Post-Fire Vegetation Recovery Response: A Case Study of the 2020 Bobcat Fire in Los Angeles, California
Highlights
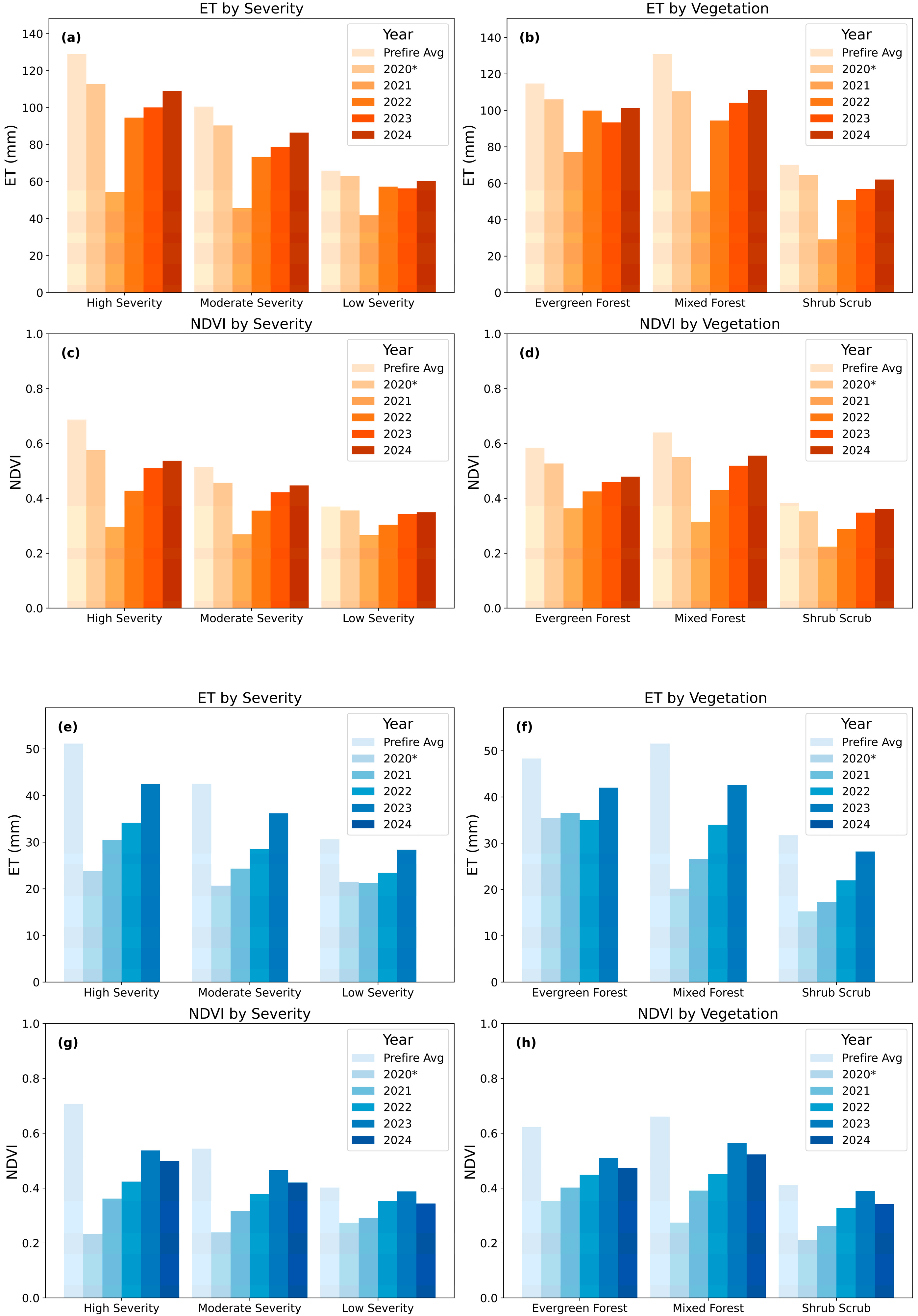
- ET and NDVI increased across all burn severity levels and dominant vegetation classes during both dry and wet seasons, with high-severity burned areas showing the most rapid post-fire recovery.
