Acute Resistance Exercise Temporarily Reduces Circulating Adiponectin in Trained Young Men: A Pilot Study
Abstract
1. Introduction
2. Materials and Methods
2.1. Participants’ Recruitment
2.2. Experimental Procedures
2.3. Details of Experimental Testing Sessions
2.4. Adiponectin and CK Dosage
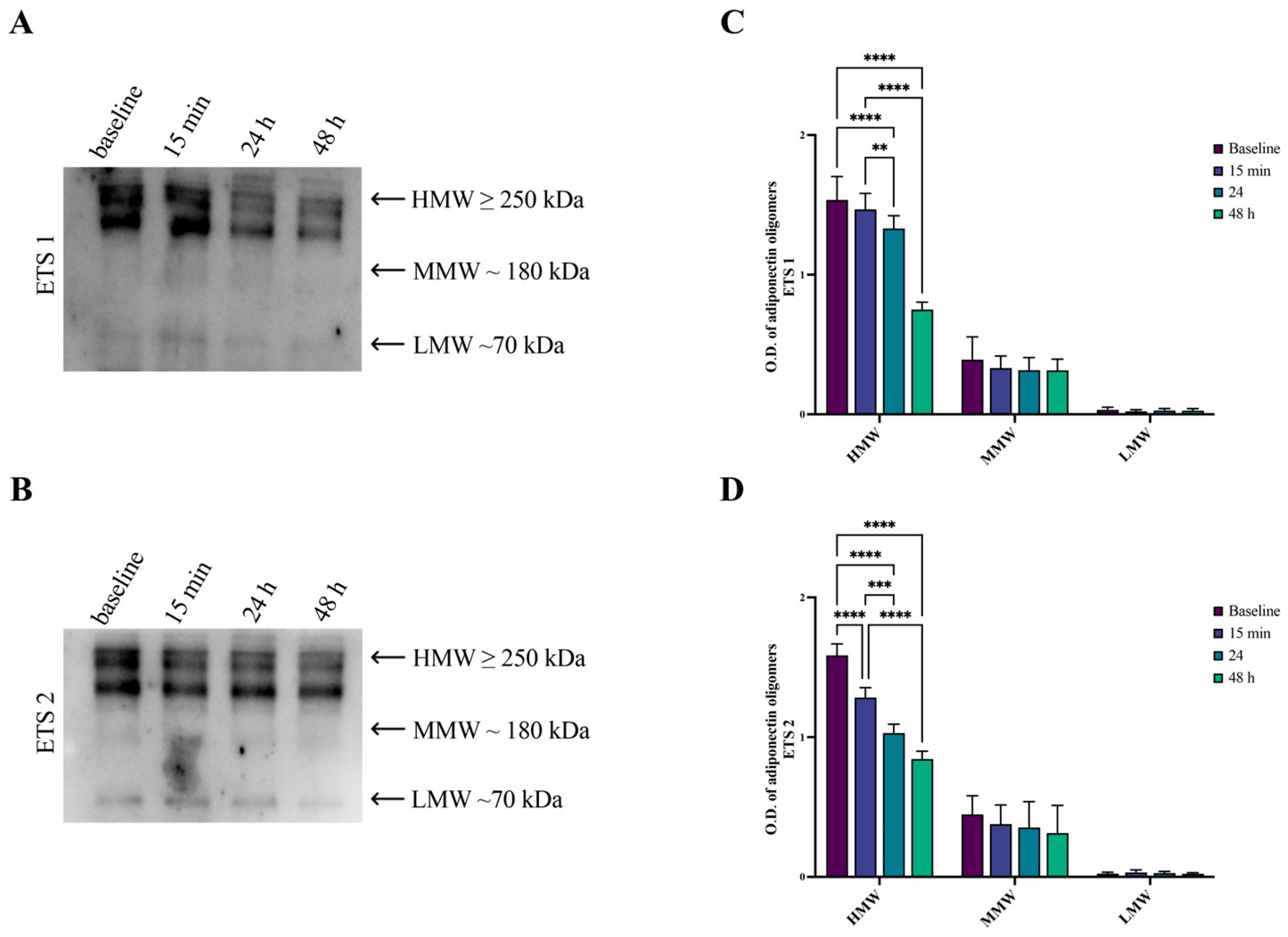
2.5. Adiponectin Oligomers Evaluation by Western Blotting
2.6. Statistics
3. Results
3.1. Plasma Adiponectin Decreases in a Time-Dependent Manner Following Both Training Protocols, While Salivary Levels Do Not Change
3.2. HMW Adiponectin Oligomers Decrease Following Both Training Protocols
3.3. Plasma Creatine Kinase Increases Transiently Following Both Training Protocols
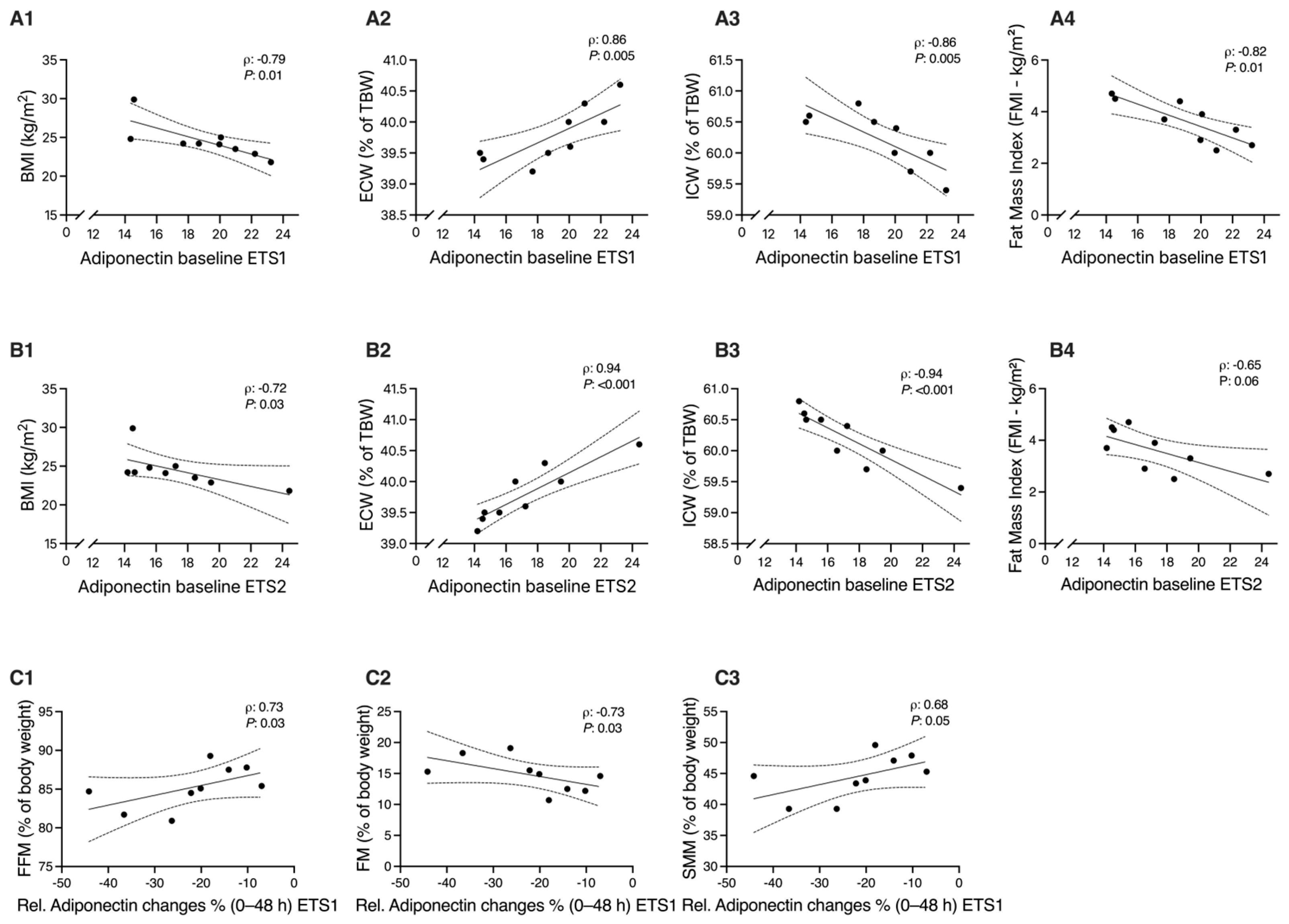
3.4. Adiponectin Levels Correlate with BMI, Body Composition, and Distribution of Body Fluid
4. Discussion
5. Conclusions
Supplementary Materials
Author Contributions
Funding
Institutional Review Board Statement
Informed Consent Statement
Data Availability Statement
Acknowledgments
Conflicts of Interest
References
- Klöting, N.; Blüher, M. Adipocyte dysfunction, inflammation and metabolic syndrome. Rev. Endocr. Metab. Disord. 2014, 15, 277. [Google Scholar] [CrossRef]
- Kadowaki, T.; Yamauchi, T.; Kubota, N.; Hara, K.; Ueki, K.; Tobe, K. Adiponectin and adiponectin receptors in insulin resistance, diabetes, and the metabolic syndrome. J. Clin. Investig. 2006, 116, 1784. [Google Scholar] [CrossRef]
- Wu, O.; Lu, X.; Leng, J.; Zhang, X.; Liu, W.; Yang, F.; Zhang, H.; Li, J.; Khederzadeh, S.; Liu, X.; et al. Reevaluating Adiponectin’s impact on obesity hypertension: A Chinese case-control study. BMC Cardiovasc. Disord. 2024, 24, 208. [Google Scholar] [CrossRef]
- Yamauchi, T.; Kamon, J.; Ito, Y.; Tsuchida, A.; Yokomizok, T.; Kita, S.; Sugiyama, T.; Miyagishi, M.; Hara, K.; Tsunoda, M.; et al. Cloning of adiponectin receptors that mediate antidiabetic metabolic effects. Nature 2003, 423, 762–769. [Google Scholar] [CrossRef]
