Sign in to use this feature.

Years

Between: -

Subjects

remove_circle_outline
remove_circle_outline
remove_circle_outline
remove_circle_outline
remove_circle_outline
remove_circle_outline
remove_circle_outline
remove_circle_outline
remove_circle_outline

Journals

Article Types

Countries / Regions

remove_circle_outline
remove_circle_outline
remove_circle_outline
remove_circle_outline

Search Results (352)

Search Parameters:
Keywords = interfacial friction

Order results
Result details
Results per page
Select all
Export citation of selected articles as:
21 pages, 5094 KB  
Article
Detecting and Evaluating Fatigue Damage Mechanisms in Concrete with Embedded Aggregate Sensors
by Ziwei Song, Shoushan Cheng, Haifang He, Wanheng Li and Yusheng Liu
Materials 2026, 19(6), 1201; https://doi.org/10.3390/ma19061201 - 18 Mar 2026
Abstract
Fatigue damage is a critical factor for the long-term service performance degradation of concrete structures. Nevertheless, the mesoscopic fatigue process is still debatable due to material heterogeneity and the complex internal damage progression. To further investigate the internal damage mechanism of concrete under [...] Read more.
Fatigue damage is a critical factor for the long-term service performance degradation of concrete structures. Nevertheless, the mesoscopic fatigue process is still debatable due to material heterogeneity and the complex internal damage progression. To further investigate the internal damage mechanism of concrete under fatigue loading, this study quantitatively monitors the dynamic internal strain evolution of concrete prismatic specimens during uniaxial compression high-cycle fatigue by designing and embedding aggregate sensors (EAS). The results indicated that EAS may effectively reflect concrete cracking, and the approach can properly capture the internal strain field redistribution features of concrete. Significant internal strain localization was observed during fatigue damage. The turning points in strain evolution, which correlate with the stages of stable propagation and microcrack initiation, were identified. Furthermore, the evolution of internal strain effectively characterized the alteration of stress transfer routes induced by crack propagation. Based on failure modes and mechanical analysis, the synergistic driving mechanism of fatigue damage involving crack growth, interfacial friction and stress field evolution was investigated. The difference in concrete damage under fatigue and monotonic loading due to changing mesoscopic crack propagation was defined, establishing a mechanical foundation for exploring concrete fatigue damage processes. The EAS monitoring method used in this study not only gives a viable approach for the fatigue damage analysis of concrete structures, but it also offers a new viewpoint and data support for comprehending the mesoscopic fatigue mechanism of concrete. Full article
Show Figures

Figure 1

16 pages, 5535 KB  
Article
Enhancing the Properties of As-Cast Al6061 Composites with Ti3C2Tx Reinforcement: Grain Refinement, Strength Improvement, and Self-Lubricating Wear Behavior
by Zhibin Liu, Wenjie Hu and Hong Yan
Coatings 2026, 16(3), 372; https://doi.org/10.3390/coatings16030372 - 15 Mar 2026
Abstract
Ti3C2Tx/Al6061 composites were fabricated via vacuum induction melting, with systematic analysis conducted on their microstructure, mechanical properties, and wear behavior. Findings indicate that Ti3C2Tx addition significantly refined the composite grain size. Uniformly [...] Read more.
Ti3C2Tx/Al6061 composites were fabricated via vacuum induction melting, with systematic analysis conducted on their microstructure, mechanical properties, and wear behavior. Findings indicate that Ti3C2Tx addition significantly refined the composite grain size. Uniformly dispersed Ti3C2Tx particles promoted heterogeneous nucleation, reducing the average grain size by 44.7% compared to the matrix at the optimal 2 wt.% addition. Strong interfacial bonding ensured efficient load transfer, resulting in a 48.4% increase in tensile strength for the 2 wt.% Ti3C2Tx/Al6061 composites compared to the matrix alloy, while elongation decreased by 11.7%. Tribological analysis revealed that the wear rate of 2 wt.% Ti3C2Tx/Al6061 composites increases with applied load but remained substantially lower than Al6061 under all tested conditions. This excellent wear resistance is attributed to the synergistic effect of the protective mechanically mixed-layers formation and the inherent self-lubrication property of Ti3C2Tx during sliding contact. With increasing load, the friction coefficient and tendency for microcracking on the worn surface of the composite increased, and the dominant wear mechanisms transitioned from abrasive and adhesive wear to delamination wear. Full article
(This article belongs to the Special Issue Advanced Tribological Coatings: Fabrication and Application)
Show Figures

