Sign in to use this feature.

Years

Between: -

Subjects

remove_circle_outline
remove_circle_outline
remove_circle_outline
remove_circle_outline
remove_circle_outline
remove_circle_outline
remove_circle_outline
remove_circle_outline
remove_circle_outline

Journals

Article Types

Countries / Regions

Search Results (33)

Search Parameters:
Keywords = induction thermography

Order results
Result details
Results per page
Select all
Export citation of selected articles as:
19 pages, 2027 KB  
Article
Novel End-to-End CNN Approach for Fault Diagnosis in Electromechanical Systems Based on Relevant Heating Areas in Thermography
by Gilberto Alvarado-Robles, Angel Perez-Cruz, Isac Andres Espinosa-Vizcaino, Arturo Yosimar Jaen-Cuellar and Juan Jose Saucedo-Dorantes
Technologies 2025, 13(12), 551; https://doi.org/10.3390/technologies13120551 - 26 Nov 2025
Viewed by 377
Abstract
The reliability of electromechanical systems is a critical factor in modern Industry 4.0, as unexpected failures in induction motors or gearboxes can cause costly downtime, productivity losses, and increased maintenance demands. Infrared thermography offers a non-invasive and real-time means of monitoring thermal behavior, [...] Read more.
The reliability of electromechanical systems is a critical factor in modern Industry 4.0, as unexpected failures in induction motors or gearboxes can cause costly downtime, productivity losses, and increased maintenance demands. Infrared thermography offers a non-invasive and real-time means of monitoring thermal behavior, yet its effective use for fault diagnosis remains challenging due to sensitivity to noise, environmental variability, and the need for robust feature extraction. This work proposes a novel end-to-end convolutional neural network (CNN) methodology for detecting and classifying faults in electromechanical systems through the processing of infrared thermography images. The method integrates an automatic preprocessing stage that isolates the Relevant Heating Areas (RHAs), preserving their geometric and thermal descriptors while filtering irrelevant background information. A tailored data augmentation strategy, including controlled noise injection, was designed to improve robustness under realistic acquisition conditions. The CNN architecture combines 3 × 3 and 5 × 5 kernels to capture both fine-grained and global heating patterns. Experimental validation is carried out under nine different faulty conditions, achieving 99.7% accuracy and demonstrating strong resilience against Gaussian blur and additive Gaussian noise. The results suggest that the method provides a scalable, interpretable, and efficient approach for fault diagnosis in electromechanical systems within Industry 4.0 environments. Full article
(This article belongs to the Special Issue Image Analysis and Processing)
Show Figures

Figure 1

4 pages, 245 KB  
Abstract
Advancing Active Thermography for NDT: The Role of Standardization
by Giuseppe Dell’Avvocato, Stéphane Amiel, Samuel Maillard, Guenther Mayr, Beate Oswald-Tranta, Eider Gorostegui Colinas, Michal Svantner, Patrick Bouteille, Richard Huillery, Umberto Galietti, Lucia Deganova, Yannick Caulier and Mathias Ziegler
Proceedings 2025, 129(1), 30; https://doi.org/10.3390/proceedings2025129030 - 12 Sep 2025
Viewed by 631
Abstract
Infrared thermography, particularly its active form, is increasingly used in various industries in non-destructive testing (NDT). To support its broader adoption, structured standardization efforts have been developed within CEN/TC 138/WG11 and coordinated with ISO. Key standards—such as EN 16714, EN 17119, and EN [...] Read more.
Infrared thermography, particularly its active form, is increasingly used in various industries in non-destructive testing (NDT). To support its broader adoption, structured standardization efforts have been developed within CEN/TC 138/WG11 and coordinated with ISO. Key standards—such as EN 16714, EN 17119, and EN 17501—define principles, procedures, and equipment requirements. Current activities include finalizing the draft on induction thermography, revising EN 17119, and developing new projects on optical lock-in, laser weld inspection, and thermal diffusivity. Standardization enhances comparability, reliability, and certification, making thermography a robust and scalable solution within the global NDT framework. Full article
Show Figures

