Sign in to use this feature.

Years

Between: -

Subjects

remove_circle_outline
remove_circle_outline
remove_circle_outline
remove_circle_outline
remove_circle_outline
remove_circle_outline
remove_circle_outline
remove_circle_outline
remove_circle_outline

Journals

remove_circle_outline
remove_circle_outline
remove_circle_outline
remove_circle_outline
remove_circle_outline
remove_circle_outline
remove_circle_outline
remove_circle_outline
remove_circle_outline
remove_circle_outline
remove_circle_outline
remove_circle_outline
remove_circle_outline

Article Types

Countries / Regions

remove_circle_outline
remove_circle_outline
remove_circle_outline
remove_circle_outline
remove_circle_outline

Search Results (2,399)

Search Parameters:
Keywords = integrated multi-source data

Order results
Result details
Results per page
Select all
Export citation of selected articles as:
19 pages, 8496 KB  
Article
Early Identification of Rainfall-Induced Landslides in Rural Cut-Slope Construction Under Extreme Rainfall: A Case Study of Fujian Province, China
by Xuefeng Tang, Kan Liu, Wenkai Feng, Yixin Yang, Yuping Zhang, Junze Weng and Wei Huang
Water 2026, 18(4), 460; https://doi.org/10.3390/w18040460 - 10 Feb 2026
Abstract
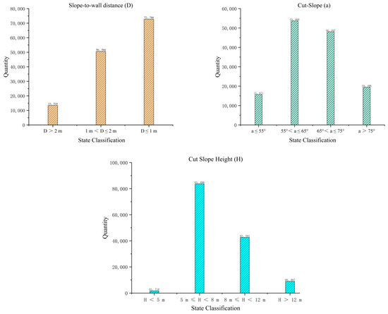
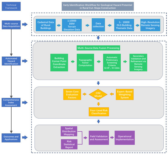
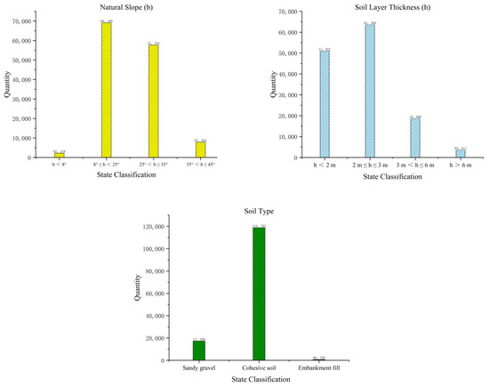
Rural cut-slope construction constitutes a typical trigger of geological hazards in mountainous regions of developing countries, a risk exacerbated under climate change with the increased frequency and intensity of extreme rainfall events. This study developed an early identification framework for assessing landslide hazard [...] Read more.
Rural cut-slope construction constitutes a typical trigger of geological hazards in mountainous regions of developing countries, a risk exacerbated under climate change with the increased frequency and intensity of extreme rainfall events. This study developed an early identification framework for assessing landslide hazard potential associated with such construction, based on the Comprehensive Index Method (CIM). Using Fujian Province, China, as a case study, seven core influencing factors—including slope-wall distance, cut-slope height, and slope gradient—were selected to establish a differentiated weighting system. By integrating multi-source geospatial data, the framework enables automatic identification of potential hazards and risk classification. Results indicate that of the more than 144,000 potential hazard sites identified across the province, 21.20% were classified as medium-risk or higher-risk. High-risk sites display marked spatial clustering, predominantly located in inland counties of northwestern, central, and western Fujian, characterized by steep topography, frequent cut-slope activities, and extensively distributed clay soil layers—conditions highly sensitive to rainfall infiltration. Structural parameter analysis reveals that the vast majority of potential hazard sites exhibit typical engineering geological characteristics, including narrow slope-wall distance, steep cut-slope gradients, and moderate cut-slope height, collectively increasing the susceptibility to rainfall-induced instability. Validation based on two heavy rainfall events in 2024 (Super Typhoon Gaemi and the 9 June Wuping-Shanghang event) yielded identification match rates of 91.8% and 79.98%, respectively, with Kappa coefficients of 0.85 and 0.72, confirming the reliability and practical applicability of the method under extreme weather scenarios. The proposed framework offers valuable support for regional landslide prevention and climate adaptation planning in the context of ongoing climate change. Full article
(This article belongs to the Special Issue Climate Change Impacts on Landslide Activity)
Show Figures

