Sign in to use this feature.

Years

Between: -

Subjects

remove_circle_outline
remove_circle_outline
remove_circle_outline
remove_circle_outline
remove_circle_outline
remove_circle_outline
remove_circle_outline

Journals

Article Types

Countries / Regions

Search Results (32)

Search Parameters:
Keywords = hypothalamus–pituitary–thyroid axis

Order results
Result details
Results per page
Select all
Export citation of selected articles as:
34 pages, 4896 KB  
Article
Long-Term Effects of Stress During Adolescence on the Sex-Dependent Responses of Thyroid Axis and Target Tissues to Exercise in Male and Female Wistar Rats
by Marco Parra-Montes de Oca, Lorraine Jaimes-Hoy, Karen Garduño, Rodrigo García-Herrera, Jean-Louis Charli and Patricia Joseph-Bravo
Int. J. Mol. Sci. 2025, 26(19), 9425; https://doi.org/10.3390/ijms26199425 - 26 Sep 2025
Abstract
The response of the hypothalamic–pituitary–thyroid (HPT) axis to energy demands is perturbed by previous chronic stress perceived during the neonatal or adult periods. We examined the effects of chronic variable stress (CVS) during adolescence on the responses of the HPT axis and target [...] Read more.
The response of the hypothalamic–pituitary–thyroid (HPT) axis to energy demands is perturbed by previous chronic stress perceived during the neonatal or adult periods. We examined the effects of chronic variable stress (CVS) during adolescence on the responses of the HPT axis and target tissues of adult rats to 14 days of voluntary wheel running (Ex) or pair-feeding (PF) to match the reduced food intake of exercised rats. CVS increased the expression of Gr in the paraventricular nucleus (PVN) and of Npy in the mediobasal hypothalamus (MBH) in males; serum corticosterone concentration increased (1.5×), MBH Dio2 and PVN Trh decreased (40%) in both sexes, serum fT4 increased only in males, while T3 and fT3 increased (2×) in females. Exercise decreased Cort and increased PVN Trh expression only in males. In both sexes, it increased MBH Pomc and Dio2 (2×), skeletal muscle Dio2 and Pgc1a (2×), inguinal and perigonadal white adipose tissue (WAT) Adrb3, Dio2, Pparg, Hsl (1.5×), and brown adipose tissue Adrb3, Dio2, and Ucp1. All exercise-induced changes were repressed in CVS-Ex, except Hsl in inguinal WAT of both sexes, or BAT Dio2 in females, which, in contrast, was stimulated (1.5×). PF had lower values than sedentary in most parameters. These results support the idea that adolescent stress affects adult metabolic and neuroendocrine responses to exercise in a sex-specific manner. Full article
Show Figures

Figure 1

27 pages, 2437 KB  
Article
Hypothalamic Median Eminence Thyrotropin-Releasing Hormone-Degrading Ectoenzyme Activity Is Dispensable for Basal Thyroid Axis Activity in Lean Rodents
by Adair Rodríguez-Rodríguez, Rosa María Uribe, Antonieta Cote-Vélez, Patricia Joseph-Bravo and Jean-Louis Charli
Cells 2025, 14(10), 725; https://doi.org/10.3390/cells14100725 - 15 May 2025
Viewed by 693
Abstract
The amplitude of the phasic output of thyrotropin-releasing hormone (TRH) into the hypothalamus–pituitary portal capillaries is likely controlled by the TRH-degrading ectoenzyme (TRH-DE) expressed on the surface of median eminence (ME) β2-tanycytes. To extend this hypothesis, we performed experiments on adult rodents reared [...] Read more.
The amplitude of the phasic output of thyrotropin-releasing hormone (TRH) into the hypothalamus–pituitary portal capillaries is likely controlled by the TRH-degrading ectoenzyme (TRH-DE) expressed on the surface of median eminence (ME) β2-tanycytes. To extend this hypothesis, we performed experiments on adult rodents reared in standard conditions. TRH-DE was close to the putative sites of TRH release in the male rat external layer of the ME. In global Trhde knockout mice, basal hypothalamus–pituitary–thyroid (HPT) axis parameters were not altered but we detected an increased vimentin (a tanycyte marker) positive coverage of the portal vessels. We then overexpressed TRH-DE or a dominant negative isoform by microinjection of adeno-associated virus 1 (AAV1) vectors into the third ventricle of adult male rats. Two weeks after microinjection, cold-stress-induced serum TSH concentration was decreased if ME TRH-DE activity had been enhanced. However, the long-term modification of TRH-DE activity in the ME had only a small impact on basal serum TSH concentration but increased Trhr expression in the anterior pituitary of animals transduced with AAV1-TRH-DE. Thus, long-term modifications of ME TRH-DE activity lead to limited changes in serum TSH concentration in adult rodents reared in standard conditions, possibly because of adaptations of TRH communication in the ME and/or anterior pituitary. Full article
(This article belongs to the Section Cells of the Nervous System)
Show Figures

