Sign in to use this feature.

Years

Between: -

Subjects

remove_circle_outline
remove_circle_outline
remove_circle_outline
remove_circle_outline
remove_circle_outline
remove_circle_outline
remove_circle_outline
remove_circle_outline
remove_circle_outline

Journals

Article Types

Countries / Regions

remove_circle_outline
remove_circle_outline
remove_circle_outline
remove_circle_outline
remove_circle_outline

Search Results (412)

Search Parameters:
Keywords = hydrologic thresholds

Order results
Result details
Results per page
Select all
Export citation of selected articles as:
25 pages, 8977 KB  
Article
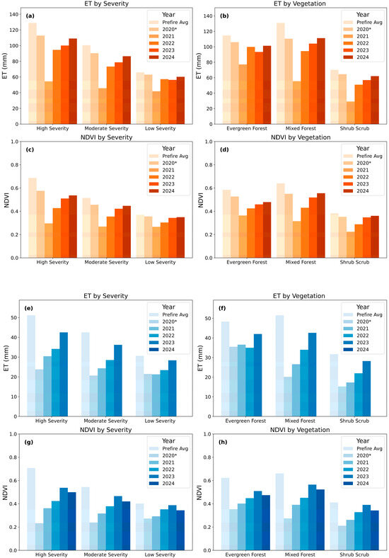
Post-Fire Vegetation Recovery Response: A Case Study of the 2020 Bobcat Fire in Los Angeles, California
by Andrew Alamillo, Jingjing Li, Alireza Farahmand, Madeleine Pascolini-Campbell and Christine Lee
Remote Sens. 2025, 17(24), 4023; https://doi.org/10.3390/rs17244023 - 13 Dec 2025
Viewed by 54
Abstract
Wildfires can drastically alter ecological landscapes in just a few days, while it takes years of post-fire recovery for vegetation to return to its former pre-fire state. Assessing changes in vegetation can help with understanding how the hydrological components in the wildfire-affected areas [...] Read more.
Wildfires can drastically alter ecological landscapes in just a few days, while it takes years of post-fire recovery for vegetation to return to its former pre-fire state. Assessing changes in vegetation can help with understanding how the hydrological components in the wildfire-affected areas contribute to potential vegetation shifts. This case study of the Los Angeles Bobcat Fire in 2020 uses Google Earth Engine (GEE) and Python 3.10.18 to access and visualize variations in Difference Normalized Burn Ratio (dNBR) area, Normalized Difference Vegetation Index (NDVI), and OpenET’s evapotranspiration (ET) across three dominant National Land Cover Database (NLCD) vegetation classes and dNBR classes via monthly time series and seasonal analysis from 2016 to 2024. Burn severity was determined based on Landsat-derived dNBR thresholds defined by the United Nations Office for Outer Space Affairs UN-Spider Knowledge Portal. Our study showed a general reduction in dNBR class area percentages, with High Severity (HS) dropping from 15% to 0% and Moderate Severity (MS) dropping from 45% to 10%. Low-Severity (LS) areas returned to 25% after increasing to 49% in May of 2022, led by vegetation growth. The remaining area was classified as Unburned and Enhanced Regrowth. Within our time series analysis, HS areas showed rapid growth compared to MS and LS areas for both ET and NDVI. Seasonal analysis showed most burn severity levels and vegetation classes increasing in median ET and NDVI values while 2024’s wet season median NDVI decreased compared to 2023’s wet season. Despite ET and NDVI continuing to increase post-fire, recent 2024 NLCD data shows most Forests and Shrubs remain as Grasslands, with small patches recovering to pre-fire vegetation. Using GEE, Python, and available satellite imagery demonstrates how accessible analytical tools and data layers enable wide-ranging wildfire vegetation studies, advancing our understanding of the impact wildfires have on ecosystems. Full article
(This article belongs to the Special Issue Remote Sensing for Risk Assessment, Monitoring and Recovery of Fires)
Show Figures

