Sign in to use this feature.

Years

Between: -

Subjects

remove_circle_outline
remove_circle_outline
remove_circle_outline
remove_circle_outline
remove_circle_outline

Journals

Article Types

Countries / Regions

Search Results (21)

Search Parameters:
Keywords = input shaper

Order results
Result details
Results per page
Select all
Export citation of selected articles as:
18 pages, 1942 KB  
Article
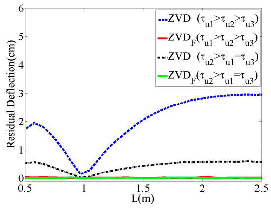
Research on Active Suppression Methods for End-Effector Residual Vibration of Heavy-Load Collaborative Robots in Arbitrary Poses
by Ran Shi, Shengsi Fan, Zhibin Li and Yunjiang Lou
Appl. Sci. 2025, 15(18), 10011; https://doi.org/10.3390/app151810011 - 12 Sep 2025
Viewed by 256
Abstract
Heavy-load collaborative robots are increasingly used in fields such as industrial handling and precision assembly. With the increase in the end load of the robotic arm and the acceleration of its movement speed, after the robotic arm completes a preset trajectory, due to [...] Read more.
Heavy-load collaborative robots are increasingly used in fields such as industrial handling and precision assembly. With the increase in the end load of the robotic arm and the acceleration of its movement speed, after the robotic arm completes a preset trajectory, due to factors such as inertia, the flexibility of the robotic arm’s rods and the harmonic reducer materials at the joints, there will still be residual vibration for a period of time after the robotic arm reaches the end point. On the one hand, residual vibration will have an adverse impact on the high-precision and high-performance operations of the robotic arm, affecting the operation accuracy and thus the production quality. On the other hand, many operations need to wait until the robotic arm completely stops before proceeding. In practical applications, the time spent waiting for the robotic arm to stop significantly affects efficiency. Therefore, effectively suppressing residual vibration is crucial to improving the performance of the robotic arm. To solve the problem of end residual vibration in heavy-load six-axis collaborative robots, this paper conducts research on input shaping and the estimation of robot end vibration parameters in arbitrary poses. The innovation is that vibration parameters in arbitrary poses are estimated based on the established vibration parameter model. An input shaper is designed according to the derived design method of the input shaper, achieving a certain suppression effect on the residual vibration of the robot end. When the parameter identification error is small, the optimized vibration suppression effect reaches more than 70%, realizing rapid and robust vibration suppression. This research is of great significance for enhancing the application value of collaborative robots in precision manufacturing and heavy-duty handling. Full article
Show Figures

Figure 1

17 pages, 4352 KB  
Article
Phase Plane Trajectory Planning for Double Pendulum Crane Anti-Sway Control
by Kai Zhang, Wangqing Niu and Kailun Zhang
Algorithms 2025, 18(5), 246; https://doi.org/10.3390/a18050246 - 24 Apr 2025
Viewed by 470
Abstract
In view of the double pendulum characteristics of cranes in actual production, simply equating them to single pendulum characteristics and ignoring the mass of the hook will lead to significant errors in the oscillation frequency. To tackle this issue, an input-shaping double pendulum [...] Read more.
In view of the double pendulum characteristics of cranes in actual production, simply equating them to single pendulum characteristics and ignoring the mass of the hook will lead to significant errors in the oscillation frequency. To tackle this issue, an input-shaping double pendulum anti-sway control method based on phase plane trajectory planning is proposed. This method generates the required acceleration signal by designing an input shaper and calculates the acceleration switching time and amplitude of the trolley according to the phase plane swing angle and the physical constraints of the system. Through this strategy, it is ensured that the speed of the trolley and the swing angle of the load are always kept within the constraint range so that the trolley can reach the target position accurately. The comparative analysis of numerical simulation and existing control methods shows that the proposed control method can significantly reduce the swing angle amplitude and enable the system to enter the swing angle stable state faster. Numerical simulation and physical experiments show the effectiveness of the control method. Full article
(This article belongs to the Section Algorithms for Multidisciplinary Applications)
Show Figures

