Sign in to use this feature.

Years

Between: -

Subjects

remove_circle_outline
remove_circle_outline
remove_circle_outline
remove_circle_outline
remove_circle_outline
remove_circle_outline
remove_circle_outline
remove_circle_outline
remove_circle_outline

Journals

Article Types

Countries / Regions

Search Results (88)

Search Parameters:
Keywords = hypergraph learning

Order results
Result details
Results per page
Select all
Export citation of selected articles as:
45 pages, 1326 KB  
Article
Cross-Domain Deep Reinforcement Learning for Real-Time Resource Allocation in Transportation Hubs: From Airport Gates to Seaport Berths
by Zihao Zhang, Qingwei Zhong, Weijun Pan, Yi Ai and Qian Wang
Aerospace 2026, 13(1), 108; https://doi.org/10.3390/aerospace13010108 (registering DOI) - 22 Jan 2026
Abstract
Efficient resource allocation is critical for transportation hub operations, yet current scheduling systems require substantial domain-specific customization when deployed across different facilities. This paper presents a domain-adaptive deep reinforcement learning (DADRL) framework that learns transferable optimization policies for dynamic resource allocation across structurally [...] Read more.
Efficient resource allocation is critical for transportation hub operations, yet current scheduling systems require substantial domain-specific customization when deployed across different facilities. This paper presents a domain-adaptive deep reinforcement learning (DADRL) framework that learns transferable optimization policies for dynamic resource allocation across structurally similar transportation scheduling problems. The framework integrates dual-level heterogeneous graph attention networks for separating constraint topology from domain-specific features, hypergraph-based constraint modeling for capturing high-order dependencies, and hierarchical policy decomposition that reduces computational complexity from O(mnT) to O(m+n+T). Evaluated on realistic simulators modeling airport gate assignment (Singapore Changi: 50 gates, 300–400 daily flights) and seaport berth allocation (Singapore Port: 40 berths, 80–120 daily vessels), DADRL achieves 87.3% resource utilization in airport operations and 86.3% in port operations, outperforming commercial solvers under strict real-time constraints (Gurobi-MIP with 300 s time limit: 85.1%) while operating 270 times faster (1.1 s versus 298 s per instance). Given unlimited time, Gurobi achieves provably optimal solutions, but DADRL reaches 98.7% of this optimum in 1.1 s, making it suitable for time-critical operational scenarios where exact solvers are computationally infeasible. Critically, policies trained exclusively on airport scenarios retain 92.4% performance when applied to ports without retraining, requiring only 800 adaptation steps compared to 13,200 for domain-specific training. The framework maintains 86.2% performance under operational disruptions and scales to problems three times larger than training instances with only 7% degradation. These results demonstrate that learned optimization principles can generalize across transportation scheduling problems sharing common constraint structures, enabling rapid deployment of AI-based scheduling systems across multi-modal transportation networks with minimal customization and reduced implementation costs. Full article
(This article belongs to the Special Issue Emerging Trends in Air Traffic Flow and Airport Operations Control)
Show Figures

