Twenty-Four-Month rhGH Intervention: Insights into Redox Regulation, Vascular Biomarkers, and Body Composition in Adult GHD Patients
Abstract
1. Introduction
2. Results
2.1. Biochemical Analysis
2.1.1. IGF-1
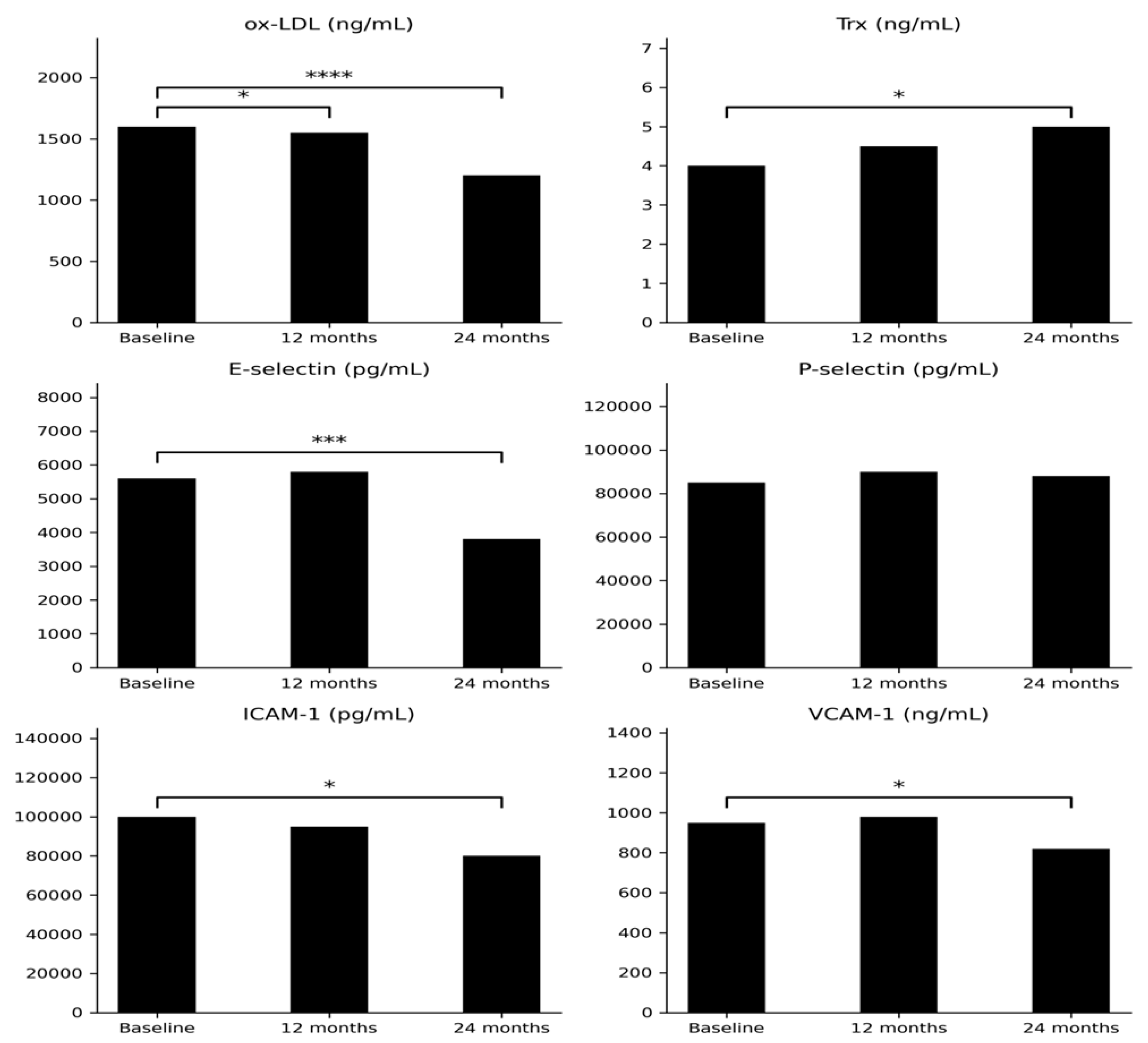
2.1.2. Ox-LDL
2.1.3. Trx
2.1.4. E-Selectin and P-Selectin
2.1.5. ICAM-1 and VCAM-1
2.1.6. OGG1
2.1.7. Lipid Profile
2.1.8. Vitamin D
2.1.9. Glucose
Body Composition Evaluation
2.2. Correlations
2.2.1. Ox-LDL and Related Correlations
2.2.2. Endothelial Adhesion Molecules
2.2.3. Redox-Related Marker
2.2.4. Lipid Profile Correlations
2.2.5. Body Composition and Bone Parameters
3. Discussion
4. Materials and Methods
4.1. Studied Population
4.2. Biochemical Measurement
4.3. Statistical Analysis
4.4. Dual-Energy X-Ray Absorptiometry and Body Composition
5. Conclusions
Author Contributions
Funding
Institutional Review Board Statement
Informed Consent Statement
Data Availability Statement
Conflicts of Interest
Abbreviations
References
- Brooke, A.M.; Monson, J.P. Adult growth hormone deficiency. Clin. Med. 2003, 3, 15–19. [Google Scholar] [CrossRef]
- Ratku, B.; Sebestyén, V.; Erdei, A.; Nagy, E.V.; Szabó, Z.; Somodi, S. Effects of adult growth hormone deficiency and replacement therapy on the cardiometabolic risk profile. Pituitary 2022, 25, 211–228. [Google Scholar] [CrossRef]
- Giovannini, L.; Tirabassi, G.; Muscogiuri, G.; Di Somma, C.; Colao, A.; Balercia, G. Impact of adult growth hormone deficiency on metabolic profile and cardiovascular risk [Review]. Endocr. J. 2015, 62, 1037–1048. [Google Scholar] [CrossRef]
- Lombardi, G.; Di Somma, C.; Grasso, L.F.; Savanelli, M.C.; Colao, A.; Pivonello, R. The cardiovascular system in growth hormone excess and growth hormone deficiency. J. Endocrinol. Investig. 2012, 35, 1021–1029. [Google Scholar] [CrossRef]
- Kościuszko, M.; Buczyńska, A.; Hryniewicka, J.; Jankowska, D.; Adamska, A.; Siewko, K.; Jacewicz-Święcka, M.; Zaniuk, M.; Krętowski, A.J.; Popławska-Kita, A. Early Cardiovascular and Metabolic Benefits of rhGH Therapy in Adult Patients with Severe Growth Hormone Deficiency: Impact on Oxidative Stress Parameters. Int. J. Mol. Sci. 2025, 26, 5434. [Google Scholar] [CrossRef]
- Herman, R.; Janez, A.; Mikhailidis, D.P.; Poredos, P.; Blinc, A.; Sabovic, M.; Studen, K.B.; Schernthaner, G.H.; Anagnostis, P.; Antignani, P.L.; et al. Growth Hormone, Atherosclerosis and Peripheral Arterial Disease: Exploring the Spectrum from Acromegaly to Growth Hormone Deficiency. Curr. Vasc. Pharmacol. 2024, 22, 28–35. [Google Scholar] [CrossRef]
- McGrath, S.; Morris, M.; Bouloux, P.M. Growth hormone deficiency and atherosclerosis—Is there a link? Growth Horm. IGF Res. 1999, 9, 9–13. [Google Scholar] [CrossRef]
- Binay, C.; Simsek, E.; Yıldırım, A.; Kosger, P.; Demiral, M.; Kılıç, Z. Growth hormone and the risk of atherosclerosis in growth hormone-deficient children. Growth Horm. IGF Res. 2015, 25, 294–297. [Google Scholar] [CrossRef] [PubMed]