Figure 1

21 pages, 10777 KB  
Article
Preservation and Management of Historic Gardens Using LIM Technology: The Case of Shuangxi Villa in Guangzhou
by Wei Gao, Ruisheng Liu, Mouqi Liao and Shengjie Hu
Buildings 2026, 16(4), 718; https://doi.org/10.3390/buildings16040718 (registering DOI) - 10 Feb 2026
Abstract
Focusing on the digital preservation and management of Lingnan modern historical gardens, this study proposes and practices a full-process framework of landscape information modeling (LIM), integrating multi-source data collection, information integration and business collaboration in view of the three major challenges of insufficient [...] Read more.
Focusing on the digital preservation and management of Lingnan modern historical gardens, this study proposes and practices a full-process framework of landscape information modeling (LIM), integrating multi-source data collection, information integration and business collaboration in view of the three major challenges of insufficient overall records, regional information integration difficulties, and disconnection between digitalization and management practice. Its innovation lies in the fusion of ground/handheld laser scanning and 3D Gaussian splash technology to cope with the complex environment of buildings, vegetation and topography, and achieve high-precision interpretation of modern historical garden elements in Lingnan for the first time. On this basis, The study established the first regional heritage information platform integrating a cloud-based information management system with a game engine, incorporating local protection rules. In this study, application modules such as preventive preservation, emergency response, and assessment and repair for daily management are further developed, and the synergy between technical capabilities and management needs is initially realized. On the practical surface, the framework achievements realize the analysis of complex historical garden elements and control the accuracy within 4 mm, and the platform effectively integrates 5 types of multi-source data and connects the link from data to management. This study provides a set of reusable digital preservation and management methodologies for the sustainable protection and refined management of Lingnan and even similar historical gardens. Full article
(This article belongs to the Section Construction Management, and Computers & Digitization)
Show Figures

Figure 1

23 pages, 4890 KB  
Article
Strategic Modeling of Hybrid Smart Micro Energy Communities: A Decision-Oriented Approach
by Helena M. Ramos, Alex Erdfarb, Isil Demircan, Kemal Koca, Aonghus McNabola, Oscar E. Coronado-Hernández and Modesto Pérez-Sánchez
Urban Sci. 2026, 10(2), 107; https://doi.org/10.3390/urbansci10020107 - 10 Feb 2026
Abstract
Hybrid renewable energy systems are increasingly important for enabling sustainable and resilient energy supply in rural smart communities, yet existing tools often lack the ability to integrate environmental variability, multi-technology interactions, and economic–environmental assessment in a unified framework. This study presents Hybrid Smart [...] Read more.
Hybrid renewable energy systems are increasingly important for enabling sustainable and resilient energy supply in rural smart communities, yet existing tools often lack the ability to integrate environmental variability, multi-technology interactions, and economic–environmental assessment in a unified framework. This study presents Hybrid Smart Micro Energy Community (HySMEC), a novel modeling approach that combines high-resolution meteorological data, technology-specific generation models, detailed demand characterization, and financial analysis to evaluate hybrid configurations of hydropower, solar PV, wind, battery storage, and grid interaction. Hourly simulations capture seasonal dynamics and system behavior under realistic technical efficiencies, investment costs, and emission factors, enabling a transparent assessment of energy flows, self-consumption, and grid dependence. The results show that hybrid systems can achieve competitive economic performance, low Levelized Costs of Energy, and significant CO2 emission reductions across diverse rural community profiles, even when space or demand constraints are present. The analysis confirms the technical feasibility and environmental benefits of integrating multiple renewable sources with storage, highlighting the importance of self-consumption ratios in improving system profitability. Overall, HySMEC provides a robust and scalable tool to support data-driven design and optimization of distributed energy systems, offering valuable insights for researchers, planners, and decision-makers involved in sustainable rural energy development. Full article
(This article belongs to the Special Issue Low-Carbon Buildings and Sustainable Cities)
Show Figures

