Sign in to use this feature.

Years

Between: -

Subjects

remove_circle_outline
remove_circle_outline
remove_circle_outline
remove_circle_outline
remove_circle_outline

Journals

Article Types

Countries / Regions

Search Results (60)

Search Parameters:
Keywords = interferons-λ

Order results
Result details
Results per page
Select all
Export citation of selected articles as:
22 pages, 3813 KB  
Review
Host Responses to SARS-CoV-2 with an Emphasis on Cytokines
by Hideki Hayashi, Yoshinao Kubo and Yoshimasa Tanaka
Int. J. Mol. Sci. 2026, 27(2), 664; https://doi.org/10.3390/ijms27020664 - 9 Jan 2026
Viewed by 83
Abstract
The COVID-19 pandemic has profoundly affected societies around the world. Although the emergency phase of coronavirus disease 2019 (COVID-19) has ended, the threat it poses remains persistent. This review aims to clarify the mechanisms of SARS-CoV-2 (severe acute respiratory syndrome coronavirus 2) infection [...] Read more.
The COVID-19 pandemic has profoundly affected societies around the world. Although the emergency phase of coronavirus disease 2019 (COVID-19) has ended, the threat it poses remains persistent. This review aims to clarify the mechanisms of SARS-CoV-2 (severe acute respiratory syndrome coronavirus 2) infection to support effective management of the disease. A central focus is the host cellular response to the viral infection, with particular emphasis on the role of cytokines. Cytokines play a dual role in antiviral defense: they contribute to the inhibition of viral replication and facilitate the clearance of pathogens, yet dysregulated cytokine responses can result in severe immunopathology. Interferons (type I, type II, and type III) and other cytokines are pivotal in activating intracellular antiviral mechanisms and in orchestrating the recruitment of immune cells through extracellular signaling. Effective immune responses to viral infections are governed not only by primary immune cells—such as dendritic cells, T lymphocytes, and B lymphocytes—but also by the local cytokine milieu shaped by infected and neighboring cells. Given the presence of endogenous inhibitors and autoantibodies in vivo, it is essential to evaluate the functional activity of cytokines in clinical samples. We propose a novel approach to quantify biologically active cytokine levels. Full article
(This article belongs to the Special Issue Host-Virus Interaction)
Show Figures

Figure 1

16 pages, 276 KB  
Review
The Airway Microbiome as a Modulator of Influenza Virus Infection: Mechanistic Insights and Translational Perspectives—Review
by Georgia Gioula and Maria Exindari
Pathogens 2026, 15(1), 63; https://doi.org/10.3390/pathogens15010063 - 7 Jan 2026
Viewed by 290
Abstract
Outcomes of influenza virus infection vary widely across individuals, reflecting not only viral genetics and host factors but also the composition and function of the airway microbiome. Over the past few years, mechanistic work has clarified how specific commensals (for example, Staphylococcus epidermidis [...] Read more.
Outcomes of influenza virus infection vary widely across individuals, reflecting not only viral genetics and host factors but also the composition and function of the airway microbiome. Over the past few years, mechanistic work has clarified how specific commensals (for example, Staphylococcus epidermidis and Streptococcus oralis) restrict influenza replication by priming epithelial interferon-λ programs, reshaping intracellular metabolite pools (notably polyamines), dampening host protease activity, and maintaining barrier integrity; meanwhile, pathobionts (notably Staphylococcus aureus and Streptococcus pneumoniae) can enhance viral fitness via secreted proteases and neuraminidases that activate hemagglutinin and remodel sialylated glycoconjugates and mucus, setting the stage for secondary bacterial disease. Recent studies also highlight the gut–lung axis: gut microbiota-derived short-chain fatty acids (SCFAs), especially acetate, protect tight junctions and modulate antiviral immunity in influenza models. Together, these insights motivate translational strategies—from intranasal live biotherapeutics (LBPs) to metabolite sprays and decoy/dual neuraminidase approaches—that complement vaccines and antivirals. We synthesize recent evidence and outline a framework for leveraging the airway microbiome to prevent infection, blunt severity, and reduce transmission. Key priorities include strain-level resolution of commensal effects, timing/dosing windows for metabolites and LBPs, and microbiome-aware clinical pathways for anticipating and averting bacterial coinfection. Overall, the airway microbiome emerges as a tractable lever for influenza control at the site of viral entry, with several candidates moving toward clinical testing. Full article
12 pages, 1301 KB  
Article
Nanomaterials Covered with Cell Membranes for Intracellular Delivery Without Lysosomal Degradation and Innate Immunity Induction
by Olga Morozova, Ekaterina Obraztsova and Dmitry Klinov
Int. J. Mol. Sci. 2025, 26(20), 10244; https://doi.org/10.3390/ijms262010244 - 21 Oct 2025
Viewed by 802
Abstract
Cellular uptake of nanomaterials is based on endocytosis with their endosomal–lysosomal entrapment resulting in enzymatic hydrolysis. Besides biodegradation, the antigen presentation induces innate and adaptive immunity. Our goal was isolation of extracellular particles to study their structures, penetration into cells, stability, intracellular distribution, [...] Read more.
Cellular uptake of nanomaterials is based on endocytosis with their endosomal–lysosomal entrapment resulting in enzymatic hydrolysis. Besides biodegradation, the antigen presentation induces innate and adaptive immunity. Our goal was isolation of extracellular particles to study their structures, penetration into cells, stability, intracellular distribution, and interferon (IFN) production. Extracellular nanomaterials were isolated from conditioned culture media of human embryonic and cancer cells by two-stage differential centrifugation. Cellular uptake of Cy5-labeled particles was evaluated using spectrofluorimetry and confocal fluorescent microscopy. IFN gene expression was analyzed by reverse transcription with real-time PCR and ELISA. Vesicles of 10–200 nm were isolated by centrifugation at 20,800× g at +4 °C for 30 min. The fluorescent vesicles were gradually accumulated inside cells for seven days. Intracellular distribution patterns of the Cy5-labeled vesicles differed from lysosomes stained with LysoRed tracker. IFNs α, β and γ were not detected after treatment with the vesicles. IFN λ was found in cells in the presence of allogenic but not autologous particles. The gradual cellular uptake occurred without significant differences between autologous and heterologous vesicles. Different localization of the extracellular vesicles (EV) and lysosomes along with weak innate immune response (if any) suggested membrane fusion. Full article
Show Figures

