Theoretical and Experimental Analysis of the Thermal Response in Induction Thermography in the Frequency Range of 2.5 Hz to 20 kHz
Abstract
Featured Application
Abstract
1. Introduction
2. Materials and Methods
2.1. Basic Theory
2.2. The Distributed Heat Source Due to Eddy Currents
2.3. Temperature Rise in Time Domain Due to the Static Heating Term
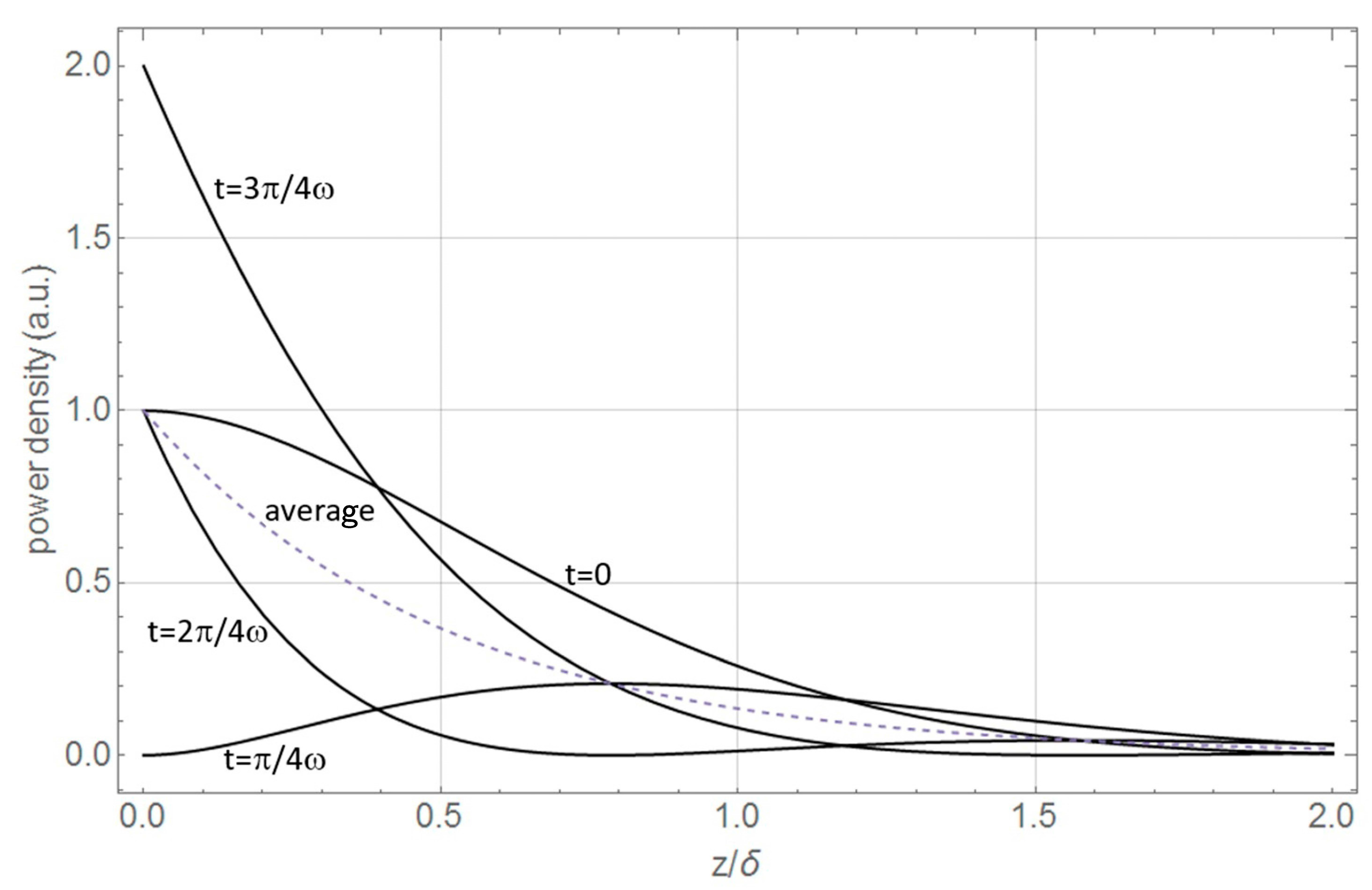
2.4. Temperature Oscillation Due to the Harmonic Heating Term
2.5. Experimental
2.5.1. Experiments in the kHz Range
2.5.2. Experiments in the 2.5 to 7 Hz Range
3. Results and Discussion
3.1. Temperature Rise with Excitation Frequencies in the kHz Range
3.2. Temperature Rise with Excitation Frequencies in the 2.5 to 7 Hz Range
4. Conclusions
5. Outlook
Funding
Institutional Review Board Statement
Informed Consent Statement
Data Availability Statement
Acknowledgments
Conflicts of Interest
References
- Cooper, W. A communication network approach to sub-millimetric wave techniques in nondestructive testing. In Research Techniques in Nondestructive Testing; Sharpe, R.S., Ed.; Academic Press: London, UK, 1970; Volume 1, pp. 315–344. [Google Scholar]
- Riegert, G.; Zweschper, T.; Busse, G. Eddy-current lockin-thermography: Method and potential. J. Phys. IV (Proc.) 2005, 125, 587–591. [Google Scholar] [CrossRef]
- Oswald-Tranta, B. Thermoinductive investigations of magnetic materials for surface cracks. QIRT J. 2004, 1, 33–46. [Google Scholar] [CrossRef]
- Kremer, K. Das THERM-O-MATIC-Verfahren-Ein neuartiges Verfahren für die Online-Prüfung von Stahlerzeugnissen auf Oberflächenfehler. In Proceedings of the 3rd European Conference in Nondestructive Testing, Florence, Italy, 15 October 1984; pp. 171–186. [Google Scholar]
- Koch, S. Non-destructive testing of bars by inductive heat-flux thermography. Millenium Steel India 2014, 140–142. [Google Scholar]
- Zenzinger, G.; Bamberg, J.; Satzger, W.; Carl, V. Thermographic crack detection by eddy current excitation. Nondestruct. Test. Eval. 2007, 22, 101–111. [Google Scholar] [CrossRef]
- Bouteille, P.; Legros, G.; Walazek, H. Comparison between Induction Thermography and Conventional NDT Methods for Forged Parts. In Proceedings of the 11th European Conference on Non-Destructive Testing (ECNDT 2014), Prague, Czech Republic, 6–10 October 2014. [Google Scholar]
- Srajbr, C. Quality control of steel components in automotive production by induction thermography. In Proceedings of the Conference SCT 2017—Steels in Cars and Trucks, Amsterdam, The Netherlands, 18 June 2017; VDEh Düsseldorf: Düsseldorf, Germany, 2017. [Google Scholar]
- Vrana, J. Grundlagen und Anwendungen der Aktiven Thermografie Mit Elektromagnetischer Anregung (Fundamentals and Applications of Active Thermography Using Electromagnetic Excitation). Ph.D. Thesis, Universität des Saarlandes (University of Saarland), Saarland, Germany, 2008. [Google Scholar]
- He, Y.; Gao, B.; Sophian, A.; Yang, R. Transient Electromagnetic Thermal Nondestructive Testing: Pulsed Eddy Current and Transient Eddy Current Thermography; Elsevier: Oxford, UK, 2017. [Google Scholar]