Figure 1

21 pages, 1262 KB  
Article
A Data-Driven Multi-Scale Source–Grid–Load–Storage Collaborative Dispatching Method for Distribution Systems
by Wenbiao Xia, Xin Chen, Fuguo Jin, Lu Li, Meizhu Lu, Zhuo Yang and Ning Yan
Processes 2026, 14(4), 603; https://doi.org/10.3390/pr14040603 - 9 Feb 2026
Abstract
Currently, distribution system scheduling faces significant uncertainty and dynamic complexity due to the large-scale integration of diverse heterogeneous entities, while conventional approaches suffer from limited capability in modeling user behavior responses and ensuring dispatch accuracy, making them inadequate for source–grid–load–storage collaborative optimization. To [...] Read more.
Currently, distribution system scheduling faces significant uncertainty and dynamic complexity due to the large-scale integration of diverse heterogeneous entities, while conventional approaches suffer from limited capability in modeling user behavior responses and ensuring dispatch accuracy, making them inadequate for source–grid–load–storage collaborative optimization. To address this, this paper proposes a data-driven multi-scale coordinated scheduling method for distribution systems, in which distributed generation outputs, load responses, and energy storage states are extracted and modeled using an improved exponential smoothing technique; a hierarchical and time-divided optimization framework is then developed by combining machine learning and probabilistic modeling with spatial correlation analysis to enhance renewable generation and load forecasting accuracy; and finally, a two-stage robust optimization model considering scenario uncertainties is established through typical scenario generation and uncertainty set constraints to achieve dispatch strategies that balance economic efficiency and low-carbon objectives and supply reliability under fluctuating renewable outputs and dynamic load variations. Simulation results demonstrate that the proposed method reduces total operating cost by 16.4%, decreases carbon emissions by 10.7%, and lowers electricity purchase fluctuation by 8.75%, thereby significantly enhancing system flexibility and adaptability to renewable energy uncertainties and providing a novel pathway for the development of active and intelligent distribution systems. Full article
28 pages, 31546 KB  
Article
Multiscale Cartographic Integration for Exploring and Predicting Critical Raw Materials in Coastal Placers of the Rías Baixas (NW Spain)
by Wai L. Ng-Cutipa, Francisco Javier González, Ana Lobato, Teresa Medialdea, Luis Somoza, Esther Boixereu, Georgios P. Georgalas, Irene Zananiri, Rubén Piña and Ana Claudia Teodoro
Appl. Sci. 2026, 16(4), 1724; https://doi.org/10.3390/app16041724 - 9 Feb 2026
Abstract
The exploration of coastal placer deposits, often enriched in critical raw materials demanded by industry, is significantly challenged by the dynamic marine environment and by the limited research devoted to developing dedicated exploration methodologies. This study presents the first systematic integration of multi-source [...] Read more.
The exploration of coastal placer deposits, often enriched in critical raw materials demanded by industry, is significantly challenged by the dynamic marine environment and by the limited research devoted to developing dedicated exploration methodologies. This study presents the first systematic integration of multi-source geospatial data in the Rías Baixas for placer mineral prediction in the initial exploratory stage of these deposits. The primary objective is to investigate the presence of Titanium (ilmenite, and rutile), Zirconium (zircon), and Rare Earth Element (REE)-bearing minerals (monazite, xenotime, allanite, and garnets) in Rías Baixas (NW Spain). The methodology includes a lithological reclassification and the generalization of coastal types. These features are then integrated with watershed, coastline dynamics, and mineral occurrence data. Validation includes existing semi-quantitative and qualitative mineral identification data, and new field observations of heavy mineral accumulations. This integration allowed us to identify nine potential and ten predictive areas with a high probability of hosting coastal placers. The validation process showed a 79% spatial correlation, confirming a significant heavy mineral accumulation in 15 areas. This work underscores the efficacy of integrated cartography in prioritizing potential and predictive areas during the crucial first stage of mineral exploration. The methodology can be further enhanced by incorporating additional data, such as stream sediment geochemistry and the application of remote sensing techniques. Full article
(This article belongs to the Special Issue Development and Challenges in Marine Geology)
Show Figures