Figure 1

18 pages, 3868 KB  
Article
Quantifying Dynamic Water-Saving Thresholds Through Regulating Irrigation: Insights from an Integrated Hydrological Model of the Hetao Irrigation District
by Changming Cao, Qingqing Fang, Kun Wang, Xinli Hu, Ziyi Zan, Hangzheng Zhao and Weifeng Yue
Agriculture 2025, 15(24), 2563; https://doi.org/10.3390/agriculture15242563 - 11 Dec 2025
Viewed by 92
Abstract
Agricultural irrigation accounts for nearly 70% of global freshwater withdrawals, making sustainable water management crucial for food security and ecological stability—particularly in arid and semi-arid regions. However, dynamic water-saving thresholds at both inter-annual and intra-annual scales remain insufficiently quantified in current research. To [...] Read more.
Agricultural irrigation accounts for nearly 70% of global freshwater withdrawals, making sustainable water management crucial for food security and ecological stability—particularly in arid and semi-arid regions. However, dynamic water-saving thresholds at both inter-annual and intra-annual scales remain insufficiently quantified in current research. To address this gap, this study developed an integrated SWAT-MODFLOW model for the Hetao Irrigation District and quantified dynamic water-saving thresholds by simulating crop yield responses under a range of irrigation scenarios. The model was calibrated (2008–2014) and validated (2014–2016), demonstrating reliable performance (R2 = 0.75, NSE = 0.74) in capturing local hydrological processes. Inter-annual scenarios assessed water-saving levels of 5%, 10%, 20%, and 30% under wet, normal, and dry years, while intra-annual scenarios adjusted seasonal irrigation volumes in spring, summer, and autumn with reduction gradients of 33%, 50%, and 100%. Results show that wet and normal years could achieve a water-saving threshold of up to 20%, whereas dry years were limited to 5%. Intra-annually, autumn irrigation offered the greatest saving potential (33–100%), followed by spring (33–50%). Spatially, crop responses varied substantially: the western part of the region proved particularly sensitive, with even the optimal district-wide strategy reducing local crop yields by 10–20%. This study quantifies dynamic water-saving thresholds and incorporates spatial heterogeneity into scenario assessment. The resulting framework is transferable and provides a basis for sustainable water management in water-limited agricultural regions. Full article
(This article belongs to the Section Agricultural Water Management)
Show Figures

Figure 1

21 pages, 8377 KB  
Article
Controls on Tributary–Junction Fan Distribution Along the Chaudière River, Québec, Canada
by Phillipe Juneau and Daniel Germain
Water 2025, 17(24), 3503; https://doi.org/10.3390/w17243503 - 11 Dec 2025
Viewed by 199
Abstract
This study investigates the morphometric and anthropogenic controls governing the occurrence and spatial distribution of tributary–junction fans (TJFs) along the Chaudière River, Québec, Canada. Using GIS-based morphometric analysis, field validation, and multivariate statistics (PCA, CART, LDA), 142 tributary watersheds were analyzed, of which [...] Read more.
This study investigates the morphometric and anthropogenic controls governing the occurrence and spatial distribution of tributary–junction fans (TJFs) along the Chaudière River, Québec, Canada. Using GIS-based morphometric analysis, field validation, and multivariate statistics (PCA, CART, LDA), 142 tributary watersheds were analyzed, of which 41 display fan-shaped depositional features. Basin relief, drainage density, contributing area, and slope–area coupling emerge as the dominant predictors of TJF development, delineating an intermediate energy domain where sediment supply and transport capacity become balanced enough to allow partial geomorphic coupling at confluence nodes. CART analysis identified approximate slope and area thresholds (slope < 9°, area > 20 km2; 66% accuracy), while LDA achieved 76%, indicating that morphometry provides useful but incomplete predictive power. These moderate performances reflect the additional influence of event-scale hydrological forcing and unquantified Quaternary substrate heterogeneity typical of postglacial terrain. Beyond morphometry, anthropogenic disturbance exerts a secondary but context-dependent influence, with moderately disturbed watersheds (10–50% altered) showing higher frequencies of fans than both highly engineered (>50%) and minimally disturbed (<10%). This pattern suggests that land-use modification can locally reinforce or offset morphometric predisposition by altering sediment-routing pathways. Overall, TJFs function as localized sediment-storage buffers that may be periodically reactivated during high-magnitude floods. The combined effects of basin geometry, land-use pressures, and hydroclimatic variability explain their spatial distribution. The study provides an indicative, process-informed framework for evaluating sediment connectivity and depositional thresholds in cold-region fluvial systems, with implications for geomorphic interpretation and hazard management. Full article
Show Figures