Graphical abstract

16 pages, 980 KB  
Article
Markers of Antiviral Response in SLE Patients After Vaccination Against SARS-CoV-2
by Michał Komorniczak, Katarzyna Aleksandra Lisowska, Barbara Bułło-Piontecka, Alicja Dębska-Ślizień and Anna Wardowska
Int. J. Mol. Sci. 2025, 26(20), 10241; https://doi.org/10.3390/ijms262010241 - 21 Oct 2025
Viewed by 686
Abstract
Patients with systemic lupus erythematosus (SLE) and lupus nephritis (LN) are at increased risk of severe infections, making effective vaccination strategies essential. While antibody responses to SARS-CoV-2 vaccination have been studied in SLE, less is known about innate immune correlates. Therefore, we evaluated [...] Read more.
Patients with systemic lupus erythematosus (SLE) and lupus nephritis (LN) are at increased risk of severe infections, making effective vaccination strategies essential. While antibody responses to SARS-CoV-2 vaccination have been studied in SLE, less is known about innate immune correlates. Therefore, we evaluated cytokines with a particular emphasis on interferon and chemokine profiles. To fulfill the immunological picture, we also assessed neutralizing antibodies against SARS-CoV-2 variants, lymphocyte subpopulations, and selected gene expression signatures in 33 patients stratified by vaccination status: fully vaccinated (FV, n = 23) and partially vaccinated (PV, n = 10). Serum analyses showed that FV patients exhibited increased type I (IFN-α2, IFN-β) and type III (IFN-λ1, IFN-λ2/3) interferons, as well as elevated pro-inflammatory cytokines (IL-1β, IL-6, TNF-α, and IL-12p70) and IL-10, whereas neutralizing antibody (Neut. Ab.) titers against wild-type and variant strains, including Omicron, were comparable between groups. Immunophenotyping demonstrated preserved T- and B-cell subset distributions, except for reduced CD8+CD197+CD45RA (central memory) T cells in FV patients. ISG15 gene expression was upregulated in the T cells of FV patients. Correlation analyses linked IL-6 with disease activity and IL-8, GM-CSF, IFN-β, IL-10, and Alpha Neut. Ab. with organ damage. Complement C3 correlated inversely with IFN-α2 and IFN-γ, while C4 correlated positively with Alpha and Omicron Neut. Ab. These findings highlight that vaccination in SLE induces distinct interferon and cytokine signatures without consistent enhancement of neutralizing antibodies against SARS-CoV-2, underscoring the importance of integrated immune correlates in assessing vaccine responses in this population. Full article
Show Figures