Figure 1

24 pages, 38600 KB  
Article
Evaluation of Convenience of 15-Minute Community Life Circle Facilities and Analysis of Non-Linear Influencing Variables from the Perspective of Aging: A Case Study of Shenyang
by Chang Lyu, Li Li, Jin Zhang, Zijing Wang and Yanpeng Gao
Land 2026, 15(2), 285; https://doi.org/10.3390/land15020285 - 9 Feb 2026
Abstract
Amid rapid global population aging, developing age-friendly urban spaces centered on the “15-minute community life circle” has become a priority in planning research. Taking Shenhe District of Shenyang City, a region undergoing deep aging, as a case study, this research constructs a facility [...] Read more.
Amid rapid global population aging, developing age-friendly urban spaces centered on the “15-minute community life circle” has become a priority in planning research. Taking Shenhe District of Shenyang City, a region undergoing deep aging, as a case study, this research constructs a facility weighting system reflecting the actual needs of the elderly. Integrating multi-source spatial data, the XGBoost model and SHAP framework were applied to analyze the non-linear effects of socio-economic, functional, and land-use factors on facility convenience. Results indicate that: (1) facility convenience exhibits a distinct “west-high, east-low” spatial pattern, characterized by high agglomeration in the western core and significant deficits in the eastern fringe; (2) convenience levels vary across categories, with medical and health facilities showing the highest accessibility, while cultural and leisure (CALFs), life service, and elderly care service facilities (ECSFs) remain the primary deficiencies; and (3) influencing variables demonstrate complex non-linear mechanisms, wherein functional density and distance from the city center are critical drivers with non-monotonic effects, while road network density displays threshold effects, inhibiting ECSFs and CALFs at high densities. These findings provide a refined, quantitative basis for optimizing facility layouts and formulating urban renewal strategies to build age-friendly communities. Full article
Show Figures

Figure 1

22 pages, 4092 KB  
Article
Vertical-UNet: A Deep Learning Framework for Vertical Structure Classification of Precipitation Clouds Using Multi-Source Satellite Data
by Shixue Wang, Chengyu Hou, Hailong Hou, Xin Wen, Changyuan Fan, Danhong Fu and Peiyang Wei
Electronics 2026, 15(4), 733; https://doi.org/10.3390/electronics15040733 - 9 Feb 2026
Abstract
The classification of precipitation clouds, particularly the identification of severe convective clouds, is of paramount importance for meteorological forecasting and disaster warning systems. Current precipitation cloud observations typically rely on either standalone satellites or ground-based meteorological stations conducting horizontal-layer detection, yet these methods [...] Read more.
The classification of precipitation clouds, particularly the identification of severe convective clouds, is of paramount importance for meteorological forecasting and disaster warning systems. Current precipitation cloud observations typically rely on either standalone satellites or ground-based meteorological stations conducting horizontal-layer detection, yet these methods suffer from limitations such as restricted detection ranges and single-source observation. Therefore, this paper employs multi-source satellite data to construct a vertically structured cloud-precipitation dataset. This dataset comprises four categories: clear skies, non-precipitating clouds, general precipitation clouds, and severe convective clouds. A self-developed DFConv attention mechanism is integrated into the UNet network framework to build the Vertical-UNet model for identifying precipitation cloud types within vertical structures. Experimental results demonstrate that Vertical-UNet achieves favorable performance in precipitation cloud classification using the vertical-structure precipitation cloud dataset. The probability of detection (POD) for precipitation clouds reaches 94.54%. The POD for severe convective clouds reached 87.29%, indicating an improvement of 19.9% compared to the CNN model and 17.04% compared to the UNet model. This conclusively validates the model’s efficacy and establishes a foundation for detecting vertically structured precipitation clouds from diverse satellites in future research. Full article
Show Figures