- Munno, M.; Mallia, A.; Greco, A.; Modafferi, G.; Banfi, C.; Eligini, S. Radical Oxygen Species, Oxidized Low-Density Lipoproteins, and Lectin-like Oxidized Low-Density Lipoprotein Receptor 1: A Vicious Circle in Atherosclerotic Process. Antioxidants 2024, 13, 583. [Google Scholar] [CrossRef]
- Cominacini, L.; Rigoni, A.; Pasini, A.F.; Garbin, U.; Davoli, A.; Campagnola, M.; Pastorino, A.M.; Lo Cascio, V.; Sawamura, T. The binding of oxidized low density lipoprotein (ox-LDL) to ox-LDL receptor-1 reduces the intracellular concentration of nitric oxide in endothelial cells through an increased production of superoxide. J. Biol. Chem. 2001, 276, 13750–13755. [Google Scholar] [CrossRef]
- Wang, H.; Wang, Z.H.; Kong, J.; Yang, M.Y.; Jiang, G.H.; Wang, X.P.; Zhong, M.; Zhang, Y.; Deng, J.T.; Zhang, W. Oxidized low-density lipoprotein-dependent platelet-derived microvesicles trigger procoagulant effects and amplify oxidative stress. Mol. Med. 2012, 18, 159–166. [Google Scholar] [CrossRef]
- Cominacini, L.; Garbin, U.; Pasini, A.F.; Davoli, A.; Campagnola, M.; Contessi, G.B.; Pastorino, A.M.; Lo Cascio, V. Antioxidants inhibit the expression of intercellular cell adhesion molecule-1 and vascular cell adhesion molecule-1 induced by oxidized LDL on human umbilical vein endothelial cells. Free Radic. Biol. Med. 1997, 22, 117–127. [Google Scholar] [CrossRef]
- Altschmied, J.; Haendeler, J. Thioredoxin-1 and endothelial cell aging: Role in cardiovascular diseases. Antioxid. Redox Signal. 2009, 11, 1733–1740. [Google Scholar] [CrossRef]
- Mukherjee, A.; Martin, S.G. The thioredoxin system: A key target in tumour and endothelial cells. Br. J. Radiol. 2008, 81, S57–S68. [Google Scholar] [CrossRef] [PubMed]
- Wang, Y.; Ji, N.; Gong, X.; Ni, S.; Xu, L.; Zhang, H. Thioredoxin-1 attenuates atherosclerosis development through inhibiting NLRP3 inflammasome. Endocrine 2020, 70, 65–70. [Google Scholar] [CrossRef]
- Davies, M.J.; Gordon, J.L.; Gearing, A.J.; Pigott, R.; Woolf, N.; Katz, D.; Kyriakopoulos, A. The expression of the adhesion molecules ICAM-1, VCAM-1, PECAM, and E-selectin in human atherosclerosis. J. Pathol. 1993, 171, 223–229. [Google Scholar] [CrossRef] [PubMed]
- Demerath, E.; Towne, B.; Blangero, J.; Siervogel, R.M. The relationship of soluble ICAM-1, VCAM-1, P-selectin and E-selectin to cardiovascular disease risk factors in healthy men and women. Ann. Hum. Biol. 2001, 28, 664–678. [Google Scholar] [CrossRef]
- Jude, E.B.; Douglas, J.T.; Anderson, S.G.; Young, M.J.; Boulton, A.J. Circulating cellular adhesion molecules ICAM-1, VCAM-1, P- and E-selectin in the prediction of cardiovascular disease in diabetes mellitus. Eur. J. Intern. Med. 2002, 13, 185–189. [Google Scholar] [CrossRef] [PubMed]
- de Sousa, M.M.L.; Ye, J.; Luna, L.; Hildrestrand, G.; Bjørås, K.; Scheffler, K.; Bjørås, M. Impact of Oxidative DNA Damage and the Role of DNA Glycosylases in Neurological Dysfunction. Int. J. Mol. Sci. 2021, 22, 12924. [Google Scholar] [CrossRef]