Graphical abstract

14 pages, 3451 KB  
Article
Effects of 4G Long-Term Evolution Electromagnetic Fields on Thyroid Hormone Dysfunction and Behavioral Changes in Adolescent Male Mice
by Hyun-Yong Kim, Yeonghoon Son, Ye Ji Jeong, Soo-Ho Lee, Nam Kim, Young Hwan Ahn, Sang Bong Jeon, Hyung-Do Choi and Hae-June Lee
Int. J. Mol. Sci. 2024, 25(20), 10875; https://doi.org/10.3390/ijms252010875 - 10 Oct 2024
Cited by 2 | Viewed by 3767
Abstract
Radiofrequency electromagnetic fields (RF-EMFs) can penetrate tissues and potentially influence endocrine and brain development. Despite increased mobile phone use among children and adolescents, the long-term effects of RF-EMF exposure on brain and endocrine development remain unclear. This study investigated the effects of long-term [...] Read more.
Radiofrequency electromagnetic fields (RF-EMFs) can penetrate tissues and potentially influence endocrine and brain development. Despite increased mobile phone use among children and adolescents, the long-term effects of RF-EMF exposure on brain and endocrine development remain unclear. This study investigated the effects of long-term evolution band (LTE) EMF exposure on thyroid hormone levels, crucial for metabolism, growth, and development. Four-week-old male mice (C57BL/6) were exposed to LTE EMF (whole-body average specific absorption rate [SAR] 4 W/kg) or a positive control (lead; Pb, 300 ppm in drinking water) for 4 weeks. Subsequently, the mice underwent behavioral tests including open field, marble burying, and nest building. Blood pituitary and thyroid hormone levels, and thyroid hormone-regulating genes within the hypothalamus–pituitary–thyroid (HPT) axis were analyzed. LTE exposure increased T3 levels, while Pb exposure elevated T3 and T4 and decreased ACTH levels. The LTE EMF group showed no gene expression alterations in the thyroid and pituitary glands, but hypothalamic Dio2 and Dio3 expressions were significantly reduced compared to that in the sham-exposed group. Pb exposure altered the hypothalamic mRNA levels of Oatp1c1 and Trh, pituitary mRNA of Trhr, and Tpo and Tg expression in the thyroid. In conclusion, LTE EMF exposure altered hypothalamic Dio2 and Dio3 expression, potentially impacting the HPT axis function. Further research is needed to explore RF-EMF’s impacts on the endocrine system. Full article
(This article belongs to the Section Molecular Endocrinology and Metabolism)
Show Figures

Figure 1

25 pages, 3022 KB  
Article
Evaluation of Neuro-Hormonal Dynamics after the Administration of Probiotic Microbial Strains in a Murine Model of Hyperthyroidism
by Sorina Nicoleta Voicu, Anca Ioana (Amzăr) Scărlătescu, Miruna-Maria Apetroaei, Marina Ionela (Ilie) Nedea, Ionuț Emilian Blejan, Denisa Ioana Udeanu, Bruno Ștefan Velescu, Manuela Ghica, Octavian Alexandru Nedea, Călin Pavel Cobelschi and Andreea Letiția Arsene
Nutrients 2024, 16(7), 1077; https://doi.org/10.3390/nu16071077 - 6 Apr 2024
Cited by 5 | Viewed by 2725
Abstract
The microbiota–gut–brain axis has received increasing attention in recent years through its bidirectional communication system, governed by the ability of gut microorganisms to generate and regulate a wide range of neurotransmitters in the host body. In this research, we delve into the intricate [...] Read more.
The microbiota–gut–brain axis has received increasing attention in recent years through its bidirectional communication system, governed by the ability of gut microorganisms to generate and regulate a wide range of neurotransmitters in the host body. In this research, we delve into the intricate area of microbial endocrinology by exploring the dynamic oscillations in neurotransmitter levels within plasma and brain samples. Our experimental model involved inducing hyperthyroidism in mice after a “probiotic load” timeframe using two strains of probiotics (Lactobacillus acidophilus, Saccharomyces boulardii, and their combination). These probiotic interventions continued throughout the experiment and were intended to uncover potential modulatory effects on neurotransmitter levels and discern if certain probiotic strains exhibit any protection from hyperthyroidism. Moreover, we aimed to outline the eventual connections between the gut microbiota and the hypothalamus–pituitary–thyroid axis. As our study reveals, there are significant fluctuations in crucial neurotransmitters within the hyperthyroidism model, related to the specific probiotic strain or combination. These findings could support future therapeutic approaches, help healthcare professionals choose between different probiotic therapies, and also allow us proceed with caution when administering such treatments, depending on the health status of hyperthyroid patients. Full article
(This article belongs to the Section Nutrition and Public Health)
Show Figures

