optimal [...] Read more.
Background/Objectives: Lymph node dissection during surgeries for cervical and endometrial cancer is associated with significant complications and morbidity. Sentinel lymph nodes (SLNs) mapping using indocyanine green (ICG) has become a promising method for reducing surgical invasiveness and improving patient outcomes. However, the optimal protocol for intraoperative fluorescence mapping of SLNs using ICG, especially regarding the timing of imaging after injection, remains to be fully optimized. This study aimed to evaluate the efficacy of real-time near-infrared (NIR) fluorescence SLN mapping at various time intervals and to investigate the photophysical properties of ICG in human lymph to establish a correlation between fluorescence signals and dye concentration. Methods: A prospective study included 20 patients with cervical and endometrial cancer undergoing laparoscopic or laparotomic surgery. Interstitial ICG injection was administered into the cervical stroma. SLN mapping was conducted using the novel VENERA-green endoscopic system (λexc = 800 nm, registration of fluorescence in the range of 830–1000 nm). Spectral fluorescence analysis (λexc = 650 nm) was conducted on SLNs and optical phantoms containing human lymph with ICG concentrations from 0 to 40 mg/L. The method made it possible to evaluate ICG absorption/emission properties, as well as to quantify concentration-dependent effects. Results: SLNs were successfully detected in all patients. The average detection time was 15 min with a range of 10 to 25 min. Fluorescence intensity of SLNs was significantly higher 10–15 min after ICG injection compared to 20–25 min. Spectral analysis indicated an absorption peak at 804 nm and an emission peak in the 835–855 nm range for ICG in human lymph. A concentration-dependent redshift of the fluorescence peak was observed and accurately modeled using a logarithmic function (R2 = 0.99), which allows for the estimation of ICG concentration in tissue. The bilateral detection rate was 77% for laparoscopy and 100% for laparotomy. Metastases were histologically confirmed in only 2.8% (1/36) of the detected SLNs. Conclusions: Intraoperative NIR fluorescence imaging using ICG is a highly sensitive method for real-time SLN mapping in gynecologic oncology. The optimal detection period is 10 to 15 min after cervical injection to achieve maximum ICG fluorescence intensity, compared to 20 to 25 min. The concentration-dependent fluorescence and absorption properties of ICG in lymph provide the basis for the development of quantitative intraoperative monitoring methods that could improve the accuracy of sentinel lymph node biopsy. Full article
Show Figures

Graphical abstract

23 pages, 5148 KB  
Article
Antifibrotic Effects of Thymus syriacus Essential Oil in Bleomycin-Induced Pulmonary Fibrosis via Suppression of the TGF-β1/Smad2 Axis
by Pınar Aksoy, Önder Yumrutaş, Muhittin Doğan, Pınar Yumrutaş, Mehmet Sökücü and Mustafa Pehlivan
Int. J. Mol. Sci. 2026, 27(3), 1401; https://doi.org/10.3390/ijms27031401 - 30 Jan 2026
Viewed by 360
Abstract
Background: Pulmonary fibrosis (PF) is an irreversible interstitial lung disease in which the TGF-β/SMAD signaling pathway plays a critical role in its pathogenesis. Due to the anti-inflammatory and antioxidant properties of Thymus species, it is hypothesized that they may suppress pulmonary fibrosis by [...] Read more.
Background: Pulmonary fibrosis (PF) is an irreversible interstitial lung disease in which the TGF-β/SMAD signaling pathway plays a critical role in its pathogenesis. Due to the anti-inflammatory and antioxidant properties of Thymus species, it is hypothesized that they may suppress pulmonary fibrosis by modulating the TGF-β/SMAD pathway. This study aimed to investigate the potential antifibrotic effects of Thymus syriacus essential oil (TS) on the TGF-β/SMAD pathway in bleomycin-induced PF. Methods: PF was induced with bleomycin, and TS was administered at concentrations of 50 and 100 mg/mL for 28 days. mRNA and protein levels of TGF-β1, SMAD2, COL1, and α-SMA in lung tissues isolated were analyzed using real-time PCR and ELISA. TNF-α levels in BALF were measured by ELISA. ROS and MDA levels in lung issues were determined using 2,7-DHCFDA and TBARS tests, respectively. Histopathological evaluation was performed using Hematoxylin–Eosin and Masson’s trichrome staining. Blood samples were analyzed for kidney, liver, and cardiac toxicity markers. The chemical composition of TS was determined by GC–MS. Results: TS significantly reduced levels of TGF-β1, SMAD2, COL1, α-SMA, TNF-α, ROS and MDA compared to the BLM group. PF alterations were markedly attenuated by TS treatment. Thymol, p-cymene and carvacrol were identified as major constituents of TS. Conclusion: Overall, TS alleviates pulmonary fibrosis by suppressing the TGF-β/SMAD2 signaling pathway. Full article
(This article belongs to the Section Molecular Biology)
Show Figures