Figure 1

17 pages, 1575 KB  
Review
The Role of IL28B Polymorphism in Regulating Innate and Adaptive Immunity Against Viral Infection Among Allogenic Stem Cells Transplant Recipients
by Mohamed A. Eltokhy, Bhaumik Patel, Marina Curcic, Faizah Alabi, Shadan Modaresahmadi, Omar Eltoukhy, Esraa G. Abdelmageed and Sahar Radwan
Immuno 2025, 5(3), 38; https://doi.org/10.3390/immuno5030038 - 3 Sep 2025
Viewed by 1521
Abstract
Viral infection is a significant cause of morbidity and mortality following allogeneic hematopoietic stem cell transplantation (Allo-HSCT), largely due to its impact on and interaction with immune reconstitution. Both innate and adaptive immunity are essential for effective viral control, yet their recovery post-transplant [...] Read more.
Viral infection is a significant cause of morbidity and mortality following allogeneic hematopoietic stem cell transplantation (Allo-HSCT), largely due to its impact on and interaction with immune reconstitution. Both innate and adaptive immunity are essential for effective viral control, yet their recovery post-transplant is often delayed or functionally impaired. Emerging evidence suggests genetic variation, particularly polymorphisms in the IL28B gene (encoding IFN-λ3), as a critical factor influencing the quality and timing of immune responses during the early post-transplant period. This review explores the role of IL28B polymorphisms in shaping antiviral immunity, in general, as well as after Allo-HSCT. IL28B variants have been implicated in modulating interferon-stimulated gene (ISG) expression, natural killer (NK) cell activity, and type I/III interferon signaling, all central components of innate immune defense against viral infections. Furthermore, IL28B polymorphisms, particularly rs12979860, have been shown in both general populations and limited HSCT cohorts to alter T cell response and interferon production, affecting reactivation and clearance of multiple viruses such as cytomegalovirus (CMV), hepatitis B virus (HBV), hepatitis C virus (HCV), Epstein–Barr virus (EBV), COVID-19, and BK polyomavirus (BKPyV) as well as Graft vs. Host disease, thereby affecting adaptive immune reconstitution and long-term viral control. Understanding how IL28B genotype alters immune dynamics in transplant recipients could enhance risk stratification for CMV and other diseases and inform personalized prophylactic or therapeutic strategies. Therefore, this review highlights IL28B as a promising biomarker and potential immunoregulatory target in the management of viral infection post-Allo-HSCT. Full article
Show Figures

Figure 1

19 pages, 1294 KB  
Review
Interferon Lambda: The Next Frontier in Antiviral Therapy?
by Sofia Chronopoulou and Ilias Tsochantaridis
Pharmaceuticals 2025, 18(6), 785; https://doi.org/10.3390/ph18060785 - 24 May 2025
Cited by 4 | Viewed by 5809
Abstract
Type III interferons (IFN-λ) are the most recently identified members of the interferon family, distantly related to type I interferons and members of the interleukin-10 (IL-10). Unlike type I interferons, which have broadly distributed cellular receptors, IFN-λ signals through a heterodimeric receptor complex [...] Read more.
Type III interferons (IFN-λ) are the most recently identified members of the interferon family, distantly related to type I interferons and members of the interleukin-10 (IL-10). Unlike type I interferons, which have broadly distributed cellular receptors, IFN-λ signals through a heterodimeric receptor complex with primary expression on epithelial cells. This restricted receptor distribution makes IFN-λ a favorable candidate for therapeutic and antiviral applications with reduced side effects. In this review, we describe the molecular structure, signaling mechanisms, and the role of IFN-λ in the innate immunity of epithelial tissue, which are its primary sites of action. Moreover, this review will summarize and critically examine the antiviral potential of IFN-λ based on all published clinical trials conducted for the treatment of COVID-19, and hepatitis B, C and D virus. Furthermore, this review suggests IFN-λ as a promising therapeutic recombinant protein, with special emphasis on its potential for production using alternative expression and advanced drug delivery systems. To emphasize its potential as a therapeutic intervention, the design and engineering of recombinant IFN-λ will be presented, with a focus on its lower side-effect profile compared to Type I interferons. Full article
(This article belongs to the Section Biopharmaceuticals)
Show Figures