Figure 1

21 pages, 2506 KB  
Article
Collaborative Dispatch of Power–Transportation Coupled Networks Based on Physics-Informed Priors
by Zhizeng Kou, Yingli Wei, Shiyan Luan, Yungang Wu, Hancong Guo, Bochao Yang and Su Su
Electronics 2026, 15(2), 343; https://doi.org/10.3390/electronics15020343 - 13 Jan 2026
Viewed by 136
Abstract
Under China’s “dual-carbon” strategic goals and the advancement of smart city development, the rapid adoption of electric vehicles (EVs) has deepened the spatiotemporal coupling between transportation networks and distribution grids, posing new challenges for integrated energy systems. To address this, we propose a [...] Read more.
Under China’s “dual-carbon” strategic goals and the advancement of smart city development, the rapid adoption of electric vehicles (EVs) has deepened the spatiotemporal coupling between transportation networks and distribution grids, posing new challenges for integrated energy systems. To address this, we propose a collaborative optimization framework for power–transportation coupled networks that integrates multi-modal data with physical priors. The framework constructs a joint feature space from traffic flow, pedestrian density, charging behavior, and grid operating states, and employs hypergraph modeling—guided by power flow balance and traffic flow conservation principles—to capture high-order cross-domain coupling. For prediction, spatiotemporal graph convolution combined with physics-informed attention significantly improves the accuracy of EV charging load forecasting. For optimization, a hierarchical multi-agent strategy integrating federated learning and the Alternating Direction Method of Multipliers (ADMM) enables privacy-preserving, distributed charging load scheduling. Case studies conducted on a 69-node distribution network using real traffic and charging data demonstrate that the proposed method reduces the grid’s peak–valley difference by 20.16%, reduces system operating costs by approximately 25%, and outperforms mainstream baseline models in prediction accuracy, algorithm convergence speed, and long-term operational stability. This work provides a practical and scalable technical pathway for the deep integration of energy and transportation systems in future smart cities. Full article
Show Figures

Figure 1

63 pages, 23065 KB  
Article
Hierarchical Network Organization and Dynamic Perturbation Propagation in Autism Spectrum Disorder: An Integrative Machine Learning and Hypergraph Analysis Reveals Super-Hub Genes and Therapeutic Targets
by Larissa Margareta Batrancea, Ömer Akgüller, Mehmet Ali Balcı and Lucian Gaban
Biomedicines 2026, 14(1), 137; https://doi.org/10.3390/biomedicines14010137 - 9 Jan 2026
Viewed by 243
Abstract
Background/Objectives: Autism spectrum disorder (ASD) exhibits remarkable genetic heterogeneity involving hundreds of risk genes; however, the mechanism by which these genes organize within biological networks to contribute to disease pathogenesis remains incompletely understood. This study aims to elucidate these organizational principles and identify [...] Read more.
Background/Objectives: Autism spectrum disorder (ASD) exhibits remarkable genetic heterogeneity involving hundreds of risk genes; however, the mechanism by which these genes organize within biological networks to contribute to disease pathogenesis remains incompletely understood. This study aims to elucidate these organizational principles and identify critical network bottlenecks using a novel integrative computational framework. Methods: We analyzed 893 SFARI genes using a three-pronged computational approach: (1) a Machine Learning Dynamic Perturbation Propagation algorithm; (2) a hypergraph construction method explicitly modeling multi-gene complexes by integrating protein–protein interactions, co-expression modules, and curated pathways; and (3) Hypergraph Neural Network embeddings for gene clustering. Validation was performed using hub-independent features to address potential circularity, followed by a druggability assessment to prioritize therapeutic targets. Results: The hypergraph construction captured 3847 multi-way relationships, representing a 45% increase in biological relationships compared to pairwise networks. The perturbation algorithm achieved a 51% higher correlation with TADA genetic evidence than random walk methods. Analysis revealed a hierarchical organization where 179 hub genes exhibited a 3.22-fold increase in degree centrality and a 4.71-fold increase in perturbation scores relative to non-hub genes. Hypergraph Neural Network clustering identified five distinct gene clusters, including a “super-hub” cluster of 10 genes enriched in synaptic signaling (4.2-fold) and chromatin remodeling (3.9-fold). Validation confirmed that 8 of these 10 genes co-cluster even without topological information. Finally, we identified high-priority therapeutic targets, including ARID1A, POLR2A, and CACNB1. Conclusions: These findings establish hierarchical network organization principles in ASD, demonstrating that hub genes maintain substantially elevated perturbation states. The identification of critical network bottlenecks and pharmacologically tractable targets provides a foundation for understanding autism pathogenesis and developing precision medicine approaches. Full article
(This article belongs to the Special Issue Multidisciplinary Approaches to Neurodegenerative Disorders)
Show Figures