- Yamauchi, T.; Nio, Y.; Maki, T.; Kobayashi, M.; Takazawa, T.; Iwabu, M.; Okada-Iwabu, M.; Kawamoto, S.; Kubota, N.; Kubota, T.; et al. Targeted disruption of AdipoR1 and AdipoR2 causes abrogation of adiponectin binding and metabolic actions. Nat. Med. 2006, 13, 332. [Google Scholar] [CrossRef] [PubMed]
- Pedersen, B.K.; Saltin, B. Exercise as medicine—Evidence for prescribing exercise as therapy in 26 different chronic diseases. Scand. Med. Sci. Sports 2015, 25, 1–72. [Google Scholar] [CrossRef] [PubMed]
- Warburton, D.E.R.; Bredin, S.S.D. Health benefits of physical activity. Curr. Opin. Cardiol. 2017, 32, 541. [Google Scholar] [CrossRef] [PubMed]
- Corbi, G.; Polito, R.; Monaco, M.L.; Cacciatore, F.; Scioli, M.; Ferrara, N.; Daniele, A.; Nigro, E. Adiponectin Expression and Genotypes in Italian People with Severe Obesity Undergone a Hypocaloric Diet and Physical Exercise Program. Nutrients 2019, 11, 2195. [Google Scholar] [CrossRef]
- Leal, L.G.; Lopes, M.A.; Batista, M.L. Physical Exercise-Induced Myokines and Muscle-Adipose Tissue Crosstalk: A Review of Current Knowledge and the Implications for Health and Metabolic Diseases. Front. Physiol. 2018, 9, 1307. [Google Scholar] [CrossRef]
- Kraemer, W.J.; Keijo, H.A.; Triplett-Mcbride, N.T.; Fry, A.C.; Koziris, L.P.; Ratamess, N.A.; Bauer, J.E.; Volek, J.S.; Mcconnell, T.; Newton, R.U.; et al. Physiological Changes with Periodized Resistance Training in Women Tennis Players. Med. Sci. Sports Exerc. 2003, 35, 157–168. [Google Scholar] [CrossRef]
- Simpson, K.A.; Singh, M.A.F. Effects of Exercise on Adiponectin: A Systematic Review. Obesity 2008, 16, 241. [Google Scholar] [CrossRef] [PubMed]
- Yue, H.; Zhang, Q.; Chang, S.; Zhao, X.; Wang, M.; Li, W. Adiponectin protects against myocardial ischemia–reperfusion injury: A systematic review and meta-analysis of preclinical animal studies. Lipids Health Dis. 2024, 23, 51. [Google Scholar] [CrossRef] [PubMed]
