Sign in to use this feature.

Years

Between: -

Subjects

remove_circle_outline
remove_circle_outline
remove_circle_outline
remove_circle_outline
remove_circle_outline
remove_circle_outline
remove_circle_outline
remove_circle_outline
remove_circle_outline

Journals

remove_circle_outline
remove_circle_outline
remove_circle_outline
remove_circle_outline
remove_circle_outline
remove_circle_outline
remove_circle_outline
remove_circle_outline
remove_circle_outline

Article Types

Countries / Regions

remove_circle_outline
remove_circle_outline
remove_circle_outline

Search Results (388)

Search Parameters:
Keywords = imidazole synthesis

Order results
Result details
Results per page
Select all
Export citation of selected articles as:
19 pages, 1177 KB  
Article
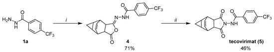
Synthesis of Antiviral Drug Tecovirimat and Its Key Maleimide Intermediates Using Organocatalytic Mumm Rearrangement at Ambient Conditions
by Przemysław W. Szafrański, Wojciech Trybała, Adam Mazur, Katarzyna Pańczyk-Straszak, Alicja Kacprzak, Vittorio Canale and Paweł Zajdel
Int. J. Mol. Sci. 2026, 27(1), 61; https://doi.org/10.3390/ijms27010061 - 20 Dec 2025
Viewed by 171
Abstract
Tecovirimat is an antiviral agent approved for the treatment of orthopoxvirus infections including smallpox, cowpox and monkeypox. A key challenge in its synthesis lies in the generation of maleimide intermediates, which traditionally requires high-temperature thermal rearrangement and often results in low-to-moderate yields. Classical [...] Read more.
Tecovirimat is an antiviral agent approved for the treatment of orthopoxvirus infections including smallpox, cowpox and monkeypox. A key challenge in its synthesis lies in the generation of maleimide intermediates, which traditionally requires high-temperature thermal rearrangement and often results in low-to-moderate yields. Classical methods rely on heating in toluene above 70 °C, limiting scalability and efficiency. Herein, we present a mild and efficient organocatalytic approach to the synthesis of tecovirimat intermediates, using a room-temperature Mumm rearrangement of isomaleimide precursors. The reaction is catalyzed by 10 mol% imidazole and N-hydroxysuccinimide. As a representative example for one of the tecovirimat synthesis methods, intermediate N-(2,5-dioxo-2,5-dihydro-1H-pyrrol-1-yl)-4-(trifluoromethyl)benzamide was synthesized from p-trifluoromethylbenzohydrazide at a 71% yield over two steps. Additionally, N-(2,5-dioxopyrrol-1-yl)(tert-butoxy)formamide was obtained from Boc-hydrazide at a 37% yield. The methodology was sufficiently extended to other benzohydrazide-derived isomaleimides. To support the mechanistic rationale, preliminary PM7 semiempirical computational studies were performed, highlighting the electronic features facilitating the transformation. This work offers a practical and scalable route to tecovirimat intermediates, overcoming key synthetic bottlenecks and enhancing the efficiency of antiviral drug production. Full article
(This article belongs to the Section Biochemistry)
Show Figures

Graphical abstract

58 pages, 11947 KB  
Review
Insight into the Anticancer Potential of Imidazole-Based Derivatives Targeting Receptor Tyrosine Kinases
by Sami A. Al-Hussain, Dina H. Dawood, Thoraya A. Farghaly, Alaa M. Abu Alnjaa and Magdi E. A. Zaki
Pharmaceuticals 2025, 18(12), 1839; https://doi.org/10.3390/ph18121839 - 2 Dec 2025
Viewed by 457
Abstract
Kinases, which make up 20% of the druggable genome, are thought to be essential signaling enzymes. Protein phosphorylation is induced by protein kinases. Proliferation, the cell cycle, apoptosis, motility, growth, differentiation, and other biological processes are all regulated by kinases. Their dysregulation disrupts [...] Read more.
Kinases, which make up 20% of the druggable genome, are thought to be essential signaling enzymes. Protein phosphorylation is induced by protein kinases. Proliferation, the cell cycle, apoptosis, motility, growth, differentiation, and other biological processes are all regulated by kinases. Their dysregulation disrupts several cellular functions, leading to a variety of illnesses, the most important of which is cancer. As a result, kinases are thought to be crucial targets in a number of malignancies and other diseases. Researchers from all over the world are hard at work developing inhibitors using various chemical structures. The scaffolds of imidazole and benzimidazole provide a versatile structure for a variety of physiologically active substances. Moreover, they serve as specialized scaffolding for the creation of target-specific pharmaceuticals to address various diseases. This article seeks to illustrate the application of imidazole and benzimidazole frameworks in the formulation of inhibitors that target various tyrosine kinases, including fibroblast growth factor receptors (FGFRs), c-Met kinase, epidermal growth factor receptors (EGFRs), vascular endothelial growth factor receptors (VEGFRs), and FMS-like tyrosine kinase 3 (FLT3), from 2020 to the present. The major structure–activity correlations (SARs) of imidazole and benzimidazole derivatives were examined, and, also, a docking study highlighted the varied interactions occurring inside the active site of tyrosine protein kinases. The objective of this effort is to consolidate the fundamental structural information necessary for the synthesis of imidazole- or benzimidazole-based tyrosine kinase inhibitors with enhanced efficacy. Full article
Show Figures