Figure 1

22 pages, 2632 KB  
Article
Glutamine Administration Attenuates Poly(I:C)-Induced Lung Injury by Reducing Neutrophil Infiltration and Activating the TLR-3 Antiviral Pathway
by Li-Han Su, Wen-Chiuan Tsai, Hitoshi Shirakawa, Yu-Ling Tsai, Sung-Ling Yeh and Chiu-Li Yeh
Nutrients 2025, 17(10), 1700; https://doi.org/10.3390/nu17101700 - 16 May 2025
Cited by 2 | Viewed by 1182
Abstract
Objectives: In this study, we investigated the effects of intravenous glutamine (GLN) administration on the Toll-like receptor 3 (TLR3) antiviral pathway and leukocyte migration in mice with poly(I:C)-induced acute lung injury (ALI). Methods: There were four groups in this study: the [...] Read more.
Objectives: In this study, we investigated the effects of intravenous glutamine (GLN) administration on the Toll-like receptor 3 (TLR3) antiviral pathway and leukocyte migration in mice with poly(I:C)-induced acute lung injury (ALI). Methods: There were four groups in this study: the NC group, mice without an intratracheal injection; the SH group, mice intratracheally injected with endotoxin-free saline; the PS group, intratracheally instilled with 3 mg poly(I:C)/kg body weight (BW), followed by an intravenous (IV) injection of saline; and the PG group, intratracheally injected with poly(I:C) followed by the IV administration of 0.75 g GLN/kg BW. Mice in the SH, PS, and PG groups were sacrificed at 4, 12, and 24 h after intratracheal instillation. Results: The results showed that poly(I:C) stimulation decreased the plasma GLN concentration and increased inflammatory cytokine levels. In bronchoalveolar lavage fluid, concentrations of interferon λ3 and percentages of macrophages and M1 macrophages decreased, while neutrophils increased along with significantly elevated myeloperoxidase activity in lung tissues. The gene expressions of molecules related to leukocyte migration increased, whereas tight/adherens junction expressions in endothelial and epithelial cells were reduced. GLN supplementation upregulated the mRNA and/or protein expressions of TLR3 antiviral pathway-related factors and tight/adherens junctions while reducing inflammatory cytokines and the expressions of leukocyte migration molecules. Histological results also showed that lung injury was attenuated. Conclusions: These findings indicated that intravenous GLN administration after poly(I:C) instillation restored plasma GLN levels and alleviated ALI by activating the TLR3 antiviral pathway, suppressing leukocyte migration and neutrophil infiltration, mitigating inflammation, and improving the integrity of the alveolar–capillary barrier. Full article
(This article belongs to the Special Issue Diet, Nutrition and Lung Health)
Show Figures

Graphical abstract

12 pages, 1195 KB  
Article
Protein Kinase C Isozyme Immaturity/Deficiency in Cord Blood Monocytes and Neutrophils
by Khalida Perveen and Antonio Ferrante
Int. J. Mol. Sci. 2024, 25(21), 11665; https://doi.org/10.3390/ijms252111665 - 30 Oct 2024
Viewed by 1208
Abstract
Reduced/deficient expression of Protein Kinase C (PKC)ζ in Cord blood (CB) T cells is associated with allergy development in children and a propensity to maintain an immature T-helper (Th)2 cytokine profile. In addition, other PKC isozymes are also low in CBTCs. Since previous [...] Read more.
Reduced/deficient expression of Protein Kinase C (PKC)ζ in Cord blood (CB) T cells is associated with allergy development in children and a propensity to maintain an immature T-helper (Th)2 cytokine profile. In addition, other PKC isozymes are also low in CBTCs. Since previous studies have reported that cord blood/neonatal monocyte and neutrophil functions are significantly lower than cells from adults, it was of interest to see if the CBTC PKC levels were reflected in CB monocytes and neutrophils. Compared to adult blood, CB expresses low levels of PKCα, β2, ε, θ, μ, ζ and λ/ι in monocytes and PKCα, β2, η, θ, μ, ζ and λ/ι in neutrophils. The T-cell PKCζ levels were positively correlated with levels in CB monocytes but not in neutrophils. However, neither the monocytes nor the neutrophil PKCζ were associated with T-cell development towards a Th1 or Th2 cytokine propensity, based on the production of interferon-gamma and interleukin-4 in response to phytohemagglutinin and phorbol myristate acetate. The results demonstrate that some newborn babies display a deficiency in PKC isozymes in monocytes and neutrophils, as reported for T cells. However, unlike T cells, the PKCζ levels of the phagocytes did not correlate with regulation of development towards a Th1 or Th2 cytokine phenotype. Full article
(This article belongs to the Special Issue Molecular Mechanisms of Allergy and Asthma: 3rd Edition)
Show Figures