Graphical abstract

28 pages, 9502 KB  
Article
Comparative Study of Surface-Coated MoS2 on the Multiscale Tribological Performance of Cu-Based Composites
by Yueqi Li, Qi Li, Haibin Zhou, Xuan He, Boxian Li, Wenhan Liu, Yuxuan Xu, Taimin Gong, Minwen Deng, Xiubo Liu, Pingping Yao and Qiangguo Chen
Materials 2026, 19(6), 1123; https://doi.org/10.3390/ma19061123 - 13 Mar 2026
Viewed by 78
Abstract
MoS2 acts as a high-performance lubricant, enhancing friction material stability, reducing wear and noise under extreme conditions, and preserving friction pair performance. However, its tendency to decompose and poor matrix wettability make surface modification essential for effective use in Cu-based composites. In [...] Read more.
MoS2 acts as a high-performance lubricant, enhancing friction material stability, reducing wear and noise under extreme conditions, and preserving friction pair performance. However, its tendency to decompose and poor matrix wettability make surface modification essential for effective use in Cu-based composites. In this study, comprehensive investigations combining macro-scale and micro-scale friction experiments were conducted to examine the interfacial friction behavior of MoS2 with different coatings and its tribological effects on copper-based composites under varying braking energy densities. The results indicate that the nickel coating suppressed MoS2 decomposition, forming a high-strength diffusion interface with the matrix. This enhances the frictional stability and suppresses interfacial defect formation during micro-friction tests. However, the copper coating formed a poor-strength diffusion-reacting interface with matrix, leading to unstable friction at the interface and interface failure. Coating-dependent interfacial properties and micro-friction behaviors lead to varying tribological performance in Cu-based composites with MoS2 during macro-friction tests. Nickel-plated MoS2 (MoS2@Ni) exhibits superior lubrication and frictional stability. The friction coefficients of Cu-based composites with MoS2@Ni under low, medium and high working conditions are 0.36, 0.3 and 0.24, respectively, which are 6%, 12% and 13% lower than those of copper-plated MoS2 (MoS2@Cu). Meanwhile, its friction stability is 0.8, 0.6 and 0.58, respectively. With rising braking energy density, wear in Cu-based composites transitions from ploughing to oxidation and then to delamination. Defective MoS2@Cu/matrix interfaces intensify delamination wear caused by the unstable fracture of subsurface plastic deformation layer cracks at higher energy density. Full article
Show Figures

Graphical abstract

21 pages, 6169 KB  
Article
A Design Method for Hydraulic Oscillator Excitation Parameters Considering Drilling Conditions and Formation Characteristics
by Xin He, Gonghui Liu, Tian Chen, Jun Li, Wei Wang, Shichang Li and Lincong Wang
Appl. Sci. 2026, 16(6), 2705; https://doi.org/10.3390/app16062705 - 12 Mar 2026
Viewed by 108
Abstract
Horizontal well drilling is the mainstream technology for developing deep oil and gas resources. Engineering practice has demonstrated that hydraulic oscillators can solve the problem of the backing pressure of pipe strings and improve drilling efficiency. However, the design of excitation parameters for [...] Read more.
Horizontal well drilling is the mainstream technology for developing deep oil and gas resources. Engineering practice has demonstrated that hydraulic oscillators can solve the problem of the backing pressure of pipe strings and improve drilling efficiency. However, the design of excitation parameters for hydraulic oscillators is currently largely based on idealized friction models and does not fully consider the nonlinear characteristics of friction between the drill string and the formation, resulting in a lack of quantitative basis for parameter selection under different operating conditions. A series of laboratory friction tests was conducted to systematically characterize the dependence of interfacial friction behavior on sliding velocity across different combinations of drill string materials, drilling fluid systems, and rock lithologies. Based on the experimentally determined velocity–friction relationships, a drill string dynamic model incorporating a hydraulic oscillator was developed in which nonlinear frictional effects at the interface were explicitly represented. Using this modeling framework, parametric simulations were carried out to examine how variations in excitation amplitude and excitation frequency influence drag reduction performance under diverse operating conditions. The simulation results indicate that the contribution of drill string material to overall drag reduction effectiveness is comparatively limited, whereas drilling fluid type plays a dominant regulatory role. Oil-based drilling fluids significantly enhance drag reduction performance relative to water-based systems and exhibit greater responsiveness to adjustments in excitation parameters. Rock lithology exerts a pronounced influence on the effectiveness of drag reduction. When water-based drilling fluids are used, the overall performance ranks from highest to lowest as limestone, shale, and sandstone. In contrast, under oil-based drilling fluid conditions, the relative ordering shifts to shale, followed by sandstone, and then limestone. Excitation amplitude is the dominant parameter in enhancing drag reduction capability, and in most cases, its incremental effect exceeds that of excitation frequency; however, under certain specific operating conditions, increasing the excitation frequency can provide additional drag reduction benefits. Based on the above findings, a hydraulic oscillator excitation parameter design method was proposed that matches drilling conditions and formation characteristics by distinguishing between different drilling fluid environments and lithologies, with amplitude as the primary control parameter and frequency as a supplementary parameter. This method provides a theoretical foundation for the design of output parameters of hydraulic oscillators operating under diverse working conditions. Full article
(This article belongs to the Special Issue Development of Intelligent Software in Geotechnical Engineering)
Show Figures