Figure 1

19 pages, 975 KB  
Review
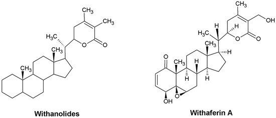
Can Ashwagandha Benefit the Endocrine System?—A Review
by Michał Wiciński, Anna Fajkiel-Madajczyk, Zuzanna Kurant, Dominik Kurant, Karol Gryczka, Michal Falkowski, Magdalena Wiśniewska, Maciej Słupski, Jakub Ohla and Jan Zabrzyński
Int. J. Mol. Sci. 2023, 24(22), 16513; https://doi.org/10.3390/ijms242216513 - 20 Nov 2023
Cited by 17 | Viewed by 34596
Abstract
Withania somnifera, also known as Ashwagandha, has been used in traditional medicine for thousands of years. Due to the wide range of its activities, there has been interest in its possible beneficial effects on the human body. It is proved that, among [...] Read more.
Withania somnifera, also known as Ashwagandha, has been used in traditional medicine for thousands of years. Due to the wide range of its activities, there has been interest in its possible beneficial effects on the human body. It is proved that, among others, Ashwagandha has anti-stress, anti-inflammatory, antimicrobial, anti-cancer, anti-diabetic, anti-obesity, cardioprotective, and hypolipidemic properties. Particularly interesting are its properties reported in the field of psychiatry and neurology: in Alzheimer’s disease, Parkinson’s disease, multiple sclerosis, depression, bipolar disorder, insomnia, anxiety disorders and many others. The aim of this review is to find and summarize the effect that Ashwagandha root extract has on the endocrine system and hormones. The multitude of active substances and the wide hormonal problems faced by modern society sparked our interest in the topic of Ashwagandha’s impact on this system. In this work, we also attempted to draw conclusions as to whether W. somnifera can help normalize the functions of the human endocrine system in the future. The search mainly included research published in the years 2010–2023. The results of the research show that Ashwagandha can have a positive effect on the functioning of the endocrine system, including improving the secretory function of the thyroid gland, normalizing adrenal activity, and multidirectional improvement on functioning of the reproductive system. The main mechanism of action in the latter appears to be based on the hypothalamus–pituitary–adrenal (HPA) axis, as a decrease in cortisol levels and an increase in hormones such as luteinizing hormone (LH) and follicle-stimulating hormone (FSH) in men were found, which results in stress level reduction and improvement in fertility. In turn, other studies prove that active substances from W. somnifera, acting on the body, cause an increase in the secretion of triiodothyronine (T3) and thyroxine (T4) by the thyroid gland and a subsequent decrease in the level of thyroid-stimulating hormone (TSH) in accordance with the hypothalamus–pituitary–thyroid (HPT) axis. In light of these findings, it is clear that Ashwagandha holds significant promise as a natural remedy for various health concerns, especially those related to the endocrine system. Future research may provide new insights into its mechanisms of action and expand its applications in both traditional and modern medicine. The safety and toxicity of Ashwagandha also remain important issues, which may affect its potential use in specific patient groups. Full article
(This article belongs to the Section Molecular Pharmacology)
Show Figures