Figure 1

18 pages, 7262 KB  
Article
Pasture Restoration Reduces Runoff and Soil Loss in Karst Landscapes of the Brazilian Cerrado
by Isabela Fernanda L. G. Camargo, Henrique Marinho Leite Chaves and Maria Rita Souza Fonseca
Sustainability 2025, 17(24), 11079; https://doi.org/10.3390/su172411079 - 10 Dec 2025
Viewed by 143
Abstract
Water erosion is a major driver of soil degradation in the Brazilian Cerrado, intensified by the conversion of natural vegetation into agricultural land. The excessive runoff and sediment generated in poorly covered karst slopes impact the hydrologic cycle of the biome’s sinkholes and [...] Read more.
Water erosion is a major driver of soil degradation in the Brazilian Cerrado, intensified by the conversion of natural vegetation into agricultural land. The excessive runoff and sediment generated in poorly covered karst slopes impact the hydrologic cycle of the biome’s sinkholes and underground rivers. This study evaluated the effectiveness of pasture restoration in reducing runoff and soil loss in three experimental farms situated in a vulnerable karst area of Central Brazil. Runoff and soil loss were monitored during three hydrologic years in plots of degraded pasture (DP), restored pasture (RP), and natural savannah (NS), using unbound Gerlach settings. The experiment was carried out on three farms in the Vermelho river basin, which were treated as blocks. The results indicate that pasture restoration reduced runoff by 50% and soil loss by 55–95% when compared to degraded pasture conditions, below on-site erosion tolerance thresholds. Runoff and soil loss in restored pasture (RP) plots fell between DP and NS, though in some cases, soil loss in RP reached levels that are comparable to the natural savannah. Normalized soil loss was highly correlated with runoff (R2 = 0.94), allowing for the latter to be used as a proxy of the former. The increased groundwater recharge and reduced sediment yield resulting from pasture restoration improve on- and off-site resilience in vulnerable karst landscapes and could be utilized as a sustainable soil conservation policy. Full article
Show Figures

Figure 1

14 pages, 1155 KB  
Article
Administrative-District-Level Risk Indices for Typhoon-Induced Wind and Rainfall: Case Studies in Seoul and Busan, South Korea
by Hana Na and Woo-Sik Jung
Atmosphere 2025, 16(12), 1392; https://doi.org/10.3390/atmos16121392 - 10 Dec 2025
Viewed by 188
Abstract
Typhoon-induced hazards in South Korea exhibit strong spatial heterogeneity, requiring localized assessments to support impact-based early warning. This study develops a district-level typhoon hazard framework by integrating high-resolution meteorological fields with structural and hydrological vulnerability indicators. Two impact-oriented indices were formulated: the Strong [...] Read more.
Typhoon-induced hazards in South Korea exhibit strong spatial heterogeneity, requiring localized assessments to support impact-based early warning. This study develops a district-level typhoon hazard framework by integrating high-resolution meteorological fields with structural and hydrological vulnerability indicators. Two impact-oriented indices were formulated: the Strong Wind Risk Index (SWI), based on 3 s gust wind intensity and building-age fragility, and the Heavy Rainfall Risk Index (HRI), combining probable maximum precipitation with permeability and river-network density. Hazard levels were classified into four categories, Attention, Caution, Warning, and Danger, using district-specific percentile thresholds consistent with the THIRA methodology. Nationwide analysis across 250 districts revealed a pronounced coastal–inland gradient: mean SWI and HRI values in Busan were approximately 1.9 and 6.3 times higher than those in Seoul, respectively. Sub-district mapping further identified localized hotspots driven by topographic exposure and structural vulnerability. By establishing statistically derived, region-specific thresholds, this framework provides an operational foundation for integrating localized hazard interpretation into Korea’s Typhoon Ready System (TRS). The results strengthen the scientific basis for adaptive, evidence-based early warning and climate-resilient disaster-risk governance. Full article
(This article belongs to the Section Meteorology)
Show Figures

Figure 1

21 pages, 2218 KB  
Article
Long-Term Assessment of Trophic State and Environmental Drivers in the Gulf of Trieste (Northern Adriatic Sea) Within the MSFD (D5) Implementation
by Alessandro Acquavita, Nicola Bettoso, Massimo Celio and Francesco Cumani
Environments 2025, 12(12), 482; https://doi.org/10.3390/environments12120482 - 10 Dec 2025
Viewed by 245
Abstract
The trophic status of coastal environments is largely controlled by nutrient inputs, particularly nitrogen and phosphorus, whose excess may lead to eutrophication. The northern Adriatic Sea has historically been affected by these processes, with notable impacts on water quality. This study analyses a [...] Read more.
The trophic status of coastal environments is largely controlled by nutrient inputs, particularly nitrogen and phosphorus, whose excess may lead to eutrophication. The northern Adriatic Sea has historically been affected by these processes, with notable impacts on water quality. This study analyses a time series (2015–2024) collected at six offshore sites in the Gulf of Trieste within the Marine Strategy Framework Directive (MSFD) Descriptor 5. Dissolved Inorganic Nitrogen (DIN) showed marked spatial variability, with 19.9% of samples exceeding the threshold of 6.85 µM. Phosphate concentrations were low (mean 0.17 µM), indicating strong P-limitation (mean N:P ratio = 277). Chlorophyll a concentrations (mean 0.9 ± 0.1 µg L−1) reflected oligotrophic conditions, although 17% of samples exceeded 1.5 µg L−1. Time-series analyses revealed a significant warming trend (+0.1 °C yr−1; p = 0.022) and a significant decrease in chlorophyll a (p = 0.038), while no significant trends were observed for nutrients, dissolved oxygen or TRIX. TRIX values (0.8–6.9) indicated overall good to high ecological status. A trophic–hydrological gradient highlighted the positive influence of river inputs and precipitation on nutrient availability and trophic conditions. These results provide a solid quantitative baseline for MSFD assessments and underscore the role of hydrological and meteorological forcing in shaping trophic variability in the Gulf of Trieste. Full article
Show Figures