Figure 1

22 pages, 1954 KB  
Article
Hypergraph Conversational Recommendation System Fusing Pairwise Relationships
by Liping Wu, Jiajian Li, Di Jiang, Lei Su and Chunping Pang
Computers 2026, 15(1), 38; https://doi.org/10.3390/computers15010038 - 7 Jan 2026
Viewed by 206
Abstract
Conversational recommendation systems aim to provide high-quality recommendations based on user needs through multiple rounds of interaction with users. Hypergraphs are introduced into conversation recommendation due to their ability to express and model complex relationships among multiple entities, enabling the capture of complex [...] Read more.
Conversational recommendation systems aim to provide high-quality recommendations based on user needs through multiple rounds of interaction with users. Hypergraphs are introduced into conversation recommendation due to their ability to express and model complex relationships among multiple entities, enabling the capture of complex multi-entity interactions in dialog history. However, existing hypergraph-based methods treat all entities within the same hyperedge as sharing a single relationship, ignoring the fact that multiple types of semantic relationships coexist among entities within the same hyperedge. This leads to ambiguous entity representations and makes it difficult to accurately characterize complex user preferences. To address this issue, this paper proposes a Hypergraph Conversational Recommendation System Fusing Pairwise Relationships (HCRS-PR) model that integrates pairwise relationships. While preserving the overall high-order semantics of the hypergraph, it constructs a fine-grained pairwise relationship graph for each entity interaction within a hyperedge, capturing specific interaction patterns between entities and significantly improving the accuracy of conversational context representation. During the model inference stage, to enhance the diversity of generated responses, this paper adopts a multinomial beam search strategy based on multinomial distribution sampling. Experimental results on benchmark datasets demonstrate the effectiveness of the proposed method in conversation recommendation tasks. Full article
Show Figures

Figure 1

24 pages, 1035 KB  
Article
XT-Hypergraph-Based Decomposition and Implementation of Concurrent Control Systems Modeled by Petri Nets
by Łukasz Stefanowicz, Paweł Majdzik and Marcin Witczak
Appl. Sci. 2026, 16(1), 340; https://doi.org/10.3390/app16010340 - 29 Dec 2025
Viewed by 212
Abstract
This paper presents an integrated approach to the structural decomposition of concurrent control systems using exact transversal hypergraphs (XT-hypergraphs). The proposed method combines formal properties of XT-hypergraphs with invariant-based Petri net analysis to enable automatic partitioning of complex, concurrent specifications into deterministic and [...] Read more.
This paper presents an integrated approach to the structural decomposition of concurrent control systems using exact transversal hypergraphs (XT-hypergraphs). The proposed method combines formal properties of XT-hypergraphs with invariant-based Petri net analysis to enable automatic partitioning of complex, concurrent specifications into deterministic and independent components. The approach focuses on preserving behavioral correctness while minimizing inter-component dependencies and computational complexity. By exploiting the uniqueness of minimal transversal covers, reducibility, and structural stability of XT-hypergraphs, the method achieves a deterministic decomposition process with polynomial-delay generation of exact transversals. The research provides practical insights into the construction, reduction, and classification of XT structures, together with quality metrics evaluating decomposition efficiency and structural compactness. The developed methodology is validated on representative real-world control and embedded systems, showing its applicability in deterministic modeling, analysis, and implementation of concurrent architectures. Future work includes the integration of XT-hypergraph algorithms with adaptive decomposition and verification frameworks to enhance scalability and automation in modern system design and integration with currently popular AI and machine learning methods. Full article
Show Figures