Figure 1

14 pages, 17104 KB  
Article
Rope on Rope: Reducing Residual Vibrations in Rope-Based Anchoring System and Rope-Driven Façade Operation Robot
by Kangyub Lee, Sahoon Ahn, Jeongmo Yang, Hwasoo Kim and Taewon Seo
Sensors 2025, 25(8), 2463; https://doi.org/10.3390/s25082463 - 14 Apr 2025
Viewed by 672
Abstract
Maintenance of the exteriors of buildings with convex façades, such as skyscrapers, is in high demand in urban centers. However, manual maintenance is inherently dangerous due to the possibility of accidental falls. Therefore, research has been conducted on cleaning robots as a replacement [...] Read more.
Maintenance of the exteriors of buildings with convex façades, such as skyscrapers, is in high demand in urban centers. However, manual maintenance is inherently dangerous due to the possibility of accidental falls. Therefore, research has been conducted on cleaning robots as a replacement for human workers, e.g., the dual ascension robot (DAR), which is an underactuated rope-driven robot, and the rope-riding mobile anchor (RMA), which is a rope-riding robot. These robots are equipped with a convex-façade-cleaning system. The DAR and RMA are connected to each other by a rope that enables vibration transmission between them. It also increases the instability of the residual vibration that occurs during the operation of the DAR. This study focused on reducing the residual vibrations of a DAR to improve the stability of the overall system. Because it is a rope-on-rope (ROR) system, we assumed it to be a simplified serial spring–damper system and analyzed its kinematics and dynamics. An input-shaping technique was applied to control the residual vibrations in the DAR. We also applied a disturbance observer to mitigate factors contributing to the system uncertainty, such as rope deformation, slip, and external forces. We experimentally validated the system and assessed the effectiveness of the control method, which consisted of the input shaper and disturbance observer. Consequently, the residual vibrations were reduced. Full article
(This article belongs to the Special Issue Intelligent Service Robot Based on Sensors Technology)
Show Figures

Figure 1

23 pages, 2403 KB  
Article
Input Shaping Control of a Flexible Structure for Rest-to-Rest and Non-Rest-to-Rest Maneuvers
by Shambo Bhattacharjee, Jae Jun Kim and Jennifer Hudson
Appl. Sci. 2025, 15(6), 2952; https://doi.org/10.3390/app15062952 - 9 Mar 2025
Cited by 1 | Viewed by 880
Abstract
Minimizing the vibrations of flexible structures during maneuvering is a challenging problem. Input shaping control is an effective way to reduce vibration, but in some cases, it does not guarantee a final rest state. In particular, if the initial state is not at [...] Read more.
Minimizing the vibrations of flexible structures during maneuvering is a challenging problem. Input shaping control is an effective way to reduce vibration, but in some cases, it does not guarantee a final rest state. In particular, if the initial state is not at rest, then it is difficult to bring the final state to rest at the end of a maneuver. This article proposes the use of a single-switch reference control combined with an optimized Zero Vibration Derivative-Derivative (ZVDD) shaper. The ZVDD-shaped torque profile is defined by a small number of parameters, which can be optimized by a standard numerical optimization algorithm. The resulting control is effective in reducing vibration and bringing the final state to rest, regardless of the starting conditions. Two examples related to rest-to-rest control and non-rest-to-rest control are presented. Full article
(This article belongs to the Section Aerospace Science and Engineering)
Show Figures