- Despite increases in ET and NDVI, most burned Forest and Shrub areas have remained as Grassland, with only limited reestablishment of pre-fire vegetation types.
- Increases in ET and NDVI reflect partial functional recovery, but vegetation structure has not returned to pre-fire conditions.
- Grassland in formerly forested areas indicates a potential ecosystem shift. Continued use of remote sensing for post-fire monitoring and targeted management is essential to support vegetation recovery and reduce vulnerability to future fires.
Abstract
1. Introduction
2. Materials and Methods
2.1. Study Area
2.2. Landsat
2.3. OpenET
2.4. NLCD
2.5. Burn Severity
2.6. NDVI
2.7. Data Processing
2.8. Statistical Analysis
3. Results
3.1. Vegetation Classes
3.2. dNBR
3.2.1. Yearly dNBR
3.2.2. Monthly Time Series
3.2.3. dNBR Growth in Vegetation Classes
3.3. NDVI
3.3.1. Monthly NDVI Time Series
3.3.2. Seasonal NDVI
3.4. Evapotranspiration
3.4.1. Monthly ET Time Series
3.4.2. Seasonal ET
3.5. Analysis of NDVI and ET
3.5.1. Correlation Analysis of NDVI and ET
3.5.2. Seasonal Analysis of NDVI and ET
4. Discussion
5. Conclusions
Author Contributions
Funding
Data Availability Statement
Acknowledgments
Conflicts of Interest
Abbreviations
| GEE | Google Earth Engine |
| dNBR | Difference Normalized Burn Ratio |
| NDVI | Normalized Difference Vegetation Difference |
| ET | Evapotranspiration |
| NLCD | National Land Classification Database |
| LS | Low Severity |
| MS | Moderate Severity |
| HS | High Severity |
| UB | Unburned |
| ER | Enhanced Regrowth |
| NICC | National Interagency Coordination Center |
| USDA | United States Department of Agriculture |
| USGS | Unite States Geological Survey |
| SGM | San Gabriel Mountains |
| MTBS | Monitoring Trends and Burn Severity |
| EROS | Earth Resources Observations and Sciences |
| SR | Surface Reflectance |
| RIT | Rochester Institute of Technology |
| NASA | National Aeronautics and Space Administration |
| JPL | Jet Propulsion Lab |
| TIRS | Thermal Infrared Sensors |
| WRS-2 | Worldwide Reference System 2 |
| OLI | Optical Land Imager |
| QA | Quality Assurance |
| NIR | Near-Infrared |
| SWIR-2 | Short Wave Infrared 2 |
References
- National Interagency Coordination Center. Wildland Fire Summary and Statistics Annual Report 2020; National Interagency Fire Center: Boise, Idaho, 2020. Available online: https://www.nifc.gov/sites/default/files/NICC/2-Predictive%20Services/Intelligence/Annual%20Reports/2020/annual_report_0.pdf (accessed on 10 October 2025).