Figure 1

11 pages, 2379 KB  
Proceeding Paper
Comparative Analysis of Modern Robotic Demining Complexes and Development of an Automated Mission Planning Algorithm
by Yerkebulan Nurgizat, Aidos Sultan, Nursultan Zhetenbayev, Abu-Alim Ayazbay, Arman Uzbekbayev, Gani Sergazin and Kuanysh Alipbayev
Eng. Proc. 2025, 104(1), 63; https://doi.org/10.3390/engproc2025104063 - 29 Aug 2025
Viewed by 920
Abstract
This paper presents a comparative analysis of ten state-of-the-art robotic de-mining systems, grouped into (i) sensor-centric platforms for high-precision detection and (ii) rapid mechanical-contact vehicles for clearance. Building on these findings, we propose a lightweight tracked platform (~1.9 T) equipped with a four-channel [...] Read more.
This paper presents a comparative analysis of ten state-of-the-art robotic de-mining systems, grouped into (i) sensor-centric platforms for high-precision detection and (ii) rapid mechanical-contact vehicles for clearance. Building on these findings, we propose a lightweight tracked platform (~1.9 T) equipped with a four-channel sensing suite-RGB/IR camera, 32-layer LiDAR, pulsed-induction metal detector, and 2.45 GHz microwave thermography—integrated in an adaptive Bayesian “detect → confirm → neutralize” loop. The modular end-effector permits either pinpoint mechanical intervention or deployment of a linear charge. Modelling indicates an expected detection sensitivity ≥ 95% with a false-positive rate ≤ 5% in humanitarian demining mode and a clearance throughput above 1.5 ha·h−1 in breaching mode. Ongoing work includes CFD analysis of the thermal front, fabrication of a prototype, and performance testing in accordance with IMAS 10.20. Full article
Show Figures

Figure 1

16 pages, 2890 KB  
Article
Thermal Behavior Improvement in Induction Motors Using a Pulse-Width Phase Shift Triangle Modulation Technique in Multilevel H-Bridge Inverters
by Francisco M. Perez-Hidalgo, Juan-Ramón Heredia-Larrubia, Antonio Ruiz-Gonzalez and Mario Meco-Gutierrez
Machines 2025, 13(8), 703; https://doi.org/10.3390/machines13080703 - 8 Aug 2025
Viewed by 562
Abstract
This study investigates the thermal performance of induction motors powered by multilevel H-bridge inverters using a novel pulse-width phase shift triangle modulation (PSTM-PWM) technique. Conventional PWM methods introduce significant harmonic distortion, increasing copper and iron losses and causing overheating and reduced motor lifespan. [...] Read more.
This study investigates the thermal performance of induction motors powered by multilevel H-bridge inverters using a novel pulse-width phase shift triangle modulation (PSTM-PWM) technique. Conventional PWM methods introduce significant harmonic distortion, increasing copper and iron losses and causing overheating and reduced motor lifespan. Through experimental testing and comparison with standard PWM techniques (LS-PWM and PS-PWM), the proposed PSTM-PWM reduces harmonic distortion by up to 64% compared to the worst one and internal motor losses by up to 5.5%. A first-order thermal model is used to predict motor temperature, validated with direct thermocouple measurements and infrared thermography. The results also indicate that the PSTM-PWM technique improves thermal performance, particularly at a triangular waveform peak value of 3.5 V, reducing temperature by around 6% and offering a practical and simple solution for industrial motor drive applications. The modulation order was set to M = 7 to reduce both the losses in the power inverter and to prevent the generation of very high voltage pulses (high dV/dt), which can deteriorate the insulation of the induction motor windings over time. Full article
Show Figures

