Investigation of the Robust Fractional Order Control Approach Associated with the Online Analytic Unity Magnitude Shaper: The Case of Wind Energy Systems
Abstract
1. Introduction
- Maximization of power extracted from the wind in zone 2.
- Minimization of mechanical undulations and the forces suffered by the wind turbine during gusts of wind.
- Robustness to parametric variations and disturbances caused by intermittent wind energy.
- Analytic method for calculating UM shapers: One of the most important achievements of this study is the development of an analytic technique for calculating UM shapers. This technique sets our study apart from the previous literature, which is mostly based on numerical methodologies.
- Experimental validation: The proposed methodology is validated on an experimental test bench with changeable inertia. It turns out that it is robust to parameter uncertainty, which adds credibility and usefulness to our study by proving that theoretical advances are adaptable and successful in real-world circumstances.
- WCS behavior expansion: The research extends the use of UM shapers to harness the behavior of WCS, particularly those using HESG. This development demonstrates the versatility and adaptability of UM shapers, emphasizing their potential to change wind energy system control and optimization.
- Comparative research: We compare the performance of a WCS controlled by a second-generation CRONE controller (Robust Fractional Order Control) with a shaped input to that of an unshaped control input using the Simulink platform. This comparison investigation proves the performance enhancements brought about by UM shapers in the real world.
- Mechanical stabilization and MPP tracking efficiency: The study proves the efficiency of UM-shaped inputs in mechanical stabilization and Maximum Power Point Tracking.
2. Unity Magnitude Shaper: Background and Synthesis Methodology
2.1. Calculus of UM Shapers for Second-Order Plants
- (1)
- Proof
- , its natural frequency;
- , its damping ratio.
- (2)
- Analytic UM shaper synthesis for damped plants
- (3)
- Unity Magnitude shaper impulses times: graphical resolution
- (4)
- Advanced observation
- (5)
- Analytic expression of UM shaper impulse times
2.2. Robust Design of UM Shaper
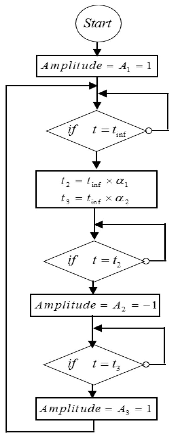
2.3. Real-Time Algorithm
- Determining the inflection point time for the nominal system through computation.
- Calculating and through computation.
- Deriving as and as through computation.
3. WCS Modeling
- P is the air density;
- Vw represents the wind velocity;
- S is the surface area swept by the blades;
- Rp is the blades radius;
- Cp is the aerodynamic efficiency is dependent on the pitch angle, β, and the tip speed ratio, λ.
4. Control of the WECS
4.1. Excitation Current Control
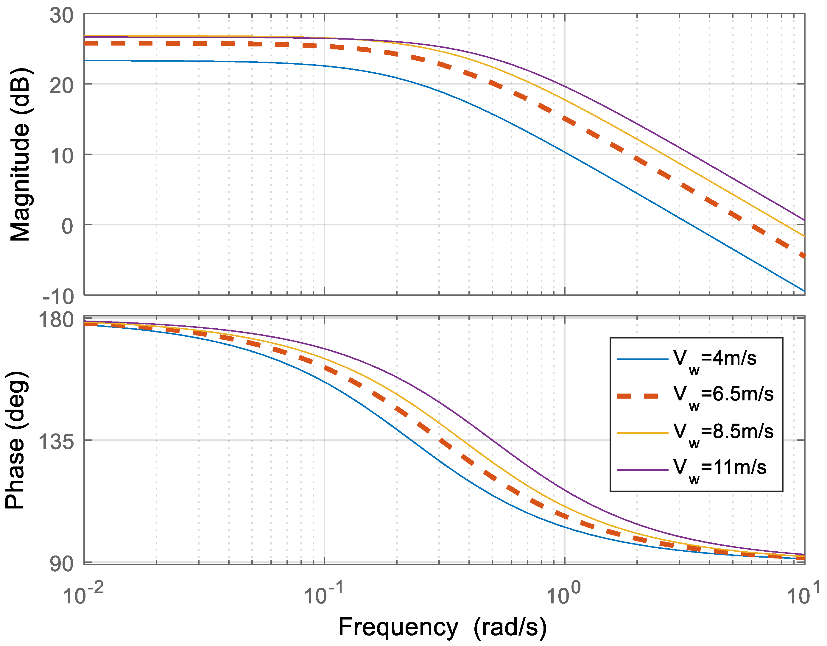
4.2. Crone Controller Synthesis
- The first generation is used if there are only nominal model gain variations to be controlled.
- The second one is used when there are nominal models gain changes to be checked as well as phase variations.