Figure 1

19 pages, 2862 KB  
Article
Hydrological Sensitivity to Land-Use and Climate Change in the Asa Watershed, Nigeria
by Ismail Adebayo Adigun, Shiksha Bastola, Beomgu Kim, Chi Young Kim and Younghun Jung
Water 2025, 17(24), 3477; https://doi.org/10.3390/w17243477 - 8 Dec 2025
Viewed by 333
Abstract
Understanding the interaction between land use and climate variability in regulating the hydrology of tropical watersheds remains a significant scientific and policy challenge, particularly in regions with limited data. This study applied the InVEST Annual Water Yield model to assess hydrological dynamics in [...] Read more.
Understanding the interaction between land use and climate variability in regulating the hydrology of tropical watersheds remains a significant scientific and policy challenge, particularly in regions with limited data. This study applied the InVEST Annual Water Yield model to assess hydrological dynamics in the Asa watershed, Nigeria, over the period 1991–2020, using three decades of precipitation and land-use/land-cover (LULC) data, along with uncertainty quantification. The results revealed a non-linear trend in water yield, with total annual yield increasing by 6.89% between 2000 and 2010, despite declining precipitation and rising evaporative demand, primarily driven by land-use modifications. Between 2010 and 2020, yield declined by 5.39% under further precipitation reduction, where precipitation sensitivity increased eightfold, marking a shift from land-use-dominated to precipitation-dominated hydrological controls. Surrogate modeling further confirmed precipitation as the dominant driver after 2010, highlighting that cumulative land degradation weakened the watershed’s natural buffering capacity and amplified climatic responses. These findings establish a threshold at which cumulative land degradation transforms watershed hydrology from land-use-dominated to climate-sensitive regimes, providing a transferable framework for identifying vulnerability thresholds in data-scarce African tropical watersheds. Full article
(This article belongs to the Section Hydrology)
Show Figures

Figure 1

21 pages, 5733 KB  
Article
Salinity Distribution as a Hydrogeological Limit in a Karstic Watershed in Yucatan
by Iris Neri-Flores, Ojilve Ramón Medrano-Pérez, Flor Arcega-Cabrera, Ismael Mariño-Tapia, César Canul-Macario and Pedro Agustín Robledo-Ardila
J. Mar. Sci. Eng. 2025, 13(12), 2317; https://doi.org/10.3390/jmse13122317 - 6 Dec 2025
Viewed by 251
Abstract
In coastal regions, the interaction between freshwater and seawater creates a dynamic system in which the spatial distribution of salinity critically constrains the use of freshwater for human consumption. Although saline intrusion is a globally widespread phenomenon, its inland extent varies significantly with [...] Read more.
In coastal regions, the interaction between freshwater and seawater creates a dynamic system in which the spatial distribution of salinity critically constrains the use of freshwater for human consumption. Although saline intrusion is a globally widespread phenomenon, its inland extent varies significantly with hydrological conditions, posing a persistent threat to groundwater quality and sustainability. This study aimed to characterize salinity distribution using an integrated karst-watershed approach, thereby enabling the identification of both lateral and vertical salinity gradients. The study area is in the northwestern Yucatan Peninsula. Available hydrogeological data were analyzed to determine aquifer type, soil texture, evidence of saline intrusion, seawater fraction, vadose zone thickness, and field measurements. These included sampling from 42 groundwater sites (open sinkholes and dug wells), which indicated a fringe zone approximately 5 km in size influenced by seawater interaction, in mangrove areas and in three key zones of salinity patterns: west of Mérida (Celestun and Chunchumil), and northern Yucatan (Sierra Papacal, Motul, San Felipe). Vertical Electrical Sounding (VES) and conductivity profiling in two piezometers indicated an apparent seawater influence. The interface was detected at a depth of 28 m in Celestun and 18 m in Chunchumil. These depths may serve as hydrogeological thresholds for freshwater abstraction. Results indicate that saltwater can extend several kilometers inland, a factor to consider when evaluating freshwater availability. This issue is particularly critical within the first 20 km from the coastline, where increasing tourism exerts substantial pressure on groundwater reserves. A coastal-to-inland salinity was identified, and an empirical equation was proposed to estimate the seawater fraction (fsea%) as a function of distance from the shoreline in the Cenote Ring trajectory. Vertically, a four-layer model was identified in this study through VES in the western watershed: an unsaturated zone approximately 2.6 m thick, a confined layer in the coastal Celestun profile about 9 m thick, a freshwater lens floating above a brackish layer between 8 and 25 m, and a saline interface at 37 m depth. The novelty of this study, in analyzing all karstic water surfaces together as a system, including the vadose zone and the aquifer, and considering the interactions with the surface, is highlighted by the strength of this approach. This analysis provides a better understanding and more precise insight into the integrated system than analyzing each component separately. These findings have significant implications for water resource management in karst regions such as Yucatan, underscoring the urgent need for sustainable groundwater management practices to address seawater intrusion. Full article
(This article belongs to the Special Issue Marine Karst Systems: Hydrogeology and Marine Environmental Dynamics)
Show Figures