- Salguero, J.; Li, J.; Farahmand, A.; Reager, J.T. Wildfire Trend Analysis over the Contiguous United States Using Remote Sensing Observations. Remote Sens. 2020, 12, 2565. [Google Scholar] [CrossRef]
- Liu, Q.; Fu, B.; Chen, Z.; Chen, L.; Liu, L.; Peng, W.; Liang, Y.; Chen, L. Evaluating Effects of Post-Fire Climate and Burn Severity on the Early-Term Regeneration of Forest and Shrub Communities in the San Gabriel Mountains of California from Sentinel-2(MSI) Images. Forests 2022, 13, 1060. [Google Scholar] [CrossRef]
- Littell, J.S.; Peterson, D.L.; Riley, K.L.; Liu, Y.; Luce, C.H. A Review of the Relationships between Drought and Forest Fire in the United States. Glob. Change Biol. 2016, 22, 2353–2369. [Google Scholar] [CrossRef] [PubMed]
- Busenberg, G. Wildfire Management in the United States: The Evolution of a Policy Failure. Rev. Policy Res. 2004, 21, 145–156. [Google Scholar] [CrossRef]
- van Wagtendonk, J.W. Dr. Biswell’s Influence on the Development of Prescribed Burning in California. In The Biswell Symposium: Fire Issues and Solutions in Urban Interface and Wildland Ecosystems, Walnut Creek, CA, USA, 15–17 February 1994; US Department of Agriculture, Forest Service, Pacific Southwest Research Station: Albany, CA, USA, 1995; Volume 158, p. 11. [Google Scholar]
- Keeley, J.E.; Syphard, A.D. Historical Patterns of Wildfire Ignition Sources in California Ecosystems. Int. J. Wildland Fire 2018, 27, 781. [Google Scholar] [CrossRef]
- Mitchell, J.W. Power Line Failures and Catastrophic Wildfires under Extreme Weather Conditions. Eng. Fail. Anal. 2013, 35, 726–735. [Google Scholar] [CrossRef]
- Short, K.C. Spatial Wildfire Occurrence Data for the United States, 1992–2020 [FPA_FOD_20221014], 6th ed.; Forest Service Research Data Archive: Fort Collins, CO, USA, 2022. [CrossRef]
- Stork, N.; Mainzer, A.; Martin, R. Native and Non-native Plant Regrowth in the Santa Monica Mountains National Recreation Area after the 2018 Woolsey Fire. Ecosphere 2023, 14, e4567. [Google Scholar] [CrossRef]
- Tayyebi, A.; Darrel Jenerette, G. Increases in the Climate Change Adaption Effectiveness and Availability of Vegetation across a Coastal to Desert Climate Gradient in Metropolitan Los Angeles, CA, USA. Sci. Total Environ. 2016, 548–549, 60–71. [Google Scholar] [CrossRef]
- Keeley, J.E.; Syphard, A.D. Twenty-First Century California, USA, Wildfires: Fuel-Dominated vs. Wind-Dominated Fires. Fire Ecol. 2019, 15, 24. [Google Scholar] [CrossRef]
- Crimmins, M.A.; Comrie, A.C. Interactions between Antecedent Climate and Wildfire Variability across South-Eastern Arizona. Int. J. Wildland Fire 2004, 13, 455–466. [Google Scholar] [CrossRef]
- Goss, M.; Swain, D.L.; Abatzoglou, J.T.; Sarhadi, A.; Kolden, C.A.; Williams, A.P.; Diffenbaugh, N.S. Climate Change Is Increasing the Likelihood of Extreme Autumn Wildfire Conditions across California. Environ. Res. Lett. 2020, 15, 094016. [Google Scholar] [CrossRef]
- Chavda, D.; Li, J.; Farahmand, A. Assessing the Influence of El Niño on the California Precipitation Regime during the Satellite Precipitation Era. Hydrol. Process. 2024, 38, e15160. [Google Scholar] [CrossRef]
- Flannigan, M.D.; Wotton, B.M.; Marshall, G.A.; De Groot, W.J.; Johnston, J.; Jurko, N.; Cantin, A.S. Fuel Moisture Sensitivity to Temperature and Precipitation: Climate Change Implications. Clim. Change 2016, 134, 59–71. [Google Scholar] [CrossRef]
- Keeley, J.E. Fire Intensity, Fire Severity and Burn Severity: A Brief Review and Suggested Usage. Int. J. Wildland Fire 2009, 18, 116. [Google Scholar] [CrossRef]
- Marzano, R.; Lingua, E.; Garbarino, M. Post-Fire Effects and Short-Term Regeneration Dynamics Following High-Severity Crown Fires in a Mediterranean Forest. Iforest-Biogeosciences For. 2012, 5, 93. [Google Scholar] [CrossRef]