Figure 1

16 pages, 2883 KB  
Article
Regulation Mechanisms and Evaluation System for the Damping Performance of Crumb Rubber-Modified Asphalt over the Wide Temperature Range
by Wenqi Kou, Mingxing Gao and Ting Zhao
Materials 2026, 19(5), 1027; https://doi.org/10.3390/ma19051027 - 7 Mar 2026
Viewed by 252
Abstract
Utilizing waste tire crumb rubber to modify asphalt enhances the damping and noise reduction performance of pavements. This study systematically evaluated the damping performance of crumb rubber–modified asphalt over a wide temperature range. A high-temperature damping index based on the loss factor and [...] Read more.
Utilizing waste tire crumb rubber to modify asphalt enhances the damping and noise reduction performance of pavements. This study systematically evaluated the damping performance of crumb rubber–modified asphalt over a wide temperature range. A high-temperature damping index based on the loss factor and a low-temperature energy dissipation ratio derived from the Burgers model were proposed for quantitative characterization. The results show that damping performance is primarily controlled by temperature and crumb rubber content, while particle size plays a secondary role. Increasing crumb rubber content markedly improves damping performance. When the crumb rubber content exceeds 20%, the damping temperature stability, peak loss factor, and its retention tend to level off, whereas the low-temperature enhancement diminishes when the content exceeds 25%. Accordingly, the robust combinations are 80-mesh (≈180 μm) with 20% content for high-temperature conditions and 80-mesh with 25% content for low-temperature conditions. Multivariate nonlinear regression models achieved high predictive accuracy (R2 = 0.927 and 0.985). Microscopic analyses indicate that crumb rubber increases constrained interfacial phases and system viscosity, and partial particle exposure at 20–25% further enhances interfacial friction and energy dissipation, consistent with the observed macroscopic damping behavior. These findings provide a theoretical basis for robust, noise-reducing pavements. Full article
(This article belongs to the Section Construction and Building Materials)
Show Figures

Graphical abstract

15 pages, 5148 KB  
Article
First-Principles Investigation on the Interlayer Frictional Properties of Graphene, C3N, and C3B Bilayers and Their Heterostructures
by Jinrui Liu, Jianjun Wang, Shichang Yao, Huiwen Xiang, Bin Zhao, Meng Li and Xuehua Zhang
Lubricants 2026, 14(3), 117; https://doi.org/10.3390/lubricants14030117 - 6 Mar 2026
Viewed by 236
Abstract
While graphene-based lubricants are well-studied, the tribological potential of emerging carbon–nitride and carbon–boron 2D materials remains largely unexplored. Herein, by using first-principles calculations implemented in the VASP code, we systematically explored the interlayer interactions and frictional properties of bilayer homojunctions and heterostructures composed [...] Read more.
While graphene-based lubricants are well-studied, the tribological potential of emerging carbon–nitride and carbon–boron 2D materials remains largely unexplored. Herein, by using first-principles calculations implemented in the VASP code, we systematically explored the interlayer interactions and frictional properties of bilayer homojunctions and heterostructures composed of graphene, C3N, and C3B. The DFT-D3 dispersion correction was employed to accurately capture the interlayer van der Waals forces. The results reveal that C3N/C3N, C3N/graphene (C3N/Gra), and C3B/graphene (C3B/Gra) systems exhibit significantly lower friction coefficients compared to pristine bilayer graphene (Gra/Gra). Notably, the sliding potential barrier of the C3N/Gra heterostructure is only ~0.45 meV/atom (approximately 1/10 that of the Gra/Gra system), manifesting exceptional superlubricity and considerable potential for superlubricant applications. The sliding potential barrier of the C3B/C3N heterostructure is slightly smaller than that of Gra/Gra. In contrast, the C3B/C3B homojunction exhibits high resistance to sliding; under normal loads of 1–4 nN, its potential barrier ranges from ~16 to ~115 meV/atom, which is consistently twice that of Gra/Gra. The observed frictional variations are attributed to sliding-induced interfacial charge redistribution. These findings provide fundamental insights into the tribological behavior of C3N- and C3B-based materials and establish a quantitative link between frictional properties and interfacial charge dynamics, offering a theoretical basis for the development of advanced graphene-derived lubricants. Full article
(This article belongs to the Special Issue New Advances in Nanotribology)
Show Figures