Figure 1

19 pages, 2988 KB  
Review
Environmental Endocrinology: Parabens Hazardous Effects on Hypothalamic–Pituitary–Thyroid Axis
by Damáris Barcelos Cunha Azeredo, Denilson de Sousa Anselmo, Paula Soares, Jones Bernardes Graceli, D’Angelo Carlo Magliano and Leandro Miranda-Alves
Int. J. Mol. Sci. 2023, 24(20), 15246; https://doi.org/10.3390/ijms242015246 - 17 Oct 2023
Cited by 21 | Viewed by 9375
Abstract
Parabens are classified as endocrine-disrupting chemicals (EDCs) capable of interfering with the normal functioning of the thyroid, affecting the proper regulation of the biosynthesis of thyroid hormones (THs), which is controlled by the hypothalamic–pituitary–thyroid axis (HPT). Given the crucial role of these hormones [...] Read more.
Parabens are classified as endocrine-disrupting chemicals (EDCs) capable of interfering with the normal functioning of the thyroid, affecting the proper regulation of the biosynthesis of thyroid hormones (THs), which is controlled by the hypothalamic–pituitary–thyroid axis (HPT). Given the crucial role of these hormones in health and the growing evidence of diseases related to thyroid dysfunction, this review looks at the effects of paraben exposure on the thyroid. In this study, we considered research carried out in vitro and in vivo and epidemiological studies published between 1951 and 2023, which demonstrated an association between exposure to parabens and dysfunctions of the HPT axis. In humans, exposure to parabens increases thyroid-stimulating hormone (TSH) levels, while exposure decreases TSH levels in rodents. The effects on THs levels are also poorly described, as well as peripheral metabolism. Regardless, recent studies have shown different actions between different subtypes of parabens on the HPT axis, which allows us to speculate that the mechanism of action of these parabens is different. Furthermore, studies of exposure to parabens are more evident in women than in men. Therefore, future studies are needed to clarify the effects of exposure to parabens and their mechanisms of action on this axis. Full article
(This article belongs to the Topic Environmental Toxicology and Human Health)
Show Figures

Graphical abstract

31 pages, 2495 KB  
Review
Hypothalamus and Post-Traumatic Stress Disorder: A Review
by Payman Raise-Abdullahi, Morvarid Meamar, Abbas Ali Vafaei, Maryam Alizadeh, Masoomeh Dadkhah, Sakineh Shafia, Mohadeseh Ghalandari-Shamami, Ramtin Naderian, Seyed Afshin Samaei and Ali Rashidy-Pour
Brain Sci. 2023, 13(7), 1010; https://doi.org/10.3390/brainsci13071010 - 29 Jun 2023
Cited by 39 | Viewed by 19332
Abstract
Humans have lived in a dynamic environment fraught with potential dangers for thousands of years. While fear and stress were crucial for the survival of our ancestors, today, they are mostly considered harmful factors, threatening both our physical and mental health. Trauma is [...] Read more.
Humans have lived in a dynamic environment fraught with potential dangers for thousands of years. While fear and stress were crucial for the survival of our ancestors, today, they are mostly considered harmful factors, threatening both our physical and mental health. Trauma is a highly stressful, often life-threatening event or a series of events, such as sexual assault, war, natural disasters, burns, and car accidents. Trauma can cause pathological metaplasticity, leading to long-lasting behavioral changes and impairing an individual’s ability to cope with future challenges. If an individual is vulnerable, a tremendously traumatic event may result in post-traumatic stress disorder (PTSD). The hypothalamus is critical in initiating hormonal responses to stressful stimuli via the hypothalamic–pituitary–adrenal (HPA) axis. Linked to the prefrontal cortex and limbic structures, especially the amygdala and hippocampus, the hypothalamus acts as a central hub, integrating physiological aspects of the stress response. Consequently, the hypothalamic functions have been attributed to the pathophysiology of PTSD. However, apart from the well-known role of the HPA axis, the hypothalamus may also play different roles in the development of PTSD through other pathways, including the hypothalamic–pituitary–thyroid (HPT) and hypothalamic–pituitary–gonadal (HPG) axes, as well as by secreting growth hormone, prolactin, dopamine, and oxytocin. This review aims to summarize the current evidence regarding the neuroendocrine functions of the hypothalamus, which are correlated with the development of PTSD. A better understanding of the role of the hypothalamus in PTSD could help develop better treatments for this debilitating condition. Full article
(This article belongs to the Special Issue Hypothalamic-Related Disorders)
Show Figures