- Anene-Nzelu, C.G.; Li, P.Y.; Luu, T.D.A.; Ng, S.L.; Tiang, Z.; Pan, B.; Tan, W.L.W.; Ackers-Johnson, M.; Chen, C.K.; Lim, Y.P.; et al. 8-Oxoguanine DNA Glycosylase (OGG1) Deficiency Exacerbates Doxorubicin-Induced Cardiac Dysfunction. Oxid. Med. Cell. Longev. 2022, 2022, 9180267. [Google Scholar] [CrossRef]
- Alomair, A.; Alamri, A.; Shaik, J.; Aljafari, S.; Ba Abdullah, M.; Alanazi, M. Association between polymorphisms of the DNA repair genes RAD51 and OGG1 and risk of cardiovascular disease. Mol. Med. Rep. 2024, 29, 53. [Google Scholar] [CrossRef] [PubMed]
- Yi, C.; Wang, S.R.; Zhang, S.Y.; Yu, S.J.; Jiang, C.X.; Zhi, M.H.; Huang, Y. Effects of recombinant human growth hormone on acute lung injury in endotoxemic rats. Inflamm. Res. 2006, 55, 491–497. [Google Scholar] [CrossRef]
- Hansen, T.K.; Fisker, S.; Dall, R.; Ledet, T.; Jørgensen, J.O.; Rasmussen, L.M. Growth hormone increases vascular cell adhesion molecule 1 expression: In vivo and in vitro evidence. J. Clin. Endocrinol. Metab. 2004, 89, 909–916. [Google Scholar] [CrossRef]
- Ishikawa, M.; Toyomura, J.; Yagi, T.; Kuboki, K.; Morita, T.; Sugihara, H.; Hirose, T.; Minami, S.; Yoshino, G. Role of growth hormone signaling pathways in the development of atherosclerosis. Growth Horm. IGF Res. 2020, 53–54, 101334. [Google Scholar] [CrossRef]
- Soares, D.V.; Spina, L.D.; de Lima Oliveira Brasil, R.R.; da Silva, E.M.; Lobo, P.M.; Salles, E.; Coeli, C.M.; Conceição, F.L.; Vaisman, M. Carotid artery intima-media thickness and lipid profile in adults with growth hormone deficiency after long-term growth hormone replacement. Metabolism 2005, 54, 321–329. [Google Scholar] [CrossRef] [PubMed]
- Reed, M.L.; Merriam, G.R.; Kargi, A.Y. Adult growth hormone deficiency—Benefits, side effects, and risks of growth hormone replacement. Front. Endocrinol. 2013, 4, 64. [Google Scholar] [CrossRef] [PubMed]
- Higashi, Y.; Sukhanov, S.; Anwar, A.; Shai, S.Y.; Delafontaine, P. IGF-1, oxidative stress and atheroprotection. Trends Endocrinol. Metab. 2010, 21, 245–254. [Google Scholar] [CrossRef]
- Street, M.E.; de’Angelis, G.; Camacho-Hübner, C.; Giovannelli, G.; Ziveri, M.A.; Bacchini, P.L.; Bernasconi, S.; Sansebastiano, G.; Savage, M.O. Relationships between serum IGF-1, IGFBP-2, interleukin-1beta and interleukin-6 in inflammatory bowel disease. Horm. Res. 2004, 61, 159–164. [Google Scholar] [CrossRef]
- Chábová, V.; Perusicová, J.; Tesar, V.; Zabka, J.; Merta, M.; Rychlík, T.; Zima, T.; Bradová, V. Vztah plazmatických hladin IGF-I, leptinu a TNF-alfa u diabetiků [Relation between plasma levels of IGF-I, leptin and TNF-alpha in diabetics]. Cas Lek Cesk 1999, 138, 217–219. [Google Scholar]
- Haywood, N.J.; Slater, T.A.; Matthews, C.J.; Wheatcroft, S.B. The insulin like growth factor and binding protein family: Novel therapeutic targets in obesity & diabetes. Mol. Metab. 2019, 19, 86–96. [Google Scholar] [CrossRef]