Figure 1

30 pages, 13276 KB  
Article
Assessment of Eco-Geological Vulnerability Using Multiple Machine Learning Models: A Case Study of the Three Gorges Reservoir Area, China
by Zongwang Yi, Hong Liu, Zhiwen Tian, Yu Guo, Hui Liu, Jinzheng Zhang, Zekun Wu, Yue Su, Hang Luo and Hao Chen
Sustainability 2026, 18(4), 1758; https://doi.org/10.3390/su18041758 - 9 Feb 2026
Abstract
Precise assessment of the vulnerability characteristics of human–land systems is es-sential for ensuring ecological security and sustainable development in regions affected by large-scale engineering projects. Using the Three Gorges Reservoir Area as a case study, this research develops a comprehensive evaluation index system [...] Read more.
Precise assessment of the vulnerability characteristics of human–land systems is es-sential for ensuring ecological security and sustainable development in regions affected by large-scale engineering projects. Using the Three Gorges Reservoir Area as a case study, this research develops a comprehensive evaluation index system based on a coupled framework of “Geo-environmental Background—Ecosystem Structure—Anthropogenic Perturbation.” By integrating deep neural networks (DNN), convolutional neural networks (CNN), and the analytic hierarchy process (AHP) with multi-source data, we perform a thorough assessment of eco-geological vulnerability. The results reveal the following key findings: (1) In eco-geological vulnerability assessment, deep learning methods (DNN and CNN) significantly outperform traditional AHP, with CNN showing superior precision and specificity due to its ability to extract local spatial features effectively, while DNN exhibits stronger overall robustness. (2) The spatial distribution of eco-geological vulnerability in the reservoir area is notably heterogeneous, with high and Extreme vulnerability zones concentrated along the main riverbanks, major tributary estuaries, and urban peripheries. These zones are strongly coupled with steep terrain, erodible lithology, high geological hazard risks, and intensive human activity. (3) Although the overall vulnerability remains relatively stable, local sensitivity is increasing. Ecological restoration projects in mountainous regions have effectively mitigated vulnerability in the hinterlands, while rapid urbanization has exacerbated vulnerability in emerging urban areas. The study concludes that the spatial pattern of vulnerability is primarily influenced by the geological–ecological background, with human disturbance—especially land use intensity—acting as the primary driver of vulnerability dynamics and local hotspots of high vulnerability. Based on these findings, we recommend a differentiated management approach tailored to eco-geological units: for high and extreme vulnerability zones along river and urban corridors, efforts should focus on spatial constraints and systemic resto-ration; for low and negligible vulnerability zones in mountainous areas, strategies should aim to enhance ecosystem quality and stability, thus fostering a coordinated regional ecological security framework. Full article
(This article belongs to the Topic Water-Soil Pollution Control and Environmental Management)
Show Figures

Figure 1

27 pages, 6342 KB  
Article
Delay-Adaptive Federated Filtering with Online Model Calibration for Deep Space Multi-Spacecraft Orbit Determination
by Meng Li, Yuanlin Zhang, Jing Kong, Xiaolan Huang, Kehua Shi, Ge Guo and Naiyang Xue
Aerospace 2026, 13(2), 160; https://doi.org/10.3390/aerospace13020160 - 9 Feb 2026
Abstract
Precise orbit determination for multi-spacecraft deep space missions faces challenges including long communication delays, sparse tracking, dynamic model uncertainties, and inefficient data fusion. Presenting a hybrid estimation architecture, this study integrates onboard autonomous navigation with ground-based batch processing of delayed measurements. The framework [...] Read more.
Precise orbit determination for multi-spacecraft deep space missions faces challenges including long communication delays, sparse tracking, dynamic model uncertainties, and inefficient data fusion. Presenting a hybrid estimation architecture, this study integrates onboard autonomous navigation with ground-based batch processing of delayed measurements. The framework makes three key contributions: (1) a delay-aware fusion paradigm that dynamically weights space- and ground-based observations according to real-time Earth–Mars latency (4–22 min); (2) a model-informed online calibration framework that jointly estimates and compensates dominant dynamic error sources, reducing model uncertainty by 60%; (3) a lightweight hierarchical architecture that balances accuracy and efficiency for resource-constrained “one-master-multiple-slave” formations. Validated through Tianwen-1 mission data replay and simulated Mars sample return scenarios, the method achieves absolute and relative orbit determination accuracies of 14.2 cm and 9.8 cm, respectively—an improvement of >50% over traditional centralized filters and a 30% enhancement over existing federated approaches. It maintains 20.3 cm accuracy during 10 min ground-link outages and shows robustness to initial errors >1000 m and significant model uncertainties. This study presents a robust framework applicable to future multi-agent deep space missions such as Mars sample return, asteroid reconnaissance, and cislunar navigation constellations. Full article
(This article belongs to the Special Issue Precise Orbit Determination of the Spacecraft)
Show Figures