Figure 1

20 pages, 2869 KB  
Article
Effects of Intermittent Fasting on Hypothalamus–Pituitary–Thyroid Axis, Palatable Food Intake, and Body Weight in Stressed Rats
by Cinthia García-Luna, Ixchel Prieto, Paulina Soberanes-Chávez, Elena Alvarez-Salas, Iván Torre-Villalvazo, Gilberto Matamoros-Trejo and Patricia de Gortari
Nutrients 2023, 15(5), 1164; https://doi.org/10.3390/nu15051164 - 25 Feb 2023
Cited by 10 | Viewed by 4063
Abstract
Dietary regimens that are focused on diminishing total caloric intake and restricting palatable food ingestion are the most common strategies for weight control. However, restrictive diet therapies have low adherence rates in obese patients, particularly in stressed individuals. Moreover, food restriction downregulates the [...] Read more.
Dietary regimens that are focused on diminishing total caloric intake and restricting palatable food ingestion are the most common strategies for weight control. However, restrictive diet therapies have low adherence rates in obese patients, particularly in stressed individuals. Moreover, food restriction downregulates the hypothalamic–pituitary–thyroid axis (HPT) function, hindering weight loss. Intermittent fasting (IF) has emerged as an option to treat obesity. We compared the effects of IF to an all-day feeding schedule on palatable diet (PD)-stress (S)-induced hyperphagia, HPT axis function, accumbal thyrotropin-releasing hormone (TRH), and dopamine D2 receptor expression in association with adipocyte size and PPARƔ coactivator 1α (PGC1α) and uncoupling protein 1 (UCP1) expression in stressed vs. non-stressed rats. After 5 weeks, S-PD rats showed an increased energy intake and adipocyte size, fewer beige cells, and HPT axis deceleration-associated low PGC1α and UCP1 expression, as well as decreased accumbal TRH and D2 expression. Interestingly, IF reversed those parameters to control values and increased the number of beige adipocytes, UCP1, and PGC1α mRNAs, which may favor a greater energy expenditure and a reduced body weight, even in stressed rats. Our results showed that IF modulated the limbic dopaminergic and TRHergic systems that regulate feeding and HPT axis function, which controls the metabolic rate, supporting this regimen as a suitable non-pharmacologic strategy to treat obesity, even in stressed individuals. Full article
(This article belongs to the Special Issue The Intervention of Diet on Energy Metabolism)
Show Figures

Figure 1

19 pages, 2998 KB  
Review
Selenium, Iodine and Iron–Essential Trace Elements for Thyroid Hormone Synthesis and Metabolism
by Josef Köhrle
Int. J. Mol. Sci. 2023, 24(4), 3393; https://doi.org/10.3390/ijms24043393 - 8 Feb 2023
Cited by 76 | Viewed by 22040
Abstract
The adequate availability and metabolism of three essential trace elements, iodine, selenium and iron, provide the basic requirements for the function and action of the thyroid hormone system in humans, vertebrate animals and their evolutionary precursors. Selenocysteine-containing proteins convey both cellular protection along [...] Read more.
The adequate availability and metabolism of three essential trace elements, iodine, selenium and iron, provide the basic requirements for the function and action of the thyroid hormone system in humans, vertebrate animals and their evolutionary precursors. Selenocysteine-containing proteins convey both cellular protection along with H2O2-dependent biosynthesis and the deiodinase-mediated (in-)activation of thyroid hormones, which is critical for their receptor-mediated mechanism of cellular action. Disbalances between the thyroidal content of these elements challenge the negative feedback regulation of the hypothalamus–pituitary–thyroid periphery axis, causing or facilitating common diseases related to disturbed thyroid hormone status such as autoimmune thyroid disease and metabolic disorders. Iodide is accumulated by the sodium-iodide-symporter NIS, and oxidized and incorporated into thyroglobulin by the hemoprotein thyroperoxidase, which requires local H2O2 as cofactor. The latter is generated by the dual oxidase system organized as ‘thyroxisome’ at the surface of the apical membrane facing the colloidal lumen of the thyroid follicles. Various selenoproteins expressed in thyrocytes defend the follicular structure and function against life-long exposure to H2O2 and reactive oxygen species derived therefrom. The pituitary hormone thyrotropin (TSH) stimulates all processes required for thyroid hormone synthesis and secretion and regulates thyrocyte growth, differentiation and function. Worldwide deficiencies of nutritional iodine, selenium and iron supply and the resulting endemic diseases are preventable with educational, societal and political measures. Full article
(This article belongs to the Special Issue Current Topics in Trace Element and Mineral Research)
Show Figures

