Sign in to use this feature.

Years

Between: -

Subjects

remove_circle_outline
remove_circle_outline
remove_circle_outline
remove_circle_outline
remove_circle_outline
remove_circle_outline
remove_circle_outline
remove_circle_outline
remove_circle_outline

Journals

remove_circle_outline
remove_circle_outline
remove_circle_outline
remove_circle_outline
remove_circle_outline
remove_circle_outline
remove_circle_outline
remove_circle_outline
remove_circle_outline
remove_circle_outline
remove_circle_outline
remove_circle_outline
remove_circle_outline
remove_circle_outline
remove_circle_outline
remove_circle_outline
remove_circle_outline
remove_circle_outline
remove_circle_outline
remove_circle_outline
remove_circle_outline
remove_circle_outline
remove_circle_outline
remove_circle_outline
remove_circle_outline
remove_circle_outline
remove_circle_outline
remove_circle_outline

Article Types

Countries / Regions

remove_circle_outline
remove_circle_outline
remove_circle_outline
remove_circle_outline
remove_circle_outline
remove_circle_outline
remove_circle_outline
remove_circle_outline
remove_circle_outline
remove_circle_outline

Search Results (5,734)

Search Parameters:
Keywords = insulin level

Order results
Result details
Results per page
Select all
Export citation of selected articles as:
11 pages, 333 KB  
Article
The Involvement of Apoptosis Inhibitor of Macrophage in the Disease Severity of Primary Biliary Cholangitis
by Takashi Himoto, Erika Mori, Manami Tanimoto, Koji Fujita, Shima Mimura, Tomoko Tadokoro, Kyoko Oura, Joji Tani, Asahiro Morishita and Hideki Kobara
J. Clin. Med. 2026, 15(3), 1169; https://doi.org/10.3390/jcm15031169 - 2 Feb 2026
Abstract
Background: A protein called ‘apoptosis inhibitor of macrophage (AIM)’ is involved in the pathogenesis of obesity-associated disease. Although it is widely recognized that concurrent obesity affects the disease progression of chronic liver disease, as does concurrent type 2 diabetes mellitus (T2DM), the [...] Read more.
Background: A protein called ‘apoptosis inhibitor of macrophage (AIM)’ is involved in the pathogenesis of obesity-associated disease. Although it is widely recognized that concurrent obesity affects the disease progression of chronic liver disease, as does concurrent type 2 diabetes mellitus (T2DM), the involvement of AIM in the pathogenesis of obesity or insulin resistance is not yet understood in patients with primary biliary cholangitis (PBC). Methods: Obesity was defined as a body mass index (BMI) exceeding 25, and insulin resistance was defined as a homeostasis model assessment for insulin resistance (HOMA-IR) value exceeding 2.0, respectively. Hepatic steatosis was estimated based on the classification proposed by Brunt and colleagues. The histological stage was determined by Scheuer’s classification. Results: Twelve (25.0%) of the forty-eight PBC patients had concurrent obesity, and seven (14.6%) had concurrent T2DM. The PBC patients with obesity had significantly higher frequency of hepatic steatosis. Compared to the patients without T2DM, those with concurrent T2DM had significantly higher serum ALT levels and more advanced histological stages. The patients’ serum AIM levels were not associated with concurrent obesity or concurrent T2DM. Our analyses identified the following as the factors that significantly affected the patients’ AIM levels: serum immunoglobulin G, albumin, tumor necrosis factor-α levels, and the histological stages. Conclusions: These results indicate that AIM may not be involved in obesity or insulin resistance, but it may be associated with the disease severity of PBC. Full article
(This article belongs to the Section Gastroenterology & Hepatopancreatobiliary Medicine)
Show Figures

Figure 1

15 pages, 1632 KB  
Article
Acute Resistance Exercise Temporarily Reduces Circulating Adiponectin in Trained Young Men: A Pilot Study
by Luigi Marano, Marta Mallardo, Ersilia Nigro, Furqan Memon, Viktoriia Fylymonenko, Eleonora Martegani, Sara Missaglia, Ferdinando Cereda, Daniela Tavian and Aurora Daniele
Biomolecules 2026, 16(2), 229; https://doi.org/10.3390/biom16020229 - 2 Feb 2026
Abstract
Background: Adiponectin is an adipokine with insulin-sensitizing, anti-inflammatory, and cytoprotective properties that also plays a key role in metabolic adaptation to exercise. Although its regulation after resistance exercise has been extensively documented, less is known about its short-term modulation and its correlation with [...] Read more.
Background: Adiponectin is an adipokine with insulin-sensitizing, anti-inflammatory, and cytoprotective properties that also plays a key role in metabolic adaptation to exercise. Although its regulation after resistance exercise has been extensively documented, less is known about its short-term modulation and its correlation with muscle damage markers following resistance training. Methods: Nine resistance-trained young men completed two sessions of total-body resistance exercise: (1) high time under tension (TUT) (5-1-2-1 cadence, to failure; ETS1) and (2) moderate TUT (2-1-2-1 cadence, two repetitions in reserve; ETS2). Plasma and saliva samples were collected before exercise and at 15 min, 24 h, and 48 h after exercise to assess total adiponectin by ELISA. Plasma creatine kinase (CK) and a Visual Analog Scale (VAS) were also measured for muscle soreness. Results: Plasma adiponectin significantly decreased from baseline to 48 h post-exercise in both sessions (p < 0.001), with no differences between the TUT conditions. Salivary adiponectin remained unchanged. Although a significant increase in CK and a decrease in adiponectin were observed at the group level, correlation analysis revealed no significant linear relationship between the magnitude of CK elevation and adiponectin reduction. Conclusions: Overall, these findings support the role of adiponectin as a marker of acute metabolic adaptation to resistance exercise. Acute resistance exercise elicited a time-dependent decrease in circulating adiponectin, irrespective of TUT. The temporal pattern of adiponectin decrease coincided with the rise in muscle damage markers, yet the lack of direct correlation suggests distinct regulatory mechanisms, while the lack of salivary changes underscores the complexity of adipokine regulation in vivo and suggests that saliva is not a reliable indicator of changes in circulating adiponectin. Full article
Show Figures