- The third generation should be used when the frequency response of the model to be monitored contains uncertainties of various types.
- G(s) is the uncertain model;
- KCRONE(s) is the CRONE controller;
- Ku is a constant providing a unit gain at the desired pulsation w0;
- Wh is the high transition frequency;
- wl is the low transition frequency;
- nh is the order in high frequencies;
- nl is the order in low frequencies;
- n is the order around w0.
- Good reference speed tracking.
- Good rejection of noise and disturbance.
- No static error in steady state.
- Non-saturation of the corrector due to a sudden change in wind speed limited to 0.5 m/s. Indeed, for this variation, we are almost around the same point of operation. Because of this, if the regulator is properly sized, it should ensure a smooth response.
- nh = 1.5 to limit the sensitivity of the input;
- nl = 2 to cancel the steady-state error;
- Mϕ = 85° to ensure closed-loop robustness.
4.3. Real-Time UM Shaper Extension on Hybrid Excitation Synchronous Generator Wind Conversion Systems: Online Input Shaping Implementaion
5. Validation and Analysis
5.1. Experimental Validation of the Performance of the Proposed Algorithm
- The overshoot is lowered by 3.5;
- The actuator is less strained, lowering the possibility of saturation;
- The overshoots are quite near in all shaped situations, demonstrating its robustness.
5.2. Simulation Results
6. Conclusions
Author Contributions
Funding
Data Availability Statement
Conflicts of Interest
References
- Akhter, M.Z.; Omar, F.K. Review of flow-control devices for wind-turbine performance enhancement. Energies 2021, 14, 1268. [Google Scholar] [CrossRef]
- Mseddi, A.; Le Ballois, S.; Aloui, H.; Vido, L. Robust control of a HESG for a wind energy application. Electr. Power Syst. Res. 2019, 168, 250–260. [Google Scholar] [CrossRef]
- Mseddi, A.; Le Ballois, S.; Aloui, H.; Vido, L. Load mitigation and wind power maximization of a HESG-based wind con-version system. J. Renew. Sustain. Energy 2020, 12, 053305. [Google Scholar] [CrossRef]
- Maghsoudi, M.; Ramli, L.; Sudin, S.; Mohamed, Z.; Husain, A.; Wahid, H. Improved unity magnitude input shaping scheme for sway control of an underactuated 3D overhead crane with hoisting. Mech. Syst. Signal Process. 2019, 123, 466–482. [Google Scholar] [CrossRef]
- Singhose, W.E.; Seering, W.P.; Singer, N.C. Input shaping for vibration reduction with specified insensitivity to modeling errors. Jpn.-USA Sym. Flex. Autom. 1996, 1, 307–313. [Google Scholar]
- Abid, A.; Jallouli-Khlif, R.; Derbel, N.; Melchior, P. Synthesis of unity magnitude shaper: Extension for explicit fractional derivative systems. In Proceedings of the 13th International Multi-Conference on Systems, Signals & Devices (SSD), Leipzig, Germany, 21–24 March 2016; pp. 108–113. [Google Scholar]
- Poty, A.; Melchior, P.; Levron, F.; Orsoni, B.; Oustaloup, A. Preshaping command inputs for explicit fractional derivative systems: Application to CRONE control. In Proceedings of the 2003 European Control Conference (ECC), Cambridge, UK, 1–4 September 2003; pp. 2279–2284. [Google Scholar]
- Melchior, P.; Poty, A.; Melchior, P.; Levron, F.; Orsoni, B.; Oustaloup, A. Motion control by preshaping: Extension for explicit fractional derivative systems. Trans. Syst. Signals Devices Shak. Publ. 2006, 1, 103–123. [Google Scholar]
- Rappole, B.W.; Singer, N.C.; Seering, W.P. Input Shaping With Negative Sequences for Reducing Vibrations in Flexible Structures. In Proceedings of the 1993 American Control Conference, San Francisco, CA, USA, 2–4 June 1993; pp. 2695–2699. [Google Scholar]
- Gürleyük, S.S. Optimal unity-magnitude input shaper duration analysis. Arch. Appl. Mech. 2007, 77, 63–71. [Google Scholar] [CrossRef]
- Ramli, L.; Mohamed, Z.; Efe, M.; Lazim, I.M.; Jaafar, H. Efficient swing control of an overhead crane with simultaneous payload hoisting and external disturbances. Mech. Syst. Signal Process. 2020, 135, 106326. [Google Scholar] [CrossRef]