Figure 1

13 pages, 1953 KB  
Article
IFN Lambda Deficiency Contributes to Severe COVID-19 Outcomes
by Anna Zaleska, Anna Dor-Wojnarowska, Anna Radlińska, Marta Rorat, Wojciech Szymański, Adrian Gajewski and Maciej Chałubiński
Int. J. Mol. Sci. 2024, 25(19), 10530; https://doi.org/10.3390/ijms251910530 - 30 Sep 2024
Cited by 2 | Viewed by 2119
Abstract
Interferons (IFNs) produced by airway epithelial cells are crucial in defending against pathogens. Fluctuations in IFN-λ levels may influence coronavirus disease 19 (COVID-19) severity. However, conflicting data have been reported regarding serum IFN-λ concentrations in COVID-19 patients. To address this, we evaluated serum [...] Read more.
Interferons (IFNs) produced by airway epithelial cells are crucial in defending against pathogens. Fluctuations in IFN-λ levels may influence coronavirus disease 19 (COVID-19) severity. However, conflicting data have been reported regarding serum IFN-λ concentrations in COVID-19 patients. To address this, we evaluated serum IFN-λ levels over time in moderate and severe COVID-19 patients and their association with cytokine production and clinical parameters using the enzyme-linked immunosorbent assay (ELISA) and the Bio-Plex Pro Human Cytokine 17-plex Assay. Results from testing 51 COVID-19 patients showed that 68% lacked detectable serum IFN-λ. Among non-IFN-λ secretors, severe COVID-19 predominated. In contrast, IFN-λ secretors displayed stable IFN-λ levels in moderate cases, while severe cases showed a decline over time, which persisted even after recovery. A negative correlation was observed between IFN-λ levels and inflammatory markers. This, combined with an increase in tumor necrosis factor alpha (TNF-α) and clinical improvement, suggests a regulatory role for IFN-λ in promoting faster recovery. Despite this, survival rates were similar between the groups, indicating that while IFN-λ influences the course of the disease, it does not directly affect overall survival. In conclusion, IFN-λ is vital, but not unique, for the antiviral response and COVID-19 recovery. Simultaneously, serum IFN-λ deficiency signifies severe COVID-19. Full article
(This article belongs to the Special Issue Coronavirus Disease (COVID-19): Pathophysiology 5.0)
Show Figures

Figure 1

17 pages, 1893 KB  
Review
The Disorderly Nature of Caliciviruses
by Vivienne L. Young, Alice M. McSweeney, Matthew J. Edwards and Vernon K. Ward
Viruses 2024, 16(8), 1324; https://doi.org/10.3390/v16081324 - 19 Aug 2024
Cited by 4 | Viewed by 2727
Abstract
An intrinsically disordered protein (IDP) or region (IDR) lacks or has little protein structure but still maintains function. This lack of structure creates flexibility and fluidity, allowing multiple protein conformations and potentially transient interactions with more than one partner. Caliciviruses are positive-sense ssRNA [...] Read more.
An intrinsically disordered protein (IDP) or region (IDR) lacks or has little protein structure but still maintains function. This lack of structure creates flexibility and fluidity, allowing multiple protein conformations and potentially transient interactions with more than one partner. Caliciviruses are positive-sense ssRNA viruses, containing a relatively small genome of 7.6–8.6 kb and have a broad host range. Many viral proteins are known to contain IDRs, which benefit smaller viral genomes by expanding the functional proteome through the multifunctional nature of the IDR. The percentage of intrinsically disordered residues within the total proteome for each calicivirus type species can range between 8 and 23%, and IDRs have been experimentally identified in NS1-2, VPg and RdRP proteins. The IDRs within a protein are not well conserved across the genera, and whether this correlates to different activities or increased tolerance to mutations, driving virus adaptation to new selection pressures, is unknown. The function of norovirus NS1-2 has not yet been fully elucidated but includes involvement in host cell tropism, the promotion of viral spread and the suppression of host interferon-λ responses. These functions and the presence of host cell-like linear motifs that interact with host cell caspases and VAPA/B are all found or affected by the disordered region of norovirus NS1-2. The IDRs of calicivirus VPg are involved in viral transcription and translation, RNA binding, nucleotidylylation and cell cycle arrest, and the N-terminal IDR within the human norovirus RdRP could potentially drive liquid–liquid phase separation. This review identifies and summarises the IDRs of proteins within the Caliciviridae family and their importance during viral replication and subsequent host interactions. Full article
(This article belongs to the Special Issue Caliciviruses)
Show Figures