Figure 1

26 pages, 4540 KB  
Article
Modified Smith Input-Shaper Crane-Controller for Position Control and Sway Reduction
by Danijel Jolevski, Ozren Bego and Damir Jakus
Appl. Sci. 2025, 15(5), 2804; https://doi.org/10.3390/app15052804 - 5 Mar 2025
Viewed by 1197
Abstract
In this paper, the control structure for a crane system is proposed. It is designed to achieve fast cargo transfer with minimum cargo sway. The proposed control structure reduces the cargo sway generated by the position controller, which accelerates and decelerates cargo to [...] Read more.
In this paper, the control structure for a crane system is proposed. It is designed to achieve fast cargo transfer with minimum cargo sway. The proposed control structure reduces the cargo sway generated by the position controller, which accelerates and decelerates cargo to transfer it with minimum time from the start to the desired location. A comparison between results achieved by simulation and experiments in the laboratory is given. Each segment of the proposed control structure is analyzed, and reasons for their use in this control structure are explained. The laboratory model’s parameters are identified to parameterize the position controller and sway-reduction control structure. This control structure uses only the cargo’s position feedback because the main reason for cargo sway, for which a sway reduction is needed, is crane movement, which is controlled by the position controller. Other control structures use two types of feedback, while this proposed control structure uses only one. Because of this, it is also economical. Full article
(This article belongs to the Special Issue Dynamics and Vibrations of Nonlinear Systems with Applications)
Show Figures

Figure 1

23 pages, 1136 KB  
Article
A Reasoned Attempt to Mitigate Vibrations in Nonlinear Flexible Systems Influenced by Tractive–Elastic Rolling Contact Friction Through Input Shaping: A Case Study on a Trolley–Pipe Benchmark Transport System
by Gerardo Peláez, Pablo Izquierdo, Gustavo Peláez and Higinio Rubio
Actuators 2025, 14(2), 97; https://doi.org/10.3390/act14020097 - 17 Feb 2025
Viewed by 652
Abstract
The well-regarded feedforward control strategy known as Input Shaping is aimed at improving the dynamic response of flexible mechanical systems by reducing overshoot and residual vibration amplitude. Its validity has been confirmed by numerous studies dealing with linear system dynamics. However, its application [...] Read more.
The well-regarded feedforward control strategy known as Input Shaping is aimed at improving the dynamic response of flexible mechanical systems by reducing overshoot and residual vibration amplitude. Its validity has been confirmed by numerous studies dealing with linear system dynamics. However, its application in nonlinear systems, particularly those influenced by tractive–elastic rolling contact friction, remains a challenging and less explored open research area. This paper investigates whether Input Shaping, without tractive rolling friction compensation, can effectively mitigate vibrations in a trolley–pipe benchmark transport system. In this system, the pipe is modeled as a rolling disc attached to the trolley by a spring at its center of mass, while the trolley itself is connected to a guiding body frame by an additional spring acting as a proportional control. The natural frequencies of the system are analytically estimated and numerically verified from a corresponding well-suited multibody model. Thus, tailored two-mode shapers are designed based on simultaneous constraints and the convolution sum, respectively. Through multibody simulations, this study evaluates the performance of Input Shaping under tractive–elastic rolling contact friction conditions. The findings highlight both the potential and limitations of this control method in addressing nonlinear mechanical systems influenced by tractive–elastic rolling contact friction. Full article
(This article belongs to the Special Issue Nonlinear Active Vibration Control)
Show Figures