- Turner, M.G.; Hargrove, W.W.; Gardner, R.H.; Romme, W.H. Effects of Fire on Landscape Heterogeneity in Yellowstone National Park, Wyoming. J. Veg. Sci. 1994, 5, 731–742. [Google Scholar] [CrossRef]
- Lentile, L.B.; Morgan, P.; Hudak, A.T.; Bobbitt, M.J.; Lewis, S.A.; Smith, A.M.S.; Robichaud, P.R. Post-Fire Burn Severity and Vegetation Response Following Eight Large Wildfires Across the Western United States. Fire Ecol. 2007, 3, 91–108. [Google Scholar] [CrossRef]
- Lacouture, D.L.; Broadbent, E.N.; Crandall, R.M. Detecting Vegetation Recovery after Fire in A Fire-Frequented Habitat Using Normalized Difference Vegetation Index (NDVI). Forests 2020, 11, 749. [Google Scholar] [CrossRef]
- Koltsida, E.; Mamassis, N.; Baltas, E.; Andronis, V.; Kallioras, A. Assessment of Post-Fire Impacts on Vegetation Regeneration and Hydrological Processes in a Mediterranean Peri-Urban Catchment. Remote Sens. 2024, 16, 4745. [Google Scholar] [CrossRef]
- Oikonomou, P.; Karathanassi, V.; Andronis, V.; Papoutsis, I. Assessing and Forecasting Natural Regeneration in Mediterranean Landscapes After Wildfires. Remote Sens. 2025, 17, 897. [Google Scholar] [CrossRef]
- Gemitzi, A.; Koutsias, N. Assessment of Properties of Vegetation Phenology in Fire-Affected Areas from 2000 to 2015 in the Peloponnese, Greece. Remote Sens. Appl. Soc. Environ. 2021, 23, 100535. [Google Scholar] [CrossRef]
- Wang, L.; Good, S.P.; Caylor, K.K. Global Synthesis of Vegetation Control on Evapotranspiration Partitioning. Geophys. Res. Lett. 2014, 41, 6753–6757. [Google Scholar] [CrossRef]
- Fernández-Guisuraga, J.M.; Quintano, C.; Fernández-Manso, A.; Roberts, D.A. Biophysical Drivers of Short-Term Change in Evapotranspiration after Fire as Estimated through the SSEBop Landsat-Based Model. For. Ecol. Manag. 2025, 594, 122945. [Google Scholar] [CrossRef]
- Pascolini-Campbell, M.; Lee, C.; Stavros, N.; Fisher, J.B. ECOSTRESS Reveals Pre-fire Vegetation Controls on Burn Severity for Southern California Wildfires of 2020. Glob. Ecol. Biogeogr. 2022, 31, 1976–1989. [Google Scholar] [CrossRef]
- Dimitriadou, S.; Nikolakopoulos, K.G. Evapotranspiration Trends and Interactions in Light of the Anthropogenic Footprint and the Climate Crisis: A Review. Hydrology 2021, 8, 163. [Google Scholar] [CrossRef]
- An, K.; Jones, C.E.; Lou, Y. Assessment of Pre- and Post-Fire Fuel Availability for Wildfire Management Based on L-Band Polarimetric SAR. Earth Space Sci. 2024, 11, e2023EA002943. [Google Scholar] [CrossRef]
- Horton, D.; Johnson, J.T.; Baris, I.; Jagdhuber, T.; Bindlish, R.; Park, J.; Al-Khaldi, M.M. Wildfire Threshold Detection and Progression Monitoring Using an Improved Radar Vegetation Index in California. Remote Sens. 2024, 16, 3050. [Google Scholar] [CrossRef]
- Poulos, H.M.; Barton, A.M.; Koch, G.W.; Kolb, T.E.; Thode, A.E. Wildfire Severity and Vegetation Recovery Drive Post-fire Evapotranspiration in a Southwestern Pine-oak Forest, Arizona, USA. Remote Sens. Ecol. Conserv. 2021, 7, 579–591. [Google Scholar] [CrossRef]
- Collar, N.M.; Saxe, S.; Rust, A.J.; Hogue, T.S. A CONUS-Scale Study of Wildfire and Evapotranspiration: Spatial and Temporal Response and Controlling Factors. J. Hydrol. 2021, 603, 127162. [Google Scholar] [CrossRef]
- Collar, N.M.; Ebel, B.A.; Saxe, S.; Rust, A.J.; Hogue, T.S. Implications of Fire-Induced Evapotranspiration Shifts for Recharge-Runoff Generation and Vegetation Conversion in the Western United States. J. Hydrol. 2023, 621, 129646. [Google Scholar] [CrossRef]
- Ball, J.E.; Bêche, L.A.; Mendez, P.K.; Resh, V.H. Biodiversity in Mediterranean-Climate Streams of California. Hydrobiologia 2013, 719, 187–213. [Google Scholar] [CrossRef]
