Investigating Uniform Stability of Fractional-Order Complex-Valued Stochastic Neural Networks with Impulses via a Direct Method
Abstract
1. Introduction
- (1)
- Primarily, based on our current understanding, this study constitutes the first endeavor to scrutinize the existence and uniform stability (from a distribution-sense perspective) of solutions for impulsive fractional-order complex-valued stochastic neural networks with time delays.
- (2)
- As a common trend, most researchers concentrate on real-valued neural networks. In contrast, this study centers on impulsive fractional-order stochastic neural networks featuring delays, explored within the complex domain.
- (3)
- Ultimately, the analytical tools developed in this paper can be leveraged to examine distribution-sense solutions for alternative types of impulsive fractional-order stochastic neural networks with delays. To date, no existing research has utilized this methodology to investigate such neural network architectures.
2. Materials and Methods
- (i)
- (ii)
- ,
- (i)
- whenever ;
- (ii)
- P is compact and continuous;
- (iii)
- Q is a contraction mapping.
- ()
- If and , then for any and , we have and . Thus, we have , and , where , and ; for more details see [23].
- ()
- For each , there exist positive constants such that the following Lipschitz conditions hold for all :
- ()
- For every and each integer there exists a positive constant such that the inequalityholds for all
- ()
- The following inequality holds:
3. Results
- (I)
- is -valued, and restriction of to the interval is continuous.
- (II)
- For each , satisfies the following integral equation:where
- ()
- , and the restriction of to the interval is continuous, where .
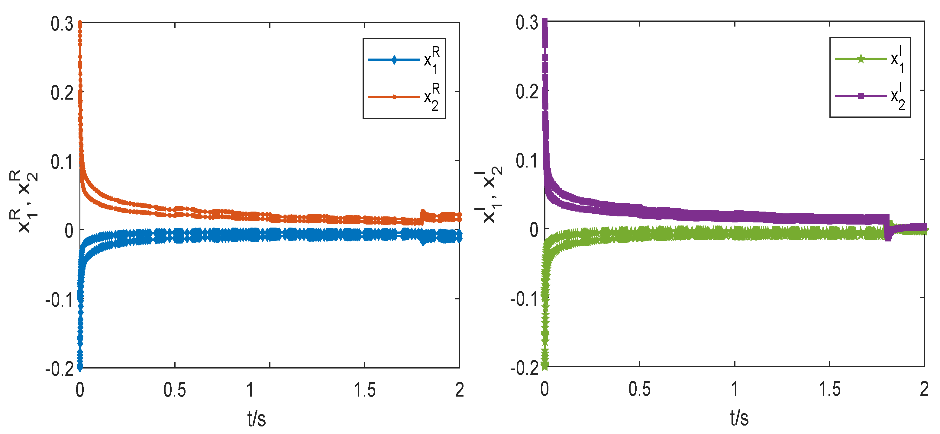
4. Example
5. Discussion
6. Conclusions
Author Contributions
Funding
Data Availability Statement
Conflicts of Interest
References
- Bosse, S.; Maniry, D.; Müller, K.R.; Wiegand, T.; Samek, W. Deep neural networks for no-reference and full-reference image quality assessment. IEEE Trans. Image Process. 2018, 27, 206–219. [Google Scholar] [CrossRef] [PubMed]
- Zhu, S.; Wang, L.D.; Duan, S.K. Memristive pulse coupled neural network with applications in medical image processing. Neurocomputing 2017, 227, 149–157. [Google Scholar] [CrossRef]
- Villarrubia, G.; De Paz, J.F.; Chamoso, P.; Prieta, F.D.L. Artificial neural networks used in optimization problems. Neurocomputing 2018, 272, 10–16. [Google Scholar] [CrossRef]
- Nikseresht, A.; Nazemi, A. A novel neural network for solving semidefinite programming problems with some applications. J. Comput. Appl. Math. 2019, 350, 309–323. [Google Scholar] [CrossRef]
- Tang, J.; Qiao, J.F.; Zhang, J.; Wu, Z.; Chai, T.; Yu, W. Combinatorial optimization of input features and learning parameters for decorrelated neural network ensemble-based soft measuring model. Neurocomputing 2018, 275, 1426–1440. [Google Scholar] [CrossRef]
- Wang, B.; Merrick, K.E.; Abbass, H.A. Co-operative coevolutionary neural networks for mining functional association rules. IEEE Trans. Neural Netw. Learn. Syst. 2017, 28, 1331–1344. [Google Scholar] [CrossRef]
- Zhao, K.H.; Zhao, X.X.; Lv, X.J. A general framework for the multiplicity of positive solutions to higher-order Caputo and Hadamard fractional functional differential coupled Laplacian systems. Fractal Fract. 2025, 9, 701. [Google Scholar] [CrossRef]
- Zhao, K.H. A generalized stochastic Nicholson blowfly model with mixed time-varying lags and harvest control: Almost periodic oscillation and global stable behavior. Adv. Contin. Discret. Model. 2025, 2025, 171. [Google Scholar] [CrossRef]
- Li, Y.K.; Ruan, C.F.; Li, B. Existence and finite-time stability of Besicovitch almost periodic solutions of fractional-order quaternion-valued neural networks with time-varying delays. Neural Process. Lett. 2022, 54, 2127–2141. [Google Scholar] [CrossRef]
- Bao, H.B.; Park, J.H.; Cao, J.D. Synchronization of fractional-order complex-valued neural networks with time delay. Neural Netw. 2016, 81, 16–28. [Google Scholar] [CrossRef] [PubMed]
- Zhang, S.; Yu, Y.; Yu, J. LMI conditions for global stability of fractional-order neural networks. IEEE Trans. Neural Netw. Learn. Syst. 2017, 28, 2423–2433. [Google Scholar] [CrossRef]
- Xu, Y.; Li, Y.Z.; Li, W.X. Adaptive finite-time synchronization control for fractional-order complex-valued dynamical networks with multiple weights. Commun. Nonlinear Sci. Numer. Simul. 2020, 85, 105239. [Google Scholar] [CrossRef]