Figure 1

15 pages, 13783 KB  
Article
Robust Input Shaping Commands with First-Order Actuators
by Yoon-Gyung Sung and Seongjun Lee
Micromachines 2024, 15(9), 1086; https://doi.org/10.3390/mi15091086 - 28 Aug 2024
Cited by 2 | Viewed by 1010
Abstract
This paper presents robust input shaping commands with first-order actuators utilizing a classical robust input shaper for practical applications in input shaping technology. An ideal input shaping command can deviate due to actuator dynamics so that the modified command has a detrimental effect [...] Read more.
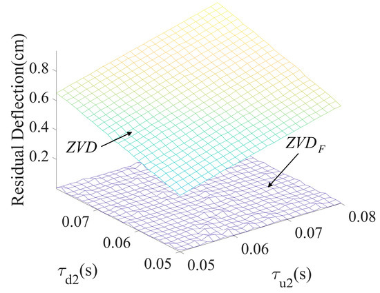
This paper presents robust input shaping commands with first-order actuators utilizing a classical robust input shaper for practical applications in input shaping technology. An ideal input shaping command can deviate due to actuator dynamics so that the modified command has a detrimental effect on the performance of oscillation reduction in feedforward control applications. A zero-vibration-derivative (ZVDF) shaper with first-order actuators is analytically proposed using a phasor–vector approach, an exponential function for the approximation of the dynamic response of first-order actuators and the usage of the ZVD shaper. In addition, an equivalent transformation is utilized based on the superposition principle for the convenient inclusion of first-order actuator dynamics and is applied to the individual segment input command. The residual deflection and robustness of the proposed robust input shaping commands are numerically evaluated and compared with those of a conventional ZVD shaper with respect to the parameter uncertainties of flexible systems and actuators. The robust input shaping commands that are possible with first-order actuators are experimentally validated, presenting a better robustness and residual deflection reduction performance than the classical ZVD shaper on a mini bridge crane. Full article
Show Figures

Figure 1

22 pages, 7686 KB  
Article
Investigation of the Robust Fractional Order Control Approach Associated with the Online Analytic Unity Magnitude Shaper: The Case of Wind Energy Systems
by Amina Mseddi, Ahmed Abid, Omar Naifar, Mohamed Rhaima, Abdellatif Ben Makhlouf and Lassaad Mchiri
Fractal Fract. 2024, 8(4), 187; https://doi.org/10.3390/fractalfract8040187 - 25 Mar 2024
Cited by 7 | Viewed by 1865
Abstract
This paper investigates the development of a novel analytic approach for computing Unity Magnitude (UM) shapers that deviates from established numerical methodologies. The experimental validation on a test bench confirms the practicality and benefits of the suggested UM shaper technique. The study extends [...] Read more.
This paper investigates the development of a novel analytic approach for computing Unity Magnitude (UM) shapers that deviates from established numerical methodologies. The experimental validation on a test bench confirms the practicality and benefits of the suggested UM shaper technique. The study extends the use of UM shapers to improve the control of wind conversion systems (WCSs), particularly those including hybrid excitation synchronous generators (HESGs), demonstrating their adaptability and versatility. Experimental validation guarantees real-world application, confirming the suggested UM shapers’ trustworthiness. Strict management is still required to assure the system’s efficiency and dependability. In reality, the dynamic equations of a turbine, as well as those of an HESG, are substantially nonlinear; most system parameters are very uncertain; and, finally, a WCS is always impacted by disturbance sources such as load variations, harmonics, and mechanical vibrations. Robust control measures must be used to overcome these issues. A CRONE controller (Robust Fractional Order Control) of the second generation is created. A comparative study performed on the Simulink platform reveals substantial gains brought about by UM shapers in real-world circumstances. The study demonstrates the effectiveness of UM-shaped inputs in mechanical stabilization and Maximum Power Point Tracking (MPPT), emphasizing both theoretical soundness and practical advantages. The analytic equations for UM shapers in undamped and damped systems, offered together with a real-time algorithm, contribute to the optimization of wind conversion systems. Full article
(This article belongs to the Special Issue Fractional Order Controllers for Non-linear Systems)
Show Figures