Figure 1

9 pages, 4843 KB  
Proceeding Paper
Multi-System Modeling Challenges for Integration of Parts for Increased Sustainability of Next Generation Aircraft
by Johan Kos, Marie Moghadasi, Tim Koenis, Bram Noordman, Ozan Erartsin and Ruben Nahuis
Eng. Proc. 2025, 90(1), 40; https://doi.org/10.3390/engproc2025090040 - 14 Mar 2025
Viewed by 491
Abstract
Innovative structures technologies can contribute to increasing the sustainability of next-generation aircraft. Advanced multi-disciplinary physics models, combined with data-based models, are needed to obtain optimized structures with maximum contributions to sustainability throughout the life cycle. Such models are needed for next-generation aircraft products, [...] Read more.
Innovative structures technologies can contribute to increasing the sustainability of next-generation aircraft. Advanced multi-disciplinary physics models, combined with data-based models, are needed to obtain optimized structures with maximum contributions to sustainability throughout the life cycle. Such models are needed for next-generation aircraft products, for better production of their parts, and for representative testing of their innovative systems. Modeling challenges addressed recently will be presented and illustrated in their industrial context. In particular, fast in-line detection of defects in large composite aircraft parts during their high-rate production, induction welding of thermoplastic carbon-fiber reinforced parts, and accurate design of composite fan blades for wind tunnel testing of fuel-efficient Ultra-High Bypass Ratio (UHBR) turbofan engines will be presented. Full article
Show Figures

Figure 1

11 pages, 3638 KB  
Proceeding Paper
Infrared Thermography for Non-Destructive Testing of Cooling Hole Integrity and Flow Evaluation in Specimens Made with Innovative Technologies
by Ester D’Accardi, Luca Ammannato, Alessandra Giannasi, Marco Pieri, Giuseppe Masciopinto, Francesco Ancona, Giovanni Santonicola, Davide Palumbo and Umberto Galietti
Eng. Proc. 2025, 85(1), 15; https://doi.org/10.3390/engproc2025085015 - 14 Feb 2025
Cited by 1 | Viewed by 996
Abstract
This study developed a non-destructive testing (NDT) method using infrared thermography to inspect tubes with holes and slots made by electro-erosion and additive manufacturing. CO2 was used as a tracer gas to verify the opening and evaluate the flow shape from the [...] Read more.
This study developed a non-destructive testing (NDT) method using infrared thermography to inspect tubes with holes and slots made by electro-erosion and additive manufacturing. CO2 was used as a tracer gas to verify the opening and evaluate the flow shape from the holes and slots. To improve the signal contrast, a controlled hot background was used as a reference, and infrared cameras monitored the thermal response to detect flow variations caused by different geometries. The tests included different diameters, pitches, and aspect ratios, comparing results between additive manufacturing and electro-erosion under various conditions. Moreover, a preliminary setup using compressed air and inductive heating was developed to assess hole openings by cooling the piece, aiming to eliminate CO2 use. The comparison of results, the post-processing analysis of quantitative indices, and specific thermal features enabled a non-destructive evaluation of the holes by using different technologies, providing an assessment of the opening conditions, outlet, geometry, and flow shape. Full article
Show Figures

Figure 1

7 pages, 6129 KB  
Proceeding Paper
Lock-in Thermography for Surface Treatment Characterization in Gears
by Francesca Maria Curà, Luca Corsaro and Ludovica Tromba
Eng. Proc. 2025, 85(1), 2; https://doi.org/10.3390/engproc2025085002 - 13 Feb 2025
Cited by 1 | Viewed by 755
Abstract
Mechanical gears are essential in power transmission systems across various industrial applications. Their performance is critically influenced by residual stresses from manufacturing processes like induction hardening, case hardening, and shot peening. Surface compressive residual stresses enhance resistance to pitting fatigue, bending fatigue and [...] Read more.
Mechanical gears are essential in power transmission systems across various industrial applications. Their performance is critically influenced by residual stresses from manufacturing processes like induction hardening, case hardening, and shot peening. Surface compressive residual stresses enhance resistance to pitting fatigue, bending fatigue and crack propagation, improving overall hardness. In the present work, a Non-Destructive Thermographic method (Active thermography), based on measurement of the thermal diffusivity parameter, is presented to characterize the surface treatments applied to gears. Surface hardness was measured using a micro-hardness tester, and residual stresses were determined with an X-Ray diffractometer, showing variations due to surface treatments. The variation in the thermal diffusivity parameter, obtained using the Slope Method, was found to be an indicator of the surface treatments’ effectiveness. Full article
Show Figures