- Tang, W.; Ma, R.; Wang, W.; Xu, T.; Gao, H.; Wang, X. Composite Control of Overhead Cranes Based on Input Shaper and PID. In Proceedings of the 2023 42nd Chinese Control Conference (CCC), Tianjin, China, 24–26 July 2023; pp. 2568–2572. [Google Scholar]
- Rehman, S.F.U.; Mohamed, Z.; Husain, A.; Ramli, L.; Abbasi, M.; Anjum, W.; Shaheed, M. Adaptive input shaper for payload swing control of a 5-DOF tower crane with parameter uncertainties and obstacle avoidance. Autom. Constr. 2023, 154, 104963. [Google Scholar] [CrossRef]
- Yamamoto, A.; Watanabe, H. Evaluation of a simple anti-sway control without start-up delay and over-travel. J. Adv. Mech. Des. Syst. Manuf. 2019, 13, JAMDSM0067. [Google Scholar] [CrossRef]
- Sundarrajan, A.K.; Lee, Y.H.; Allison, J.T.; Zalkind, D.S.; Herber, D.R. Open-Loop Control Co-Design of Semisubmersible Floating Offshore Wind Turbines Using Linear Parameter-Varying Models. J. Mech. Des. 2024, 146, 041704. [Google Scholar] [CrossRef]
- Hermassi, M.; Krim, S.; Kraiem, Y.; Hajjaji, M.A.; Alshammari, B.M.; Alsaif, H.; Alshammari, A.S.; Guesmi, T. Design of Vector Control Strategies Based on Fuzzy Gain Scheduling PID Controllers for a Grid-Connected Wind Energy Conversion System: Hardware FPGA-in-the-Loop Verification. Electronics 2023, 12, 1419. [Google Scholar] [CrossRef]
- Poureh, A.; Chamani, M.; Bahri, A. Nonlinear analysis of gain scheduled controllers for the NREL 5-MW turbine blade pitch control system. Int. J. Electr. Power Energy Syst. 2023, 145, 108578. [Google Scholar] [CrossRef]
- Sindi, H.F.; Alghamdi, S.; Rawa, M.; Omar, A.I.; Elmetwaly, A.H. Robust control of adaptive power quality compensator in Multi-Microgrids for power quality enhancement using puzzle optimization algorithm. Ain Shams Eng. J. 2023, 14, 102047. [Google Scholar] [CrossRef]
- Zhang, Y.; Liu, X.; Li, H.; Zhang, Z. A Model Independent Predictive Control of PMSG Wind Turbine Systems with a New Mechanism to Update Variables. Energies 2023, 16, 3764. [Google Scholar] [CrossRef]
- Masoud, U.M.M.; Tiwari, P.; Gupta, N. Designing of an Enhanced Fuzzy Logic Controller of an Interior Permanent Magnet Synchronous Generator under Variable Wind Speed. Sensors 2023, 23, 3628. [Google Scholar] [CrossRef]
- Bououden, S.; Allouani, F.; Abboudi, A.; Chadli, M.; Boulkaibet, I.; Al Barakeh, Z.; Neji, B.; Ghandour, R. Observer-Based Robust Fault Predictive Control for Wind Turbine Time-Delay Systems with Sensor and Actuator Faults. Energies 2023, 16, 858. [Google Scholar] [CrossRef]
- Boukhezzar, B.; Siguerdidjane, H. Comparison between linear and nonlinear control strategies for variable speed wind turbines. Control Eng. Pract. 2010, 18, 1357–1368. [Google Scholar] [CrossRef]
- Moradi, H.; Vossoughi, G. Robust control of the variable speed wind turbines in the presence of uncertainties: A comparison between H∞ and PID controllers. Energy 2015, 90, 1508–1521. [Google Scholar] [CrossRef]
- Kim, Y.-M. Robust data driven H-infinity control for wind turbine. J. Frankl. Inst. 2016, 353, 3104–3117. [Google Scholar] [CrossRef]
- Oustaloup, A.; Mathieu, B. La Commande CRONE: Du Scalaire au Multivariable; Hermès Science Publications: Paris, France, 1999. [Google Scholar]
- Christophy, F.; Moreau, X.; Daou, R.A.Z. Temperature control of a diffusive medium using the second generation CRONE control. In Proceedings of the 2015 Third International Conference on Technological Advances in Electrical, Electronics and Computer Engineering (TAEECE), Beirut, Lebanon, 29 April–1 May 2015; pp. 195–200. [Google Scholar]
- Benine-Neto, A.; Moreau, X.; Lanusse, P. Robust control for an electro-mechanical anti-lock braking system: The CRONE approach. IFAC-PapersOnLine 2017, 50, 12575–12581. [Google Scholar] [CrossRef]
- Velmurugan, V.; Praboo, N.N.; Kumar, K.R. Performance Evaluation of Composite CRONE Controller Strategy for an Air Pressure System. Math. Probl. Eng. 2023, 2023, 9933623. [Google Scholar] [CrossRef]