Figure 1

23 pages, 1100 KB  
Review
Leptin Increases: Physiological Roles in the Control of Sympathetic Nerve Activity, Energy Balance, and the Hypothalamic–Pituitary–Thyroid Axis
by Davide Martelli and Virginia L. Brooks
Int. J. Mol. Sci. 2023, 24(3), 2684; https://doi.org/10.3390/ijms24032684 - 31 Jan 2023
Cited by 47 | Viewed by 7995
Abstract
It is well established that decreases in plasma leptin levels, as with fasting, signal starvation and elicit appropriate physiological responses, such as increasing the drive to eat and decreasing energy expenditure. These responses are mediated largely by suppression of the actions of leptin [...] Read more.
It is well established that decreases in plasma leptin levels, as with fasting, signal starvation and elicit appropriate physiological responses, such as increasing the drive to eat and decreasing energy expenditure. These responses are mediated largely by suppression of the actions of leptin in the hypothalamus, most notably on arcuate nucleus (ArcN) orexigenic neuropeptide Y neurons and anorexic pro-opiomelanocortin neurons. However, the question addressed in this review is whether the effects of increased leptin levels are also significant on the long-term control of energy balance, despite conventional wisdom to the contrary. We focus on leptin’s actions (in both lean and obese individuals) to decrease food intake, increase sympathetic nerve activity, and support the hypothalamic–pituitary–thyroid axis, with particular attention to sex differences. We also elaborate on obesity-induced inflammation and its role in the altered actions of leptin during obesity. Full article
(This article belongs to the Special Issue Sympathetic Nerves and Cardiovascular Diseases)
Show Figures

Figure 1

12 pages, 4066 KB  
Article
Thyroid-Disrupting Effects of Cadmium and Mercury in Zebrafish Embryos/Larvae
by Liqiao Zhong, He Zhang, Luyin Wu, Huijun Ru, Nian Wei, Fan Yao, Zhaohui Ni, Xinbin Duan and Yunfeng Li
Water 2023, 15(1), 135; https://doi.org/10.3390/w15010135 - 30 Dec 2022
Cited by 2 | Viewed by 2767
Abstract
Cadmium (Cd2+) and mercury (Hg2+) are two kinds of non-essential heavy metals. Cd2+ and Hg2+ can cause thyroid disruption, but very few researchers have investigated the thyroid-disrupting effects of these metals on fish, specifically during their early [...] Read more.
Cadmium (Cd2+) and mercury (Hg2+) are two kinds of non-essential heavy metals. Cd2+ and Hg2+ can cause thyroid disruption, but very few researchers have investigated the thyroid-disrupting effects of these metals on fish, specifically during their early developmental transition stage from embryos to larvae. In this study, wild-type zebrafish embryos were exposed to varying concentrations (contents) of Cd2+ (0, 10, 100, and 1000 μg/L) and Hg2+ (0, 0.1, 1, and 10 μg/L) for 120 h. Thereafter, the thyroid hormone contents and transcriptional changes in the genes, including thyroid stimulating hormone-β (tshβ), thyroglobulin (tg), sodium-iodide symporter (nis), thyroid peroxidase (tpo), transthyretin (ttr), thyroid hormone receptor-α and -β (thrα, thrβ), types I and II iodothyronine deiodinase (dio1, dio2), and uridine diphosphate glucuronosyltransferase 1 family a, b (ugt1ab) associated with the hypothalamic-pituitary-thyroid (HPT) axis were measured. Results showed that zebrafish embryos/larvae malformation rates were significantly higher in the Cd2+ and Hg2+ groups. A significant increase in the thyroxine (T4) concentration and a decrease in the triiodothyronine (T3) concentration were observed in the Cd2+-exposed zebrafish embryos/larvae. On the other hand, the T4 and T3 concentrations were observed to be significantly increased after Hg2+ exposure. Additionally, changes were noted in the expression patterns of the HPT axis-linked genes after Cd2+ and Hg2+ exposure. Based on the results of the principal component analysis (PCA), it was concluded that Cd2+ exposure significantly affected the thyroid endocrine system at a concentration of 100 μg/L, whereas Hg2+ exposure led to a thyroid disruption at a low concentration of 0.1 μg/L. Thus, this study demonstrated that exposure to Cd2+ and Hg2+ metal ions induced developmental toxicity and led to thyroid disruption in zebrafish embryos/larvae. Full article
Show Figures