Figure 1

21 pages, 1686 KB  
Review
Mushroom-Derived Hydrophobins for Antifouling and Interface Preservation in Chemosensors
by Nardos F. Bisrat, Bethany R. Finnefrock, Matthew D. Gacura, Longyan Chen and Davide Piovesan
Sensors 2026, 26(5), 1642; https://doi.org/10.3390/s26051642 - 5 Mar 2026
Viewed by 262
Abstract
Surface fouling remains a critical challenge for medical devices and chemosensor systems operating in biological environments, where nonspecific adsorption of proteins, cells, and microorganisms can lead to signal drift, reduced sensitivity, and shortened device lifetime. Conventional antifouling strategies rely primarily on synthetic hydrophilic [...] Read more.
Surface fouling remains a critical challenge for medical devices and chemosensor systems operating in biological environments, where nonspecific adsorption of proteins, cells, and microorganisms can lead to signal drift, reduced sensitivity, and shortened device lifetime. Conventional antifouling strategies rely primarily on synthetic hydrophilic polymer coatings, such as polyethylene glycol and polyvinylpyrrolidone, which are effective but face limitations related to long-term stability, thickness, and compatibility with surface-sensitive sensing modalities. In this review, we focus on hydrophobins derived from mushroom-forming and filamentous fungi as a bio-based alternative for antifouling and anti-wetting surface modification. Mushroom-derived hydrophobins are small amphiphilic proteins capable of spontaneous self-assembly into nanometer-scale films that modulate surface energy, wettability, and interfacial friction without requiring covalent functionalization. The current state of research on hydrophobin structure, classification, and self-assembly is reviewed, followed by a synthesis of reported antifouling and tribological behaviors relevant to medical and sensor-adjacent surfaces. Representative experimental observations are discussed to illustrate trends consistent with the literature, without establishing new performance benchmarks. The implications of mushroom-derived hydrophobin coatings for chemosensors and biosensors are examined, particularly with respect to signal stability, surface accessibility, and durability. Limitations and future research directions are outlined to support translation into practical sensing technologies. Full article
Show Figures