Figure 1

19 pages, 4503 KB  
Article
Oral Antiviral Defense: Saliva- and Beverage-like Hypotonicity Dynamically Regulate Formation of Membraneless Biomolecular Condensates of Antiviral Human MxA in Oral Epithelial Cells
by Pravin B. Sehgal, Huijuan Yuan, Anthony Centone and Susan V. DiSenso-Browne
Cells 2024, 13(7), 590; https://doi.org/10.3390/cells13070590 - 28 Mar 2024
Cited by 1 | Viewed by 2285
Abstract
The oral mucosa represents a defensive barrier between the external environment and the rest of the body. Oral mucosal cells are constantly bathed in hypotonic saliva (normally one-third tonicity compared to plasma) and are repeatedly exposed to environmental stresses of tonicity, temperature, and [...] Read more.
The oral mucosa represents a defensive barrier between the external environment and the rest of the body. Oral mucosal cells are constantly bathed in hypotonic saliva (normally one-third tonicity compared to plasma) and are repeatedly exposed to environmental stresses of tonicity, temperature, and pH by the drinks we imbibe (e.g., hypotonic: water, tea, and coffee; hypertonic: assorted fruit juices, and red wines). In the mouth, the broad-spectrum antiviral mediator MxA (a dynamin-family large GTPase) is constitutively expressed in healthy periodontal tissues and induced by Type III interferons (e.g., IFN-λ1/IL-29). Endogenously induced human MxA and exogenously expressed human GFP-MxA formed membraneless biomolecular condensates in the cytoplasm of oral carcinoma cells (OECM1 cell line). These condensates likely represent storage granules in equilibrium with antivirally active dispersed MxA. Remarkably, cytoplasmic MxA condensates were exquisitely sensitive sensors of hypotonicity—the condensates in oral epithelium disassembled within 1–2 min of exposure of cells to saliva-like one-third hypotonicity, and spontaneously reassembled in the next 4–7 min. Water, tea, and coffee enhanced this disassembly. Fluorescence changes in OECM1 cells preloaded with calcein-AM (a reporter of cytosolic “macromolecular crowding”) confirmed that this process involved macromolecular uncrowding and subsequent recrowding secondary to changes in cell volume. However, hypertonicity had little effect on MxA condensates. The spontaneous reassembly of GFP-MxA condensates in oral epithelial cells, even under continuous saliva-like hypotonicity, was slowed by the protein-phosphatase-inhibitor cyclosporin A (CsA) and by the K-channel-blocker tetraethylammonium chloride (TEA); this is suggestive of the involvement of the volume-sensitive WNK kinase-protein phosphatase (PTP)-K-Cl cotransporter (KCC) pathway in the regulated volume decrease (RVD) during condensate reassembly in oral cells. The present study identifies a novel subcellular consequence of hypotonic stress in oral epithelial cells, in terms of the rapid and dynamic changes in the structure of one class of phase-separated biomolecular condensates in the cytoplasm—the antiviral MxA condensates. More generally, the data raise the possibility that hypotonicity-driven stresses likely affect other intracellular functions involving liquid–liquid phase separation (LLPS) in cells of the oral mucosa. Full article
(This article belongs to the Special Issue Molecular Mechanisms of Immunity to Infectious Viruses)
Show Figures