- He, Y.; Yang, R.; Zhang, H.; Zhou, D.; Wang, G. Volume or inside heating thermography using electromagnetic excitation for advanced composite materials. Int. J. Therm. Sci. 2017, 111, 41–49. [Google Scholar] [CrossRef]
- Yi, Q.; Tian, G.; Chebbi, H.; Premel, D. Investigation of layer interface model of multi-layer structure using semi-analytical and FEM analysis for eddy current pulsed thermography. In Proceedings of the 2020 IEEE International Instrumentation and Measurement Technology Conference (I2MTC), Dubrovnik, Croatia, 25–28 May 2020; pp. 1–5. [Google Scholar] [CrossRef]
- Siakavellas, N. Analysis of the transient thermal field and heat flux in circular plates heated rapidly by a fast-decaying magnetic field. Heat Mass Transf. 2006, 42, 200–213. [Google Scholar] [CrossRef]
- Wang, Y.; Gao, B.; Tian, G.; Woo, W.; Miao, Y. Diffusion and separation mechanism of transient electromagnetic and thermal fields. Int. J. Therm. Sci. 2016, 102, 308–318. [Google Scholar] [CrossRef]
- Lahiri, B.; Bagavathiappan, S.; Soumya, C.; Mahendran, V.; Pillai, V.; Philip, J.; Jayakumar, T. Infrared thermography based defect detection in ferromagnetic specimens using a low frequency alternationg field. Infrared Phys. Technol. 2014, 64, 125–133. [Google Scholar] [CrossRef]
- Bowler, N. Frequency-dependence of relative permeability in steel. Rev. Quant. NDE 2006, 25, 1269–1276. [Google Scholar]
- Carslaw, H.; Jaeger, J. Conduction of Heat in Solids; Claredon Press: Oxford, UK, 1959. [Google Scholar]
- Tsopelas, N.; Siakavellas, N. Experimental evaluation of electromagnetic-thermal non-destructive inspection by eddy current thermography in square aluminium plates. NDT&E Int. 2011, 44, 609–620. [Google Scholar]
- Lehtiniemi, R.; Hartikainen, J. An application of induction heating for fast thermal nondestructive evaluation. Rev. Sci. Instrum. 1994, 65, 2099–2101. [Google Scholar] [CrossRef]
- Shepard, S.; Ihota, J.R.; Ahmed, T. Development of NDE Technique with Induction Heating on Conductive Composite Material; USAF Report Number AFRL-SR-AR-TR-05-0043; Department of Defense: Washington, DC, USA, 2004. [Google Scholar]
- Liang, T.; Ren, W.; Tian, G.; Elradi, M.; Gao, Y. Low energy impact damage detection in CFRP using eddy current pulsed thermography. Compos. Struct. 2016, 143, 352–361. [Google Scholar] [CrossRef]
- Guo, J.; Gao, X.; Toma, E.; Netzelmann, U. Anisotropy in carbon fiber reinforced polymer (CFRP) and its effect on induction thermography. Nondestr. Test. Eval. Int. 2017, 91, 1–8. [Google Scholar] [CrossRef]
- Jäckel, P.; Netzelmann, U. The influence of external magnetic fields on crack contrast in magnetic steel detected by induction thermography. QIRT J. 2013, 10, 237–247. [Google Scholar] [CrossRef]
- Rosencwaig, A.; Gersho, A. Theory of the photoacoustic effect with solids. J. Appl. Phys. 1976, 47, 64. [Google Scholar] [CrossRef]
- Bertotti, G. Hysteresis in Magnetism; Academic Press: San Diego, CA, USA, 1998. [Google Scholar]
- Woodbridge Constant, F. The distribution of the heat emission in the magnetic hysteresis cycle. Phys. Rev. 1928, 32, 486–493. [Google Scholar] [CrossRef]