Figure 1

18 pages, 5774 KB  
Article
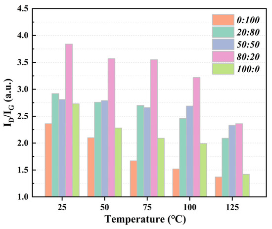
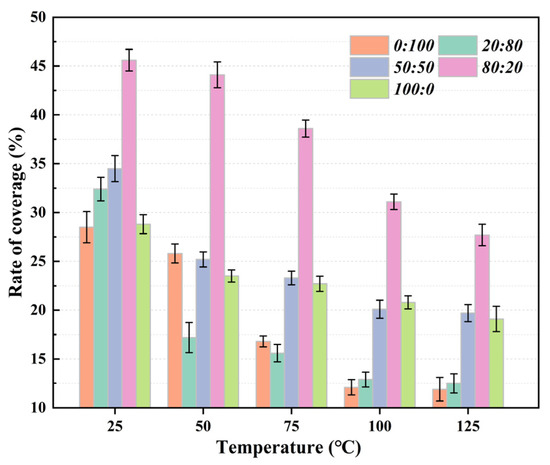
Coupled Temperature–Oil/Water Ratio Effects on Tribo-Chemical Reactions and Failure Behavior of Polycrystalline Diamond
by Di Xu, Dingshun She, Shaorong Bie, Yujie Guo, Ren Wang, Haibo Liang and Yi Pan
Materials 2026, 19(5), 982; https://doi.org/10.3390/ma19050982 - 3 Mar 2026
Viewed by 241
Abstract
Polycrystalline diamond (PCD) compacts are extensively applied in downhole drilling tools owing to their exceptional hardness and wear resistance. However, their tribological performance is strongly influenced by the thermal and chemical characteristics of drilling fluids. In this study, the coupled effects of temperature [...] Read more.
Polycrystalline diamond (PCD) compacts are extensively applied in downhole drilling tools owing to their exceptional hardness and wear resistance. However, their tribological performance is strongly influenced by the thermal and chemical characteristics of drilling fluids. In this study, the coupled effects of temperature (25–125 °C) and oil–water ratio on the tribological behavior of PCD were systematically investigated. The results indicate that under relatively high oil–water ratios (50:50, 80:20, and 100:0), both the friction coefficient and wear rate increase monotonically with temperature, which is associated with intensified interfacial thermal stress and suppressed formation of protective carbon-based transfer films. In contrast, at low oil–water ratios (0:100 and 20:80), the friction coefficient exhibits a non-monotonic dependence on temperature, decreasing initially and then increasing with a transition near 100 °C. This behavior is attributed to temperature-activated surface passivation through C-OH bond formation in water-rich environments, followed by the deterioration of passivation due to water evaporation at elevated temperatures. These findings provide insight into temperature-dependent lubrication regime transitions and tribo-chemical evolution of PCD in complex drilling fluid environments. Full article
(This article belongs to the Section Advanced Materials Characterization)
Show Figures

Graphical abstract

18 pages, 35337 KB  
Article
Novel Approach for the Fabrication of Composite Rocket Propellant: Increased Homogeneity and Its Influence on SRP Behaviour
by Kinga Janowska, Marcin Procek, Tymon Warski, Mateusz Polis, Agnieszka Stolarczyk and Lukasz Hawelek
Materials 2026, 19(5), 979; https://doi.org/10.3390/ma19050979 - 3 Mar 2026
Viewed by 225
Abstract
In this study, the feasibility of electrospraying as an alternative processing technique for the preparation of composite solid rocket propellants (SRPs) was investigated. The main objective was to improve microstructural homogeneity and interfacial contact between the oxidizer, energetic additive, and metallic fuel without [...] Read more.
In this study, the feasibility of electrospraying as an alternative processing technique for the preparation of composite solid rocket propellants (SRPs) was investigated. The main objective was to improve microstructural homogeneity and interfacial contact between the oxidizer, energetic additive, and metallic fuel without altering the chemical composition of the formulation. Additionally, porous electrosprayed SRP formulations were prepared to examine the influence of controlled porosity on thermal decomposition behavior. The prepared materials were characterized using scanning electron microscopy combined with energy-dispersive X-ray spectroscopy (SEM/EDS) to assess microstructural features and component distribution. Thermal decomposition behavior and kinetic parameters were evaluated using simultaneous DSC/TG analysis conducted at multiple heating rates. Safety-related properties were assessed through friction sensitivity testing, while post-decomposition solid residues were analyzed using SEM/EDS and X-ray diffraction. The results show that electrospraying improves structural homogeneity, reduces solid residue formation after thermal decomposition, and decreases apparent activation energy, while maintaining unchanged friction sensitivity. These findings demonstrate the potential of electrospraying as a physical processing route for tailoring the microstructure and thermal behavior of composite solid rocket propellants. Full article
Show Figures