Figure 1

24 pages, 433 KB  
Article
Adipo-Myokine Modulation in Obesity: Integrative Effects of Spinach Thylakoids and Functional Training in Men with Obesity: A Randomized Controlled Clinical Trial
by Omid Razi, Asrin Shafei, Mehri Abdi, Behnam Saeidi, Parvin Farzanegi, Nastaran Zamani, Maryam N. ALNasser, Keyvan Hejazi, Abdullah Almaqhawi, Ayoub Saeidi, Rashmi Supriya and Hassane Zouhal
Nutrients 2026, 18(3), 509; https://doi.org/10.3390/nu18030509 - 2 Feb 2026
Abstract
Objective: This study evaluated the effects of a 12-week High-Intensity Functional Training (HIFT) program combined with thylakoid supplementation on plasma adipo-myokine levels (Decorin, Myostatin, Follistatin, Activin A, and TGF-β1) in men with obesity. Secondary outcomes included anthropometric indices, lipid profiles, and insulin [...] Read more.
Objective: This study evaluated the effects of a 12-week High-Intensity Functional Training (HIFT) program combined with thylakoid supplementation on plasma adipo-myokine levels (Decorin, Myostatin, Follistatin, Activin A, and TGF-β1) in men with obesity. Secondary outcomes included anthropometric indices, lipid profiles, and insulin resistance markers. Methods: Sixty men with obesity (age: 27.6 ± 8.4 years; BMI: 32.6 ± 2.6 kg/m2) were randomly assigned to four groups (n = 15 per group): Placebo (PG), Supplement (SG), HIFT + placebo (TPG), and HIFT + supplement (TSG). To ensure robustness against the 27% attrition rate, statistical analyses included both per-protocol and intention-to-treat (ITT) models. HIFT was performed for 3 sessions/week (Borg scale: 15–17). Results: Following Bonferroni correction for multiple endpoints, repeated-measures ANOVA showed significant Time × Group interactions for most adipo-myokines and metabolic markers. Both training groups (TPG and TSG) demonstrated improvements in body composition and insulin sensitivity compared to PG (p < 0.05). While no significant differences were observed between TPG and TSG for systemic metabolic markers, preliminary data suggested that thylakoid supplementation might provide modest complementary modulations in specific myokines (e.g., decorin and follistatin). However, these observed trends did not reach clinical superiority over exercise alone in the broader metabolic profile. Conclusions: Twelve weeks of HIFT is an effective primary driver for modulating the adipo-myokine network in obese men. Although thylakoid supplementation showed potential for selective complementary effects on certain myokines, these findings are exploratory given the small sample size. The clinical significance and long-term complementary value of thylakoid-exercise interactions require further validation in larger, more diverse cohorts. Full article
(This article belongs to the Special Issue The Role of Nutritional Interventions and Exercise for Weight Loss)
Show Figures