- Al-Samerria, S.; Radovick, S. Exploring the Therapeutic Potential of Targeting GH and IGF-1 in the Management of Obesity: Insights from the Interplay between These Hormones and Metabolism. Int. J. Mol. Sci. 2023, 24, 9556. [Google Scholar] [CrossRef]
- Andersen, M.; Brixen, K.; Hagen, C.; Frystyk, J.; Nielsen, T.L. Positive associations between serum levels of IGF-I and subcutaneous fat depots in young men. The Odense Androgen Study. Growth Horm. IGF Res. 2012, 22, 139–145. [Google Scholar] [CrossRef]
- Bidlingmaier, M.; Friedrich, N.; Emeny, R.T.; Spranger, J.; Wolthers, O.D.; Roswall, J.; Körner, A.; Obermayer-Pietsch, B.; Hübener, C.; Dahlgren, J.; et al. Reference intervals for insulin-like growth factor-1 (igf-i) from birth to senescence: Results from a multicenter study using a new automated chemiluminescence IGF-I immunoassay conforming to recent international recommendations. J. Clin. Endocrinol. Metab. 2014, 99, 1712–1721, Erratum in J. Clin. Endocrinol. Metab. 2020, 105, dgaa641. https://doi.org/10.1210/clinem/dgaa641. [Google Scholar] [CrossRef] [PubMed]
- Bengtsson, B.A.; Johannsson, G.; Shalet, S.M.; Simpson, H.; Sonken, P.H. Treatment of growth hormone deficiency in adults. J. Clin. Endocrinol. Metab. 2000, 85, 933–942. [Google Scholar] [CrossRef] [PubMed]
- Christiansen, J.S.; Jørgensen, J.O.; Pedersen, S.A.; Møller, J.; Jørgensen, J.; Skakkeboek, N.E. Effects of growth hormone on body composition in adults. Horm. Res. 1990, 33, 61–64. [Google Scholar] [CrossRef]
- Johannsson, G.; Rosén, T.; Bosaeus, I.; Sjöström, L.; Bengtsson, B.A. Two years of growth hormone (GH) treatment increases bone mineral content and density in hypopituitary patients with adult-onset GH deficiency. J. Clin. Endocrinol. Metab. 1996, 81, 2865–2873. [Google Scholar] [CrossRef] [PubMed]
- Salomon, F.; Cuneo, R.C.; Hesp, R.; Sönksen, P.H. The effects of treatment with recombinant human growth hormone on body composition and metabolism in adults with growth hormone deficiency. N. Engl. J. Med. 1989, 321, 1797–1803. [Google Scholar] [CrossRef]
- Jørgensen, J.O.; Müller, J.; Møller, J.; Wolthers, T.; Vahl, N.; Juul, A.; Skakkebaek, N.E.; Christiansen, J.S. Adult growth hormone deficiency. Horm. Res. 1994, 42, 235–241. [Google Scholar] [CrossRef]
- Rahim, A.; Holmes, S.J.; Adams, J.E.; Shalet, S.M. Long-term change in the bone mineral density of adults with adult onset growth hormone (GH) deficiency in response to short or long-term GH replacement therapy. Clin. Endocrinol. 1998, 48, 463–469. [Google Scholar] [CrossRef]
- Zhou, R.; Guo, Q.; Xiao, Y.; Guo, Q.; Huang, Y.; Li, C.; Luo, X. Endocrine role of bone in the regulation of energy metabolism. Bone Res. 2021, 9, 25. [Google Scholar] [CrossRef]
- Xing, Y.; Lin, X. Challenges and advances in the management of inflammation in atherosclerosis. J. Adv. Res. 2025, 71, 317–335. [Google Scholar] [CrossRef] [PubMed]