Figure 1

26 pages, 3670 KB  
Article
Interannual Regime Shifts and Driver Thresholds of Terrestrial Ecosystem Vulnerability in Northwestern Sichuan of China Based on an XGBoost-SHAP Model
by Cuicui Jiao, Zonggui He, Juan Xu, Xiaobo Yi, Ji Luo and Ping Huang
Biology 2026, 15(4), 303; https://doi.org/10.3390/biology15040303 - 9 Feb 2026
Abstract
TENS constitutes a critical ecological barrier on the southeastern margin of the Qinghai–Tibet Plateau, providing essential services such as water conservation and biodiversity protection and helping to safeguard water security in the upper reaches of the Yangtze and Yellow Rivers. Thus, elucidating its [...] Read more.
TENS constitutes a critical ecological barrier on the southeastern margin of the Qinghai–Tibet Plateau, providing essential services such as water conservation and biodiversity protection and helping to safeguard water security in the upper reaches of the Yangtze and Yellow Rivers. Thus, elucidating its vulnerability dynamics is paramount for regional security. Integrating multi-source spatiotemporal data with an interpretable XGBoost–SHAP framework, we quantified interannual variation in vulnerability and the nonlinear threshold responses of key drivers. The results showed pronounced nonlinear phase changes in vulnerability, with 47.96% of the area experiencing abrupt shifts. Notably, 37.89% of TENS reversed from decreasing to increasing vulnerability. TENS underwent an intensive transition during 2010–2015. Interannual variability was dominated by the coupled influence of human disturbance, soil moisture, and atmospheric water, accounting for nearly 60% of the variation, and showed distinct thresholds. Grazing intensity < 0.90 SU/ha was a moderate disturbance, reducing vulnerability, but it became a stressor above this level. Soil moisture showed an inflection point at 79 mm, while vapor pressure deficit (VPD) < 0.39 kPa enhanced resilience, revising the view of VPD as solely a stress factor. Different ecosystems exhibited distinct driving mechanisms. Grasslands were controlled by shallow soil moisture and grazing, forests by hydrothermal balance, and wetlands by low-intensity anthropogenic disturbance (NTL as a proxy; e.g., tourism development or urban expansion). These findings highlight the risk of abrupt shifts in vulnerability regimes (turning points and trend reversals) and support management that emphasizes quality improvement and threshold-based risk management. Full article
Show Figures

Graphical abstract

21 pages, 5945 KB  
Article
A Multi-Tissue Yak (Bos grunniens) ceRNA Atlas with Ribo-Seq–Informed lncRNA Curation and Candidate Prioritization
by Zhenlin Zhu, Biao Li and Mingfeng Jiang
Animals 2026, 16(4), 532; https://doi.org/10.3390/ani16040532 - 8 Feb 2026
Viewed by 43
Abstract
The yak (Bos grunniens) thrives under chronic hypoxia and cold on the Qinghai–Tibet Plateau, yet a cross-tissue view of post-transcriptional regulation in this species remains limited. Here, we integrated multi-tissue RNA-seq and miRNA-seq data (tissues pooled from three Maiwa yaks) to [...] Read more.
The yak (Bos grunniens) thrives under chronic hypoxia and cold on the Qinghai–Tibet Plateau, yet a cross-tissue view of post-transcriptional regulation in this species remains limited. Here, we integrated multi-tissue RNA-seq and miRNA-seq data (tissues pooled from three Maiwa yaks) to construct and compare tissue-specific competing endogenous RNA (ceRNA) networks, while explicitly addressing a major source of false positives in ceRNA inference—misclassified lncRNA candidates with translational signatures. We cataloged 10,037 high-confidence lncRNAs (9360 non-redundant), 234 circRNAs, and 1030 miRNAs across six tissues. We then used Ribo-seq as an orthogonal quality-control layer to remove lncRNA candidates showing clear ribosome-association signals prior to network construction. Using a shared-target strategy (7mer-m8 seed matches; a ceRNA edge required ≥5 shared miRNAs), we assembled ceRNA networks for liver, lung, spleen, testis, and small intestine; skeletal muscle was excluded owing to insufficient Ribo-seq support for consistent filtering. Network topology varied substantially across tissues, with the testis network exhibiting the highest connectivity. ceRNA edges showed minimal overlap between tissues, indicating strong tissue dependence, whereas miRNA load/use profiles were moderately concordant, supporting a hierarchical conserved core—variable periphery organization. Importantly, the Ribo-seq–filtered lncRNA set provides a separate pool of ribosome-associated candidates for targeted follow-up, although ribosome association alone does not establish stable micropeptide production. Together, our results deliver a multi-tissue ceRNA resource and a reproducible, evidence-aware workflow for prioritizing candidate regulators while reducing annotation-driven false positives in yak. Full article
(This article belongs to the Section Cattle)
Show Figures