Figure 1

12 pages, 7624 KB  
Article
Correlation Data Augmentation-Based YOLO-Integrated Object Detection of Thermal-Equalization Video Using Line Scanning Inductive Thermography
by Seung-Ju Lee, Won-Tae Kim and Hyun-Kyu Suh
Appl. Sci. 2024, 14(24), 11903; https://doi.org/10.3390/app142411903 - 19 Dec 2024
Cited by 1 | Viewed by 1523
Abstract
Active infrared thermography (IRT) in non-destructive testing is an attractive technique used to detect wide areas in real-time on site. Most of the objects inspected on site generally have rough surfaces and foreign substances, which significantly affects their detectability. To solve this problem, [...] Read more.
Active infrared thermography (IRT) in non-destructive testing is an attractive technique used to detect wide areas in real-time on site. Most of the objects inspected on site generally have rough surfaces and foreign substances, which significantly affects their detectability. To solve this problem, in this study, line scanning (LS)-based induction thermography was used to acquire thermal image data of a specimen containing foreign substances. The heat distribution caused by foreign substances was removed using the Gaussian filtering-based Fast Fourier Transform (FFT) algorithm. After that, the data augmentation was performed by analyzing the correlation, and crack detection for the images was performed using you only look once (YOLO) deep learning. This study presents a method for removing non-uniform heat sources using the FFT algorithm, securing virtual data augmentation, and a detection mechanism for moving inspection objects using AI deep learning. Full article
Show Figures

Figure 1

19 pages, 5626 KB  
Article
Application of Thermography and Convolutional Neural Network to Diagnose Mechanical Faults in Induction Motors and Gearbox Wear
by Emmanuel Resendiz-Ochoa, Omar Trejo-Chavez, Juan J. Saucedo-Dorantes, Luis A. Morales-Hernandez and Irving A. Cruz-Albarran
Appl. Syst. Innov. 2024, 7(6), 123; https://doi.org/10.3390/asi7060123 - 6 Dec 2024
Cited by 1 | Viewed by 2345
Abstract
Nowadays, induction motors and gearboxes play an important role in the industry due to the fact that they are indispensable tools that allow a large number of machines to operate. In this research, a diagnosis method is proposed for the detection of different [...] Read more.
Nowadays, induction motors and gearboxes play an important role in the industry due to the fact that they are indispensable tools that allow a large number of machines to operate. In this research, a diagnosis method is proposed for the detection of different faults in an electromechanical system through infrared thermography and a convolutional neural network (CNN). During the experiment, we tested different conditions in the motor and the gearbox. The induction motor was operated in four conditions, in a healthy state, with one broken bar, a damaged bearing, and misalignment, while the gearbox was operated in three conditions with healthy gears, 50% wear, and 75% wear. The motor failures and gear wear were induced by different machining operations. Data augmentation was then performed using basic transformations such as mirror image and brightness variation. Ablation tests were also carried out, and a convolutional neural network with a basic architecture was proposed; the performance indicators show a precision of 98.53%, accuracy of 98.54%, recall of 98.65%, and F1-Score of 98.55%. The system obtained confirms that through the use of infrared thermography and deep learning, it is possible to identify faults at different points of an electromechanical system. Full article
Show Figures

Figure 1

15 pages, 8528 KB  
Article
Numerical Modeling and Optimization of a Quasi-Resonant Inverter-Based Induction Heating Process of a Magnetic Gear
by Tamás Orosz, Miklós Csizmadia and Balázs Nagy
Energies 2024, 17(16), 4130; https://doi.org/10.3390/en17164130 - 19 Aug 2024
Viewed by 1340
Abstract
Induction heating is a clear, cheap, and highly effective technology used for many industrial and commercial applications. Generally, a time-varying magnetic field produces the required heat in the workpiece with a specially designed coil. The efficiency of the heating process depends highly on [...] Read more.
Induction heating is a clear, cheap, and highly effective technology used for many industrial and commercial applications. Generally, a time-varying magnetic field produces the required heat in the workpiece with a specially designed coil. The efficiency of the heating process depends highly on the coil design and the geometrical arrangement. A detailed and accurate finite element analysis of the induction heating process usually needs to resolve a coupled thermoelastic–magnetic problem, whose parameters values depend on the solution of another field. The paper deals with a shrink-fitting process design problem: a gear should be assembled with an axe. The interesting part of this case study is given the prescribed low limits for critical stress, the temperature of the gear material, and the heat-treated wearing surfaces. A coupled finite-element-based model and a genetic algorithm-based parameter determination methodology were presented. A thermal imaging-based measurement validated the presented numerical model and parameter determination task. The results show that the proposed methodology can be used to calibrate and validate the numerical model and optimize an induction heating process. Full article
Show Figures