Figure 1

12 pages, 4715 KB  
Article
Nitrogen-Doped Carbon Coated Zn0.17Co0.83P as a Highly Active and Stable Electrocatalyst for Hydrogen Evolution
by Guo-Ping Shen, Xiao-Mei Men, Si-Jia Guo, Na Xu and Bin Dong
Catalysts 2025, 15(11), 1071; https://doi.org/10.3390/catal15111071 - 12 Nov 2025
Viewed by 633
Abstract
Zeolitic imidazolate frameworks (ZIFs) can provide fascinating stereo morphology and tunable metal active sites, which plays an important role in the synthesis of various catalytic materials. However, it is still a problem to make use of these advantages to design efficient hydrogen evolution [...] Read more.
Zeolitic imidazolate frameworks (ZIFs) can provide fascinating stereo morphology and tunable metal active sites, which plays an important role in the synthesis of various catalytic materials. However, it is still a problem to make use of these advantages to design efficient hydrogen evolution reaction (HER) catalysts. Herein, we use covalent coordination strategy to synthesize bimetallic CoxZn1−x(2-MeIM)2 precursors with regular dodecahedral structures for providing uniform active sites and stable carbon skeleton. Furthermore, the ratio of Co and Zn atoms was optimized to balance the electron density and give full play to the synergistic catalytic effect. And then, the subsequent high temperature annealing process is used to construct the amorphous carbon layer, which can improve the overall stability of the material. The gas phase phosphating process realizes the transformation from ZIF material to metal phosphide resulting in enhanced hydrogen evolution activity. Finally, the optimized amorphous nitrogen-doped carbon (NC)-coated Zinc-doped cobalt phosphide (Zn0.17Co0.83P@NC) requires only 237.60 mV to reach the current density of 10 mA cm−2 in alkaline medium, which is 223.22 mV lower than that of CoP, and has a stability of up to 18 h. This work provides a reference for the rational design of efficient and stable compound electrocatalysts for alkaline hydrogen evolution based on the bimetallic ZIF as a precursor. Full article
(This article belongs to the Special Issue Non-Noble Metal Electrocatalytic Materials for Clean Energy)
Show Figures

Figure 1

15 pages, 3390 KB  
Article
Phytofabrication of ZIF-8 Using Mangrove Metabolites for Dual Action Against Drug-Resistant Microbes and Breast Cancer Cells
by Srinath Rajeswaran, Mithuna Shaji Kumarikrishna, Aneesh Giriprasath, Kandi Sridhar, Murugan Anbazhagan, Siva Vadivel and Maharshi Bhaswant
Biomimetics 2025, 10(11), 755; https://doi.org/10.3390/biomimetics10110755 - 8 Nov 2025
Viewed by 644
Abstract
Green nanotechnology offers a sustainable and eco-friendly approach for nanoframework synthesis. The present study intended to synthesize a novel eco-friendly encapsulated Zeolitic Imidazolate Framework-8 (ZIF-8) in a one-pot method using metabolites from the mangrove plant Conocarpus erectus (CE). Gas Chromatography–Mass Spectrometry (GC-MS) analysis [...] Read more.
Green nanotechnology offers a sustainable and eco-friendly approach for nanoframework synthesis. The present study intended to synthesize a novel eco-friendly encapsulated Zeolitic Imidazolate Framework-8 (ZIF-8) in a one-pot method using metabolites from the mangrove plant Conocarpus erectus (CE). Gas Chromatography–Mass Spectrometry (GC-MS) analysis of the extract revealed the presence of important bioactive metabolites. The synthesized material was evaluated by UV-Vis spectroscopy, X-ray diffraction (XRD), particle size analysis (PSA), zeta potential measurement, high-resolution transmission electron microscopy (HR-TEM), and Fourier transform infrared (FT-IR) spectroscopy studies. The environment-friendly mangrove metabolites aided by Zeolitic Imidazolate Framework-8 was found to be crystalline, rhombic dodecahedron structured, and size dispersed without agglomeration. The nanomaterial possessed a broad antimicrobial effect on drug-resistant microorganisms, including Candida krusei, Escherichia coli, Streptococcus Sp., Staphylococcus aureus, Enterococcus Sp., Pseudomonas aeruginosa, Klebsiella pneumoniae, C. propicalis, and C. albicans. Further, its cytotoxicity against MDA-MB-231 cells was found to be efficient. The morphological alterations exhibited by the antiproliferative impact on the breast cancer cell line were detected using DAPI and AO/EB staining. Therefore, ZIF-8 encapsulated mangrove metabolites could serve as an effective biomaterial with biomedical properties in the future. Full article
(This article belongs to the Section Biomimetics of Materials and Structures)
Show Figures