Figure 1

21 pages, 3180 KB  
Article
Stress-Inducible Transcription Factor NUPR1 Is Involved in the Inhibitory Effects Exerted by Statins on Insulin Action in ER-Positive Breast Cancer Cells
by Domenica Scordamaglia, Azzurra Zicarelli, Francesca Cirillo, Marianna Talia, Ernestina Marianna De Francesco, Roberta Malaguarnera, Marcello Maggiolini and Rosamaria Lappano
Cells 2026, 15(3), 284; https://doi.org/10.3390/cells15030284 - 2 Feb 2026
Abstract
Obesity is frequently associated with metabolic alterations like hypercholesterolemia and hyperinsulinemia and represents a major risk factor for several diseases, including breast cancer (BC). Insulin signaling, as well as the frequent overexpression of the insulin receptor (IR), play a key role in BC [...] Read more.
Obesity is frequently associated with metabolic alterations like hypercholesterolemia and hyperinsulinemia and represents a major risk factor for several diseases, including breast cancer (BC). Insulin signaling, as well as the frequent overexpression of the insulin receptor (IR), play a key role in BC progression. Emerging evidence suggests that the widely prescribed lipid-lowering drugs, named statins, may reduce the risk of recurrence and blunt BC cell proliferation, mainly inhibiting the HMGCR-dependent activation of the mevalonate pathway. In this study, we investigated the effects of simvastatin, atorvastatin and rosuvastatin in BC cells stimulated by insulin. To this end, we used as a BC model system MCF7 cells and naturally immortalized BCAHC-1 cells, which are characterized by high IR-expression levels. Our investigation demonstrates that statins reduce the proliferation and clonogenic capacity of BC cells prompted by insulin treatment. Mechanistically, statins impair the IR-mediated signaling and downregulate the stress-inducible transcription factor NUPR1, a known regulator of cancer progression. Importantly, NUPR1 inhibition blunted the stimulatory action of insulin on BC cells. Consistent with these findings, survival analyses of large cohorts of patients revealed that high levels of NUPR1 are associated with poor BC prognosis. Overall, our results provide novel mechanistic evidence supporting the repositioning of statins in BC, particularly in tumors characterized by elevated IR expression and activity. Full article
(This article belongs to the Special Issue Biomarkers in Breast Cancer)
18 pages, 436 KB  
Article
Cross-Cultural Adaptation and Validation of the Simplified Diabetes Knowledge Test (Arabic Version) for Insulin-Dependent Diabetic Patients: A Cross-Sectional Study in Iraq
by Shaymaa Abdalwahed Abdulameer and Mohanad Naji Sahib
J. Clin. Med. 2026, 15(3), 1164; https://doi.org/10.3390/jcm15031164 - 2 Feb 2026
Abstract
Background/Objectives: Diabetes is major metabolic disorder and rapidly increasing public health problem globally. The greatest way to reduce diabetic complications is adequate knowledge about the condition. Hence, the primary objectives of this study were to evaluate the psychometric properties of the Simplified [...] Read more.
Background/Objectives: Diabetes is major metabolic disorder and rapidly increasing public health problem globally. The greatest way to reduce diabetic complications is adequate knowledge about the condition. Hence, the primary objectives of this study were to evaluate the psychometric properties of the Simplified Diabetes Knowledge Test—Arabic version (SDKT-A) among Iraqi insulin-dependent diabetic patients. Additionally, the secondary objectives were to assess the associated independent variables and the risk of atherosclerosis and cardiovascular risk event by using atherogenic indices and lipid ratios with the SDKT-A. Methods: A cross-sectional, descriptive study was conducted in primary healthcare clinics. The SDKT was translated into Arabic using forward–backward translation, reconciliation, and pilot testing. Thereafter, psychometric properties of the SDKT-A were evaluated depending on different criteria. Atherogenic indices of Castelli risk indices I and II (CRI-I and II), triglyceride/HDL ratio, non-HDL-C ratio, atherogenic coefficient (AC), and triglyceride–total cholesterol–body weight index (TCBI) were calculated using specific formulas. Results: The SDKT-A questionnaire showed acceptable readability and validity. Cronbach’s alpha test (95% confidence interval) was 0.662 (0.59–0.73). The Pearson correlation coefficient of reliability for test–retest was found to be 0.659. The item difficulty index for most items was between 0.237 and 0.877. The point biserial correlation values ranged from 0.028 to 0.535 with Ferguson’s sigma value equal to 0.962. The content validation results showed a significant content validity ratio (CVR) value for most of the questions, ranging from 0.8 to 1. The content validity index (CVI) value for SDKT-A was found to be 0.98, which showed good agreement between experts. In addition, the exploratory factor analysis with promax rotation identified four domains for the final 20 items of the SDKT-A that explained 41.83% of the scale total variance. The mean score of the SDKT-A was 11.09 ± 3.40. The total score of the SDKT-A was positively and significantly correlated with education level (r = 0.322, p < 0.01). In addition, the total scores of the SDKT-A were negatively and significantly correlated with glycemic control, age, CRI-I, CRI-II, triglyceride/HDL ratio, AC, non-HDL-C ratio, and TCBI. Furthermore, the glycemic control (HbA1c) was positively and significantly correlated with the preventive measures factor (r = 0.175, p < 0.05), and were negatively and significantly correlated with the lifestyle and modification factor (r = −0.169, p < 0.05), diet and monitoring factor (r = −0.158, p < 0.05), and awareness factor (r = −0.149, p < 0.05). Conclusions: This study showed acceptable psychometric properties for the SDKT-A, with low levels of knowledge of diabetic disease in the sample population. Finally, comprehensive and interactive educational programs regarding lifestyle and modification, diet, and monitoring and awareness in primary healthcare centers in Iraq are warranted. Full article
(This article belongs to the Section Endocrinology & Metabolism)
Show Figures