Graphical abstract

77 pages, 14413 KB  
Review
Welding Techniques and Microstructural Control for Dissimilar Cu/Al Joints
by Dong Jin, Juan Pu, Xiaohui Shi, Xiangping Xu, Zhaoqi Zhang and Fei Long
Crystals 2026, 16(3), 172; https://doi.org/10.3390/cryst16030172 - 2 Mar 2026
Viewed by 405
Abstract
Welding copper (Cu) and aluminum (Al) is highly demanded for lightweight and cost-effective manufacturing. However, it faces significant challenges. First, substantial differences in physical properties may lead to high residual stresses and distortion. Second, brittle intermetallic compounds (IMCs) readily form at the interface, [...] Read more.
Welding copper (Cu) and aluminum (Al) is highly demanded for lightweight and cost-effective manufacturing. However, it faces significant challenges. First, substantial differences in physical properties may lead to high residual stresses and distortion. Second, brittle intermetallic compounds (IMCs) readily form at the interface, severely compromising the joint’s mechanical properties and electrical conductivity. Third, the native oxide film on Al impedes effective wetting and bonding. Therefore, effective control over the interfacial microstructure of the welded joint is essential. This review provides a critical analysis and comparison of several typical welding techniques, including laser welding (LW), friction stir welding (FSW), ultrasonic welding (UW), brazing and soldering, and welding–brazing. These analyses focus on their process characteristics, joint microstructures, and corresponding formation mechanisms. Furthermore, this review synthesizes key strategies for enhancing joint quality, including process parameter optimization, introduction of functional interlayers, and external assistance, aimed at optimizing joint microstructure and minimizing defects. Based on the analysis, this work provides comparative insights into process selection and microstructure control, and highlights future directions: advancing novel methods such as magnetic pulse welding and transient liquid phase bonding; developing intelligent real-time process control to suppress brittle IMCs and associated defects; promoting sustainable practices and establishing standardized performance evaluation; and systematically investigating long-term reliability to support the industrial application of robust Cu/Al joints. Full article
(This article belongs to the Special Issue Surface Modification Treatments of Metallic Materials (2nd Edition))
Show Figures

Figure 1

20 pages, 9428 KB  
Article
Octa(3,3,3-Trifluoropropyl) Polyhedral Oligomeric Silsesquioxane (8F-POSS) as a Multifunctional Modifier for Natural Rubber: Hydrogen-Bond Pattern and Network Reinforcement
by Fan Yi, Wenjing Guo, Rentong Yu and Jianhe Liao
Int. J. Mol. Sci. 2026, 27(5), 2261; https://doi.org/10.3390/ijms27052261 - 27 Feb 2026
Viewed by 217
Abstract
Octa(3,3,3-trifluoropropyl) polyhedral oligomeric silsesquioxane (8F-POSS) was synthesized via a vertex-capping method and incorporated into natural rubber (NR) and deproteinized natural rubber (DPNR) to fabricate inorganic–organic vulcanizates. Curing characteristics, crosslink density, and the filler–rubber interaction parameter (α) were evaluated. We found that 8F-POSS retarded [...] Read more.
Octa(3,3,3-trifluoropropyl) polyhedral oligomeric silsesquioxane (8F-POSS) was synthesized via a vertex-capping method and incorporated into natural rubber (NR) and deproteinized natural rubber (DPNR) to fabricate inorganic–organic vulcanizates. Curing characteristics, crosslink density, and the filler–rubber interaction parameter (α) were evaluated. We found that 8F-POSS retarded vulcanization kinetics but eventually enhanced network integrity. Two-dimensional infrared (2D-IR) spectroscopy indicated a hydrogen-bond shielding effect between siloxane cages and protein hydroxyl groups in NR. This interaction governed morphology development: proteins in NR acted as compatibilizers to improve initial POSS dispersion, though at high loadings they compromised reinforcement efficiency (α fell from 18.12 to 9.04). In contrast, DPNR vulcanizates showed stronger direct filler–rubber interactions, with higher α values (25.66–35.58) and a more constrained physical network. Despite a denser physical network, the 8F-POSS cages increased fractional free volume and promoted interfacial frictional slippage, leading to a synergistic “reinforcement–dissipation” effect. As a consequence, 8F-POSS/DPNR vulcanizates exhibited an enhanced damping performance (e.g., a loss factor of 1.26) alongside a depressed Tg, reduced equilibrium swelling in oil from 324% to 147%, high hydrophobicity (water contact angle above 120°), and distinctive multi-stage thermal stability. These findings demonstrate a strategy to manipulate the protein network in NR using nanoscale hybrid fillers for the design of high-performance vulcanizates. Full article
Show Figures