Graphical abstract

20 pages, 1754 KB  
Article
Synthesis and Biological Evaluation of Novel Mixed-Ligand 99mTc-Labeled Anthraquinone Complexes as Potential DNA-Targeted Imaging Agents
by Theofanis Matthaios Migkos, Pigi Glykofridi, Georgios Paparidis, George Psomas, Ioannis S. Vizirianakis, Catherine Gabriel, Dimosthenis Sarigiannis, Ioannis Iakovou and Dionysia Papagiannopoulou
Inorganics 2025, 13(11), 368; https://doi.org/10.3390/inorganics13110368 - 3 Nov 2025
Viewed by 604
Abstract
Anthraquinones are molecules with numerous biological properties that can act as DNA intercalators and topoisomerase IIa inhibitors. In this work, the development of technetium-99m radiotracers was pursued via the technetium-tricarbonyl “2 + 1” mixed-ligand approach, fac-[99mTc][TcI(CO)3(NN′)(N)] [...] Read more.
Anthraquinones are molecules with numerous biological properties that can act as DNA intercalators and topoisomerase IIa inhibitors. In this work, the development of technetium-99m radiotracers was pursued via the technetium-tricarbonyl “2 + 1” mixed-ligand approach, fac-[99mTc][TcI(CO)3(NN′)(N)]+, with a (N,N′) bidentate chelator and a N co-ligand. In one approach, the ligands used were 2,2′-bipyridine (bpy) and N-functionalized-imidazole, where imidazole was conjugated to an anthraquinone moiety. In the other approach, 2-picolylamine and imidazole were used as the mixed-ligand system, where picolylamine was conjugated to an anthraquinone moiety. The synthesis of the ligands was achieved by reaction of 2-picolylamine with a suitably functionalized anthraquinone (Aqpa) or anthrapyrazole (Appa) and imidazole with a suitably functionalized anthraquinone (Aqim). The rhenium reference compounds, fac-[ReI(CO)3(bpy)(Aqim)]+ with bpy as a bidentate chelator and fac-[ReI(CO)3(Aqpa or Appa)(Im)]+, with imidazole (Im) as a co-ligand, were synthesized and characterized with spectroscopic methods. The radiotracer technetium-99m complexes fac-[99mTc][Tc(CO)3(bpy)(Aqim)]+ and fac-[99mTc][Tc(CO)3(Aqpa or Appa)(Im)]+ were prepared and characterized with standard methods. The purified radiotracers displayed high stability (≥90%) after incubation 24 h in 1 mM L-histidine or rat plasma. The tracers’ cell uptake was evaluated in vitro in CT-26 cells, and their pharmacokinetic properties and tumor uptake were evaluated in vivo in CT26-tumor-bearing mice. The “2 + 1” technetium-tricarbonyl approach leads to in vitro stable tracers, and this mixed-ligand system shows promise for further evaluation. Full article
Show Figures