Figure 1

31 pages, 1980 KB  
Article
Trace Metal Contents of NIST 1634c and NIST 8505 Multi-Element Petroleum Reference Materials: Compilation of Published Data and New Results Evaluating Acid Digestion Procedure
by Emiliya Raeva, Lora Bidzhova, Gatien Morin and Svetoslav Georgiev
Geosciences 2026, 16(2), 74; https://doi.org/10.3390/geosciences16020074 - 8 Feb 2026
Viewed by 96
Abstract
Knowledge of the trace element contents of petroleum can improve crude oil exploration and refining and aid environmental studies. Analytical challenges prompt experimentation with various digestion methods and analytical techniques, but the assessment of the efficiency of applied methodologies is hindered by the [...] Read more.
Knowledge of the trace element contents of petroleum can improve crude oil exploration and refining and aid environmental studies. Analytical challenges prompt experimentation with various digestion methods and analytical techniques, but the assessment of the efficiency of applied methodologies is hindered by the scarcity of multi-element standard reference materials. In this study, NIST SRM 1634c residual fuel oil and NIST RM 8505 crude oil were subjected to (i) hotplate acid digestion and (ii) one, two or three cycles of microwave acid digestion, and analyzed by ICP-MS. Comparison with the few available certificate values shows optimum recoveries for both reference materials with two and three cycles of microwave digestion. Hotplate digestion can also efficiently decompose petroleum, although this procedure requires more time and reagents than the microwave digestion. To better characterize the trace element composition of the two reference materials for future use in the community, we integrate our new results with a comprehensive compilation of published trace element data for both petroleum samples. Finally, we show that the V/Ni and V/(V + Ni) ratios commonly used for oil–oil and oil–source rock correlations remain sufficiently close to the expected ratios even in cases of incomplete digestion with lower recoveries for both elements. Full article
Show Figures