- Sabatier, J.; Lanusse, P.; Feytout, B.; Gracia, S. CRONE control based anti-icing/deicing system for wind turbine blades. Control Eng. Pract. 2016, 56, 200–209. [Google Scholar] [CrossRef]
- Feytout, B.; Sabatier, J.; Lanusse, P.; Lopes, M.; Gracia, S. Maximizing wind turbine production using revisited CRONE control. In Proceedings of the European Wind Energy Association Conference (EWEA 2012), Copenhagen, Denmark, 16–19 April 2012; p. 1. [Google Scholar]
- Feytout, B.; Lanusse, P.; Sabatier, J.; Gracia, S. Robust CRONE Design for a Variable Ratio Planetary Gearing in a Variable Speed Wind Turbine. Asian J. Control 2013, 15, 806–818. [Google Scholar] [CrossRef]
- Berkoune, K.; Ben Sedrine, E.; Vido, L.; Le Ballois, S. Robust control of hybrid excitation synchronous generator for wind applications. Math. Comput. Simul. 2017, 131, 55–75. [Google Scholar] [CrossRef]
- Le Ballois, S.; Vido, L. A Comparison of Two Controller Designs for a Hybrid Excitation Synchronous Generator for Wind Applications. Renew. Energy Power Qual. J. 2015, 1, 536–540. [Google Scholar] [CrossRef]
- Mseddi, A.; Le Ballois, S.; Aloui, H.; Vido, L. Robust control of a wind conversion system based on a hybrid excitation synchronous generator: A comparison between H∞ and CRONE controllers. Math. Comput. Simul. 2019, 158, 453–476. [Google Scholar] [CrossRef]
- WEB-SITE. Available online: http://cronetoolbox.ims-bordeaux.fr (accessed on 3 July 2023).




















| 0.1445 | 0.1675 | 0.2265 | 0.2671 | 0.3235 | |
| 0.2156 | 0.2240 | 0.2565 | 0.2861 | 0.3335 | |
| 0.1809 | 0.1967 | 0.2420 | 0.2768 | 0.3287 |
| 0.14445 | 0.1675 | 0.2265 | 0.26709 | 0.32346 | |
| 0.21560 | 0.2240 | 0.25645 | 0.28612 | 0.33350 | |
| 0.14597 | 0.1689 | 0.2271 | 0.2673 | 0.32350 | |
| 0.21562 | 0.2244 | 0.2569 | 0.2863 | 0.33350 | |
| 0.00152 | 0.0014 | 0.0006 | 0.00021 | 0.00004 | |
| 0.00002 | 0.0004 | 0.00045 | 0.00018 | 0.00000 |
Disclaimer/Publisher’s Note: The statements, opinions and data contained in all publications are solely those of the individual author(s) and contributor(s) and not of MDPI and/or the editor(s). MDPI and/or the editor(s) disclaim responsibility for any injury to people or property resulting from any ideas, methods, instructions or products referred to in the content. |
© 2024 by the authors. Licensee MDPI, Basel, Switzerland. This article is an open access article distributed under the terms and conditions of the Creative Commons Attribution (CC BY) license (https://creativecommons.org/licenses/by/4.0/).
Share and Cite
Mseddi, A.; Abid, A.; Naifar, O.; Rhaima, M.; Ben Makhlouf, A.; Mchiri, L. Investigation of the Robust Fractional Order Control Approach Associated with the Online Analytic Unity Magnitude Shaper: The Case of Wind Energy Systems. Fractal Fract. 2024, 8, 187. https://doi.org/10.3390/fractalfract8040187
Mseddi A, Abid A, Naifar O, Rhaima M, Ben Makhlouf A, Mchiri L. Investigation of the Robust Fractional Order Control Approach Associated with the Online Analytic Unity Magnitude Shaper: The Case of Wind Energy Systems. Fractal and Fractional. 2024; 8(4):187. https://doi.org/10.3390/fractalfract8040187
Chicago/Turabian StyleMseddi, Amina, Ahmed Abid, Omar Naifar, Mohamed Rhaima, Abdellatif Ben Makhlouf, and Lassaad Mchiri. 2024. "Investigation of the Robust Fractional Order Control Approach Associated with the Online Analytic Unity Magnitude Shaper: The Case of Wind Energy Systems" Fractal and Fractional 8, no. 4: 187. https://doi.org/10.3390/fractalfract8040187
APA StyleMseddi, A., Abid, A., Naifar, O., Rhaima, M., Ben Makhlouf, A., & Mchiri, L. (2024). Investigation of the Robust Fractional Order Control Approach Associated with the Online Analytic Unity Magnitude Shaper: The Case of Wind Energy Systems. Fractal and Fractional, 8(4), 187. https://doi.org/10.3390/fractalfract8040187