Figure 1

20 pages, 3317 KB  
Article
Study on the Effect of N-Carbamylglutamate (NCG) on Reproductive Performance and Regulation Mechanism of Primary Lake Sheep
by Tianli Gao, Chunyang Li, Juanshan Zheng, Yingpai Zhaxi, Yuan Cai, Rongxin Zang, Huixia Liu, Yanmei Yang, Sai Li, Xiaodi Shi and Chen Huang
Animals 2026, 16(3), 464; https://doi.org/10.3390/ani16030464 - 2 Feb 2026
Abstract
The aim of this study was to investigate the effects of dietary supplementation with 0.11% N-carbamylglutamate (NCG) during early pregnancy (0–90 days) on reproductive performance and fetal development, and to elucidate the underlying placental regulatory mechanisms in primiparous Hu sheep. Twenty-two 10-month-old sexually [...] Read more.
The aim of this study was to investigate the effects of dietary supplementation with 0.11% N-carbamylglutamate (NCG) during early pregnancy (0–90 days) on reproductive performance and fetal development, and to elucidate the underlying placental regulatory mechanisms in primiparous Hu sheep. Twenty-two 10-month-old sexually mature primiparous Hu sheep meeting the mating criteria were randomly assigned to two groups. The control group was fed a basal diet, while the NCG group received the basal diet supplemented with 0.11% NCG, with both feeding regimens maintained for 90 days. By measuring uterine and fetal growth indices, maternal plasma biochemical parameters, and amino acid levels, as well as assessing cotyledon indices and observing cotyledon morphology and histological structure, basic data related to placental function and fetal growth in pregnant ewes was collected. Combined with transcriptomic sequencing of maternal placental tissue, the mechanism by which NCG influences placental function and fetal growth and development in pregnant ewes was further investigated. The supplementation of NCG could increase the number of fetuses, total weight of fetuses, the number of corpus luteum and the ratio of fetuses to corpus luteum, but the difference was not significant (p > 0.05). The levels of plasma NO, inducible Nitric Oxide Synthase (iNOS) and several amino acids were significantly increased (p < 0.05). In ewes’ uteri, the average uterine weight, number of uterine glands, total cotyledon weight, and average weight per cotyledon were significantly increased (p < 0.05), whereas uterine mucosal thickness was markedly decreased. The Quantitative Real-time PCR (q-PCR) results for differentially expressed genes were consistent with those of transcriptomic analysis, showing significant changes in the expression levels of certain differentially expressed genes in maternal placental tissues. These changes regulated pathways such as vascular endothelial growth factor (VEGF), insulin-like growth factor (IGF), phosphatidylinositol 3-kinase–protein kinase B (PI3K–AKT) signaling pathways and Mitogen-Activated Protein Kinase (MAPK) pathway, which are involved in angiogenesis, energy supply and metabolism, and somatic growth and development. Dietary supplementation with NCG during early pregnancy can significantly improve the reproductive performance of primiparous Hu sheep, optimize the intrauterine environment and nutrient supply, and thereby facilitate pregnancy maintenance and fetal development. The underlying mechanism may involve promoting endogenous arginine synthesis in ewes, increasing plasma levels of NO, arginine, and certain amino acids, which collectively validate the positive effects of NCG on the reproductive performance and growth of Hu sheep during early pregnancy at the molecular level. Full article
(This article belongs to the Section Animal Reproduction)
Show Figures

Figure 1

10 pages, 931 KB  
Article
The Cut-Off for Triglyceride-Glucose-Body Mass Index (TyG-BMI) and Triglyceride-Glucose-Waist Circumference Index (TyG-WC) Discriminating the Insulin Resistance Based on the SHBG Level and HOMA-IR Value in Caucasian Women with Polycystic Ovary Syndrome
by Tahar Ben Rhaiem, Aleksander Jerzy Owczarek, Mariusz Wójtowicz, Dariusz Ciura, Paweł Madej, Magdalena Olszanecka-Glinianowicz and Jerzy Tadeusz Chudek
Medicina 2026, 62(2), 291; https://doi.org/10.3390/medicina62020291 - 1 Feb 2026
Viewed by 41
Abstract
Background and Objectives: Cut-off points for the triglyceride-glucose-body mass index (TyG-BMI) and the triglyceride-glucose-waist circumference index (TyG-WC) have been established for the assessment of insulin resistance (IR) only in the population of Asian women with polycystic ovary syndrome (PCOS). Therefore, the present [...] Read more.
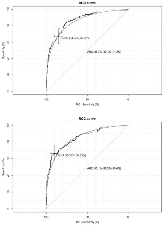
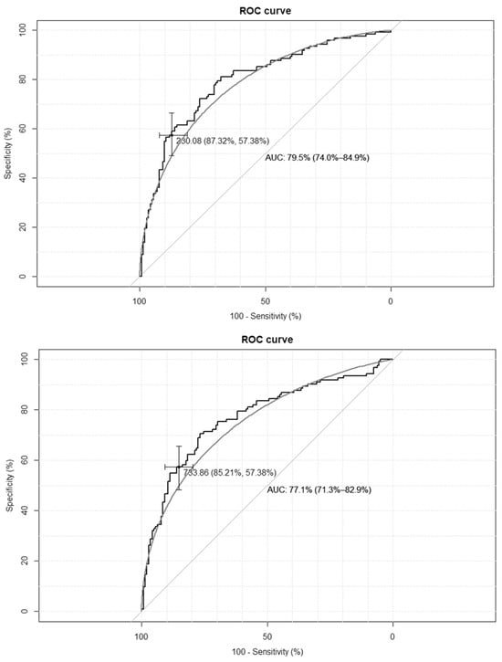
Background and Objectives: Cut-off points for the triglyceride-glucose-body mass index (TyG-BMI) and the triglyceride-glucose-waist circumference index (TyG-WC) have been established for the assessment of insulin resistance (IR) only in the population of Asian women with polycystic ovary syndrome (PCOS). Therefore, the present study aimed to estimate the cut-off value for these indices discriminating the IR based on the homeostatic model assessment for insulin resistance (HOMA-IR) and sex hormone binding globulin (SHBG) levels established previously in Caucasian women with PCOS. Material and Methods: The medical records of 264 selected young adults (18–40 y.o.) Caucasian women with PCOS were the source of parameters: age, body weight, height, waist circumference, glucose, insulin, triglyceride, and SHBG levels, used for calculation of TyG-BMI and TyG-WC indices. The cut-off values for TyG-BMI and TyG-WC indices were calculated using receiver operating characteristic curve analysis. Results: The study group included 68 overweight (25.8%) and 62 overweight (23.4%) women. The empirical optimal cut-off values for TyG-BMI and TyG-WC indices corresponding to HOMA-IR values ≥ 2.1 were 233 and 735 [area under the curve (AUC) 85.1% and 86.7%, accuracy 0.814 and 0.784, sensitivity 66.3% and 67.3%, specificity 90.4% and 84.9%, PPV 80.2% and 72.5%, NPV 82.0% and 81.5%], respectively. The empirical optimal cut-off values for TyG-BMI and TyG-WC indices corresponding to SHBG levels < 41.5 nmol/L were 230 and 734 (AUC 79.5% and 77.1%, accuracy 0.735 and 0.723, Se 57.4% and 57.4%, Sp 87.3% and 85.2%, PPV 79.5% and 76.9%, NPV 70.4% and 69.9%), respectively. Conclusions: The cut-offs for the TyG-BMI and TyG-WC indices discriminating IR in young Caucasian women with PCOS were similar regardless of whether they are based on HOMA-IR values or SHBG levels. Full article
(This article belongs to the Section Endocrinology)
Show Figures