- Wu, W.; Jian, Y.; Yuan, S.; Li, X.; Tang, Y.; Zeng, F.; Liu, W.; Zhao, Z.; Wang, Y.; Wang, Y.; et al. Exercise-promoted adiponectin secretion activates autolysosomes to protect the liver of ApoE−/− mice from a high-fat die. Food Funct. 2024, 15, 9796–9812. [Google Scholar] [CrossRef] [PubMed]
- Dankel, S.J.; Mattocks, K.T.; Jessee, M.B.; Buckner, S.L.; Mouser, J.G.; Loenneke, J.P. Do metabolites that are produced during resistance exercise enhance muscle hypertrophy? Eur. J. Appl. Physiol. 2017, 117, 2125. [Google Scholar] [CrossRef]
- Schoenfeld, B.J. The Mechanisms of Muscle Hypertrophy and Their Application to Resistance Training. J. Strength Cond. Res. 2010, 24, 2857–2872. [Google Scholar] [CrossRef]
- Abe, T.; Kitaoka, Y.; Kikuchi, D.M.; Takeda, K.; Numata, O.; Takemasa, T. High-intensity interval training-induced metabolic adaptation coupled with an increase in Hif-1 and glycolytic protein expression. J. Appl. Physiol. 2015, 119, 1297–1302. [Google Scholar] [CrossRef]
- Voss, S.C.; Nikolovski, Z.; Bourdon, P.C.; Alsayrafi, M.; Schumacher, Y.O. The effect of cumulative endurance exercise on leptin and adiponectin and their role as markers to monitor training load. Biol. Sport. 2016, 33, 23–28. [Google Scholar] [CrossRef]
- Campa, F.; Coratella, G.; Cerullo, G.; Noriega, Z.; Francisco, R.; Charrier, D.; Irurtia, A.; Lukaski, H.; Silva, A.M.; Paoli, A. High-standard predictive equations for estimating body composition using bioelectrical impedance analysis: A systematic review. J. Transl. Med. 2024, 22, 515. [Google Scholar] [CrossRef]
- Schoenfeld, B.J.; Grgic, J.; Van Every, D.W.; Plotkin, D.L. Loading Recommendations for Muscle Strength, Hypertrophy, and Local Endurance: A Re-Examination of the Repetition Continuum. Sports 2021, 9, 32. [Google Scholar] [CrossRef]
- Calixto, R.; Verlengia, R.; Crisp, A.; Carvalho, T.; Crepaldi, M.; Pereira, A.; Yamada, A.; Da Mota, G.; Lopes, C. Acute effects of movement velocity on blood lactate and growth hormone responses after eccentric bench press exercise in resistance-trained men. Biol. Sport 2014, 31, 289. [Google Scholar] [CrossRef][Green Version]