Figure 1

10 pages, 218 KB  
Article
Circulating Activin A and Follistatin-like Proteins in Rheumatoid Arthritis with Interstitial Lung Disease: A Cross-Sectional Comparative Study
by Firdevs Ulutaş, Kürşat Kaya, Nilüfer Yiğit and Veli Çobankara
Diagnostics 2026, 16(3), 399; https://doi.org/10.3390/diagnostics16030399 - 27 Jan 2026
Viewed by 467
Abstract
Background/Objectives: Rheumatoid arthritis-associated interstitial lung disease (RA-ILD) represents one of the major contributors to morbidity and mortality in Rheumatoid arthritis (RA), yet its underlying molecular mechanisms remain incompletely defined. Activin A, a member of the transforming growth factor-β (TGF-β) superfamily, has emerged as [...] Read more.
Background/Objectives: Rheumatoid arthritis-associated interstitial lung disease (RA-ILD) represents one of the major contributors to morbidity and mortality in Rheumatoid arthritis (RA), yet its underlying molecular mechanisms remain incompletely defined. Activin A, a member of the transforming growth factor-β (TGF-β) superfamily, has emerged as a key regulator of inflammation, fibroblast activation, and tissue remodeling. However, its role in RA patients with interstitial lung disease (ILD) has not been fully elucidated. We aimed to investigate circulating levels of Activin A, Follistatin-Like Protein-1 (FSTL1), and Follistatin-Like Protein-3 (FSTL3) in patients with RA, RA-ILD, idiopathic pulmonary fibrosis (IPF), and healthy controls and explore their associations with disease activity and pulmonary function parameters. Methods: This cross-sectional study included 90 participants: healthy controls (n = 20), RA (n = 25), RA-ILD (n = 21), and IPF (n = 24). Serum biomarkers were quantified using validated enzyme-linked immunosorbent assays (ELISAs). Clinical characteristics, inflammatory markers, disease activity indices, and pulmonary function tests were recorded. Group comparisons and correlation analyses were performed using appropriate parametric and non-parametric statistical methods. Results: Circulating Activin A levels were progressively increased from controls to RA, RA-ILD, and IPF, with significantly higher concentrations in all disease groups relative to controls. FSTL1 levels were significantly reduced in RA-ILD patients compared with RA and controls, while FSTL3 levels were markedly elevated in IPF. Activin A did not correlate with disease activity indices or pulmonary function parameters, whereas FSTL1 correlated positively with diffusing capacity of the lungs for carbon monoxide and disease duration, and FSTL3 showed an inverse association with lactate dehydrogenase. Conclusions: Activin A may be associated with the fibroinflammatory burden in both RA-ILD and IPF. The observation of altered circulating levels of Follistatin-like proteins—key regulatory molecules with multifaceted biological functions—suggests that the underlying pathogenesis is complex and governed by tightly regulated, interconnected signaling pathways. Full article
(This article belongs to the Section Clinical Laboratory Medicine)
17 pages, 1458 KB  
Article
Urinary Chemokines in the Diagnosis and Monitoring of Immune Checkpoint Inhibitor-Associated Nephritis
by Francisco Gomez-Preciado, Laura Martinez-Valenzuela, Paula Anton-Pampols, Xavier Fulladosa, María Jove, Ernest Nadal, Josep María Cruzado, Joan Torras and Juliana Draibe
Int. J. Mol. Sci. 2026, 27(3), 1240; https://doi.org/10.3390/ijms27031240 - 26 Jan 2026
Viewed by 378
Abstract
Immune checkpoint inhibitors are essential treatments for many oncologic diseases, but with well-known immune-related adverse events, such as acute interstitial nephritis (ICI-AIN). We investigated novel potential biomarkers that could assist in the diagnosis and follow-up of this condition and that are related to [...] Read more.
Immune checkpoint inhibitors are essential treatments for many oncologic diseases, but with well-known immune-related adverse events, such as acute interstitial nephritis (ICI-AIN). We investigated novel potential biomarkers that could assist in the diagnosis and follow-up of this condition and that are related to the active pathogenic pathways involved. We measured urinary soluble PD-1, PD-L1 and PD-L2, as well as chemokines CXCL5, CXCL9, CXCL10, CXCL11, CCL2, CCL3, CCL5 and cytokines IL-6 and IL-12p70 performing a Luminex assay in urine from patients with ICI-AIN (n = 35) and compared them with patients with AIN from other causes (non-ICI AIN) (n = 29) and ATN (n = 26). We found that CXCL5, CXCL9, CXCL10, CXCL11, CCL5 and IL-6 were higher in patients with ICI-AIN than in those with ATN, and all of them but CXCL9 and IL-6 were also higher in patients with ICI-AIN compared with non-ICI AIN. We also determined these molecules at follow-up for ICI-AIN patients (40 samples from 22 patients) and found that concentrations of CXCL9, CXCL10, CXCL11 and CCL2 decreased after treatment. The decrease of CXCL9 and CXCL10 correlated with greater kidney function recovery at one-year follow-up. These molecules could serve as noninvasive biomarkers and may aid fine patient monitoring. Full article
Show Figures