- Oswald-Tranta, B. Induction thermography for surface crack detection and depth determination. Appl. Sci. 2018, 8, 257. [Google Scholar] [CrossRef]
- Walle, G.; Netzelmann, U.; Stumm, C.; Valeske, B. Low frequency induction thermography for the characterization of hidden cracks in ferromagnetic steel components. In Proceedings of the 11th International Conference on Quantitative Infrared Thermography (QIRT), Naples, Italy, 11 June 2012; p. 218. [Google Scholar]






| Case | Material | σ in 106 S/m | µR | λ in W/(mK) | δ in mm (100 kHz) | µT in mm (t = 0.1 s) | Induction Heating Efficiency in K | µ2ω/δ |
|---|---|---|---|---|---|---|---|---|
| cast iron | 6.2 | 200 | 49 | 0.045 | 2.43 | 12.4 | 0.108 | |
| nickel, pure | 14.62 | 100 | 90.7 | 0.042 | 3.03 | 3.9 | 0.146 | |
| silver, pure | 62.87 | 1 | 408 | 0.201 | 8.15 | 0.1 | 0.081 | |
| zinc, rolled | 16.24 | 1 | 113 | 0.395 | 4.06 | 0.4 | 0.021 | |
| aluminium 2014-T6 | 22.53 | 1 | 177 | 0.335 | 5.97 | 0.3 | 0.0357 | |
| copper, pure | 60.09 | 1 | 401 | 0.205 | 6.83 | 0.1 | 0.0666 | |
| Inconel 600 | 0.98 | 1 | 14.9 | 1.608 | 1.26 | 1.6 | 0.00157 | |
| stainless steel 316 | 1.33 | 1 | 13.4 | 1.380 | 1.18 | 1.5 | 0.00171 | |
| titanium 6AL-4V | 0.58 | 1 | 7.2 | 2.090 | 1.08 | 2.9 | 0.00103 | |
| CFRP perp. to fibre | 0.0001 | 1 | 0.7 | 159 | 0.39 | 5.3 | 0.000005 | |
| SiC ceramic | 0.00005 | 1 | 80 | 225 | 3.36 | 3.5 | 0.000030 | |
| silicon | 0.001 | 1 | 148 | 50 | 6.11 | 5.8 | 0.000243 |
Disclaimer/Publisher’s Note: The statements, opinions and data contained in all publications are solely those of the individual author(s) and contributor(s) and not of MDPI and/or the editor(s). MDPI and/or the editor(s) disclaim responsibility for any injury to people or property resulting from any ideas, methods, instructions or products referred to in the content. |
© 2023 by the author. Licensee MDPI, Basel, Switzerland. This article is an open access article distributed under the terms and conditions of the Creative Commons Attribution (CC BY) license (https://creativecommons.org/licenses/by/4.0/).
Share and Cite
Netzelmann, U. Theoretical and Experimental Analysis of the Thermal Response in Induction Thermography in the Frequency Range of 2.5 Hz to 20 kHz. Appl. Sci. 2023, 13, 3565. https://doi.org/10.3390/app13063565
Netzelmann U. Theoretical and Experimental Analysis of the Thermal Response in Induction Thermography in the Frequency Range of 2.5 Hz to 20 kHz. Applied Sciences. 2023; 13(6):3565. https://doi.org/10.3390/app13063565
Chicago/Turabian StyleNetzelmann, Udo. 2023. "Theoretical and Experimental Analysis of the Thermal Response in Induction Thermography in the Frequency Range of 2.5 Hz to 20 kHz" Applied Sciences 13, no. 6: 3565. https://doi.org/10.3390/app13063565
APA StyleNetzelmann, U. (2023). Theoretical and Experimental Analysis of the Thermal Response in Induction Thermography in the Frequency Range of 2.5 Hz to 20 kHz. Applied Sciences, 13(6), 3565. https://doi.org/10.3390/app13063565