Figure 1

14 pages, 8853 KB  
Article
Pectin-Coated Zeolitic Imidazolate Framework-8 Nanoparticles: A Dual-Responsive System for Controlled Carbendazim Delivery
by Yan Chen, Ragab Abouzeid, Qinglin Wu, Cornelis F. de Hoop and Jinqiu Qi
Materials 2025, 18(21), 4961; https://doi.org/10.3390/ma18214961 - 30 Oct 2025
Viewed by 504
Abstract
The use of chemical fungicides in agriculture has led to the need for more efficient and sustainable solutions. Controlled-release nanomaterials offer a promising approach by improving fungicide delivery and reducing the need for frequent applications. This study investigates the synthesis of a dual-responsive [...] Read more.
The use of chemical fungicides in agriculture has led to the need for more efficient and sustainable solutions. Controlled-release nanomaterials offer a promising approach by improving fungicide delivery and reducing the need for frequent applications. This study investigates the synthesis of a dual-responsive nanofungicide through the loading of carbendazim (MBC) into zeolitic imidazolate framework-8 (ZIF-8), etching with tannic acid (TA) and the introduction of pectin (PT) to synthesize the MBC@ZTA-PT. The pectin, which was extracted from sweet potato peels, was applied as an eco-friendly, biodegradable additive that enhanced the stability and controlled-release properties of nanofungicide. Tannic acid etching significantly improved MBC loading efficiency. The cumulative release rates after 96 h under three different conditions were 33.12% at pH 7, 59.00% at pH 7 with the addition of pectinase, and 70.74% at pH 5 with the addition of pectinase, highlighting the strong responsiveness of the nanofungicide to pH and enzyme triggers. This dual-response system provided controlled release, thereby enhancing MBC utilization efficiency and minimizing the environmental hazards associated with fungicide applications. The findings suggest that MBC@ZTA-PT represents a promising, environmentally friendly strategy for sustainable plant disease management. Full article
(This article belongs to the Section Green Materials)
Show Figures

Figure 1

13 pages, 4131 KB  
Article
A Novel Strategy for Introducing Metal-Organic Frameworks into Carbon Fiber to Improve the Interfacial and Mechanical Properties of Carbon Fiber/Epoxy Composites
by Jin Yan, Hongyi Ma, Qiyu Deng, Hongyun Li and Lei Xiong
Materials 2025, 18(21), 4856; https://doi.org/10.3390/ma18214856 - 23 Oct 2025
Viewed by 580
Abstract
The interfacial properties in carbon fiber (CF)-reinforced polymer composites are substantially limited by the chemically inactive and smooth CF surfaces. In this study, zeolitic imidazolate framework 90 (ZIF90) was chemically grafted onto CF surfaces via polyethyleneimine (PEI) as a coupling agent to construct [...] Read more.
The interfacial properties in carbon fiber (CF)-reinforced polymer composites are substantially limited by the chemically inactive and smooth CF surfaces. In this study, zeolitic imidazolate framework 90 (ZIF90) was chemically grafted onto CF surfaces via polyethyleneimine (PEI) as a coupling agent to construct a hierarchical reinforcement interface in CF/epoxy composite. The successful synthesis of CF grafted with PEI and ZIF90 (CF-PEI-ZIF90) was systematically characterized by Fourier-transform infrared spectroscopy (FTIR), X-ray photoelectron spectroscopy (XPS), thermogravimetric analysis (TGA), scanning electron microscopy (SEM), and X-ray diffraction (XRD). The incorporation of ZIF90 nanocrystals and PEI molecules into CF surfaces effectively improved interfacial adhesion through mechanical interlocking and chemical interactions, thereby optimizing stress transfer efficiency at the fiber–matrix interface and improving the interfacial properties of the composite. Additionally, the resultant CF-PEI-ZIF90/epoxy composite demonstrated significant mechanical enhancement, with the tensile and bending strengths increasing by 33.5% and 21.4%, respectively, compared to unmodified CF/epoxy composites. This work provides a novel strategy for enhancing the interfacial performance of CF composites by leveraging the unique properties of metal-organic frameworks, which is critical for advancing high-performance structural materials in aerospace and automotive applications. Full article
Show Figures