Figure 1

14 pages, 1962 KB  
Article
Impact of High Fe Doping on Structure, Optical, and Magnetic Properties of Zinc Oxide Nanostructures Synthesized by Hydrothermal Route
by Essam M. Abdel-Fattah and Salman M. Alshehri
Crystals 2026, 16(1), 55; https://doi.org/10.3390/cryst16010055 - 13 Jan 2026
Cited by 1 | Viewed by 461
Abstract
Zn1−xFexO nanocomposites (NCs) with varying Fe concentrations (x = 0, 0.1, 0.2, 0.3, and 0.4) were effectively prepared using the hydrothermal approach, and their morphology, structural, optical, and magnetic properties were systematically analyzed. XRD analysis confirmed Fe doping reduced [...] Read more.
Zn1−xFexO nanocomposites (NCs) with varying Fe concentrations (x = 0, 0.1, 0.2, 0.3, and 0.4) were effectively prepared using the hydrothermal approach, and their morphology, structural, optical, and magnetic properties were systematically analyzed. XRD analysis confirmed Fe doping reduced crystallinity and crystallite size. TEM images of Zn1−xFexO NCs exhibited smaller and more agglomerated nanostructures compared to the pure ZnO NPs. Raman and XPS analyses indicated increased lattice disorder, oxygen vacancies, and the coexistence of Fe2+/Fe3+ species. UV–Vis spectra showed enhanced visible light absorption and a tunable band gap, while PL results reflected defect-induced emission shifts and quenching, associated with zinc vacancies, interstitials, and oxygen-related defects. Magnetic measurements revealed a transition from diamagnetism to ferromagnetic-like behavior at room temperature for Fe content x ≥ 0.2, with magnetization strongly dependent on doping level. These results highlight Zn1−xFexO for advanced optoelectronic and spintronic applications. Full article
(This article belongs to the Section Inorganic Crystalline Materials)
Show Figures