Figure 1

19 pages, 10471 KB  
Article
Robust Input Shapers for Acceleration-Limit Actuators
by Chang-Lae Kim and Yoon-Gyung Sung
Appl. Sci. 2023, 13(22), 12499; https://doi.org/10.3390/app132212499 - 20 Nov 2023
Cited by 3 | Viewed by 1582
Abstract
In this study, robust input shapers consisting of only three impulses are proposed for reducing the residual deflection of flexible systems with acceleration-limit actuators, while maintaining the robust control performance associated with system parameter uncertainties. The unequal acceleration and braking delays of such [...] Read more.
In this study, robust input shapers consisting of only three impulses are proposed for reducing the residual deflection of flexible systems with acceleration-limit actuators, while maintaining the robust control performance associated with system parameter uncertainties. The unequal acceleration and braking delays of such actuators can produce large residual oscillations owing to the distortion of shaped commands in undamped flexible systems during rest-to-rest operations. Thus, two types of robust input shapers are analytically developed using a phase vector approach with the adoption of the ramp-step function to approximate the dynamics of acceleration-limit actuators and with the utilization of conventional robust shapers. The proposed robust input shapers are numerically evaluated with respect to the command completeness effect, and the residual deflection and parameter uncertainties are experimentally validated using a mini bridge crane. The proposed robust shapers exhibit a higher robustness performance than classical robust input shapers. Full article
(This article belongs to the Special Issue Machine Automation: System Design, Analysis and Control)
Show Figures

Figure 1

14 pages, 28583 KB  
Article
Damping of Oscillations of a Rotary Pendulum System
by Adam Gavula, Peter Hubinský and Andrej Babinec
Appl. Sci. 2023, 13(21), 11946; https://doi.org/10.3390/app132111946 - 1 Nov 2023
Cited by 3 | Viewed by 3309
Abstract
This paper describes an innovative design based on the spectral approach of a novel shaper that eliminates frequency components that induce unwanted residual oscillations in various flexible mechanical systems, such as tower cranes or chain carousels, which are vital to many manufacturing and [...] Read more.
This paper describes an innovative design based on the spectral approach of a novel shaper that eliminates frequency components that induce unwanted residual oscillations in various flexible mechanical systems, such as tower cranes or chain carousels, which are vital to many manufacturing and material-handling processes. However, their physical structure leads to flexible effects that limit their usefulness. Apart from the circular motion problem, control is provided by a single actuator, which makes it a so-called underactuated system. The input signal needs to be modified so that the spectral components from several interconnected degrees of freedom are considered together during shaper design, which increases the complexity of this task since one of its components induces nonlinear behavior. This means that traditional shaping techniques, based on linear theory, fail to provide good performance over the whole input range. The underdamped dynamics of the model and the effect of nonlinearities on the spectrum of the final signal are examined; the proposed method for application as a command shaping control technique is applied; and its effectiveness is analyzed by simulation and real-time implementation. The theoretical results verified on an experimental crane system confirm the expected oscillation phenomenon and show that the designed nonlinear shaper can reduce the payload swing significantly. Full article
(This article belongs to the Section Robotics and Automation)
Show Figures

Figure 1

21 pages, 4025 KB  
Article
Optimization-Based Input-Shaping Swing Control of Overhead Cranes
by Weiqiang Tang, Rui Ma, Wei Wang and Haiyan Gao
Appl. Sci. 2023, 13(17), 9637; https://doi.org/10.3390/app13179637 - 25 Aug 2023
Cited by 15 | Viewed by 2526
Abstract
A novel swing control scheme combining optimization and input-shaping techniques is proposed for overhead cranes subjected to parameter variations and modeling errors. An input shaper was first designed using the analytical method based on the linear swing dynamic model. Then, the particle swarm [...] Read more.
A novel swing control scheme combining optimization and input-shaping techniques is proposed for overhead cranes subjected to parameter variations and modeling errors. An input shaper was first designed using the analytical method based on the linear swing dynamic model. Then, the particle swarm optimization algorithm was used to optimize the pulse amplitudes and time of the shaper to reduce the influence of modeling errors on the residual vibration. Furthermore, an adaptive optimization method was also used to optimize the parameters of the shaper to suppress the influence of the change in the payload mass and the rope length on the residual vibration. The proposed control scheme can suppress the influence of uncertainties on residual vibration and improve the anti-disturbance ability of a closed-loop system via offline and online dual optimization. Finally, the simulation results verify the effectiveness of the scheme. Full article
Show Figures