- Thangasparan, S.; Kamisah, Y.; Ugusman, A.; Anuar, N.N.M.; Ibrahim, N. Unravelling the Mechanisms of Oxidised Low-Density Lipoprotein in Cardiovascular Health: Current Evidence from In Vitro and In Vivo Studies. Int. J. Mol. Sci. 2024, 25, 13292. [Google Scholar] [CrossRef] [PubMed]
- Colao, A.; Di Somma, C.; Savanelli, M.C.; De Leo, M.; Lombardi, G. Beginning to end: Cardiovascular implications of growth hormone (GH) deficiency and GH therapy. Growth Horm. IGF Res. 2006, 16, S41–S48. [Google Scholar] [CrossRef] [PubMed]
- Wu, Y.; Wang, Q.; Cheng, L.; Wang, J.; Sun, X.; Lu, G. IGF-1 reduces the apoptosis of endothelial progenitor cells induced by oxidized low-density lipoprotein by the suppressing caspasse-3 activity. Cell Res. 2008, 18, S159. [Google Scholar] [CrossRef][Green Version]
- Oberacker, T.; Kraft, L.; Schanz, M.; Latus, J.; Schricker, S. The Importance of Thioredoxin-1 in Health and Disease. Antioxidants 2023, 12, 1078. [Google Scholar] [CrossRef]
- Andoh, T.; Chock, P.B.; Chiueh, C.C. The roles of thioredoxin in protection against oxidative stress-induced apoptosis in SH-SY5Y cells. J. Biol. Chem. 2002, 277, 9655–9660. [Google Scholar] [CrossRef]
- Kim, D.H.; Meza, C.A.; Clarke, H.; Kim, J.S.; Hickner, R.C. Vitamin D and Endothelial Function. Nutrients 2020, 12, 575. [Google Scholar] [CrossRef]
- Poljšak, B.; Jamnik, P.; Milisav, I. The Importance of Multifaceted Approach for Accurate and Comprehensive Evaluation of Oxidative Stress Status in Biological Systems. Antioxidants 2025, 14, 1083. [Google Scholar] [CrossRef]
- Zhong, R.; Zhang, W.; Qu, X.; Xiang, Y.; Ji, M. Molecular Duality of OGG1: From Genomic Guardian to Redox-Sensitive Modulator in Diseases. Antioxidants 2025, 14, 980. [Google Scholar] [CrossRef]
- González-Duarte, D.; Madrazo-Atutxa, A.; Soto-Moreno, A.; Leal-Cerro, A. Measurement of oxidative stress and endothelial dysfunction in patients with hypopituitarism and severe deficiency adult growth hormone deficiency. Pituitary 2012, 15, 589–597. [Google Scholar] [CrossRef] [PubMed]
- Mancini, A.; Di Segni, C.; Bruno, C.; Olivieri, G.; Guidi, F.; Silvestrini, A.; Meucci, E.; Orlando, P.; Silvestri, S.; Tiano, L.; et al. Oxidative stress in adult growth hormone deficiency: Different plasma antioxidant patterns in comparison with metabolic syndrome. Endocrine 2018, 59, 130–136. [Google Scholar] [CrossRef] [PubMed]
- Rudling, M.; Angelin, B. Growth hormone reduces plasma cholesterol in LDL receptor-deficient mice. FASEB J. 2001, 15, 1350–1356. [Google Scholar] [CrossRef] [PubMed]
- Capaldo, B.; Patti, L.; Oliviero, U.; Longobardi, S.; Pardo, F.; Vitale, F.; Fazio, S.; Di Rella, F.; Biondi, B.; Lombardi, G.; et al. Increased arterial intima-media thickness in childhood-onset growth hormone deficiency. J. Clin. Endocrinol. Metab. 1997, 82, 1378–1381. [Google Scholar] [CrossRef]
- Christ, E.R.; Chowienczyk, P.J.; Sönksen, P.H.; Russel-Jones, D.L. Growth hormone replacement therapy in adults with growth hormone deficiency improves vascular reactivity. Clin. Endocrinol. 1999, 51, 21–25. [Google Scholar] [CrossRef]