Figure 1

17 pages, 515 KB  
Article
Serum CCL18 May Reflect Multiorgan Involvement with Poor Outcome in Systemic Sclerosis
by Kristóf Filipánits, Gabriella Nagy, Dávid Kurszán Jász, Tünde Minier, Diána Simon, Szabina Erdő-Bonyár, Tímea Berki and Gábor Kumánovics
Biomolecules 2026, 16(1), 136; https://doi.org/10.3390/biom16010136 - 13 Jan 2026
Viewed by 343
Abstract
Background: Serum C–C motif chemokine ligand 18 (seCCL18) in systemic sclerosis (SSc) has been primarily associated with progressive interstitial lung disease (SSc-ILD) and mortality. However, its relationship with non-pulmonary organ involvement, disease activity, and long-term outcome has not been comprehensively evaluated. We therefore [...] Read more.
Background: Serum C–C motif chemokine ligand 18 (seCCL18) in systemic sclerosis (SSc) has been primarily associated with progressive interstitial lung disease (SSc-ILD) and mortality. However, its relationship with non-pulmonary organ involvement, disease activity, and long-term outcome has not been comprehensively evaluated. We therefore examined the clinical relevance of seCCL18 in a single-center SSc cohort. Methods: A total of 151 patients with SSc (83 diffuse cutaneous (dcSSc), 68 limited cutaneous SSc (lcSSc); median (IQR) disease duration: 9 (4;16) years) and 47 age- and sex-matched healthy controls (HCs) were enrolled. Serum CCL18 concentrations were measured by enzyme-linked immunosorbent assay. Elevated seCCL18 was defined as >130 ng/mL (mean + 2 SD of the healthy control group). Organ involvement and disease activity (EUSTAR Activity Index, EUSTAR-AI) were assessed at baseline, while survival was analysed longitudinally. Results: Patients with SSc had significantly higher seCCL18 levels than HCs (mean ± SD: 99.9 ± 43.2 vs. 75.0 ± 27.5 ng/mL, p < 0.01). Elevated seCCL18 was associated with SSc-ILD (81.1% vs. 60.5%, p = 0.022), reduced forced vital capacity (FVC < 70%: 16.2% vs. 3.5%, p = 0.006), and reduced diffusing capacity for carbon monoxide (DLCO < 70%: 80.6% vs. 54.4%, p = 0.005). Higher seCCL18 levels were observed in patients with myocardial disease (104.8 ± 41.8 vs. 83.8 ± 44.2 ng/mL, p = 0.008), left ventricular diastolic dysfunction (107.1 ± 40.5 vs. 84.5 ± 45.0 ng/mL, p < 0.001), and oesophageal involvement (110.7 ± 38.3 vs. 93.3 ± 43.1 ng/mL, p = 0.009). SeCCL18 levels above the cut-off were more frequently associated with tendon friction rubs (51.4% vs. 27.4%, p = 0.007), active disease (EUSTAR-AI ≥ 2.5: 73% vs. 44%, p = 0.002), and elevated inflammatory markers (CRP > 5 mg/L: 51.4% vs. 19.3%, p < 0.001; ESR > 28 mm/h: 37.8% vs. 18.4%, p = 0.015). During a median follow-up of 87 months, 22 patients (15%) died. Elevated baseline seCCL18 predicted poorer survival in univariate analysis (log-rank p = 0.013) and remained an independent predictor of mortality in multivariable Cox regression (HR 1.789; 95% CI 1.133–2.824; p = 0.013), together with declining DLCO and reduced six-minute walk test performance. Conclusions: Elevated seCCL18 may identify patients with systemic sclerosis who exhibit a more severe multisystem phenotype, including cardiopulmonary, gastrointestinal, and musculoskeletal involvement, increased inflammatory activity, and reduced long-term survival. These findings suggest that seCCL18 may have some clinical utility as a prognostic biomarker reflecting widespread disease involvement beyond the lungs, even in patients with long-standing disease; however, the lack of an established cut-off value requires further validation in prospective, multicentre studies. Full article
(This article belongs to the Special Issue Biomarkers in Musculoskeletal and Orthopedic Disorders)
Show Figures