Graphical abstract

41 pages, 6605 KB  
Review
The Relationship Between Trace Elements and Depression
by Yuanjian Zhong, Yuxiang Nie, Yuanhui Mao, Yinting Liu, Tong Zou, Xiayun Liao and Lichun Zhao
Nutrients 2026, 18(3), 484; https://doi.org/10.3390/nu18030484 - 1 Feb 2026
Viewed by 104
Abstract
Trace elements are widely involved in fundamental physiological processes, including enzymatic reactions, neurotransmitter metabolism, and redox homeostasis, and their balanced regulation plays an important role in maintaining normal brain development and neurological function. Depression is a complex psychiatric disorder characterized primarily by mood [...] Read more.
Trace elements are widely involved in fundamental physiological processes, including enzymatic reactions, neurotransmitter metabolism, and redox homeostasis, and their balanced regulation plays an important role in maintaining normal brain development and neurological function. Depression is a complex psychiatric disorder characterized primarily by mood disturbances, with its onset and progression arising from long-term interactions among genetic susceptibility, neurobiological alterations, and environmental factors. A substantial body of epidemiological and clinical evidence indicates that dysregulation of trace elements—such as zinc, selenium, iron, and magnesium—is closely associated with the risk of depression and the severity of depressive symptoms. Mechanistic studies further demonstrate that trace elements influence depression-related pathophysiology through multi-target and multi-pathway mechanisms, including modulation of monoaminergic neurotransmission, neuroinflammation, oxidative stress, mitochondrial energy metabolism, and hypothalamic–pituitary–adrenal axis function. Network pharmacology analyses have additionally identified systemic hub targets, such as albumin (ALB), insulin (INS), and TP53, as well as key pathways including calcium signaling, neuroactive ligand–receptor interactions, and the HIF-1 signaling pathway. These findings suggest that trace elements may regulate depression-related pathological processes through coordinated network-level effects. Collectively, these integrative insights provide a theoretical basis for the application of trace elements in depression risk assessment, the development of precision intervention strategies, and future mechanistic investigations. Full article
Show Figures