Figure 1

20 pages, 7426 KB  
Article
Research on the Residual Vibration Suppression of Delta Robots Based on the Dual-Modal Input Shaping Method
by Zhongfeng Guo, Jianqiang Zhang and Peisen Zhang
Actuators 2023, 12(2), 84; https://doi.org/10.3390/act12020084 - 15 Feb 2023
Cited by 4 | Viewed by 4000
Abstract
The Delta robot is a high-speed and high-precision parallel robot. When it is in function, the end effector generates residual vibration, which reduces the repeat positioning accuracy and positioning efficiency. The input shaping method has previously been shown to suppress the residual vibration [...] Read more.
The Delta robot is a high-speed and high-precision parallel robot. When it is in function, the end effector generates residual vibration, which reduces the repeat positioning accuracy and positioning efficiency. The input shaping method has previously been shown to suppress the residual vibration of the robot, but the vibration suppression effect of the single-modal input shaper is not good for the delta robot, which has multiple dominant modes for the residual vibration. To solve this problem, this paper proposes an effective method for residual vibration suppression of Delta robots based on dual-modal input shaping technology. Firstly, the modal analysis of the Delta robot is performed using finite element software, and the dominant modal of its residual vibration is determined. Secondly, six dual-modal input shapers are designed according to the obtained modal parameters. Finally, Simulink is used for simulation analysis to verify the robustness and vibration suppression performance of the designed six dual-modal input shapers and traditional single-modal input shapers. The simulation results show that the designed ZVD-EI dual-modal input shaper has good robustness, can effectively suppress the residual vibration of the Delta robot, and can effectively improve the repetitive positioning accuracy and work efficiency of the Delta robot when it is running at high speed. Full article
(This article belongs to the Special Issue Advanced Theory and Application of Magnetic Actuators)
Show Figures

Figure 1

12 pages, 702 KB  
Article
A 4-Channel Ultra-Low Power Front-End Electronics in 65 nm CMOS for ATLAS MDT Detectors
by Syed Adeel Ali Shah, Marcello De Matteis, Hubert Kroha, Markus Fras, Oliver Kortner, Robert Richter and Andrea Baschirotto
Electronics 2022, 11(7), 1001; https://doi.org/10.3390/electronics11071001 - 24 Mar 2022
Viewed by 2151
Abstract
A 4-channel front-end electronics (4 × FEE) system for the muon drift tube in the ATLAS detector in the High-Luminosity LHC is presented. The overall channel architecture is optimized to reduce the power and area of the design. Each channel comprises a charge-sensitive [...] Read more.
A 4-channel front-end electronics (4 × FEE) system for the muon drift tube in the ATLAS detector in the High-Luminosity LHC is presented. The overall channel architecture is optimized to reduce the power and area of the design. Each channel comprises a charge-sensitive preamplifier (CSP), shaper, discriminator and differential low-voltage signaling drivers. The proposed channel operates with a 5–100 fC input charge and exhibits a linear sensitivity of 8 mV/fC for the entire input charge range. The peaking time delay of the analog channel is 14.6 ns. At the output, the time representation of the input signal is provided in terms of the CMOS level and in scalable low-voltage signal (SLVS). The FEE consumes a current of 10.6 mA per channel from a single 1.2 V supply voltage. The full 4 × FEE design is realized in TSMC 65 nm CMOS technology and its die-area is 2 mm × 2 mm. Full article
(This article belongs to the Special Issue Design of Mixed Analog/Digital Circuits)
Show Figures