Figure 1

12 pages, 1239 KB  
Article
Study on the Effect of CTBN and h-BN Synergistic Toughening on the Damping Properties of Carbon-Fiber-Reinforced Epoxy Composites
by Wei Wang, Xueping Gao, Zhimin Li, Yishi Wang and Bo Zhu
Polymers 2026, 18(5), 578; https://doi.org/10.3390/polym18050578 - 27 Feb 2026
Viewed by 233
Abstract
Carbon-fiber-reinforced polymer (CFRP) composites possess outstanding specific stiffness and strength but typically exhibit low intrinsic damping, which limits vibration attenuation in lightweight dynamic structures. Herein, a hybrid toughening strategy combining carboxyl-terminated butadiene nitrile rubber (CTBN) and hexagonal boron nitride (h-BN) is developed to [...] Read more.
Carbon-fiber-reinforced polymer (CFRP) composites possess outstanding specific stiffness and strength but typically exhibit low intrinsic damping, which limits vibration attenuation in lightweight dynamic structures. Herein, a hybrid toughening strategy combining carboxyl-terminated butadiene nitrile rubber (CTBN) and hexagonal boron nitride (h-BN) is developed to enhance the damping of CFRP laminates while preserving cure feasibility and thermomechanical stability. An E51/DICY/accelerator epoxy system (100:6.5:1.2, mass ratio) is used as the baseline matrix. Differential scanning calorimetry shows that both CTBN and h-BN shift the cure peak temperature upward (Tp: 160.6 → 170.3 °C) and reduce the reaction enthalpy (ΔH: 386.5 → 255.1 J/g), indicating dilution/transport effects and altered cure kinetics. Dynamic mechanical analysis (DMA) reveals that CTBN exhibits an optimum damping enhancement at 25 phr (tan δ_max = 0.300), whereas h-BN provides a stronger monotonic increase up to 25 phr (tan δ_max = 0.437). Notably, the CTBN/h-BN hybrid (25/25 phr) delivers a high tan δ_max of 0.468 together with the broadest effective damping window (ΔT_half = 28.6 °C), exceeding 85% of the linear additivity criterion proposed herein. When the materials are transferred into CFRP laminates, free-vibration tests (using the logarithmic decrement method) demonstrate a clear structural damping improvement (ζ: 0.021 → 0.035; δ: 0.132 → 0.221; t1/2: 0.48 → 0.27 s). Overall, the results suggest that the damping enhancement arises from a combination of EPBN-mediated ductile energy dissipation and h-BN-related interfacial/interlayer frictional losses, which can be jointly tuned to balance processability, thermal response, and damping performance in CFRPs. Full article
(This article belongs to the Section Polymer Analysis and Characterization)
Show Figures

Figure 1

27 pages, 10852 KB  
Article
Microstructure Evolution and Wear Resistance of TiC-Reinforced H13 Alloy Coatings Fabricated by Laser Cladding on H13 Steel
by Xu Jiang, Shan Gao, Xintian Zhao, Hongyu Zheng, Yongling Wu, Xiaoli Cui and Zongshen Wang
Metals 2026, 16(3), 258; https://doi.org/10.3390/met16030258 - 26 Feb 2026
Viewed by 271
Abstract
With the growing demand for high-performance die materials under harsh service conditions, the development of composite coatings with enhanced hardness and wear resistance has attracted significant attention. In this study, homogeneous laser cladding was employed to fabricate H13 alloy coatings reinforced with varying [...] Read more.
With the growing demand for high-performance die materials under harsh service conditions, the development of composite coatings with enhanced hardness and wear resistance has attracted significant attention. In this study, homogeneous laser cladding was employed to fabricate H13 alloy coatings reinforced with varying TiC contents (0, 10, 20, and 30 in wt.%) on H13 steel, which minimizes compositional segregation and ensures strong metallurgical bonding. TiC particles acted as heterogeneous nucleation sites during solidification, refining the microstructure and enhancing phase stability. The coatings consisted of initial TiC residues, newly formed primary and eutectic TiC, as well as austenite and martensite phases. With increasing TiC addition, TiC morphology evolved from fine particles to complex fishbone-like and polygonal structures. The coating containing 30% TiC achieved the highest hardness of 1095.9 HV0.5, approximately five times that of the as-annealed H13 steel substrate while the 20% TiC coating exhibited optimal high-temperature wear resistance. Under the sliding conditions at 600 °C, the friction coefficient decreased from 0.467 for the substrate to 0.367 for the 20% TiC coating, accompanied by a remarkable reduction in wear rate from 27.45 × 10−4 mm3 N−1 m−1 to 4.32 × 10−4 mm3 N−1 m−1. The superior performance was attributed to the multiscale TiC reinforcement mechanism: initial TiC promoted grain refinement and strong interfacial bonding, in situ formed primary TiC induced lattice distortion and dislocation strengthening, and eutectic TiC reinforced grain boundaries, jointly enhancing hardness, thermal stability, and wear resistance. Full article
Show Figures