Figure 1

21 pages, 1520 KB  
Article
Design, Synthesis, and Molecular Docking of New Hydrazide–Hydrazone Derivatives with Imidazole Scaffold as Potential Antimicrobial Agents
by Rita M. Borik
Chemistry 2025, 7(6), 172; https://doi.org/10.3390/chemistry7060172 - 23 Oct 2025
Viewed by 1115
Abstract
The reaction of imidazole-5-carbohydrazide 1 with hydrazonyl halides 2a,b gave the corresponding hydrazide–hydrazone derivatives 3a,b. Afterwards, 3-methyl-5-(4-methyl-2-aryl-1H-imidazol-5-yl)-4-(2-phenylhydrazineylidene)-4H-pyrazole 4a,b was affordably produced by cyclizing the latter compounds 3a,b in EtOH with [...] Read more.
The reaction of imidazole-5-carbohydrazide 1 with hydrazonyl halides 2a,b gave the corresponding hydrazide–hydrazone derivatives 3a,b. Afterwards, 3-methyl-5-(4-methyl-2-aryl-1H-imidazol-5-yl)-4-(2-phenylhydrazineylidene)-4H-pyrazole 4a,b was affordably produced by cyclizing the latter compounds 3a,b in EtOH with Et3N at reflux temperature. The corresponding piperidinyl, morpholinyl, and piperazinyl derivatives 5a–f were produced by a nucleophilic substitution reaction of 3a,b with piperidine, morpholine, and 1-methylpiperazine in EtOH at reflux temperature. The condensation reaction of carbohydrazide 1 with either 3-acetyl-2H-chromen-2-one or 1-(benzofuran-2-yl)ethan-1-one in EtOH with AcOH at reflux temperature yielded the corresponding hydrazones 6 and 7, respectively, in excellent yields. Twelve compounds were evaluated for their antibacterial properties and to ascertain their minimum inhibitory concentrations utilizing well diffusion methods. All compounds showed differing levels of antibacterial efficacy depending on the microbial species. Compounds 4b and 5c had the most favorable results, with inhibition zones of 2.7 cm against the Gram-positive bacterium S. aureus, with a minimum inhibitory concentration (MIC) of 50 µg/mL. Compounds 4b and 5c, demonstrating the highest activity, were subjected to molecular docking investigations to evaluate their inhibitory effects on the enzyme L-glutamine: D-fructose-6-phosphate amidotransferase [GlcN-6-P] of 2VF5. The molecular docking results revealed that both 4b and 5c exhibited a minimum binding energy of −8.7 kcal/mol, whereas the natural ligand GLP displayed a binding energy of −6.2 kcal/mol, indicating a substantial affinity for the active site; thus, they may be considered potent inhibitors of GlcN-6-P synthase. Full article
Show Figures

Graphical abstract

24 pages, 2025 KB  
Review
Indole–Imidazole Hybrids as Emerging Therapeutic Scaffolds: Synthetic Advances and Biomedical Applications
by Wafa A. Bawazir and Qurratul Ain
Molecules 2025, 30(21), 4164; https://doi.org/10.3390/molecules30214164 - 23 Oct 2025
Viewed by 869
Abstract
Indole and imidazole structures are widely used in medicinal chemistry for their unique electronic, steric, and pharmacophoric qualities that drive diverse biological effects. Combining indole and imidazole structures enhanced structural diversity, binding affinity, making a promising approach for creating multifunctional therapeutic agents. This [...] Read more.
Indole and imidazole structures are widely used in medicinal chemistry for their unique electronic, steric, and pharmacophoric qualities that drive diverse biological effects. Combining indole and imidazole structures enhanced structural diversity, binding affinity, making a promising approach for creating multifunctional therapeutic agents. This review presents a comprehensive overview of the synthetic strategies developed for indole–imidazole derivatives, encompassing multistep synthesis, one-pot multicomponent condensation reactions, metal-catalyzed reactions, metal-free catalysis, and various green chemistry approaches, with particular emphasis on efficiency, yields, and practical limitations. In addition, this review critically evaluates the biological activities of indole–imidazole scaffolds, highlighting their applications as anticancer, antioxidant, anti-microbial, neurological, and metabolic agents. By integrating recent synthetic advances with pharmacological insights, this review underscores both the opportunities and challenges in the hybrid design. It also provides direction for future research aimed at developing novel drug candidates to tackle current healthcare concerns such as antibiotic resistance, cancer, and chronic diseases. Full article
(This article belongs to the Special Issue Emerging Drug Targets: New Challenges for the Medicinal Chemist)
Show Figures