Figure 1

10 pages, 680 KB  
Article
Interferon Lambda Signaling Restrains Experimental Autoimmune Encephalomyelitis
by Mohammad Asif Sherwani, Samuel J. Duesman, Zdenek Hel, Chander Raman and Nabiha Yusuf
Biomedicines 2024, 12(3), 526; https://doi.org/10.3390/biomedicines12030526 - 26 Feb 2024
Cited by 2 | Viewed by 2363
Abstract
IFN-λ is a type III interferon (IFN) with pleiotropic functions in modulating immune responses. To address its function in autoimmune neuroinflammation, we evaluated the development and progression of experimental autoimmune encephalitis (EAE) in IFNLR1 KO (Ifnlr1−/−) and C57Bl/6 (WT) mice following [...] Read more.
IFN-λ is a type III interferon (IFN) with pleiotropic functions in modulating immune responses. To address its function in autoimmune neuroinflammation, we evaluated the development and progression of experimental autoimmune encephalitis (EAE) in IFNLR1 KO (Ifnlr1−/−) and C57Bl/6 (WT) mice following immunization with MOG35–55 peptide. The results show that Ifnlr1−/− mice developed significantly more severe EAE than WT littermates with a similar day of onset, suggesting the potential of IFN-λ in reducing disease severity. We next interrogated whether IFN-λ differentially modulates EAE induced by encephalitogenic Th1 cells or Th17 cells. Encephalitogenic Th1 or Th17 generated from WT donors were transferred into WT or Ifnlr1−/− recipient mice. Whereas encephalitogenic Th1 cells induced more severe EAE in Ifnlr1−/− than WT recipients, the disease severity induced by encephalitogenic Th17 cells was similar. Additionally, in vitro experiments showed that Ifnlr1−/− macrophages promoted the expansion of myelin peptide-reactive Th17 cells but not Th1 cells. Early in the disease, the spinal cords of EAE mice displayed a significantly greater proportion of Ly6C-Ly6G+ cells with CXCR2+CD62Llo phenotype, indicating activated neutrophils. These findings suggest that IFN-λ signaling restrains activation and migration of neutrophils to the CNS, potentially attenuating neutrophil-mediated disease progression in autoimmune neuroinflammation. Recombinant IFN-λ can be used as a potential therapeutic target for treatment of patients with multiple sclerosis as it has fewer side effects due to the restricted expression of its receptor. Full article
Show Figures

Figure 1

13 pages, 5571 KB  
Article
Chicken Interferon-Alpha and -Lambda Exhibit Antiviral Effects against Fowl Adenovirus Serotype 4 in Leghorn Male Hepatocellular Cells
by Jinyu Lai, Xingchen He, Rongjie Zhang, Limei Zhang, Libin Chen, Fengping He, Lei Li, Liangyu Yang, Tao Ren and Bin Xiang
Int. J. Mol. Sci. 2024, 25(3), 1681; https://doi.org/10.3390/ijms25031681 - 30 Jan 2024
Cited by 5 | Viewed by 2675
Abstract
Hydropericardium hepatitis syndrome (HHS) is primarily caused by fowl adenovirus serotype 4 (FAdV-4), causing high mortality in chickens. Although vaccination strategies against FAdV-4 have been adopted, HHS still occurs sporadically. Furthermore, no effective drugs are available for controlling FAdV-4 infection. However, type I [...] Read more.
Hydropericardium hepatitis syndrome (HHS) is primarily caused by fowl adenovirus serotype 4 (FAdV-4), causing high mortality in chickens. Although vaccination strategies against FAdV-4 have been adopted, HHS still occurs sporadically. Furthermore, no effective drugs are available for controlling FAdV-4 infection. However, type I and III interferon (IFN) are crucial therapeutic agents against viral infection. The following experiments were conducted to investigate the inhibitory effect of chicken IFN against FadV-4. We expressed recombinant chicken type I IFN-α (ChIFN-α) and type III IFN-λ (ChIFN-λ) in Escherichia coli and systemically investigated their antiviral activity against FAdV-4 infection in Leghorn male hepatocellular (LMH) cells. ChIFN-α and ChIFN-λ dose dependently inhibited FAdV-4 replication in LMH cells. Compared with ChIFN-λ, ChIFN-α more significantly inhibited viral genome transcription but less significantly suppressed FAdV-4 release. ChIFN-α- and ChIFN-λ-induced IFN-stimulated gene (ISG) expression, such as PKR, ZAP, IRF7, MX1, Viperin, IFIT5, OASL, and IFI6, in LMH cells; however, ChIFN-α induced a stronger expression level than ChIFN-λ. Thus, our data revealed that ChIFN-α and ChIFN-λ might trigger different ISG expression levels, inhibiting FAdV-4 replication via different steps of the FAdV-4 lifecycle, which furthers the potential applications of IFN antiviral drugs in chickens. Full article
Show Figures