- Williams, J.E. Land Forms of the San Gabriel Mountains, California. In Yearbook of the Association of Pacific Coast Geographers; University of Hawai’i Press: Honolulu, HI, USA, 1941; Volume 7, pp. 16–32. [Google Scholar]
- Keeley, J.E.; Brennan, T.J.; Syphard, A.D. The Effects of Prolonged Drought on Vegetation Dieback and Megafires in Southern California Chaparral. Ecosphere 2022, 13, e4203. [Google Scholar] [CrossRef]
- Bohlman, G.N.; Underwood, E.C.; Safford, H.D. Estimating Biomass in California’s Chaparral and Coastal Sage Scrub Shrublands. Madroño 2018, 65, 28–46. [Google Scholar] [CrossRef]
- Raphael, M.N. The Santa Ana Winds of California. Earth Interact. 2003, 7, 1–13. [Google Scholar] [CrossRef]
- Mukherjee, S.; Siroratttanakul, K.; Vargas-Sanabria, D.; Patial, S.; Silwal, A.; Atienza, K.J. Supplementing Earth Observation with Twitter Data to Improve Disaster Assessments: A Case Study of 2020 Bobcat Fire in Southern California. In Proceedings of the 72nd International Astronautical Congress (IAC), Dubai, United Arab Emirates, 25–29 October 2021; pp. 25–29. [Google Scholar]
- Eidenshink, J.; Schwind, B.; Brewer, K.; Zhu, Z.-L.; Quayle, B.; Howard, S. A Project for Monitoring Trends in Burn Severity. Fire Ecol. 2007, 3, 3–21. [Google Scholar] [CrossRef]
- Picotte, J.J.; Bhattarai, K.; Howard, D.; Lecker, J.; Epting, J.; Quayle, B.; Benson, N.; Nelson, K. Changes to the Monitoring Trends in Burn Severity Program Mapping Production Procedures and Data Products. Fire Ecol. 2020, 16, 16. [Google Scholar] [CrossRef]
- U.S. Geological Survey. Landsat 8 (L8) Data Users Handbook, Version 5.0, LSDS-1574; U.S. Geological Survey: Reston, VA, USA, 2019. Available online: https://www.usgs.gov/media/files/landsat-8-data-users-handbook (accessed on 18 July 2025).
- Volk, J.M.; Huntington, J.L.; Melton, F.S.; Allen, R.; Anderson, M.; Fisher, J.B.; Kilic, A.; Ruhoff, A.; Senay, G.B.; Minor, B.; et al. Assessing the Accuracy of OpenET Satellite-Based Evapotranspiration Data to Support Water Resource and Land Management Applications. Nat. Water 2024, 2, 193–205. [Google Scholar] [CrossRef]
- Bai, Y.; Zhang, S.; Bhattarai, N.; Mallick, K.; Liu, Q.; Tang, L.; Im, J.; Guo, L.; Zhang, J. On the Use of Machine Learning Based Ensemble Approaches to Improve Evapotranspiration Estimates from Croplands across a Wide Environmental Gradient. Agric. For. Meteorol. 2021, 298–299, 108308. [Google Scholar] [CrossRef]
- Melton, F.S.; Huntington, J.; Grimm, R.; Herring, J.; Hall, M.; Rollison, D.; Erickson, T.; Allen, R.; Anderson, M.; Fisher, J.B.; et al. OpenET: Filling a Critical Data Gap in Water Management for the Western United States. J. Am. Water Resour. Assoc. 2022, 58, 971–994. [Google Scholar] [CrossRef]
- Wickham, J.; Stehman, S.V.; Sorenson, D.G.; Gass, L.; Dewitz, J.A. Thematic Accuracy Assessment of the NLCD 2019 Land Cover for the Conterminous United States. GIScience Remote Sens. 2023, 60, 2181143. [Google Scholar] [CrossRef]
- Konkathi, P.; Shetty, A. Inter Comparison of Post-Fire Burn Severity Indices of Landsat-8 and Sentinel-2 Imagery Using Google Earth Engine. Earth Sci. Inform. 2021, 14, 645–653. [Google Scholar] [CrossRef]
- Viana-Soto, A.; Aguado, I.; Salas, J.; García, M. Identifying Post-Fire Recovery Trajectories and Driving Factors Using Landsat Time Series in Fire-Prone Mediterranean Pine Forests. Remote Sens. 2020, 12, 1499. [Google Scholar] [CrossRef]
- Sheffield, A.; Kalansky, J. California-Nevada Drought Status Update, October 18, 2022; National Integrated Drought Information System (NIDIS), NOAA, Drought.gov.: Boulder, CO, USA, 2022. Available online: https://www.drought.gov/drought-status-updates/california-nevada-drought-status-update-10-18-22 (accessed on 22 November 2025).