Figure 1

24 pages, 11726 KB  
Article
Towards Sustainable Intelligent Transportation Systems: A Hierarchical Spatiotemporal Graph–Hypergraph Network for Urban Traffic Flow Prediction
by Xin Jiao and Xinsheng Zhang
Sustainability 2026, 18(1), 180; https://doi.org/10.3390/su18010180 - 23 Dec 2025
Viewed by 356
Abstract
Spatiotemporal traffic flow prediction is a fundamental task in intelligent transportation systems and is crucial for promoting efficient and sustainable urban mobility, especially under increasingly complex and rapidly evolving traffic conditions. To overcome the challenges of modeling high-order spatial dependencies and heterogeneous temporal [...] Read more.
Spatiotemporal traffic flow prediction is a fundamental task in intelligent transportation systems and is crucial for promoting efficient and sustainable urban mobility, especially under increasingly complex and rapidly evolving traffic conditions. To overcome the challenges of modeling high-order spatial dependencies and heterogeneous temporal patterns, this study develops a novel Hierarchical Spatiotemporal Graph–Hypergraph Network (HSTGHN). For spatial representation learning, a hypergraph neural module is employed to capture high-order interactions across the road network, while a hypernode mechanism is designed to characterize complex correlations among multiple road segments. Furthermore, an adaptive adjacency matrix is constructed in a data-driven manner and enriched with prior knowledge of bidirectional traffic flows, thereby enhancing the robustness and accuracy of graph structural representations. For temporal modeling, HSTGHN integrates the complementary strengths of Gated Recurrent Units (GRUs) and Transformers: GRUs effectively capture local sequential dependencies, whereas Transformers excel at modeling global dynamic patterns. This joint mechanism enables comprehensive learning of both short-term and long-term temporal dependencies. Extensive experiments on multiple benchmark datasets demonstrate that HSTGHN consistently outperforms state-of-the-art baselines in terms of prediction accuracy and stability, with particularly significant improvements in long-term forecasting and highly dynamic traffic scenarios. These improvements provide more reliable decision support for intelligent transportation systems, contributing to enhanced traffic efficiency, reduced congestion, and ultimately more sustainable urban mobility. Full article
Show Figures

Figure 1

27 pages, 6190 KB  
Article
Multimodal Temporal Fusion for Next POI Recommendation
by Fang Liu, Jiangtao Li and Tianrui Li
Algorithms 2026, 19(1), 3; https://doi.org/10.3390/a19010003 - 20 Dec 2025
Viewed by 334
Abstract
The objective of the next POI recommendation is using the historical check-in sequences of users to learn the preferences and habits of users, providing a list of POIs that users will be inclined to visit next. Then, there are some limitations in existing [...] Read more.
The objective of the next POI recommendation is using the historical check-in sequences of users to learn the preferences and habits of users, providing a list of POIs that users will be inclined to visit next. Then, there are some limitations in existing POI recommendation algorithms. On the one hand, after obtaining the user’s preferences for the current period, if we consider the entire historical check-in sequence, including future check-in information, it is susceptible to the influence of noisy data, thereby reducing the accuracy of recommendations. On the other hand, the current methods generally rely on modeling long- and short-term preferences within a fixed time window, which possibly leads to an inability to capture users’ behavior characteristics at different time scales. As a result, we proposed a Multimodal Temporal Fusion for Next POI Recommendation(MTFNR). Firstly, to understand users’ preferences and habits at different periods, multiple hypergraph neural networks are constructed to analyze user behavior patterns at different stages, and in order to avoid introducing interference factors, only the check-in sequences visited in the current period are considered to reduce the impact of noise on the model’s recommendation performance. Secondly, modeling the next POI recommendation task through the fusion of time information and long- and short-term preferences in order to gain a more comprehensive understanding of users’ preferences and habits, enhance the timeliness of recommendations, and improve the accuracy of recommendations. Lastly, introducing spatio-temporal interval information into the GRU model, capturing dependencies in sequences to improve the overall performance of the model. Extensive experiments on the real LBSN datasets demonstrated the superior performance of the MTFNR model. The experimental results indicate that Top-10 recall improved 2.81% to 15.97% compared to current methods. Full article
(This article belongs to the Special Issue Graph and Hypergraph Algorithms and Applications)
Show Figures