Figure 1

17 pages, 407 KB  
Article
Twenty-Four-Month rhGH Intervention: Insights into Redox Regulation, Vascular Biomarkers, and Body Composition in Adult GHD Patients
by Maria Kościuszko, Angelika Buczyńska, Justyna Hryniewicka, Agnieszka Adamska, Katarzyna Siewko, Marcin Zaniuk, Adam Jacek Krętowski and Anna Popławska-Kita
Int. J. Mol. Sci. 2026, 27(3), 1451; https://doi.org/10.3390/ijms27031451 - 31 Jan 2026
Viewed by 208
Abstract
Adult growth hormone deficiency (GHD) is linked to increased cardiovascular and metabolic risk due to oxidative stress (OS), endothelial dysfunction, and unhealthy body composition. Long-term systemic effects of recombinant human growth hormone (rhGH) therapy remain insufficiently defined. This study assessed the impact of [...] Read more.
Adult growth hormone deficiency (GHD) is linked to increased cardiovascular and metabolic risk due to oxidative stress (OS), endothelial dysfunction, and unhealthy body composition. Long-term systemic effects of recombinant human growth hormone (rhGH) therapy remain insufficiently defined. This study assessed the impact of 24-month rhGH replacement on OS, vascular markers, body composition, and bone mineral density (BMD) in adults with severe GHD. Fifteen adults with confirmed GHD received rhGH for 24 months. Serum insulin-like growth factor 1 (IGF-1), oxidized LDL (Ox-LDL), thioredoxin (Trx), 8-oxoguanine DNA glycosylase 1 (OGG1), E-selectin, intercellular adhesion molecule 1 (ICAM-1), and vascular cell adhesion molecule 1 (VCAM-1) were measured at baseline and 12 and 24 months. Body composition and BMD were evaluated by DXA. IGF-1 increased significantly at 12 and 24 months (p < 0.001). Ox-LDL markedly decreased (p < 0.00001), while Trx and OGG1 increased (p < 0.05). Levels of E-selectin, ICAM-1, and VCAM-1 declined, indicating improved endothelial function. Lean body mass and BMD increased, while body fat parameters showed heterogeneous changes. Lipid profiles were unchanged. Significant correlations were observed between vascular markers and adiposity, and between BMD, triglycerides, and IGF-1. A 24-month course of rhGH therapy improves redox balance, vascular function, and body composition in adults with severe GHD, supporting the use of redox and vascular biomarkers to monitor treatment efficacy. Full article
(This article belongs to the Special Issue Hormone Replacement Therapy)
Show Figures

Figure 1

25 pages, 618 KB  
Review
From Multidimensional Management to Mechanistic Insight: A Review of Interventions for Hyperuricemia
by Quan Sun and Lijun Yin
Int. J. Mol. Sci. 2026, 27(3), 1426; https://doi.org/10.3390/ijms27031426 - 30 Jan 2026
Viewed by 118
Abstract
As a major metabolic abnormality following hyperglycemia, hypertension, and hyperlipidemia, hyperuricemia has emerged as a significant global public health issue. The pathological mechanisms of hyperuricemia are complex; it not only directly triggers gout but is also closely associated with various chronic diseases, such [...] Read more.
As a major metabolic abnormality following hyperglycemia, hypertension, and hyperlipidemia, hyperuricemia has emerged as a significant global public health issue. The pathological mechanisms of hyperuricemia are complex; it not only directly triggers gout but is also closely associated with various chronic diseases, such as cardiovascular disease, diabetes, and chronic kidney disease, posing a systemic threat to individual health. This article systematically reviews the epidemiological characteristics, pathophysiological mechanisms, clinical consequences, and related risk factors of hyperuricemia, and especially focuses on the research advances and mechanisms of comprehensive intervention strategies, including diet, exercise, pharmacotherapy, and lifestyle modifications. Dietary interventions primarily function by regulating the activity of enzymes and transporters related to uric acid metabolism, ameliorating gut microbiota dysbiosis, and alleviating inflammatory responses. Exercise interventions synergistically improve uric acid homeostasis through multiple mechanisms, including the regulation of purine metabolic enzyme activity and the improvements of body composition, insulin resistance, and oxidative stress. Pharmacotherapy, serving as a core measure for patients with moderate-to-severe conditions, directly lowers serum uric acid levels by inhibiting uric acid production or promoting excretion. Although various intervention modalities exhibit distinct effects in regulating uric acid production, promoting excretion, and improving the metabolic-inflammatory environment, challenges such as significant heterogeneity in individual response and uncertainty regarding long-term efficacy remain prevalent. Furthermore, given the increasing trend toward a younger onset of hyperuricemia, prevention and control strategies targeting children and adolescents require urgent reinforcement. Future efforts should focus on conducting multi-center, large-sample clinical studies with clear mechanisms and establishing individualized health management plans based on population characteristics, thereby promoting the precise prevention and treatment of hyperuricemia. Full article
(This article belongs to the Section Molecular Endocrinology and Metabolism)
18 pages, 3807 KB  
Article
Obesity-Associated Gestational Diabetes Promotes Cellular Heterogeneity and Dysfunction in Neonatal Offspring-Islets
by Xiangju Cao, Jian Wang, Xinyu Jia, Shuai Yang, Yuan Wang and Lixia Ji
Nutrients 2026, 18(3), 464; https://doi.org/10.3390/nu18030464 - 30 Jan 2026
Viewed by 101
Abstract
Background/Objectives: Given the lack of clarity regarding how maternal overnutrition during pregnancy regulates offspring metabolic health, our study intends to explore the specific influences of maternal Western diet (WD) exposure on neonatal islet cell development and heterogeneity. Methods: Using a WD-induced [...] Read more.
Background/Objectives: Given the lack of clarity regarding how maternal overnutrition during pregnancy regulates offspring metabolic health, our study intends to explore the specific influences of maternal Western diet (WD) exposure on neonatal islet cell development and heterogeneity. Methods: Using a WD-induced gestational diabetes mellitus (GDM) rat model, we assessed glucose homeostasis via blood glucose and serum insulin levels. Target protein expression and islet function were evaluated using immunofluorescence and insulin secretion assays, respectively. To delineate alterations in cellular heterogeneity, we subsequently performed single-cell RNA sequencing (scRNA-seq) on isolated islet cells. Results: Maternal WD exposure induced significant glucose intolerance and insulin resistance, confirming GDM establishment. Their neonatal offspring consequently displayed disrupted glucose homeostasis, characterized by concurrent hypoglycemia, hyperinsulinemia, and enhanced insulin secretion. ScRNA-seq analysis further identified the enhanced endocrine cells in GDM-offspring islets, with imbalanced α/β-cell subsets—specifically, reduced immature α1/β1 subsets and expanded mature α2/β2/β3/β4 subsets, alongside upregulated expression of insulin- and glucagon-related genes (Ins1, Ins2, Gcg). Notably, β cells in GDM offspring displayed metabolic hyperactivity (enriched ribosomal and glycolytic pathways) with multiple organelle dysfunction, including mitochondrial swelling, cristae reduction, decreased membrane potential, and severe endoplasmic reticulum stress. Conclusions: The metabolic dysregulation of WD-induced GDM in maternal rats is transmitted to offspring, leading to disrupted neonatal α/β-cell subset balance and accelerated islet maturation. However, such excessive development comes at the cost of organelle damage in β cells. Our findings provide a molecular basis for mitigating the intergenerational transmission of diabetes through early nutritional interventions. Full article
(This article belongs to the Section Nutrition in Women)
Show Figures