Figure 1

14 pages, 2418 KB  
Article
Interferon-λ Activates a Differential Response in Peripheral Neurons That Is Effective against Alpha Herpesvirus Infections
by Stephanie Salazar, Khanh T. Y. Luong, Taulima Nua and Orkide O. Koyuncu
Pathogens 2023, 12(9), 1142; https://doi.org/10.3390/pathogens12091142 - 7 Sep 2023
Cited by 4 | Viewed by 3043
Abstract
Alpha herpesviruses (α-HV) infect host mucosal epithelial cells prior to establishing a life-long latent infection in the peripheral nervous system. The initial spread of viral particles from mucosa to the nervous system and the role of intrinsic immune responses at this barrier is [...] Read more.
Alpha herpesviruses (α-HV) infect host mucosal epithelial cells prior to establishing a life-long latent infection in the peripheral nervous system. The initial spread of viral particles from mucosa to the nervous system and the role of intrinsic immune responses at this barrier is not well understood. Using primary neurons cultured in compartmentalized chambers, prior studies performed on Pseudorabies virus (PRV) have demonstrated that type I and type II interferons (IFNs) induce a local antiviral response in axons via distinct mechanisms leading to a reduction in viral particle transport to the neuronal nucleus. A new class of interferons known as type III IFNs has been shown to play an immediate role against viral infection in mucosal epithelial cells. However, the antiviral effects of type III IFNs within neurons during α-HV infection are largely unknown. In this study, we focused on elucidating the antiviral activity of type III IFN against PRV neuronal infection, and we compared the interferon-stimulated gene (ISGs) induction pattern in neurons to non-neuronal cells. We found that IFN pre-exposure of both primary neurons and fibroblast cells significantly reduces PRV virus yield, albeit by differential STAT activation and ISG induction patterns. Notably, we observed that type III IFNs trigger the expression of a subset of ISGs mainly through STAT1 activation to induce an antiviral state in primary peripheral neurons. Full article
(This article belongs to the Special Issue Host–Virus Interactions in the Nervous System)
Show Figures

Graphical abstract

11 pages, 5769 KB  
Article
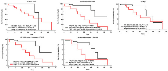
Utility of Presepsin and Interferon-λ3 for Predicting Disease Severity and Clinical Outcomes in COVID-19 Patients
by Gun-Hyuk Lee, Mikyoung Park, Mina Hur, Hanah Kim, Seungho Lee, Hee-Won Moon and Yeo-Min Yun
Diagnostics 2023, 13(14), 2372; https://doi.org/10.3390/diagnostics13142372 - 14 Jul 2023
Cited by 2 | Viewed by 1607
Abstract
We explored the utility of novel biomarkers, presepsin and interferon-λ3 (IFN-λ3), for predicting disease severity and clinical outcomes in hospitalized Coronavirus (COVID-19) patients. In a total of 55 patients (non-critical, n = 16; critical, n = 39), presepsin and IFN-λ3 were compared with [...] Read more.
We explored the utility of novel biomarkers, presepsin and interferon-λ3 (IFN-λ3), for predicting disease severity and clinical outcomes in hospitalized Coronavirus (COVID-19) patients. In a total of 55 patients (non-critical, n = 16; critical, n = 39), presepsin and IFN-λ3 were compared with sequential organ failure assessment (SOFA) scores and age. Disease severity and clinical outcomes (in-hospital mortality, intensive care unit admission, ventilator use, and kidney replacement therapy) were analyzed using receiver operating characteristic (ROC) curves. In-hospital mortality was also analyzed using the Kaplan-Meier method with hazard ratios (HR). SOFA scores, age, presepsin, and IFN-λ3 predicted disease severity comparably (area under the curve [AUC], 0.67–0.73). SOFA score and IFN-λ3 predicted clinical outcomes comparably (AUC, 0.68–0.88 and 0.66–0.74, respectively). Presepsin predicted in-hospital mortality (AUC = 0.74). The combination of presepsin and IFN-λ3 showed a higher mortality risk than SOFA score or age (HR [95% confidence interval, CI], 6.7 [1.8–24.1]; 3.6 [1.1–12.1]; 2.8 [0.8–9.6], respectively) and mortality rate further increased when presepsin and IFN-λ3 were added to SOFA scores or age (8.5 [6.8–24.6], 4.2 [0.9–20.6], respectively). In the elderly (≥65 years), in-hospital mortality rate was significantly higher when both presepsin and IFN-λ3 levels increased than when either one or no biomarker level increased (88.9% vs. 14.3%, p < 0.001). Presepsin and IFN-λ3 predicted disease severity and clinical outcomes in hospitalized COVID-19 patients. Both biomarkers, whether alone or added to the clinical assessment, could be useful for managing COVID-19 patients, especially the elderly. Full article
(This article belongs to the Section Clinical Laboratory Medicine)
Show Figures

Figure 1

Back to TopTop