- Mallardo, M.; D’alleva, M.; Lazzer, S.; Giovanelli, N.; Graniero, F.; Billat, V.; Fiori, F.; Marinoni, M.; Parpinel, M.; Daniele, A.; et al. Improvement of adiponectin in relation to physical performance and body composition in young obese males subjected to twenty-four weeks of training programs. Heliyon 2023, 9, e15790. [Google Scholar] [CrossRef]
- Abt, G.; Boreham, C.; Davison, G.; Jackson, R.; Jobson, S.; Wallace, E.; Williams, M. Sample size estimation revisited. J. Sport Sci. 2025, 43, 2511–2516. [Google Scholar] [CrossRef] [PubMed]
- Xia, J.Y.; Sun, K.; Hepler, C.; Ghaben, A.L.; Gupta, R.K.; An, Y.A.; Holland, W.L.; Morley, T.S.; Adams, A.C.; Gordillo, R.; et al. Acute loss of adipose tissue-derived adiponectin triggers immediate metabolic deterioration in mice. Diabetologia 2019, 61, 932. [Google Scholar] [CrossRef] [PubMed]
- Barroso, L.S.S.; Faria, M.H.S.; Souza-Gomes, A.F.; Barros, J.L.V.M.; Kakehasi, A.M.; Vieira, E.L.M.; Simões E Silva, A.C.; Nunes-Silva, A. Acute and Chronic Effects of Strength Training on Plasma Levels of Adipokines in Man. Int. J. Sports Med. 2023, 44, 751. [Google Scholar] [CrossRef]
- Fatouros, I.G.; Tournis, S.; Leontsini, D.; Jamurtas, A.Z.; Sxina, M.; Thomakos, P.; Manousaki, M.; Douroudos, I.; Taxildaris, K.; Mitrakou, A. Leptin and Adiponectin Responses in Overweight Inactive Elderly Following Resistance Training and Detraining Are Intensity Related. J. Clin. Endocrinol. Metab. 2005, 90, 5970–5977. [Google Scholar] [CrossRef]
- Punyadeera, C.; Zorenc, A.H.G.; Koopman, R.; McAinch, A.J.; Smit, E.; Manders, R.; Keizer, H.A.; Cameron-Smith, D.; Van Loon, L.J.C. The Effects of Exercise and Adipose Tissue Lipolysis on Plasma Adiponectin Concentration and Adiponectin Receptor Expression in Human Skeletal Muscle. Eur. J. Endocrinol. 2005, 152, 427–436. [Google Scholar] [CrossRef] [PubMed]
- Kazak, L.; Rahbani, J.F.; Samborska, B.; Lu, G.Z.; Jedrychowski, M.P.; Lajoie, M.; Zhang, S.; Ramsay, L.C.; Dou, F.Y.; Tenen, D.; et al. Ablation of adipocyte creatine transport impairs thermogenesis and causes diet-induced obesity. Nat. Metab. 2019, 1, 360. [Google Scholar] [CrossRef]