Figure 1

16 pages, 589 KB  
Article
Enhanced Tensor Incomplete Multi-View Clustering with Dual Adaptive Weight
by Jiongcheng Zhu, Wenzhe Liu, Zhenyu Xu and Changjun Zhou
Electronics 2026, 15(1), 9; https://doi.org/10.3390/electronics15010009 - 19 Dec 2025
Viewed by 219
Abstract
In practical application, the gathered multi-view data typically misses samples, known as incomplete multi-view data. Most existing incomplete multi-view clustering methods obtain consensus information in multi-view data by completing incomplete data using zero, mean values, etc. These approaches often ignore the higher-order relationship [...] Read more.
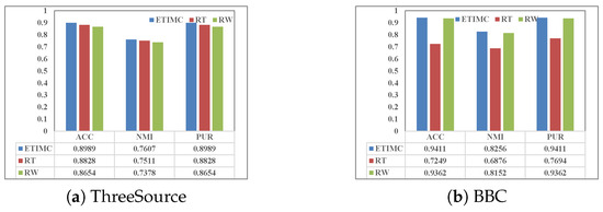
In practical application, the gathered multi-view data typically misses samples, known as incomplete multi-view data. Most existing incomplete multi-view clustering methods obtain consensus information in multi-view data by completing incomplete data using zero, mean values, etc. These approaches often ignore the higher-order relationship and structural information between different views. To alleviate the above problems, we propose enhanced tensor incomplete multi-view clustering with dual adaptive weight (ETIMC), which can acquire the higher-order relationship, and structural information between multiple perspectives, adaptively recover the missing samples and distinguish the contribution degree of different views. Specifically, the embedded representations obtained from incomplete multi-view data are stacked into a third-order tensor to capture the higher-order relationship. Then, a consensus matrix can be drawn from these potential representations via a self-weighting mechanism. Additionally, we adaptively reconstruct the missing samples while capturing structural information by the hypergraph Laplacian item. Moreover, we integrate the embedded representation of each view, tensor constraints, hypergraph Laplacian regularization, and dual adaptive weighted mechanisms into a unified framework. Experimental results on natural and synthetic incomplete datasets show the superiority of ETIMC. Full article
(This article belongs to the Special Issue Applications in Computer Vision and Pattern Recognition)
Show Figures

Figure 1

19 pages, 27291 KB  
Article
Robust Financial Fraud Detection via Causal Intervention and Multi-View Contrastive Learning on Dynamic Hypergraphs
by Xiong Luo
Mathematics 2025, 13(24), 4018; https://doi.org/10.3390/math13244018 - 17 Dec 2025
Viewed by 425
Abstract
Financial fraud detection is critical to modern economic security, yet remains challenging due to collusive group behavior, temporal drift, and severe class imbalance. Most existing graph neural network (GNN) detectors rely on pairwise edges and correlation-driven learning, which limits their ability to represent [...] Read more.
Financial fraud detection is critical to modern economic security, yet remains challenging due to collusive group behavior, temporal drift, and severe class imbalance. Most existing graph neural network (GNN) detectors rely on pairwise edges and correlation-driven learning, which limits their ability to represent high-order group interactions and makes them vulnerable to spurious environmental cues (e.g., hubs or temporal bursts) that correlate with labels but are not necessarily causal. We propose Causal-DHG, a dynamic hypergraph framework that integrates hypergraph modeling, causal intervention, and multi-view contrastive learning. First, we construct label-agnostic hyperedges from publicly available metadata to capture high-order group structures. Second, a Multi-Head Spatio-Temporal Hypergraph Attention encoder models group-wise dependencies and their temporal evolution. Third, a Causal Disentanglement Module decomposes representations into causal and environment-related factors using HSIC regularization, and a dictionary-based backdoor adjustment approximates the interventional prediction P(Ydo(C)) to suppress spurious correlations. Finally, we employ self-supervised multi-view contrastive learning with mild hypergraph augmentations to leverage unlabeled data and stabilize training. Experiments on YelpChi, Amazon, and DGraph-Fin show consistent gains in AUC/F1 over strong baselines such as CARE-GNN and PC-GNN, together with improved robustness under feature and structural perturbations. Full article
Show Figures