- Twickler, T.B.; Wilmink, H.W.; Schreuder, P.C.; Cabezas, M.C.; van Dam, P.S.; Koppeschaar, H.P.; Erkelens, D.W.; Dallinga-Thie, G.M. Growth hormone (GH) treatment decreases postprandial remnant-like particle cholesterol concentration and improves endothelial function in adult-onset GH deficiency. J. Clin. Endocrinol. Metab. 2000, 85, 4683–4689. [Google Scholar] [CrossRef]
- Franco, C.; Andersson, B.; Lönn, L.; Bengtsson, B.A.; Svensson, J.; Johannsson, G. Growth hormone reduces inflammation in postmenopausal women with abdominal obesity: A 12-month, randomized, placebo-controlled trial. J. Clin. Endocrinol. Metab. 2007, 92, 2644–2647. [Google Scholar] [CrossRef] [PubMed][Green Version]
- Mulhem, A.; Moulla, Y.; Klöting, N.; Ebert, T.; Tönjes, A.; Fasshauer, M.; Dietrich, A.; Schön, M.R.; Stumvoll, M.; Richter, V.; et al. Circulating cell adhesion molecules in metabolically healthy obesity. Int. J. Obes. 2021, 45, 331–336. [Google Scholar] [CrossRef] [PubMed]
- Matsumoto, K.; Sera, Y.; Abe, Y.; Tominaga, T.; Horikami, K.; Hirao, K.; Ueki, Y.; Miyake, S. High serum concentrations of soluble E-selectin correlate with obesity but not fat distribution in patients with type 2 diabetes mellitus. Metabolism 2002, 51, 932–934. [Google Scholar] [CrossRef] [PubMed]

| Parameter | |||||
|---|---|---|---|---|---|
| Initially | After 12 Months | After 24 Months | p Value (0 vs. 12 Months) | p Value (0 vs. 24 Months) | |
| IGF-1 (ng/mL) | 47.07 (8.57–138.8) | 155.1 (36.04–265.1) | 153.19 (58.02–303.9) | <0.001 | <0.001 |
| Ox-LDL (ng/mL) | 1643 (1233–1910) | 1623 (1066–2154) | 1187 (919.5–1887) | <0.05 | <0.00001 |
| Trx (ng/mL) | 3.90 (2.66–6.88) | 4.59 (2.18–11.6) | 5.1 (2.7–10.2) | 0.38 | <0.05 |
| E-selectin (pg/mL) | 5736 (1043–14,414) | 5649 (2040–9500) | 3828 (717.4–7692) | 0.54 | <0.001 |
| P-selectin (pg/mL) | 83,493 (35,819–147,352) | 95,089 (37,656–188,437) | 91,296 (41,620–12,1511) | 0.20 | 0.37 |
| ICAM-1 (pg/mL) | 99,269 (44,598–130,792) | 102,415 (38,572–146,950) | 79,565 (23,092–129,154) | 0.79 | <0.05 |
| VCAM-1 (ng/mL) | 953.8 (753.1–1258) | 1001 (761–1394) | 838.1 (532–993.7) | 0.62 | =0.05 |
| OGG-1 (ng/mL) | 4.14 (2.53–5.7) | 5.42 (2.4–8.63) | 6.8 (3.7–12.8) | 0.65 | <0.05 |
| Cholesterol (mg/dL) | 201 (114–302) | 199 (114–295) | 200.4 (114–302) | 0.69 | 0.13 |
| LDL (mg/dL) | 126 (65–219) | 131 (58–216) | 127 (65–219) | 0.20 | 0.49 |
| HDL (mg/dL) | 43 (24–85) | 50 (27–80) | 46.6 (24–79) | 0.20 | 0.09 |
| TGs (mg/dL) | 120 (51–684) | 120.5 (45–326) | 153.3 (51–684) | 0.67 | 0.35 |
| Vitamin D (ng/mL) | 34.2 (9.6–70.7) | 33.0 (9.5–54.2) | 38.6 (17.3–57.7) | 0.95 | 0.21 |
| Glucose (mg/dL) | 89 (80–180) | 86 (76–147) | 85 (74–145) | 0.69 | 0.69 |
| Parameter | |||||
|---|---|---|---|---|---|
| Initially | After 12 months | After 24 months | p Value (0 vs. 12 months) | p Value (0 vs. 24 months) | |
| Total mass (kg) | 78.6 (39.6–167.3) | 78.0 (62.3–156) | 86.9 (59.8–167.3) | 0.51 | 0.05 |
| Tissue fat % | 37.5 (27.4–50.4) | 38.4 (26.7–48.7) | 39.7 (27.4–60.4) | 0.04 | 0.001 |