Figure 1

28 pages, 4904 KB  
Article
Synthesis of Novel Chloro-Benzo [d]imidazole Regioisomers as Selective CB2 Receptor Agonists: Indirect Functional Evaluation and Molecular Insights
by Valeria Zuñiga Salazar, Renato Burgos Ravanal, Jonathan Soto-Flores, Gianfranco Sabadini, José Vicente González, Jaime Mella and Javier Romero-Parra
Pharmaceuticals 2025, 18(11), 1599; https://doi.org/10.3390/ph18111599 - 22 Oct 2025
Viewed by 629
Abstract
Background/Objectives: The cannabinoid type 2 receptor (CB2 receptor) has been extensively studied in recent years due to the benefits associated with its modulation, including the regulation of the inflammatory response, neuroimmunomodulatory properties, and antitumor effects, all with the advantage of lacking significant [...] Read more.
Background/Objectives: The cannabinoid type 2 receptor (CB2 receptor) has been extensively studied in recent years due to the benefits associated with its modulation, including the regulation of the inflammatory response, neuroimmunomodulatory properties, and antitumor effects, all with the advantage of lacking significant psychoactive effects. Herein, we report the design, synthesis, characterization, biological assays, and molecular modelling analyses of novel (5/6-chloro-2-aryl-1H-benzo [d]imidazol-1-yl)(4-methoxyphenyl)methanone and 5/6-chloro-1-(4-methoxybenzyl)-2-aryl-1H-benzo [d]imidazole regioisomers as potential cannabinoid type 2 receptor ligands. Methods: The compounds were evaluated for their presumed CB2 agonist activity using an indirect receptor-dependent apoptotic cell death assay exerted by cannabinoids, using the cell lines HEK293 (low CB1/CB2 expression), U-87 MG (high CB1 expression), and HL-60 (exclusive CB2 expression), and including the known cannabinoid ligands WIN-55,212-2 and AM630 as reference ligands. Flow cytometry was performed to assess apoptosis. Molecular docking and molecular dynamics simulations were used to explore ligand-receptor interactions at the CB2 active site. Results: Compounds 3a, 3b’, 3c, and 4b selectively reduced HL-60 cell viability, similar to WIN-55,212-2, while showing no toxicity toward HEK293 or U-87 MG cells. Flow cytometry indicated that compounds 3a and 3c induced apoptosis in HL-60 cells comparable to WIN-55,212-2. Computational studies suggested that both compounds bind within the CB2 receptor active site predominantly through π–π and hydrophobic interactions involving their benzo [d]imidazole cores, 2-aryl moieties, and 4-methoxybenzoyl scaffolds, resembling the binding patterns of established CB2 ligands. Conclusions: Compounds 3a and 3c exert selective cytotoxicity against HL-60 cells, likely via a CB2 agonist-mediated apoptotic mechanism. The applied combined experimental and computational approach provides a rapid, informative strategy for preliminary evaluation of CB2 ligands and guides subsequent detailed pharmacological studies. Full article
(This article belongs to the Section Medicinal Chemistry)
Show Figures

Graphical abstract

23 pages, 2482 KB  
Article
Facile Synthesis of N-vinylindoles via Knoevenagel Condensation: Molecular Features and Biological Activities
by Anita Kornicka, Justyna Stefanowicz-Hajduk, Katarzyna Turecka, Christophe Furman, Maria Gdaniec and Łukasz Balewski
Int. J. Mol. Sci. 2025, 26(20), 10149; https://doi.org/10.3390/ijms262010149 - 18 Oct 2025
Viewed by 633
Abstract
N-vinylindoles have attracted attention for their promising role in medicinal chemistry. Therefore, developing new synthetic methods that enable access to diverse functionalized N-vinylindoles with potential pharmacological properties is highly valuable. 1-[2-aryl-1-(4,5-dihydro-1H-imidazol-2-yl)vinyl]-1H-indoles 2a-i were prepared via [...] Read more.
N-vinylindoles have attracted attention for their promising role in medicinal chemistry. Therefore, developing new synthetic methods that enable access to diverse functionalized N-vinylindoles with potential pharmacological properties is highly valuable. 1-[2-aryl-1-(4,5-dihydro-1H-imidazol-2-yl)vinyl]-1H-indoles 2a-i were prepared via Knoevenagel condensation promoted by 1H-benzotriazole, and characterized by IR, NMR, and MS spectroscopic data as well as a single-crystal X-ray diffraction-based study of the representative derivative 2g. The obtained compounds 2a-i were screened for their cytotoxic potency against human cancer cell lines (HeLa, SKOV-3, AGS) and non-cancerous cell line (HaCaT) using the MTT assay. Additional apoptosis analysis and cell cycle assay on SKOV-3 cells were conducted. Their antimicrobial activity was determined using reference strains of S. aureus, E. coli, C. albicans, and C. glabrata. The potent inhibitory activity against AGE2-BSA/sRAGE interaction of selected N-vinylindoles 2b, 2d-f, and 2h-i was evaluated by ELISA assay. A facile approach has been developed for the synthesis of a novel class of N-vinylindoles. The preliminary structure–activity considerations indicated that the presence of substituents R, such as 4-bromophenyl (compound 2f) or 2-naphthyl (compound 2i) is optimal for anticancer activity and the AGE2-BSA/sRAGE interaction inhibition. The most prominent (Z)-1-[1-(4,5-dihydro-1H-imidazol-2-yl)-2-(naphthalen-2-yl)vinyl]-1H-indole (2i) was found to strongly arrest cell cycle in the SKOV-3 cell line in the subG0 phase, inducing apoptosis. Notably, derivative 2i also exhibited the highest activity against S. aureus and C. albicans strains within the tested series. These findings highlight the substantial potential of N-vinylindole derivative 2i as a lead compound for the development of anticancer drugs with additional inhibitory activity on the AGE/RAGE interaction. Full article
(This article belongs to the Special Issue Advances in the Synthesis and Study of Novel Bioactive Molecules)
Show Figures