Figure 1

21 pages, 1290 KB  
Article
NE-DCHL: Nonlinear Enhanced Disentangled Contrastive Hypergraph Learning for Next Point-of-Interest Recommendation
by Hongwei Zhang, Guolong Wang and Xiaofeng Yan
Information 2025, 16(12), 1086; https://doi.org/10.3390/info16121086 - 7 Dec 2025
Viewed by 299
Abstract
Next Point-of-Interest (POI) recommendation is a crucial task in personalized location-based services, aiming to predict the next POI that a user might visit based on their historical trajectories. Although sequence models and Graph Neural Networks (GNNs) have achieved significant success, they often overlook [...] Read more.
Next Point-of-Interest (POI) recommendation is a crucial task in personalized location-based services, aiming to predict the next POI that a user might visit based on their historical trajectories. Although sequence models and Graph Neural Networks (GNNs) have achieved significant success, they often overlook the diversity and dynamics of user preferences. To address these issues, researchers have begun to employ Hypergraph Convolutional Networks (HGCNs) for disentangled representation learning. However, two critical problems have received less attention: (1) the limited expressive capacity of conventional hypergraph convolution layers, which restricts the modeling of complex nonlinear user–POI preference interactions and consequently weakens generalization performance, and (2) the inadequate utilization of contrastive learning mechanisms, which prevents fully capturing cross-view collaborative signals and limits the exploitation of complementary multi-view information. To tackle these challenges, we propose a Nonlinear Enhanced Disentangled Contrastive Hypergraph Learning (NE-DCHL) for next POI recommendation. The proposed model enhances nonlinear modeling capability and generalization by integrating ReLU activation, residual connections, and dropout regularization within the hypergraph convolution layer. A K-Nearest Neighbor (KNN)-based weighted adjacency matrix is employed to construct the geographical-view hypergraph, reducing computational complexity while maintaining essential spatial correlations. Moreover, a mini-batch InfoNCE loss and the GRACE (deep GRAph Contrastive rEpresentation learning) framework are utilized to improve efficiency and cross-view collaboration. Extensive experiments on two real-world datasets demonstrate that NE-DCHL consistently outperforms the original DCHL and other state-of-the-art approaches. Full article
Show Figures

Graphical abstract

23 pages, 1517 KB  
Article
Bridging Heterogeneous Agents: A Neuro-Symbolic Knowledge Transfer Approach
by Artem Isakov, Artem Zaglubotskii, Ivan Tomilov, Natalia Gusarova, Aleksandra Vatian and Alexander Boukhanovsky
Technologies 2025, 13(12), 568; https://doi.org/10.3390/technologies13120568 - 4 Dec 2025
Cited by 1 | Viewed by 614
Abstract
This paper presents a neuro-symbolic approach for constructing distributed knowledge graphs to facilitate cooperation through communication among spatially proximate agents. We develop a graph autoencoder (GAE) that learns rich representations from heterogeneous modalities. The method employs density-adaptive k-nearest neighbor (k-NN) [...] Read more.
This paper presents a neuro-symbolic approach for constructing distributed knowledge graphs to facilitate cooperation through communication among spatially proximate agents. We develop a graph autoencoder (GAE) that learns rich representations from heterogeneous modalities. The method employs density-adaptive k-nearest neighbor (k-NN) construction with Gabriel pruning to build the proximity graphs that balance local density awareness with geometric consistency. When the agents enter the bridging zone, their individual knowledge graphs are aggregated into hypergraphs using a construction algorithm, for which we derive the theoretical bounds on the minimum number of hyperedges required for connectivity under arity and locality constraints. We evaluate the approach in PettingZoo’s communication-oriented environment, observing improvements of approximately 10% in episode rewards and up to 40% in individual agent rewards compared to Deep Q-Network (DQN) baselines, while maintaining comparable policy loss values. The explicit graph structures may offer interpretability benefits for applications requiring auditability. This work explores how structured knowledge representations can support cooperation in distributed multi-agent systems with heterogeneous observations. Full article
Show Figures