| Fat tissue (g) | 28,434 (13,891–82,462) | 29,937 (16,939–67,385) | 33,868 (16,881–82,462) | 0.08 | 0.05 |
| Lean mass (g) | 48,646 (23,996–81,228) | 45,550 (36,530–84,977) | 50,021 (34,296–81,228) | 0.49 | 0.0008 |
| BMC | 2547 (1261–3778) | 2568 (1770–3650) | 2731 (1844–3778) | 0.42 | 0.72 |
| L1–L4 BMD | 1.09 (0.8–1.6) | 1.1 (0.9–1.5) | 1.2 (0.9–1.6) | 0.73 | 0.04 |
| L1–L4 T score | −1.1 (−3.4–+3.2) | −0.3 (−2.0–+2.4) | −0.1 (−2.5–+3.2) | 0.17 | 0.1 |
| L1–L4 Z score | −1.1 (−3.7–+3.0) | −0.9 (−2.3–+2.0) | −0.3 (−2.2–+3.0) | 0.73 | 0.13 |
| Neck BMD | 0.95 (0.7–1.4) | 0.96 (0.77–1.5) | 1.04 (0.74–1.4) | 0.29 | 0.0002 |
| Neck T score | −0.8 (−2.1–+2.3) | −0.6 (−1.9–+2.5) | −0.63 (−2.1–+2.3) | 0.79 | 0.92 |
| Neck Z score | −0.9 (−2.2–+2.0) | −1.0 (−2.0–+2.3) | −0.43 (−2.1–+2.0) | 0.72 | 0.0018 |
| Parameter | Initially | After 12 Months | After 24 Months |
|---|---|---|---|
| Ox-LDL (ng/mL) vs. P-selectin (pg/mL) | NS | NS | p = 0.02 R = 0.60 |
| Ox-LDL (ng/mL) vs. Lean (g) | NS | p = 0.02 R = 0.63 | NS |
| E-selectin (pg/mL) vs. VCAM-1 (ng/mL) | NS | NS | p = 0.05 R = 0.57 |
| E-selectin (pg/mL) vs. HDL (mg/dL) | NS | NS | p = 0.01 R = −0.67 |
| E-selectin (pg/mL) vs. Waist (cm) | NS | NS | p = 0.04 R = 0.57 |
| Trx (ng/mL) vs. Tissue (g) | NS | NS | p = 0.04 R = 0.71 |
| Trx (ng/mL) vs. Vitamin D (mg/dL) | NS | NS | p = 0.01 R = −0.69 |
| Trx (ng/mL) vs. Fat (g) | NS | NS | p = 0.01 R = 0.71 |
| ICAM-1 (pg/mL) vs. BMI (kg/m2) | NS | NS | p = 0.04 R = 0.55 |
| ICAM-1 (pg/mL) vs. Waist (cm) | NS | p = 0.03 R = 0.58 | p = 0.04 R = 0.57 |
| ICAM-1 (pg/mL) vs. Hip (cm) | NS | NS | p = 0.02 R = 0.61 |
| ICAM-1 (pg/mL) vs. LDL (mg/L) | NS | NS | p = 0.04 R = −0.57 |
| P-selectin (pg/mL) vs. BMI (kg/m2) | NS | NS | p = 0.02 R = 0.64 |
| P-selectin (pg/mL) vs. Tissue (g) | NS | NS | p = 0.03 R = 0.63 |
| P-selectin (pg/mL) vs. Fat (g) | NS | p = 0.04 R = 0.57 | NS |
| VCAM-1 (ng/mL) vs. Glucose (mg/dL) | NS | NS | p = 0.03 R = 0.58 |
| LDL (mg/dL) vs. L1–L4 Z-score | NS | NS | p = 0.03 R = −0.58 |
| LDL (mg/dL) vs. Lean (g) | NS | NS | p = 0.01 R = −0.33 |
| HDL (mg/dL) vs. IGF-1 (ng/mL) | NS | NS | p = 0.02 R = −0.59 |
| HDL (mg/dL) vs. Lean (g) | NS | p < 0.01 R = −0.73 | p = 0.01 R = −0.68 |
| TGs (mg/dL) vs. L1–L4 T-score | NS | NS | p = 0.03 R = 0.60 |
| TGs (mg/dL) vs. L1–L4 Z-score | NS | NS | p = 0.05 R = 0.54 |
| Lean (g) vs. L1–L4 BMD | NS | p < 0.001 R = 0.78 | p = 0.05 R = 0.55 |
| Lean (g) vs. L1–L4 T-score | NS | p = 0.01 R = 0.67 | NS |
| Lean (g) vs. L1–L4 Z-score | NS | p = 0.04 R = 0.53 | NS |
| Lean (g) vs. Neck BMD | NS | p < 0.01 R = 0.72 | p = 0.01 R = 0.69 |
| Lean (g) vs. Neck T-score | NS | p = 0.02 R = 0.68 | p = 0.03 R = 0.60 |
| Lean (g) vs. Neck Z-score | NS | p = 0.01 R = 0.67 | NS |
| Sex | Age (Years) | Treatment (Before rhGH) | Dose of rhGH | Etiology GHD | IGF-1 (ng/mL) Initially | BMI (kg/m2) Initially | CO-GHD in History | |
|---|---|---|---|---|---|---|---|---|