- Wu, H.Q.; Zhang, X.X.; Xue, S.H.; Wang, L.; Wang, Y. LMI conditions to global Mittag-Leffler stability of fractional-order neural networks with impulses. Neurocomputing 2016, 193, 148–154. [Google Scholar] [CrossRef]
- Zhang, H.; Chen, X.B.; Ye, R.Y.; Stamova, I.; Cao, J. Adaptive quasi-synchronization analysis for Caputo delayed Cohen–Grossberg neural networks. Math. Comput. Simul. 2023, 212, 49–65. [Google Scholar] [CrossRef]
- Li, H.L.; Hu, C.; Zhang, L.; Jiang, H.; Cao, J. Complete and finite-time synchronization of fractional-order fuzzy neural networks via nonlinear feedback control. Fuzzy Sets Syst. 2022, 443, 50–69. [Google Scholar] [CrossRef]
- Gokul, P.; Rakkiyappan, R. New finite-time stability for fractional-order time-varying time-delay linear systems: A Lyapunov approach. J. Frankl. Inst. 2022, 359, 7620–7631. [Google Scholar]
- Li, P.; Li, X.D. Input-to-state stability of nonlinear impulsive systems via Lyapunov method involving indefinite derivative. Math. Comput. Simul. 2019, 155, 314–323. [Google Scholar] [CrossRef]
- Yuan, M.M.; Luo, X.; Mao, X.; Han, Z.; Sun, L.; Zhu, P. Event-triggered hybrid impulsive control on lag synchronization of delayed memristor-based bidirectional associative memory neural networks for image hiding. Chaos Solitons Fractals 2022, 161, 112311. [Google Scholar] [CrossRef]
- Li, H.; Kao, Y.; Bao, H.B.; Chen, Y. Uniform stability of Complex-valued neural networks of fractional order with linear impulses and fixed time delays. IEEE Trans. Neural Netw. Learn. Syst. 2022, 33, 5321–5331. [Google Scholar] [CrossRef]
- Fang, T.; Sun, J.T. Stability of complex-valued impulsive system with delay. Appl. Math. Comput. 2014, 240, 102–108. [Google Scholar] [CrossRef]
- Yang, X.J.; Li, C.D.; Huang, T.W.; Song, Q. Mittag-Leffler stability analysis of nonlinear fractional-order systems with impulses. Appl. Math. Comput. 2017, 293, 416–422. [Google Scholar] [CrossRef]
- Podlubny, I. Fractional Differential Equations. In Mathematics in Science and Engineering; Academic Press: San Diego, CA, USA, 1999. [Google Scholar]
- Kilbas, A.A.; Srivastava, H.M.; Trujillo, J.J. Theory and Applications of Fractional Differential Equations; Elsevier Science B.V.: Amsterdam, The Netherlands, 2006. [Google Scholar]
- Haase, M. The functional calculus for sectorial operators. In Operator Theory: Advances and Applications; Birkhauser: Basel, Switzerland, 2006. [Google Scholar]
- Araya, D.; Lizama, C. Almost automorphic mild solutions to fractional differential equations. Nonlinear Anal. Theory Methods Appl. 2009, 69, 3692–3705. [Google Scholar] [CrossRef]
- Dabas, J.; Chauhan, A.; Kumar, M. Existence of the mild solutions for impulsive fractional equations with infinite delay. Int. J. Differ. Equ. 2011, 20, 793023. [Google Scholar] [CrossRef]



Disclaimer/Publisher’s Note: The statements, opinions and data contained in all publications are solely those of the individual author(s) and contributor(s) and not of MDPI and/or the editor(s). MDPI and/or the editor(s) disclaim responsibility for any injury to people or property resulting from any ideas, methods, instructions or products referred to in the content. |
© 2025 by the authors. Licensee MDPI, Basel, Switzerland. This article is an open access article distributed under the terms and conditions of the Creative Commons Attribution (CC BY) license.
Share and Cite
Xiang, J.; Tang, T.; Huang, X. Investigating Uniform Stability of Fractional-Order Complex-Valued Stochastic Neural Networks with Impulses via a Direct Method. Axioms 2026, 15, 17. https://doi.org/10.3390/axioms15010017
Xiang J, Tang T, Huang X. Investigating Uniform Stability of Fractional-Order Complex-Valued Stochastic Neural Networks with Impulses via a Direct Method. Axioms. 2026; 15(1):17. https://doi.org/10.3390/axioms15010017
Chicago/Turabian StyleXiang, Jianglian, Tiantian Tang, and Xiaoli Huang. 2026. "Investigating Uniform Stability of Fractional-Order Complex-Valued Stochastic Neural Networks with Impulses via a Direct Method" Axioms 15, no. 1: 17. https://doi.org/10.3390/axioms15010017
APA StyleXiang, J., Tang, T., & Huang, X. (2026). Investigating Uniform Stability of Fractional-Order Complex-Valued Stochastic Neural Networks with Impulses via a Direct Method. Axioms, 15(1), 17. https://doi.org/10.3390/axioms15010017