Figure 1

35 pages, 2620 KB  
Article
Overlapping Coalition Formation for Resource Allocation in Post-Disaster Rescue UAV Swarms
by Wenxin Li, Yongxin Feng, Fan Zhou, Konstantin Igorevich Kostromitin, Jian Wang and Peiying Zhang
Drones 2025, 9(12), 837; https://doi.org/10.3390/drones9120837 - 4 Dec 2025
Viewed by 477
Abstract
Unmanned aerial vehicle (UAV) swarms, equipped for distributed sensing and rapid response, can form coalitions to undertake complex missions such as post-disaster relief, communication support, and payload delivery. However, typical coalition formation methods assign each UAV to a single task, limiting cross-task resource [...] Read more.
Unmanned aerial vehicle (UAV) swarms, equipped for distributed sensing and rapid response, can form coalitions to undertake complex missions such as post-disaster relief, communication support, and payload delivery. However, typical coalition formation methods assign each UAV to a single task, limiting cross-task resource sharing. To address this, we investigate overlapping coalition formation (OCF) for UAV swarms, where a single UAV is permitted to participate in multiple coalitions, enabling resource reuse and reducing idleness. We formulate OCF as a multi-objective combinatorial optimization problem that jointly balances task fulfillment ratio, coalition synchronization deviation, and operational cost, while explicitly accounting for inter-coalition resource contention and execution precedence. Specifically, we first construct a hypergraph representation of UAVs and tasks and employ a hypergraph attention network to capture their high-order interactions. Next, we propose a structure-aware hierarchical value decomposition method for policy learning, which progressively aggregates individual- and coalition-level information, models member complementarity and inter-coalition cooperative–competitive relations, and generates a global value estimate that is sensitive to changes in coalition structure. Furthermore, we integrate Monte Carlo Tree Search, utilizing the learned value as a heuristic to efficiently explore the feasible region, and close the loop with candidate-structure demonstration replay and policy distillation, enabling search to refine the learned policy. In multi-scale rescue simulations, the proposed approach improves task utility by up to 11.4% over the best-performing baseline and increases energy efficiency by more than 228% compared to a non-overlapping coalition variant. Full article
Show Figures

Figure 1

22 pages, 1524 KB  
Article
Hypergraph Neural Networks for Coalition Formation Under Uncertainty
by Gerasimos Koresis, Charilaos Akasiadis and Georgios Chalkiadakis
Algorithms 2025, 18(11), 724; https://doi.org/10.3390/a18110724 - 17 Nov 2025
Viewed by 623
Abstract
Identifying effective coalitions of agents for task execution within large multiagent settings is a challenging endeavor. The problem is exacerbated by the presence of coalitional value uncertainty, which is due to uncertainty regarding the values of synergies among the different collaborating agent types. [...] Read more.
Identifying effective coalitions of agents for task execution within large multiagent settings is a challenging endeavor. The problem is exacerbated by the presence of coalitional value uncertainty, which is due to uncertainty regarding the values of synergies among the different collaborating agent types. Intuitively, in such environments, a hypergraph can be used to concisely represent coalition–task pairs in the form of hyperedges, along with their associated rewards. Therefore, this paper proposes harnessing the power of Hypergraph Neural Networks (HGNNs) that fit generic hypergraph-structured historical representations of coalitional task executions to learn the unknown values of coalitional configurations undertaking the tasks. However, the fitted model by itself cannot be used to provide suggestions on which coalitions to form; it can only be queried for the values of given coalition–task configurations. To actually provide coalitional suggestions, this work relies on informed search approaches that incorporate the output of the HGNN as an indicator of the quality of the proposed coalition configurations. The resulting approach is illustrated, via simulation results, to be able to effectively capture the uncertain values of multiagent synergies and thus suggest highly rewarding coalitional configurations. Specifically, the proposed novel hybrid approach can outperform competing baseline approaches and achieve close to 80% performance of the theoretical maximum in this setting. Full article
(This article belongs to the Special Issue Graph and Hypergraph Algorithms and Applications)
Show Figures