Figure 1

18 pages, 3484 KB  
Article
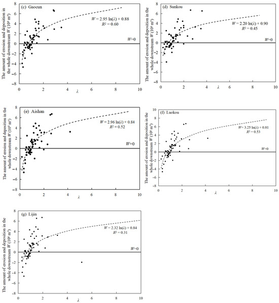
Study on the Synergistic Relationship Between Water and Sediment and the Response of Erosion and Deposition in the Lower Reaches of the Yellow River
by Jingye Chen, Wenli Niu and Shengqi Jian
Water 2025, 17(24), 3458; https://doi.org/10.3390/w17243458 - 5 Dec 2025
Viewed by 272
Abstract
The lower Yellow River, characterized by high sediment concentration and complex channel evolution, faces a persistent challenge of maintaining erosion–deposition balance. Using long-term hydrological and cross-sectional data (1950–2022) from seven key stations (Huayuankou–Lijin), this study established P-III frequency models for annual runoff ( [...] Read more.
The lower Yellow River, characterized by high sediment concentration and complex channel evolution, faces a persistent challenge of maintaining erosion–deposition balance. Using long-term hydrological and cross-sectional data (1950–2022) from seven key stations (Huayuankou–Lijin), this study established P-III frequency models for annual runoff (Q) and sediment discharge (S), introducing the flow–sediment frequency correlation coefficient (ζ) and the frequency relationship coefficient (λ) to quantify their synergy and erosion–deposition response. Results showed that (1) sediment discharge decreased by 91.4% at Huayuankou since the 1950s, while runoff decreased by 41.5%; (2) the flow–sediment synergy differed with river type—meandering (ζ ≈ 0, 69.23%) > transitional (64.39%) > wandering (59.26%); and (3) the equilibrium threshold of erosion and deposition was P(S) = (0.664–0.779) P(Q), corresponding to an incoming sediment coefficient of ~0.012 kg·s/m6. These findings quantitatively define the frequency-based synergy and threshold mechanism of flow and sediment in the lower Yellow River, providing a scientific basis for sediment regulation and channel stability management. Full article
(This article belongs to the Special Issue Advances in Hydraulic and Water Resources Research (3rd Edition))
Show Figures