Figure 1

19 pages, 2045 KB  
Article
Mechanical Behavior and Modeling of Polypropylene Fiber-Reinforced Cemented Tailings Interface with Granite Under Shear Loading: Effects of Roughness and Curing Time
by Xiangqian Xu, Yabiao Li and Rui Liang
Buildings 2026, 16(5), 913; https://doi.org/10.3390/buildings16050913 - 25 Feb 2026
Viewed by 156
Abstract
Cemented paste backfill (CPB) is widely adopted in underground mines, where the shear resistance of the CPB–rock interface critically governs the integrity of backfill–rock systems. This study investigates the effects of polypropylene fiber reinforcement, surface roughness (Joint Roughness Coefficient, JRC = 0 and [...] Read more.
Cemented paste backfill (CPB) is widely adopted in underground mines, where the shear resistance of the CPB–rock interface critically governs the integrity of backfill–rock systems. This study investigates the effects of polypropylene fiber reinforcement, surface roughness (Joint Roughness Coefficient, JRC = 0 and 1.76), and curing time (1, 3, and 7 days) on the shear strength and deformation characteristics of CPB–rock interfaces. Direct shear tests were performed under normal stresses of 50, 100, and 150 kPa, with synchronous measurements of shear and vertical displacements. Results show that increasing roughness markedly strengthens the interface, with the peak shear stress rising by up to 45% due to enhanced mechanical interlocking and dilation. In contrast, adding 0.5 vol.% PP fibers slightly reduces peak shear capacity but consistently improves post-peak deformability, indicating a transition from brittle interfacial fracture to a more ductile, progressive failure mode. A three-stage mechanical model was established to describe the shear stress–displacement relationship, incorporating elastic, bond degradation, and frictional sliding phases. The model parameters, including the shear stiffness (Ks), bond degradation coefficient (η), and residual strength (τr), were calibrated using the experimental data. Mohr–Coulomb analysis further quantifies the curing-dependent evolution of interfacial strength parameters, highlighting a marked increase in cohesion from 1 to 7 days alongside roughness-governed peak strengthening. This research provides insights into the optimization of the CPB–rock interface design for enhanced geomechanical performance in underground applications. Full article
Show Figures

Figure 1

19 pages, 2646 KB  
Article
Study on Mechanism of Soil Displacement Effect in Large-Diameter PHC Pipe Piles
by Chenghu Yin, Jianqing Bu and Chuanyi Sui
Appl. Sci. 2026, 16(5), 2197; https://doi.org/10.3390/app16052197 - 25 Feb 2026
Viewed by 188
Abstract
In order to investigate the soil displacement effects and penetration resistance mechanisms of large-diameter PHC pipe piles (1200 mm) in complex railway geology, a tripartite framework combining field tests, theoretical analysis, and numerical simulations was established based on the Xiong’an–BDA Express Line project. [...] Read more.
In order to investigate the soil displacement effects and penetration resistance mechanisms of large-diameter PHC pipe piles (1200 mm) in complex railway geology, a tripartite framework combining field tests, theoretical analysis, and numerical simulations was established based on the Xiong’an–BDA Express Line project. A coupled discrete–continuum analysis using the Coupled Eulerian–Lagrangian (CEL) method was conducted to model the large-deformation process of pile driving in soft clay and stratified layers. The results indicate that the installation process induces a “squeezing effect” that critically enhances pile–soil interfacial friction. The theoretical analysis incorporating the extended Lade–Duncan yield criterion significantly improved prediction accuracy, reducing the relative error of side friction from 22% (using the Mohr–Coulomb model) to 5%. Furthermore, the CEL simulation demonstrated high reliability in predicting deep-depth friction and pile tip resistance, effectively capturing the stress redistribution in complex strata. Therefore, the combined application of pre-drilling and large-diameter piles is recommended for deformation-sensitive infrastructure, and the proposed validated framework offers practical guidance for design optimization and parameter selection in similar geological conditions. Full article
(This article belongs to the Special Issue Recent Advances in Pile Foundation Engineering)
Show Figures

Figure 1

Back to TopTop