Figure 1

20 pages, 622 KB  
Review
Machine Learning and Non-Invasive Monitoring Technologies for Training Load Management in Women’s Volleyball: A Scoping Review
by Héctor Gabriel Sanhueza Tapia, Frano Giakoni Ramirez, Josivaldo de Souza-Lima and Arturo Diaz Suarez
Sports 2026, 14(2), 74; https://doi.org/10.3390/sports14020074 - 7 Feb 2026
Viewed by 128
Abstract
Training load monitoring in women’s volleyball is a challenge for optimizing performance and mitigating injury risk. Non-invasive monitoring technologies and machine learning (ML) can support decision-making, but the evidence remains heterogeneous. This scoping review mapped and integrated the evidence on training load management, [...] Read more.
Training load monitoring in women’s volleyball is a challenge for optimizing performance and mitigating injury risk. Non-invasive monitoring technologies and machine learning (ML) can support decision-making, but the evidence remains heterogeneous. This scoping review mapped and integrated the evidence on training load management, fatigue, and performance in women’s volleyball and identified gaps. The PRISMA Extension for Scoping Reviews (PRISMA-ScR) and the Joanna Briggs Institute (JBI) framework were followed. A systematic search was conducted in Scopus, Web of Science, and PubMed, covering January 2020 to September 2025. We included studies in female players at any competitive level, including mixed-sex studies meeting a minimum threshold of female participation, that evaluated external and/or internal load, neuromuscular or perceptual fatigue, and/or performance, using standardized data extraction and narrative/thematic synthesis. Fifty-three studies were included. Inertial measurement units (IMUs), force platforms, heart rate (HR) and heart rate variability (HRV), wellness questionnaires, and global/local positioning systems (GPSs/LPSs) were most prevalent. External-load intensity indicators (e.g., high-intensity jumps and accelerations) were reported as more sensitive to fatigue-related changes than accumulated volume. Machine learning models were less frequent and were mainly applied to multi-source integration and fatigue/readiness prediction, with recurring limitations in external validation and interpretability. Women-specific biological moderators, such as the menstrual cycle, were rarely addressed. Full article
(This article belongs to the Special Issue Exercise Physiological Responses and Performance Analysis)
25 pages, 1336 KB  
Article
Construction and Reasoning Method of Knowledge Graph for Aircraft Skin Spraying Process
by Danyang Yu, Chengzhi Su, Huilin Tian, Wenyu Song, Yuxin Yue and Haifeng Bao
Processes 2026, 14(4), 581; https://doi.org/10.3390/pr14040581 - 7 Feb 2026
Viewed by 63
Abstract
To address the heavy reliance on experiential knowledge, fragmented multi-source information, and limited intelligence in decision-making for aircraft skin spraying processes, this paper proposes a knowledge reasoning method based on a knowledge graph. The authors construct a knowledge graph that integrates multi-structure ontology [...] Read more.
To address the heavy reliance on experiential knowledge, fragmented multi-source information, and limited intelligence in decision-making for aircraft skin spraying processes, this paper proposes a knowledge reasoning method based on a knowledge graph. The authors construct a knowledge graph that integrates multi-structure ontology and physical rule constraints. This graph systematically organizes and manages multi-dimensional knowledge, including painting object attributes, paint performance indicators, and spraying parameters. On this basis, a three-stage reasoning mechanism with multi-granularity semantic understanding, knowledge enhancement, feature fusion, and multi-constraint intelligent matching (MKM) is designed. The model can perform semantic analysis of the user’s fuzzy query, implicit knowledge completion, and dynamic subgraph matching, so as to give the aircraft skin spraying process plan that meets the constraints of safety, compatibility, and feasibility. The experimental results show that the proposed method is superior to the traditional case-based reasoning method, graph convolutional network method, and knowledge graph embedding method in the key evaluation indices of Hit@1, Hit@3, and MRR in the knowledge reasoning task of aircraft skin spraying process. It also has good robustness and promotion value when data are scarce and parameters are uncertain. This study provides a feasible method of intelligent management and dynamic decision-making in terms of aircraft skin spraying process knowledge, and may be applied to other manufacturing fields. Full article
(This article belongs to the Section AI-Enabled Process Engineering)
25 pages, 18810 KB  
Article
Application of the Two-Layer Regularized Gated Recurrent Unit (TLR-GRU) Model Enhanced by Sliding Window Features in Water Quality Parameter Prediction
by Xianhe Wang, Meiqi Liu, Ying Li, Adriano Tavares, Weidong Huang and Yanchun Liang
Entropy 2026, 28(2), 186; https://doi.org/10.3390/e28020186 - 6 Feb 2026
Viewed by 68
Abstract
Water quality monitoring is critical for public health, ecology, and economic sustainability, but traditional methods are limited by temporal-spatial coverage and cost, failing to meet real-time assessment needs. Deep learning for water quality prediction is often hindered by high complexity and noise in [...] Read more.
Water quality monitoring is critical for public health, ecology, and economic sustainability, but traditional methods are limited by temporal-spatial coverage and cost, failing to meet real-time assessment needs. Deep learning for water quality prediction is often hindered by high complexity and noise in raw time series. This study aims to address the high complexity and noise of hydrological time series by proposing a prediction framework integrating sliding window feature enhancement, principal component analysis (PCA), and a two-layer regularized gated recurrent unit (TLR-GRU). The core goal is to achieve high-precision real-time prediction of four key water quality parameters (dissolved oxygen (DO), ammonia nitrogen (NH3-N), total phosphorus (TP), and total nitrogen (TN)) for aquaculture and irrigation. Sample entropy (SampEn, m=2, r=0.2×std(X)), a univariate complexity metric capturing intra-series pattern repetition, quantifies time series regularity, showing sliding windows reduce SampEn by filtering transient noise while retaining ecological patterns. This optimization synergizes with TLR-GRU’s regularization (L2, Dropout) to avoid overfitting. A total of 4970 water quality records (2020–2023, 4 h sampling interval) were collected from a monitoring station in a typical aquaculture-irrigated water body. After dimensionality reduction via PCA, experimental results demonstrate that the TLR-GRU model outperforms six state-of-the-art deep learning models (e.g., TLD-LSTM, WaveNet) on both the base dataset and the sliding window-enhanced dataset. On the latter, DO and TP test set R2 rise from 0.82 to 0.93 and 0.81 to 0.92, with RMSE decreasing by 49.4% and 55.6%, respectively. This framework supports water resource management, applicable to rivers and lakes beyond aquaculture. Future work will optimize the model and integrate multi-source data. Full article
(This article belongs to the Special Issue Entropy in Machine Learning Applications, 2nd Edition)
Back to TopTop