Figure 1

16 pages, 4012 KB  
Article
Enhancing Soil Texture Mapping and Drought Stress Assessment Through Dual-Phase Remote Sensing in Typical Black Soil Regions
by Wenqi Zhang, Wenzhu Dou, Liren Gao, Xue Li and Chong Luo
Sustainability 2025, 17(23), 10793; https://doi.org/10.3390/su172310793 - 2 Dec 2025
Viewed by 216
Abstract
The accurate mapping of soil texture, a key determinant of soil’s hydrological and nutritional behavior, is essential for agricultural drought assessment, yet the application of multi-temporal satellite data for this purpose remains largely unexplored. In this study, we first identified the optimal prediction [...] Read more.
The accurate mapping of soil texture, a key determinant of soil’s hydrological and nutritional behavior, is essential for agricultural drought assessment, yet the application of multi-temporal satellite data for this purpose remains largely unexplored. In this study, we first identified the optimal prediction period by evaluating the performance of single-date imagery (satellite images captured on individual observation dates). Subsequently, dual-phase imagery (DPI) was developed to increase mapping accuracy. Finally, these refined predictions quantified soil texture’s response to drought and its corresponding thresholds. Results demonstrated that: (1) the bare soil period in April provided peak prediction accuracy for all texture fractions (Sand: R2 = 0.617, RMSE = 10.21%; Silt: R2 = 0.606, RMSE = 8.648%; Clay: R2 = 0.604, RMSE = 1.945%); (2) Significant accuracy gain from DPI using April-August imagery fusion (Sand: R2 = 0.677, RMSE = 9.386%; Silt: R2 = 0.660, RMSE = 8.034%; Clay: R2 = 0.658, RMSE = 1.807%); (3) sand content was the most critical factor influencing crop drought stress, with a threshold of 31%. By integrating multi-temporal satellite observations with quantitative drought evaluation for high-resolution soil texture mapping and precision agricultural management in Northeast China’s black soil region. Full article
Show Figures

Figure 1

26 pages, 6770 KB  
Article
TopEros: An Integrated Hydrology and Multi-Process Erosion Model—A Comparison with MUSLE
by Emmanuel Okiria, Noda Keigo, Shin-ichi Nishimura and Yukimitsu Kobayashi
Hydrology 2025, 12(11), 309; https://doi.org/10.3390/hydrology12110309 - 20 Nov 2025
Viewed by 760
Abstract
Hydro-erosion is a primary driver of soil degradation worldwide, yet accurate catchment-scale prediction remains challenging because sheet, gully, and raindrop-impact detachment processes operate simultaneously at sub-grid scales. We introduce TopEros, a hydro-erosion model that integrates the hydrological framework of TOPMODEL with three distinct [...] Read more.
Hydro-erosion is a primary driver of soil degradation worldwide, yet accurate catchment-scale prediction remains challenging because sheet, gully, and raindrop-impact detachment processes operate simultaneously at sub-grid scales. We introduce TopEros, a hydro-erosion model that integrates the hydrological framework of TOPMODEL with three distinct erosion modules: sheet erosion, gully erosion, and raindrop-impact detachment. TopEros employs a sub-grid zoning strategy in which each grid cell is partitioned into diffuse-flow (sheet erosion) and concentrated-flow (gully erosion) domains using threshold values of two topographic indices: the topographic index (TI) and the contributing area–slope index (aitanβ). Applied to the Namatala River catchment in eastern Uganda and calibrated with TI = 15 and aitanβ = 35, TopEros identified sheet-dominated and gully-prone areas. The simulated specific sediment yields ranged from 95 to 155 Mgha−1yr−1—classified as “high” to “very high”—with gully zones contributing disproportionately large erosion volumes. These results demonstrate the importance of capturing intra-cell heterogeneity: conventional catchment-average approaches can obscure critical erosion hotspots. By explicitly representing multiple soil detachment and transport mechanisms within a unified process-based framework, TopEros has the potential to enhance the realism of catchment-scale erosion estimates and support the precise targeting of soil and water conservation measures. Full article
Show Figures

Figure 1

15 pages, 1774 KB  
Article
Soil and Environmental Consequences of Spring Flooding in the Zhabay River Floodplain (Akmola Region)
by Madina Aitzhanova, Sayagul Zhaparova, Manira Zhamanbayeva and Assem Satimbekova
Sustainability 2025, 17(22), 10378; https://doi.org/10.3390/su172210378 - 20 Nov 2025
Viewed by 387
Abstract
Floods increasingly threaten semiarid regions, yet their long-term soil ecological impacts remain underdocumented. This study quantifies the hydrologic change and flood-induced soil transformation on the Zhabay River floodplain (Akmola, Kazakhstan) using integrated field, laboratory, and remote sensing data. Gauge records (2012–2024) were analyzed; [...] Read more.
Floods increasingly threaten semiarid regions, yet their long-term soil ecological impacts remain underdocumented. This study quantifies the hydrologic change and flood-induced soil transformation on the Zhabay River floodplain (Akmola, Kazakhstan) using integrated field, laboratory, and remote sensing data. Gauge records (2012–2024) were analyzed; inundation was mapped from a 0.30 m DEM (Digital Elevation Model) merging SRTM (Shuttle Radar Topography Mission), Landsat 8/Sentinel 2, and UAV (Unmanned Aerial Vehicle) photogrammetry (NDWI (Normalized Difference Water Index) > 0.28) and validated with 54 in situ depths (MAE (Mean Absolute Error) 0.17 m). Soil samples collected before and after floods were analyzed for texture, bulk density, pH, Eh, macronutrients, and heavy metals. Annual maxima increased by 0.08 m yr−1, while extreme floods became more frequent. Thresholds of ≥0.5 m depth and >7 days duration marked compaction onset, whereas >1 m and ≥12 days produced maximum organic carbon loss and Zn/Ni enrichment. The combination of high-resolution DEMs, ROC (Receiver Operating Characteristic) analysis, and soil microbial monitoring provides new operational indicators of soil degradation for Central Asian steppe floodplains. Findings contribute to SDG 13 (Climate Action) and SDG 15 (Life on Land) by linking flood resilience assessment with sustainable land-use planning. Full article
Show Figures