Figure 1

22 pages, 10778 KB  
Article
Vibration Suppression with Use of Input Shaping Control in Machining
by Mateusz Kasprowiak, Arkadiusz Parus and Marcin Hoffmann
Sensors 2022, 22(6), 2186; https://doi.org/10.3390/s22062186 - 11 Mar 2022
Cited by 18 | Viewed by 5398
Abstract
This article discusses the problem of vibrations during machining. The manufacturing process of generator turbine blades is highly complex. Machining using Computerized Numerical Control (CNC) requires low cutting parameters in order to avoid vibration problems. However, even under these conditions, the surface quality [...] Read more.
This article discusses the problem of vibrations during machining. The manufacturing process of generator turbine blades is highly complex. Machining using Computerized Numerical Control (CNC) requires low cutting parameters in order to avoid vibration problems. However, even under these conditions, the surface quality and accuracy of the manufactured objects suffer from high levels of vibrations. Hence, the aim of this research is to counteract this phenomenon. Basic issues related to vibration problems will also be also discussed and a short review of currently available solutions for both active and passive vibration monitoring during machining will be presented. The authors developed a method which does not require any additional equipment other than modified CNC code. The proposed method can be applied to any CNC machine, and is especially suitable for lathes. The method seeks to eradicate the phenomenon of vibrations by providing enhanced control through Input Shaping Control (ISC). For this purpose, the authors present a method for modeling the machining process and design an ISC filter; the model is then implemented in the Matlab and Simulink environment. The last part of the article presents the results, together with a discussion, and includes a brief summary. Full article
(This article belongs to the Special Issue Intelligent Mechatronic Systems—Materials, Sensors and Interfaces)
Show Figures

Figure 1

27 pages, 9718 KB  
Article
An 8.72 µW Low-Noise and Wide Bandwidth FEE Design for High-Throughput Pixel-Strip (PS) Sensors
by Folla Kamdem Jérôme, Wembe Tafo Evariste, Essimbi Zobo Bernard, Maria Liz Crespo, Andres Cicuttin, Mamun Bin Ibne Reaz and Mohammad Arif Sobhan Bhuiyan
Sensors 2021, 21(5), 1760; https://doi.org/10.3390/s21051760 - 4 Mar 2021
Cited by 6 | Viewed by 3174
Abstract
The front-end electronics (FEE) of the Compact Muon Solenoid (CMS) is needed very low power consumption and higher readout bandwidth to match the low power requirement of its Short Strip application-specific integrated circuits (ASIC) (SSA) and to handle a large number of pileup [...] Read more.
The front-end electronics (FEE) of the Compact Muon Solenoid (CMS) is needed very low power consumption and higher readout bandwidth to match the low power requirement of its Short Strip application-specific integrated circuits (ASIC) (SSA) and to handle a large number of pileup events in the High-Luminosity Large Hadron Collider (LHC). A low-noise, wide bandwidth, and ultra-low power FEE for the pixel-strip sensor of the CMS has been designed and simulated in a 0.35 µm Complementary Metal Oxide Semiconductor (CMOS) process. The design comprises a Charge Sensitive Amplifier (CSA) and a fast Capacitor-Resistor-Resistor-Capacitor (CR-RC) pulse shaper (PS). A compact structure of the CSA circuit has been analyzed and designed for high throughput purposes. Analytical calculations were performed to achieve at least 998 MHz gain bandwidth, and then overcome pileup issue in the High-Luminosity LHC. The spice simulations prove that the circuit can achieve 88 dB dc-gain while exhibiting up to 1 GHz gain-bandwidth product (GBP). The stability of the design was guaranteed with an 82-degree phase margin while 214 ns optimal shaping time was extracted for low-power purposes. The robustness of the design against radiations was performed and the amplitude resolution of the proposed front-end was controlled at 1.87% FWHM (full width half maximum). The circuit has been designed to handle up to 280 fC input charge pulses with 2 pF maximum sensor capacitance. In good agreement with the analytical calculations, simulations outcomes were validated by post-layout simulations results, which provided a baseline gain of 546.56 mV/MeV and 920.66 mV/MeV, respectively, for the CSA and the shaping module while the ENC (Equivalent Noise Charge) of the device was controlled at 37.6 e at 0 pF with a noise slope of 16.32 e/pF. Moreover, the proposed circuit dissipates very low power which is only 8.72 µW from a 3.3 V supply and the compact layout occupied just 0.0205 mm2 die area. Full article
(This article belongs to the Section Electronic Sensors)
Show Figures

Figure 1

Back to TopTop