- Mallardo, M.; Daniele, A.; Musumeci, G.; Nigro, E. A Narrative Review on Adipose Tissue and Overtraining: Shedding Light on the Interplay among Adipokines, Exercise and Overtraining. Int. J. Mol. Sci. 2024, 25, 4089. [Google Scholar] [CrossRef]
- Riis, J.L.; Bryce, C.I.; Ha, T.; Hand, T.; Stebbins, J.L.; Matin, M.; Jaedicke, K.M.; Granger, D.A. Adiponectin: Serum-saliva associations and relations with oral and systemic markers of inflammation. Peptides 2017, 91, 58–64. [Google Scholar] [CrossRef]
- Impellizzeri, F.M.; Murphy, J.; Mesquida, C.; Warne, J.; Hecksteden, A.; Batomen, B.; Wang, C.; Meyer, T.; Lakens, D. Introducing a new “Preliminary Report” submission category for small-sample intervention studies: Rationale and instructions. Sci. Med. Footb. 2025, 10, 1–11. [Google Scholar] [CrossRef]
- Wang, Y.; Ge, M.; Wang, J.; Xu, Y.; Wang, N.; Xu, S. Metabolic reprogramming in ischemic stroke: When glycolytic overdrive meets lipid storm. Cell Death Dis. 2025, 16, 788. [Google Scholar] [CrossRef] [PubMed]






| Variables | Mean | SD |
|---|---|---|
| Age (yrs) | 23.9 | 3.0 |
| Height (cm) | 177.3 | 8.7 |
| Weight (kg) | 76.9 | 8.5 |
| BMI (kg/m2) | 24.5 | 2.3 |
| Phase Angle (PhA) (°) | 7.3 | 0.3 |
| FFM (% of body weight) | 85.2 | 2.7 |
| FM (% of body weight) | 14.8 | 2.7 |
| Skeletal Muscle Mass (SMM, % of body weight) | 44.5 | 3.5 |
| Ratio BW/1RMLP | 2.7 | 0.4 |
| ACSM Relative Strength Percentile (1RM/BW) | 88.9 | 3.3 |
| Exercise | ETS1 | ETS2 | ||||||
|---|---|---|---|---|---|---|---|---|
| Set | Repetition | TUT | Rest | Set | Repetition | TUT | Rest | |
| (Sec. E-I-C-I) | (Sec. E-I-C-I) | |||||||
| 90° Leg Press | 4 | selected by participants, carrying out sets to muscular failure | 5-1-2-1 | 90 s | 4 | selected by participants, ending each set with buffer of two repetitions in reserve (RIR) | 2-1-2-1 | 90 s |
| Prone Last Pulldown | ||||||||
| Prone Leg Curl | ||||||||
| Seated Chest Press | ||||||||