Figure 1

18 pages, 2037 KB  
Article
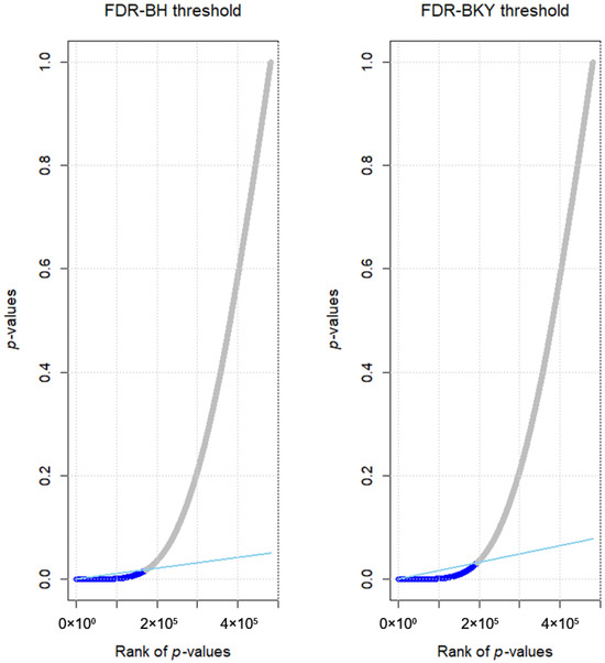
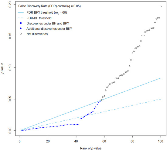
Implementing the Linear Adaptive False Discovery Rate Procedure for Spatiotemporal Trend Testing
by Oliver Gutiérrez-Hernández and Luis V. García
Mathematics 2025, 13(22), 3630; https://doi.org/10.3390/math13223630 - 12 Nov 2025
Viewed by 408
Abstract
Statistical inference in spatiotemporal trend analysis often involves testing separate hypotheses for each pixel in datasets containing thousands of observations. A pixel is considered significant if its p-value falls below a rejection threshold (α). However, this uncorrected approach ignores the large number [...] Read more.
Statistical inference in spatiotemporal trend analysis often involves testing separate hypotheses for each pixel in datasets containing thousands of observations. A pixel is considered significant if its p-value falls below a rejection threshold (α). However, this uncorrected approach ignores the large number of simultaneous tests and greatly increases the risk of false positives. This issue, known as multiple testing or multiplicity, can be addressed by controlling the false discovery rate (FDR), defined as the expected proportion of false positives (i.e., false discoveries) among all rejected hypotheses, at a pre-specified control level q. This study implements the linear adaptive two-stage Benjamini–Krieger–Yekutieli (BKY) procedure for FDR control in spatiotemporal trend testing and compares it with two alternatives: the uncorrected significance approach and the original non-adaptive Benjamini–Hochberg (BH) procedure. The BKY method empirically estimates the number of true null hypotheses (m0) and adaptively relaxes the rejection threshold when many true alternatives are present, thereby increasing statistical power without compromising FDR control. Results indicate that the BKY procedure is a recommended approach for large-scale trend testing using spatiotemporal environmental data, particularly in gridded-data-intensive fields such as environmental remote sensing, climatology, and hydrology. To foster reproducibility, R code is provided to apply the BKY procedure and compare it with the uncorrected raw p-values and the BH approach on any gridded dataset. Full article
(This article belongs to the Special Issue Advanced Mathematical Methods in Remote Sensing)
Show Figures