Figure 1

16 pages, 2254 KB  
Article
Adaptive Multi-View Hypergraph Learning for Cross-Condition Bearing Fault Diagnosis
by Yangyi Li, Kyaw Hlaing Bwar, Rifai Chai, Kwong Ming Tse and Boon Xian Chai
Mach. Learn. Knowl. Extr. 2025, 7(4), 147; https://doi.org/10.3390/make7040147 - 15 Nov 2025
Cited by 1 | Viewed by 609
Abstract
Reliable bearing fault diagnosis across diverse operating conditions remains a fundamental challenge in intelligent maintenance. Traditional data-driven models often struggle to generalize due to the limited ability to represent complex and heterogeneous feature relationships. To address this issue, this paper presents an Adaptive [...] Read more.
Reliable bearing fault diagnosis across diverse operating conditions remains a fundamental challenge in intelligent maintenance. Traditional data-driven models often struggle to generalize due to the limited ability to represent complex and heterogeneous feature relationships. To address this issue, this paper presents an Adaptive Multi-view Hypergraph Learning (AMH) framework for cross-condition bearing fault diagnosis. The proposed approach first constructs multiple feature views from time-domain, frequency-domain, and time–frequency representations to capture complementary diagnostic information. Within each view, an adaptive hyperedge generation strategy is introduced to dynamically model high-order correlations by jointly considering feature similarity and operating condition relevance. The resulting hypergraph embeddings are then integrated through an attention-based fusion module that adaptively emphasizes the most informative views for fault classification. Extensive experiments on the Case Western Reserve University and Ottawa bearing datasets demonstrate that AMH consistently outperforms conventional graph-based and deep learning baselines in terms of classification precision, recall, and F1-score under cross-condition settings. The ablation studies further confirm the importance of adaptive hyperedge construction and attention-guided multi-view fusion in improving robustness and generalization. These results highlight the strong potential of the proposed framework for practical intelligent fault diagnosis in complex industrial environments. Full article
Show Figures

Figure 1

19 pages, 4483 KB  
Article
Enhanced Deep Neural Network for Prostate Segmentation in Micro-Ultrasound Images
by Ahmed AL-Qurri, Asem Thaher and Mohamed Khaled Almekkawy
Sensors 2025, 25(22), 6815; https://doi.org/10.3390/s25226815 - 7 Nov 2025
Viewed by 781
Abstract
Prostate cancer is a global health concern, and early diagnosis plays a vital role in improving the survival rate. Accurate segmentation is a key step in the automated diagnosis of prostate cancer; however, manual segmentation remains time-consuming and challenging. Micro-Ultrasound (US) is particularly [...] Read more.
Prostate cancer is a global health concern, and early diagnosis plays a vital role in improving the survival rate. Accurate segmentation is a key step in the automated diagnosis of prostate cancer; however, manual segmentation remains time-consuming and challenging. Micro-Ultrasound (US) is particularly well-suited for prostate cancer detection, offering real-time imaging with a resolution comparable to that of MRI. This enables improved spatial resolution and detailed visualization of small anatomical structures. With recent advances in deep learning for medical image segmentation, precise prostate segmentation has become critical for biopsy guidance, disease diagnosis, and follow-up. However, segmentation of the prostate in micro-US images remains challenging due to indistinct boundaries between the prostate and surrounding tissue. In this work, we propose a model for precise micro-ultrasound image segmentation. The model employs a dual-encoder architecture that integrates Convolutional Neural Networks (CNN) and Transformer-based encoders in parallel, combined with a fusion module to capture both global dependencies and low-level spatial details. More importantly, we introduce a decoder based on Mamba v2 to enhance segmentation accuracy. A Hypergraph Neural Network (HGNN) is employed as a bridge between the dual encoders and Mamba decoder to model correlations among non-pairwise connections. Experimental results on micro-US datasets demonstrated that our model achieved superior or comparable performance to state-of-the-art methods, with a Dice score of 0.9416 and an HD95 of 1.93. Full article
Show Figures

Figure 1

Back to TopTop