Figure 1

20 pages, 781 KB  
Review
Antidiabetic Effects of Anthocyanins on Pancreatic β-Cell Function: A Systematic Review of In Vitro Studies
by Ravish Kumkum, Theresha Ruwan Pathiranage, Bryony A. McNeill, Leni R. Rivera and Kathryn Aston-Mourney
Int. J. Mol. Sci. 2026, 27(3), 1415; https://doi.org/10.3390/ijms27031415 - 30 Jan 2026
Viewed by 218
Abstract
Pancreatic β-cell dysfunction is the key driver of type 2 diabetes, and anthocyanins have been proposed as dietary compounds that may help preserve β-cell health. This systematic review aimed to synthesise evidence on the direct effects of anthocyanins on β-cell viability, apoptosis, oxidative [...] Read more.
Pancreatic β-cell dysfunction is the key driver of type 2 diabetes, and anthocyanins have been proposed as dietary compounds that may help preserve β-cell health. This systematic review aimed to synthesise evidence on the direct effects of anthocyanins on β-cell viability, apoptosis, oxidative stress, and insulin secretion across in vitro models. Four databases were searched in March–April 2025, and eighteen studies met the inclusion criteria. Purified anthocyanins—including cyanidin-3-glucoside (C3G), cyanidin-3-rutinoside (C3R), malvidin-3-glucoside (M3G), and delphinidin-3-glucoside (D3G)—as well as anthocyanin-rich berry extracts, were tested in INS-1, MIN6, RIN-m5F cells and primary mouse or human islets under glucotoxic, lipotoxic, oxidative, cytokine, and amyloidogenic stress. Anthocyanins consistently improved β-cell viability, reduced apoptosis, and lowered reactive oxygen species (ROS), nitric oxide (NO), and thiobarbituric acid reactive substances (TBARSs) levels while enhancing antioxidant enzyme activities. Multiple studies showed upregulation of insulin secretion-related genes and proteins, and both acute and chronic treatments increased glucose-stimulated insulin secretion under normal and stressed conditions. Mechanistic pathways involved modulation of mitogen-activated protein kinase (MAPK) signalling, endoplasmic reticulum (ER) stress responses, inflammatory mediators, and mitophagy (PINK1/PARKIN). While effective in vitro concentrations were higher than typical circulating levels, the collective evidence highlights anthocyanins as promising β-cell protective agents and underscores the need for studies examining their metabolites and physiologically relevant exposure. Full article
(This article belongs to the Special Issue The Effect of Food-Derived Compounds on Brown Fat Cell Function)
Show Figures