Figure 1

21 pages, 11253 KB  
Article
Dynamic Response of Urban Pluvial Flood Resilience Under a Multi-Dimensional Assessment Framework
by Ruting Liao, Zongxue Xu and Yixuan Huang
Sustainability 2025, 17(22), 10044; https://doi.org/10.3390/su172210044 - 10 Nov 2025
Viewed by 450
Abstract
With the increasing frequency of extreme rainfall events, pluvial flooding has become a critical challenge to the safety and sustainable development of megacities worldwide. This study proposes a multi-dimensional framework for assessing urban pluvial flood resilience (UPFR) by integrating a coupled hydrological-hydrodynamic model [...] Read more.
With the increasing frequency of extreme rainfall events, pluvial flooding has become a critical challenge to the safety and sustainable development of megacities worldwide. This study proposes a multi-dimensional framework for assessing urban pluvial flood resilience (UPFR) by integrating a coupled hydrological-hydrodynamic model with system performance curves. The framework characterizes the dynamic evolution of resilience across three dimensions: rainfall characteristics, risk thresholds, and spatial scales. Results show that short-duration intense rainfall triggers instantaneous pipe overloading, whereas long-duration storms impose cumulative stress that leads to sustained systemic weakening, with the lowest resilience observed under extreme prolonged rainfall conditions. The specification of risk thresholds strongly influences resilience ranking, with the vehicle stalling risk (VSR) consistently showing the lowest resilience, followed by building inundation risk (BIR) and human instability risk (HIR). Spatially, pipes represent the weakest components, nodes maintain resilience under moderate stress, and the regional system exhibits a pattern of local weakness but overall stability, accompanied by delayed recovery. These findings highlight the importance of incorporating multi-threshold and multi-scale perspectives in flood resilience assessment and management. The proposed framework provides a scientific basis to support staged prevention measures and adaptive emergency response strategies, thereby enhancing urban flood resilience in megacities. Full article
Show Figures

Figure 1

23 pages, 1124 KB  
Article
Analysis of the Spawning Response Characteristics of Four Major Chinese Carps to Eco-Hydrological Processes in the Three Gorges Reservoir
by Zicheng Wang, Junqiang Lin, Di Zhang, Tiegang Zheng, Lixiong Yu, Yizhe Wang and Yufeng Ren
Water 2025, 17(22), 3212; https://doi.org/10.3390/w17223212 - 10 Nov 2025
Cited by 1 | Viewed by 496
Abstract
The middle reaches of the Yangtze River are a crucial breeding habitat for four major Chinese carps. The ecohydrological characteristics of their spawning grounds are crucial factors influencing spawning for these species: black carp (Mylopharyngodon piceus), grass carp (Ctenopharyngodon idella [...] Read more.
The middle reaches of the Yangtze River are a crucial breeding habitat for four major Chinese carps. The ecohydrological characteristics of their spawning grounds are crucial factors influencing spawning for these species: black carp (Mylopharyngodon piceus), grass carp (Ctenopharyngodon idella), silver carp (Hypophthalmichthys molitrix), and bighead carp (Aristichthys nobilis). To investigate the impact of ecohydrological processes within the Three Gorges Reservoir on spawning, this study focused on the spawning grounds of the four major Chinese carps in the Yichang–Yidu section of the Yangtze River. By identifying key ecohydrological indicators and leveraging hydrological and spawning monitoring data from 2013 to 2024, the response characteristics of the four major Chinese carps’ spawning to these hydrological processes were analyzed. The results showed that the key ecohydrological indicators currently stimulating spawning for the four major Chinese carps are the fish-perceived daily flow rate increase, the fish-perceived cumulative flow rate increase, and the daily flow rate increase. These three indicators are significantly positively correlated with the scale of spawning for the four major Chinese carps. The thresholds for spawning at least 20% of the annual spawning total are: a perceived daily flow increase (Pda) of 4.52–36.05%; a perceived cumulative flow increase (Pcu) of 36.15–180.23%; and a daily flow increase (Qav) of 588–2825 m3/s. The optimal water temperature for the reproduction of the four major Chinese carps is 21–23 °C. Overall, since the Three Gorges Reservoir’s normal operation, the frequency and scale of spawning for the four major Chinese carps have been highest during periods of rising water. It is recommended that, within the corresponding thresholds, ecological operation be conducted twice a year, once in mid-June and once in early July or late June. Daily flow increases can be controlled within the range of 588–2000 m3/s. This study analyzed the correlation between eco-hydrological indicators and the stimulation of spawning of the four major Chinese carps, providing optimized flow ranges and habitat conditions for ecological operation, which is conducive to promoting the reproduction and spawning of the four major Chinese carps in the Yichang–Yidu spawning grounds in the middle reaches of the Yangtze River. Full article
(This article belongs to the Special Issue Ecohydraulics and Fish Behavior Simulation)
Show Figures

Figure 1

Back to TopTop