Figure 1

12 pages, 2167 KB  
Article
Copper and Zinc Treatments Alter the Thyroid Endocrine System in Zebrafish Embryos/Larvae
by Liqiao Zhong, He Zhang, Luyin Wu, Huijun Ru, Nian Wei, Fan Yao, Zhaohui Ni, Xinbin Duan and Yunfeng Li
Toxics 2022, 10(12), 756; https://doi.org/10.3390/toxics10120756 - 4 Dec 2022
Cited by 11 | Viewed by 3561
Abstract
Copper (Cu2+) and zinc (Zn2+) are two kinds of heavy metals essential to living organisms. Cu2+ and Zn2+ at excessive concentrations can cause adverse effects on animals, but little is known about the thyroid-disrupting effects of these [...] Read more.
Copper (Cu2+) and zinc (Zn2+) are two kinds of heavy metals essential to living organisms. Cu2+ and Zn2+ at excessive concentrations can cause adverse effects on animals, but little is known about the thyroid-disrupting effects of these metals in fish, especially in the early developmental transition stage from embryos to larvae. Wild-type zebrafish embryos were used to expose to Cu2+ (0, 1.5, 15, and 150 μg/L) and Zn2+ (0, 20, 200, and 2000 μg/L) for 120 h. Thyroid hormone contents and transcriptional changes of the genes connected with the hypothalamic-pituitary-thyroid (HPT) axis were measured. Results showed that zebrafish embryos/larvae malformation rates were significantly increased in the Cu2+ and Zn2+ groups. Remarkably elevated thyroxine (T4) concentrations and reduced triiodothyronine (T3) concentrations were observed in Cu2+ and Zn2+ exposure fish. And the expression patterns of genes connected with the HPT axis were changed after Cu2+ and Zn2+ treatment. Based on principal component analysis (PCA) results, Zn2+ caused significant effects on the thyroid endocrine system at 200 μg/L, while Cu2+ resulted in thyroid disruption as low as 1.5 μg/L. In short, our study demonstrated that exposure to Cu2+ and Zn2+ induced developmental toxicity and thyroid disruption to zebrafish embryos/larvae. Full article
(This article belongs to the Special Issue Environmental and Health Effects of Heavy Metal)
Show Figures

Figure 1

8 pages, 1108 KB  
Article
Association between Thyroid Function and Respiratory Distress Syndrome in Preterm Infants
by Yonghyuk Kim, Youngjin Kim, Meayoung Chang and Byoungkook Lee
Pediatr. Rep. 2022, 14(4), 497-504; https://doi.org/10.3390/pediatric14040058 - 10 Nov 2022
Cited by 2 | Viewed by 3198
Abstract
Thyroid hormones are known to influence the production and secretion of pulmonary surfactant. The objective of this study was to explore the relationship between respiratory distress syndrome (RDS) and thyroid hormones. This was a retrospective study of preterm infants at 24–33 weeks gestational [...] Read more.
Thyroid hormones are known to influence the production and secretion of pulmonary surfactant. The objective of this study was to explore the relationship between respiratory distress syndrome (RDS) and thyroid hormones. This was a retrospective study of preterm infants at 24–33 weeks gestational age from April 2017 to February 2019. T3, free T4 (fT4), and thyroid-stimulating hormone (TSH) were measured 1, 3, and 6 weeks after birth. Multivariate logistic regression analyses were performed to determine the relationship between RDS and TSH. A total of 146 infants were enrolled. Of these, 60 had RDS, 72 had no RDS, and 14 were excluded. T3 and TSH were lower in the RDS groups (p < 0.05) on the day of birth. Multivariate logistic regression analysis indicated that lower serum TSH levels immediately after birth were associated with a higher incidence of RDS (OR, 0.89; 95% CI, 0.81–0.97). The TSH level was associated with the incidence of RDS. This suggests that suppression of the hypothalamus–pituitary axis function contributes to RDS, which is the result of surfactant deficiency. Full article
(This article belongs to the Special Issue Neonatal Intensive Care and Neurophysiological Monitoring)
Show Figures