Figure 1

32 pages, 2011 KB  
Review
The AGE–RAGE Pathway in Endometriosis: A Focused Mechanistic Review and Structured Evidence Map
by Canio Martinelli, Alfredo Ercoli, Francesco De Seta, Marcella Barbarino, Antonio Giordano and Salvatore Cortellino
Int. J. Mol. Sci. 2026, 27(3), 1396; https://doi.org/10.3390/ijms27031396 - 30 Jan 2026
Viewed by 95
Abstract
High Mobility Group Box 1 (HMGB1) and S100 proteins are major ligands of Receptor for Advanced Glycation End-products (RAGE) and have causal roles in endometriosis lesions. Yet the AGE–RAGE pathway that unifies Advanced Glycation End-products (AGEs) with these ligands has not been assessed [...] Read more.
High Mobility Group Box 1 (HMGB1) and S100 proteins are major ligands of Receptor for Advanced Glycation End-products (RAGE) and have causal roles in endometriosis lesions. Yet the AGE–RAGE pathway that unifies Advanced Glycation End-products (AGEs) with these ligands has not been assessed in endometriosis. In diabetes, atherosclerosis, and chronic kidney disease, AGE–RAGE links insulin resistance and oxidative stress to inflammation, fibrosis, and organ harm. Endometriosis shares key drivers of AGE accumulation, including insulin resistance, oxidative stress, and chronic inflammation. Endometriosis is also linked to higher vascular risk and arterial stiffness. We asked whether AGE–RAGE could bridge metabolic stress to pelvic lesions and systemic risk. We did a focused review of mechanisms and an evidence map of studies on AGEs, RAGE, or known RAGE ligands in endometriosis. We grouped findings as most consistent with a driver, amplifier, consequence, or parallel role. We included 29 studies across human samples, cell systems, and animal models. Few studies measured AGE adducts directly. Most work tracked RAGE ligands (mainly HMGB1 and S100 proteins) and downstream immune and angiogenic programs. Across models, this pattern fits best with a self-reinforcing loop after lesions form. RAGE expression often aligned with lesion remodeling, especially fibrosis. Blood and skin readouts of AGE burden were mixed and varied by cohort and sample type. A central gap is receptor proof. Many models point to shared Toll-like receptor 4 (TLR4)/ nuclear factor kappa B (NF-κB) signaling, but few test RAGE dependence. Overall, current evidence supports AGE–RAGE as a disease-amplifying loop involved in chronic inflammation and fibrosis rather than an initiating trigger. Its effects likely vary by stage and site. Priorities now include direct lesion AGE measurement, paired systemic–pelvic sampling over time, receptor-level studies, and trials testing diet or drug interventions against clear endpoints. Outcomes could include fibrosis, angiogenesis, immune state, pain, and oocyte and follicle function. Full article
13 pages, 440 KB  
Review
Hypertriglyceridaemia-Associated Acute Pancreatitis: Risk Stratification, Drivers, and Prevention of Recurrence
by Federica Fogacci and Arrigo F. G. Cicero
Diseases 2026, 14(2), 47; https://doi.org/10.3390/diseases14020047 - 30 Jan 2026
Viewed by 159
Abstract
Hypertriglyceridaemia is the third most common aetiology of acute pancreatitis and a leading cause of recurrence in specialized lipid clinics. The risk of acute pancreatitis rises steeply once triglycerides exceed approximately 10 mmol/L (≈885 mg/dL). Still, clinically meaningful risk may occur at lower [...] Read more.
Hypertriglyceridaemia is the third most common aetiology of acute pancreatitis and a leading cause of recurrence in specialized lipid clinics. The risk of acute pancreatitis rises steeply once triglycerides exceed approximately 10 mmol/L (≈885 mg/dL). Still, clinically meaningful risk may occur at lower levels in the presence of chylomicronaemia, metabolic stress, or pregnancy. This mini-review synthesizes contemporary evidence on epidemiology, mechanistic links between triglyceride-rich lipoproteins and pancreatic injury, and the practical distinction between secondary (acquired) and genetic drivers of severe hypertriglyceridaemia. We summarize acute management strategies aimed at rapid triglyceride reduction (including insulin-based approaches and therapeutic plasma exchange in selected scenarios) and focus on long-term prevention of recurrence through lifestyle interventions, correction of secondary contributors, and triglyceride-lowering pharmacotherapy. Finally, we discuss emerging RNA-targeted therapies against apolipoprotein C-III and angiopoietin-like 3, which are reshaping prevention strategies for familial and persistent chylomicronaemia and may reduce pancreatitis burden in the highest-risk phenotypes. Full article
Show Figures

Graphical abstract

15 pages, 689 KB  
Review
Adipocyte Browning: A Promising Avenue in Anti-Obesity Therapy
by Young-An Bae and Hyae Gyeong Cheon
Int. J. Mol. Sci. 2026, 27(3), 1321; https://doi.org/10.3390/ijms27031321 - 28 Jan 2026
Viewed by 308
Abstract
Adipocyte browning refers to the inducible transdifferentiation or de novo recruitment of thermogenically active beige adipocytes within white adipose tissue depots. Beige adipocytes, characterized by multilocular lipid droplets and high mitochondrial density, express uncoupling protein 1 and possess a metabolic phenotype similar to [...] Read more.
Adipocyte browning refers to the inducible transdifferentiation or de novo recruitment of thermogenically active beige adipocytes within white adipose tissue depots. Beige adipocytes, characterized by multilocular lipid droplets and high mitochondrial density, express uncoupling protein 1 and possess a metabolic phenotype similar to that of classical brown adipocytes. This plasticity of adipose tissue is regulated by a complex network of transcriptional coactivators (e.g., PRDM16, PGC-1α), epigenetic modulators, non-coding RNAs, and hormonal signals. Environmental cues, such as chronic cold exposure, exercise, and caloric restriction, further potentiate browning via sympathetic nervous system activation and endocrine crosstalk. At the systemic level, adipocyte browning enhances energy expenditure, improves insulin sensitivity, and mitigates lipid accumulation, making it a promising target for the treatment of obesity, type 2 diabetes mellitus, and other metabolic syndromes. Several browning agents (natural products and repositioned drugs) and novel chemicals that induce browning have been reported. However, the translational application of these agents in humans faces challenges related to interspecies differences, depot-specific responses, and long-term safety. This review critically examines molecular regulators, existing browning agents, and the discovery of novel browning agents, with the aim of harnessing them for metabolic disease intervention. Full article
(This article belongs to the Section Molecular Endocrinology and Metabolism)
Show Figures

Graphical abstract

Back to TopTop