| P1 | F | 41 | HCT, L, D, Es/Pg | 0.5 mg | CPGP | 68.6 | 30.9 | + |
| P2 | M | 25 | L, T | 0.5 mg | NFPM | 62.8 | 24.8 | + |
| P3 | M | 18 | T | 0.4 mg | CPH | 27.3 | 22.8 | + |
| P4 | F | 26 | HCT, L, Es/Pg | 0.6 mg | CPH | 40.1 | 29.0 | + |
| P5 | M | 19 | D, L, T, HCT | 0.3 mg | CPGP | 74.8 | 34.9 | + |
| P6 | F | 60 | HCT, L | 0.4 mg | ES | 15.11 | 24.3 | - |
| P7 | M | 20 | L, HCT, T | 0.3 mg | CPH | 91.8 | 28.1 | + |
| P8 | M | 23 | - | 0.3 mg | I | 138.8 | 25.9 | - |
| P9 | F | 38 | L, HCT, Es/Pg | 0.5 mg | NFPM | 47.07 | 24.9 | - |
| P10 | M | 18 | T | 0.2 mg | I | 120.2 | 20.4 | + |
| P11 | M | 28 | L, HCT, T, D | 0.3 mg | CPGP | 22.6 | 27.1 | + |
| P12 | M | 42 | L, T, D | 0.3 mg | CPGP | 63.0 | 54.1 | + |
| P13 | M | 36 | HCT, L, T | 0.5 mg | CPGP | 48.9 | 21.5 | + |
| P14 | M | 18 | L, HCT, D, T | 0.7 mg | CPGP | 54.4 | 24.4 | + |
| P15 | M | 25 | L, HCT, T | 0.5 mg | CPGP | 8.6 | 35.8 | + |
Disclaimer/Publisher’s Note: The statements, opinions and data contained in all publications are solely those of the individual author(s) and contributor(s) and not of MDPI and/or the editor(s). MDPI and/or the editor(s) disclaim responsibility for any injury to people or property resulting from any ideas, methods, instructions or products referred to in the content. |
© 2026 by the authors. Licensee MDPI, Basel, Switzerland. This article is an open access article distributed under the terms and conditions of the Creative Commons Attribution (CC BY) license.
Share and Cite
Kościuszko, M.; Buczyńska, A.; Hryniewicka, J.; Adamska, A.; Siewko, K.; Zaniuk, M.; Krętowski, A.J.; Popławska-Kita, A. Twenty-Four-Month rhGH Intervention: Insights into Redox Regulation, Vascular Biomarkers, and Body Composition in Adult GHD Patients. Int. J. Mol. Sci. 2026, 27, 1451. https://doi.org/10.3390/ijms27031451
Kościuszko M, Buczyńska A, Hryniewicka J, Adamska A, Siewko K, Zaniuk M, Krętowski AJ, Popławska-Kita A. Twenty-Four-Month rhGH Intervention: Insights into Redox Regulation, Vascular Biomarkers, and Body Composition in Adult GHD Patients. International Journal of Molecular Sciences. 2026; 27(3):1451. https://doi.org/10.3390/ijms27031451
Chicago/Turabian StyleKościuszko, Maria, Angelika Buczyńska, Justyna Hryniewicka, Agnieszka Adamska, Katarzyna Siewko, Marcin Zaniuk, Adam Jacek Krętowski, and Anna Popławska-Kita. 2026. "Twenty-Four-Month rhGH Intervention: Insights into Redox Regulation, Vascular Biomarkers, and Body Composition in Adult GHD Patients" International Journal of Molecular Sciences 27, no. 3: 1451. https://doi.org/10.3390/ijms27031451
APA StyleKościuszko, M., Buczyńska, A., Hryniewicka, J., Adamska, A., Siewko, K., Zaniuk, M., Krętowski, A. J., & Popławska-Kita, A. (2026). Twenty-Four-Month rhGH Intervention: Insights into Redox Regulation, Vascular Biomarkers, and Body Composition in Adult GHD Patients. International Journal of Molecular Sciences, 27(3), 1451. https://doi.org/10.3390/ijms27031451