Figure 1

11 pages, 615 KB  
Review
Neuroimmunoendocrinology of SARS-CoV-2 Infection
by Giuseppe Bellastella, Paolo Cirillo, Carla Carbone, Lorenzo Scappaticcio, Antonietta Maio, Graziella Botta, Maria Tomasuolo, Miriam Longo, Alessandro Pontillo, Antonio Bellastella, Katherine Esposito and Annamaria De Bellis
Biomedicines 2022, 10(11), 2855; https://doi.org/10.3390/biomedicines10112855 - 8 Nov 2022
Cited by 9 | Viewed by 2781
Abstract
This review is aimed at illustrating and discussing the neuroimmune endocrinological aspects of the SARS-CoV-2 infection in light of the studies on this topic that have so far appeared in the literature. The most characteristic findings and pending controversies were derived by PubMed [...] Read more.
This review is aimed at illustrating and discussing the neuroimmune endocrinological aspects of the SARS-CoV-2 infection in light of the studies on this topic that have so far appeared in the literature. The most characteristic findings and pending controversies were derived by PubMed and Scopus databases. We included original and observational studies, reviews, meta-analysis, and case reports. The entry of the coronavirus into susceptible cells is allowed by the interaction with an ecto-enzyme located on human cells, the angiotensin-converting enzyme 2 (ACE2). SARS-CoV-2 also targets the central nervous system (CNS), including hypothalamic-pituitary structures, as their tissues express ACE2, and ACE2 mRNA expression in hypothalamus and pituitary gland cells has been confirmed in an autoptic study on patients who died of COVID 19. SARS-CoV-2 infection may cause central endocrine disorders in acute phase and in post-COVID period, particularly due to the effects of this virus at CNS level involving the hypothalamic-pituitary axis. The aggression to the hypothalamus-pituitary region may also elicit an autoimmune process involving this axis, responsible consequently for functional disorders of the satellite glands. Adrenal, thyroid and gonadal dysfunctions, as well as pituitary alterations involving GH and prolactin secretions, have so far been reported. However, the extent to which COVID-19 contributes to short- and long-term effects of infection to the endocrine system is currently being discussed and deserves further detailed research. Full article
(This article belongs to the Special Issue Molecular Research in Infectious Diseases)
Show Figures

Figure 1

15 pages, 1955 KB  
Article
Fertility Impairment after Trekking at High Altitude: A Proof of Mechanisms on Redox and Metabolic Seminal Changes
by Vittore Verratti, Simona Mrakic-Sposta, Jonathan Fusi, Iva Sabovic, Ferdinando Franzoni, Tiziana Pietrangelo, Danilo Bondi, Stefano Dall’Acqua, Simona Daniele, Giorgia Scarfò, Camillo Di Giulio and Andrea Garolla
Int. J. Mol. Sci. 2022, 23(16), 9066; https://doi.org/10.3390/ijms23169066 - 13 Aug 2022
Cited by 12 | Viewed by 3458
Abstract
Many authors described negative but reversible effects of high-altitude hypoxic exposure on animal and human fertility in terms of sperm concentration, function, and biochemical alterations. The aim of this study was to evaluate the acute and chronic effects of high-altitude exposure on classical [...] Read more.
Many authors described negative but reversible effects of high-altitude hypoxic exposure on animal and human fertility in terms of sperm concentration, function, and biochemical alterations. The aim of this study was to evaluate the acute and chronic effects of high-altitude exposure on classical sperm parameters, redox status, and membrane composition in a group of travellers. Five healthy Italian males, all lowlanders not accustomed to the altitude, were evaluated after 19 days-trekking through low, moderate, and high altitudes in the Himalayas. Sperm samples were collected before (Pre), 10 days after (Post), and 70 days after the end of the expedition (Follow-up). Sperm concentration, cholesterol and oxysterol membrane content, and redox status were measured. Hypoxic trek led to a significant reduction in sperm concentration (p < 0.001, η2p = 0.91), with a reduction from Pre to Post (71.33 ± 38.81 to 60.65 ± 34.63 × 106/mL) and a further reduction at Follow-up (to 37.13 ± 39.17 × 106/mL). The seminal volume was significantly affected by the hypoxic trek (p = 0.001, η2p = 0.75) with a significant reduction from Pre to Post (2.86 ± 0.75 to 1.68 ± 0.49 mL) and with partial recovery at Follow-up (to 2.46 ± 0.45 mL). Moreover, subjects had an increase in ROS production (+86%), and a decrease in antioxidant capacity (−37%) in the Post period with partial recovery at Follow-up. These results integrated the hormonal response on thyroid function, hypothalamus–pituitary–gonadal axis, and the prolactin/cortisol pathways previously reported. An uncontrolled ROS production, rather than a compromised antioxidant activity, was likely the cause of impaired sperm quality. The reduction in fertility status observed in this study may lie in an evolutionary Darwinian explanation, i.e., limiting reproduction due to the “adaptive disadvantage” offered by the combined stressors of high-altitude hypoxia and daily physical exercise. Full article
(This article belongs to the Special Issue Adaptation to Hypoxia: Beyond the Chimera)
Show Figures

Figure 1

Back to TopTop