Figure 1

17 pages, 1926 KB  
Article
Optical and Microdialysis Monitoring of Succinate Prodrug Treatment in a Rotenone-Induced Model of Mitochondrial Dysfunction in Swine
by Alistair Lewis, Rodrigo M. Forti, Tiffany S. Ko, Eskil Elmér, Meagan J. McManus, Arjun G. Yodh, Todd J. Kilbaugh and Wesley B. Baker
Metabolites 2026, 16(1), 65; https://doi.org/10.3390/metabo16010065 - 11 Jan 2026
Viewed by 554
Abstract
Background/Objectives: Mitochondrial dysfunction is a major cause of brain injury in patients with primary mitochondrial disease. New mitochondrial therapeutics and non-invasive tools for efficacy monitoring are urgently needed. To these ends, succinate prodrug NV354 (methyl 3-[(2-acetylaminoethylthio)carbonyl]propionate) and diffuse optical techniques are promising. In [...] Read more.
Background/Objectives: Mitochondrial dysfunction is a major cause of brain injury in patients with primary mitochondrial disease. New mitochondrial therapeutics and non-invasive tools for efficacy monitoring are urgently needed. To these ends, succinate prodrug NV354 (methyl 3-[(2-acetylaminoethylthio)carbonyl]propionate) and diffuse optical techniques are promising. In this proof-of-concept study, we characterize NV354’s effects on microdialysis metrics of cerebral metabolism in a swine model of mitochondrial dysfunction and assess the associations of diffuse optical metrics with mitochondrial dysfunction and metabolic improvement. Methods: One-month-old swine received a four-hour co-infusion of rotenone with either the succinate prodrug NV354 (n = 5) or placebo (n = 5). Rotenone is a mitochondrial complex I inhibitor. Before and during co-infusion, cerebral metabolism was probed with microdialysis and diffuse optics. Microdialysis acquired interstitial lactate and pyruvate levels invasively, while diffuse optics measured changes in oxygen extraction fraction (OEF) and oxidized cytochrome-c-oxidase concentration (oxCCO). Results: Interstitial lactate continually increased in the placebo group (p < 0.01), but lactate levels plateaued in the NV354 group (p = 0.90). oxCCO also increased in the placebo group (p = 0.05), but OEF remained constant (p = 0.80). In the NV354 group, oxCCO increased (p < 0.01) while OEF decreased (p < 0.01). Conclusions: Microdialysis results suggest that NV354 treatment can increase oxygen metabolism in large animals with mitochondrial dysfunction. The optical oxCCO metric was also sensitive to metabolic changes induced by rotenone and NV354 administration. Full article
(This article belongs to the Section Endocrinology and Clinical Metabolic Research)
Show Figures

Figure 1

31 pages, 10264 KB  
Article
Advanced RSM-Driven Optimisation for Enhancing the Mechanical Performance of FDM-Printed PETG: A Correlated Microstructural and Mechanical Property Investigation
by Rajan Kumaresan and Krishnan Kanny
Polymers 2025, 17(23), 3175; https://doi.org/10.3390/polym17233175 - 29 Nov 2025
Viewed by 783
Abstract
Fused deposition modelling (FDM) has become a cost-efficient and highly effective technique in 3D printing. Polyethylene terephthalate glycol (PETG) is a prevalent thermoplastic biofilament, and it exhibits resistance to water, heat, and chemicals. It is often regarded as waterproof and possesses exceptional thermal [...] Read more.
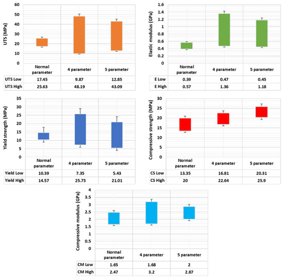
Fused deposition modelling (FDM) has become a cost-efficient and highly effective technique in 3D printing. Polyethylene terephthalate glycol (PETG) is a prevalent thermoplastic biofilament, and it exhibits resistance to water, heat, and chemicals. It is often regarded as waterproof and possesses exceptional thermal resistance. This study aimed to improve the mechanical properties of PETG by employing a 50% infill density along with certain infill patterns and raster angles for the top, bottom, and interstitial layers. Initially, Response Surface Methodology (RSM) was used to create the regression model by using various parameters; then, it was used to examine the experimental data and find the factors that have a significant impact on mechanical properties. The structural load-carrying behaviour of the specimen was analysed using a Scanning Electron Microscope (SEM). The tensile results showed that the maximum tensile strength attained was 43.09 MPa and the modulus value was 1.18 GPa and the yield strength was 21.01 MPa. The compressive properties showed that the highest strength was 25.90 MPa, and a modulus of 2.87 GPa was attained. The combination of a rectilinear and concentric infill pattern obtained more strength than the other combinations, and the raster angle acted as the most crucial factor on the strength of the specimen. A determination (R2) value over 90% signified strong suitability, while the error percentage between estimated and experimental data remained below 5%, showing that the regression values were satisfactory. Full article
(This article belongs to the Section Polymer Analysis and Characterization)
Show Figures

Figure 1

Back to TopTop