Figure 1

5 pages, 1805 KB  
Proceeding Paper
Comparison of Inductive Thermography and Computer Tomography Results for Short Surface Cracks
by Beate Oswald-Tranta
Eng. Proc. 2023, 51(1), 36; https://doi.org/10.3390/engproc2023051036 - 14 Nov 2023
Viewed by 1119
Abstract
Inductive thermography is a non-destructive testing method, whereby the workpiece to be inspected is slightly heated by a short inductive heating pulse. An infrared camera records the surface temperature during and after the heating pulse. As defects influence the induced eddy current distribution [...] Read more.
Inductive thermography is a non-destructive testing method, whereby the workpiece to be inspected is slightly heated by a short inductive heating pulse. An infrared camera records the surface temperature during and after the heating pulse. As defects influence the induced eddy current distribution and the heat flow, they become highly visible in the evaluated infrared images. The deeper a crack is, the greater the obstacle it represents. In Inconel welded samples, short surface cracks (length 0.3–2 mm) were created using a so-called Varestraint test machine. The samples were inspected via inductive thermography and computer tomography (CT). Additional finite element simulations were calculated in order to model the thermography experiments. The comparison of the thermographic, CT and simulation results shows how the thermographic signal of a defect depends on its geometry. This information can be used for calibration to estimate the crack properties based on the thermographic inspection. Full article
Show Figures

Figure 1

5 pages, 1574 KB  
Proceeding Paper
Detection and Characterization of Short Fatigue Cracks by Conduction Thermography
by Ester D’Accardi, Davide Palumbo, Rosa De Finis and Umberto Galietti
Eng. Proc. 2023, 51(1), 23; https://doi.org/10.3390/engproc2023051023 - 1 Nov 2023
Cited by 1 | Viewed by 1012
Abstract
Stimulated thermography is a very common non-destructive testing (NDT) technique used for a wide range of applications and materials. An external excitation source is required to stimulate the component and detect defects. Electric currents can be used in this sense adopting two different [...] Read more.
Stimulated thermography is a very common non-destructive testing (NDT) technique used for a wide range of applications and materials. An external excitation source is required to stimulate the component and detect defects. Electric currents can be used in this sense adopting two different approaches: induction thermography and conduction thermography. In this work, a preliminary investigation to evaluate the influence of some test parameters during experiments of conduction thermography, for the detection of short fatigue cracks, induced in thin specimens of different materials, is presented. The capability of the technique and crack detectability have been analysed and compared with the Thermoelastic Stress Analysis (TSA) considered as a well-established technique capable of quantifying short fatigue cracks in metal materials. Full article
Show Figures

Figure 1

17 pages, 11622 KB  
Article
Non-Destructive Testing of Dalle de Verre Windows by Fernand Léger and Alexandre Cingria in Switzerland
by Johannes Hugenschmidt, Sophie Wolf and Christophe Gosselin
Heritage 2023, 6(9), 6311-6327; https://doi.org/10.3390/heritage6090330 - 9 Sep 2023
Viewed by 2450
Abstract
Dalle de verre windows consist of thick slabs of coloured glass set in a matrix of reinforced concrete. The invention of this special art form is closely linked to the developments in modern architecture in the first half of the 20th century that [...] Read more.
Dalle de verre windows consist of thick slabs of coloured glass set in a matrix of reinforced concrete. The invention of this special art form is closely linked to the developments in modern architecture in the first half of the 20th century that are characterized by using new technologies such as steel-frame construction, reinforced concrete and the increasing use of glass. Many of these windows are showing damage, some of it severe. Until now, the causes of damage have hardly been investigated and there is still no practical and suitable approach to the analysis of the state of conservation of dalle de verre glazings. One of the main objectives of an interdisciplinary project (2019–2021) was therefore to evaluate the potential of non-destructive techniques for the characterisation of and identification of damage of dalle the verre windows in their structural, physical and climatic context. Various non-destructive methods (Ground-Penetrating Radar, Electric resistivity, Half-cell potential, Ultrasonics, Induction, Magnet and Thermography) have been tested on two prominent dalle de verre examples: the windows created by Fernand Léger for the church of Saint-Germain d’Auxerre in Courfaivre (Swiss Jura mountains) and the large tripartite by Alexandre Cingria once decorating the choir window church of the Franciscan monastery at Fribourg, Switzerland. The results of the analyses presented in this paper provide valuable information on the advantages and limitations as well as the costs of the methods used. Full article
(This article belongs to the Section Cultural Heritage)
Show Figures