| Leg Extension | ||||||||
| Seated Shoulder Press | ||||||||
| Standing Cable Triceps Extension | 3 | 3 | ||||||
| Standing Biceps Curl (dumbbells) | ||||||||
Disclaimer/Publisher’s Note: The statements, opinions and data contained in all publications are solely those of the individual author(s) and contributor(s) and not of MDPI and/or the editor(s). MDPI and/or the editor(s) disclaim responsibility for any injury to people or property resulting from any ideas, methods, instructions or products referred to in the content. |
© 2026 by the authors. Licensee MDPI, Basel, Switzerland. This article is an open access article distributed under the terms and conditions of the Creative Commons Attribution (CC BY) license.
Share and Cite
Marano, L.; Mallardo, M.; Nigro, E.; Memon, F.; Fylymonenko, V.; Martegani, E.; Missaglia, S.; Cereda, F.; Tavian, D.; Daniele, A. Acute Resistance Exercise Temporarily Reduces Circulating Adiponectin in Trained Young Men: A Pilot Study. Biomolecules 2026, 16, 229. https://doi.org/10.3390/biom16020229
Marano L, Mallardo M, Nigro E, Memon F, Fylymonenko V, Martegani E, Missaglia S, Cereda F, Tavian D, Daniele A. Acute Resistance Exercise Temporarily Reduces Circulating Adiponectin in Trained Young Men: A Pilot Study. Biomolecules. 2026; 16(2):229. https://doi.org/10.3390/biom16020229
Chicago/Turabian StyleMarano, Luigi, Marta Mallardo, Ersilia Nigro, Furqan Memon, Viktoriia Fylymonenko, Eleonora Martegani, Sara Missaglia, Ferdinando Cereda, Daniela Tavian, and Aurora Daniele. 2026. "Acute Resistance Exercise Temporarily Reduces Circulating Adiponectin in Trained Young Men: A Pilot Study" Biomolecules 16, no. 2: 229. https://doi.org/10.3390/biom16020229
APA StyleMarano, L., Mallardo, M., Nigro, E., Memon, F., Fylymonenko, V., Martegani, E., Missaglia, S., Cereda, F., Tavian, D., & Daniele, A. (2026). Acute Resistance Exercise Temporarily Reduces Circulating Adiponectin in Trained Young Men: A Pilot Study. Biomolecules, 16(2), 229. https://doi.org/10.3390/biom16020229