Figure 1

22 pages, 3063 KB  
Article
Benzo[d]imidazole–Naphthalen-Arylmethanone Regioisomers as CB1 Ligands: Evaluation of Agonism via an Indirect Cytotoxicity-Based Approach
by Analia Young Hwa Cho, Renato Burgos Ravanal, Valeria Zuñiga Salazar, Marco Mellado, Marcos Lorca, David Pessoa-Mahana, Jaime Mella, Germán Günther Sapunar and Javier Romero-Parra
Int. J. Mol. Sci. 2025, 26(20), 9986; https://doi.org/10.3390/ijms26209986 - 14 Oct 2025
Viewed by 527
Abstract
CB1 agonist compounds may be potential drug candidates for the treatment of gliomas, as they have been shown to inhibit tumor cell proliferation, induce apoptosis, and reduce angiogenesis in various preclinical models. Their ability to modulate the endocannabinoid system suggests a promising [...] Read more.
CB1 agonist compounds may be potential drug candidates for the treatment of gliomas, as they have been shown to inhibit tumor cell proliferation, induce apoptosis, and reduce angiogenesis in various preclinical models. Their ability to modulate the endocannabinoid system suggests a promising therapeutic approach for targeting glioma growth and progression. Herein, we report the design, synthesis, biological studies, and bioinformatics assays of novel benzo[d]imidazole–naphthalen-arylmethanone regioisomers with affinity for the CB1 receptor, as well as propose an indirect methodology to evaluate their presumed CB1 agonist activity. Compounds that showed a propensity for binding to the CB1 receptor were regioisomers 4d, 5b, 5e, 5f, and 5f′. Likewise, derivatives that displaced more than 50% of the radioligand [3H]CP-55940 at the CB1 receptor were subjected to in vitro viability experiments. Compounds 4d, 5b, 5e, and 5f′ showed toxicity against U87MG cells (malignant glioma) in a considerable percentage. Notably, compound 5f′ showed CB1 affinity, with a Ki of 2.12 µM, and was selectively toxic to U87MG cells, which highly express the CB1 receptor, while exhibiting no toxicity toward the healthy HEK293 cell line, which expresses both cannabinoid receptors at negligible levels. Docking studies at the CB1 orthosteric site indicate that 5f′ forms π-π interactions, a T-shaped interaction, and hydrogen bonding through the oxygen atom of the furan ring. Biologically, our experimental indirect model-based on a simple viability assay is supported by well-established evidence that activation of CB1 and CB2 receptors by agonists induces cell death and inhibits tumor cell growth. Structurally, we conclude that the presence of a furan ring at the 2-position of the benzo[d]imidazole core is beneficial for the development of new ligands with potential CB1 agonist activity. Full article
Show Figures

Graphical abstract

66 pages, 6861 KB  
Review
Catalytic Application of Ionic Liquids for the Green Synthesis of Aromatic Five-Membered Nitrogen Heterocycles
by Jaya Dwivedi, Shivangi Jaiswal, Devesh U. Kapoor and Swapnil Sharma
Catalysts 2025, 15(10), 931; https://doi.org/10.3390/catal15100931 - 1 Oct 2025
Cited by 1 | Viewed by 1955
Abstract
Five-membered nitrogen heterocycles exhibit a diverse range of applications across various fields, including medicine, agrochemicals, and materials science. Worldwide industries have exploited hazardous organic solvents and catalysts to afford key bioactive heterocycles, which in turn have a devastating impact on the aqueous environment. [...] Read more.
Five-membered nitrogen heterocycles exhibit a diverse range of applications across various fields, including medicine, agrochemicals, and materials science. Worldwide industries have exploited hazardous organic solvents and catalysts to afford key bioactive heterocycles, which in turn have a devastating impact on the aqueous environment. The tremendous rise in environmental contamination has shifted the focus of the scientific community towards sustainable alternatives. In line with this, ionic liquids have received the attention of investigators and are widely preferred in organic transformations as catalysts, solvents, ligands, and co-catalysts. Ionic liquids exhibit superior physicochemical properties, such as non-volatility, excellent conductivity, low vapour pressure, non-flammability, and electrochemical and thermal stability, thereby emerging as a clean and efficient alternative to the hazardous volatile organic solvents. The ionic-liquid-assisted synthetic approach has become a popular, greener method owing to high efficiency and product yield with notable purity. Thus, the present article aimed at highlighting catalytic applications of ionic liquids in the synthesis of aromatic five-membered nitrogen heterocycles such as pyrrole, pyrazole, imidazole, 1,2,3-triazole, 1,2,4-triazole, and tetrazole. This article will provide an insight into ionic liquids for their further exploration in organic transformations and related applications. Full article
Show Figures