Figure 1

15 pages, 4435 KB  
Article
A CNN-Based Methodology for Identifying Mechanical Faults in Induction Motors Using Thermography
by Omar Trejo-Chavez, Irving A. Cruz-Albarran, Emmanuel Resendiz-Ochoa, Alejandro Salinas-Aguilar, Luis A. Morales-Hernandez, Jesus A. Basurto-Hurtado and Carlos A. Perez-Ramirez
Machines 2023, 11(7), 752; https://doi.org/10.3390/machines11070752 - 18 Jul 2023
Cited by 12 | Viewed by 2902
Abstract
Infrared thermography (IRT) has become an interesting alternative for performing condition assessments of different types of induction motor (IM)-based equipment when it operates under harsh conditions. The reported results from state-of-the-art articles that have analyzed thermal images do not consider (1): the presence [...] Read more.
Infrared thermography (IRT) has become an interesting alternative for performing condition assessments of different types of induction motor (IM)-based equipment when it operates under harsh conditions. The reported results from state-of-the-art articles that have analyzed thermal images do not consider (1): the presence of more than one fault, and (2) the inevitable noise-corruption the images suffer. Bearing in mind these reasons, this paper presents a convolutional neural network (CNN)-based methodology that is specifically designed to deal with noise-corrupted images for detecting the failures that have the highest incidence rate: bearing and broken bar failures; moreover, rotor misalignment failure is also considered, as it can cause a further increase in electricity consumption. The presented results show that the proposal is effective in detecting healthy and failure states, as well as identifying the failure nature, as a 95% accuracy is achieved. These results allow considering the proposal as an interesting alternative for using IRT images obtained in hostile environments. Full article
Show Figures

Figure 1

13 pages, 2336 KB  
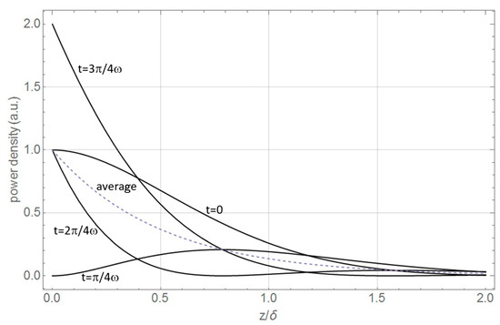
Article
Theoretical and Experimental Analysis of the Thermal Response in Induction Thermography in the Frequency Range of 2.5 Hz to 20 kHz
by Udo Netzelmann
Appl. Sci. 2023, 13(6), 3565; https://doi.org/10.3390/app13063565 - 10 Mar 2023
Cited by 3 | Viewed by 2454
Abstract
The one-dimensional propagation of electromagnetic waves and the propagation of the resulting thermal waves in conducting material are analysed in a coherent way. The heat release due to resistive losses has a static and an oscillating part. Both are considered as heat source [...] Read more.
The one-dimensional propagation of electromagnetic waves and the propagation of the resulting thermal waves in conducting material are analysed in a coherent way. The heat release due to resistive losses has a static and an oscillating part. Both are considered as heat source terms for the thermal diffusion equation. The time dependence of the temperature is described by analytical solutions. Electrically and thermally conducting materials are classified by the ratio of thermal penetration depth to the skin depth. Experiments performed on ferritic steel, stainless steel and carbon-fibre-reinforced polymer show the time dependence of the thermal signal after heating begins, as described by the theory. At low induction frequencies, an oscillating part of the surface temperature at the double of the induction frequency is detected in accordance with the theory. The results point out new opportunities for induction thermography. Full article
Show Figures

Figure 1

Back to TopTop