Figure 1

23 pages, 3589 KB  
Article
Enhancing Antimicrobial and Antioxidant Properties of Chitosan-Based Films with 1-Methylimidazolium-Chitosan
by Carolina Muñoz-Nuñez, Yoleida Quiroz-Pereira, Alexandra Muñoz-Bonilla and Marta Fernández-García
Polymers 2025, 17(19), 2608; https://doi.org/10.3390/polym17192608 - 26 Sep 2025
Cited by 3 | Viewed by 686
Abstract
The design and the synthesis of functional films with enhanced functionality represent a significant step forward in sustainable material development due to their potential applications. In this study, a novel chitosan derivative (CS-MeIm) was synthetized by chemically modifying chitosan (CS) structure with 1-methyl-1H-imidazole [...] Read more.
The design and the synthesis of functional films with enhanced functionality represent a significant step forward in sustainable material development due to their potential applications. In this study, a novel chitosan derivative (CS-MeIm) was synthetized by chemically modifying chitosan (CS) structure with 1-methyl-1H-imidazole (MeIm), a heterocyclic compound known for its biological properties. This functionalization not only enhances the intrinsic capabilities of CS but also provides a strategic platform for advanced material engineering. The modified compound, CS-MeIm, was incorporated at 10 wt% into films based on CS matrix, which was also reinforced with 1 or 5 wt% of chitin nanowhiskers (ChNw), to improve their functionality for its potential applications. The fabrication process was optimized to ensure the homogeneity and the structural integrity of the films, which were extensively evaluated to study their thermal stability, mechanical integrity, and bioactivity. The incorporation of the imidazole ring into the CS backbone provided a marked enhancement in antioxidant capacity from 3 to 15 μmol Trolox/gram of film; and excellent antimicrobial activity against common microbes, particularly against E. coli with an efficacy of 99.999%. The findings reveal that this chemical modification not only raises the intrinsic properties of CS but also introduces a versatile platform for creating biodegradable films with high functionality. Full article
Show Figures

Figure 1

13 pages, 1624 KB  
Article
SABRE Ir-IMes Catalysis for the Masses
by Izabelle Smith, Noah Terkildsen, Zachary Bender, Abubakar Abdurraheem, Shiraz Nantogma, Anna Samoilenko, Joseph Gyesi, Larisa M. Kovtunova, Oleg G. Salnikov, Igor V. Koptyug, Raphael Kircher, Danila A. Barskiy, Eduard Y. Chekmenev and Roman V. Shchepin
Molecules 2025, 30(18), 3837; https://doi.org/10.3390/molecules30183837 - 22 Sep 2025
Cited by 3 | Viewed by 938
Abstract
The Signal Amplification By Reversible Exchange (SABRE) technique provides enhancement of Nuclear Magnetic Resonance (NMR) signals up to several orders of magnitude using chemical exchange of a substrate and parahydrogen on an iridium complex. Therefore, the availability of such a catalytic complex to [...] Read more.
The Signal Amplification By Reversible Exchange (SABRE) technique provides enhancement of Nuclear Magnetic Resonance (NMR) signals up to several orders of magnitude using chemical exchange of a substrate and parahydrogen on an iridium complex. Therefore, the availability of such a catalytic complex to a broader community is an absolutely vital step for dissemination of the groundbreaking SABRE methodology. The most common SABRE catalyst, which is activated in situ, is based on Ir-IMes system (IMes = 1,3-Bis(2,4,6-trimethylphenyl)imidazol-2-ylidene). Earlier approaches for the synthesis of this catalyst often relied on specialized equipment and were limited to a comparatively small scale. This, in turn, increased the barrier of entry for new scientists to the area of SABRE hyperpolarization. Here, we present a robust, inexpensive, and easy to reproduce synthetic procedure for the preparation of this SABRE catalyst, which does not require specialized inert atmosphere equipment like a glove box or Schlenk line. The synthesis was validated on the scale of several grams vs. tens of milligrams scale in the reported approaches. The resulting SABRE catalyst, [Ir(IMes)(COD)Cl], was activated in situ and further evaluated in hyperpolarization experiments resulting in signal enhancements comparable to (or higher than) those for the catalyst prepared using Schlenk line equipment. Full article
(This article belongs to the Special Issue Emerging Horizons of Hyperpolarization in Chemistry and Biomedicine)
Show Figures

Graphical abstract

Back to TopTop