- Zahabnazouri, S.; Belmont, P.; David, S.; Wigand, P.E.; Elia, M.; Capolongo, D. Detecting Burn Severity and Vegetation Recovery After Fire Using dNBR and dNDVI Indices: Insight from the Bosco Difesa Grande, Gravina in Southern Italy. Sensors 2025, 25, 3097. [Google Scholar] [CrossRef] [PubMed]
- Virtanen, P. SciPy Developers. spearmanr—SciPy v1.16.2 Manual. SciPy Documentation. Available online: https://docs.scipy.org/doc/scipy/reference/generated/scipy.stats.spearmanr.html (accessed on 23 November 2025).
- Kadakatla, P.K.; Reddi, V. Significance of Spearman’s Rank Correlation Coefficient. Int. J. Multidiscip. Res. (IJFMR) 2023, 5, 1–4. [Google Scholar]
- Tang, E.; Zeng, Y.; Wang, Y.; Song, Z.; Yu, D.; Wu, H.; Qiao, C.; van der Tol, C.; Du, L.; Su, Z. Understanding the Effects of Revegetated Shrubs on Fluxes of Energy, Water, and Gross Primary Productivity in a Desert Steppe Ecosystem Using the STEMMUS–SCOPE Model. Biogeosciences 2024, 21, 893–909. [Google Scholar] [CrossRef]
- De La Iglesia Martinez, A.; Labib, S.M. Demystifying Normalized Difference Vegetation Index (NDVI) for Greenness Exposure Assessments and Policy Interventions in Urban Greening. Environ. Res. 2023, 220, 115155. [Google Scholar] [CrossRef]
- Stephens, S.L.; Foster, D.E.; Battles, J.J.; Bernal, A.A.; Collins, B.M.; Hedges, R.; Moghaddas, J.J.; Roughton, A.T.; York, R.A. Forest restoration and fuels reduction work: Different pathways for achieving success in the Sierra Nevada. Ecol. Appl. 2024, 34, e2932. [Google Scholar] [CrossRef]
- Syphard, A.D.; Brennan, T.J.; Keeley, J.E. Extent and drivers of vegetation type conversion in Southern California chaparral. Ecosphere 2019, 10, e02796. [Google Scholar] [CrossRef]
- Tuo, M.; Qiao, H.; Xu, G.; Wang, B.; Wan, S.; Wang, X.; Xie, X. Effects of Vegetation Types on Hillslope Runoff and Soil Erosion on the Loess Plateau. Catena 2025, 260, 109487. [Google Scholar] [CrossRef]
- Liu, Y.-F.; Liu, Y.; Shi, Z.-H.; López-Vicente, M.; Wu, G.-L. Effectiveness of Re-Vegetated Forest and Grassland on Soil Erosion Control in the Semi-Arid Loess Plateau. Catena 2020, 195, 104787. [Google Scholar] [CrossRef]
- NOAA Climate Program Office. Weather and Climate Influences: January 2025 Fires Around Los Angeles; Climate.gov.: Silver Spring, MD, USA, 2025. Available online: https://www.climate.gov/news-features/event-tracker/weather-and-climate-influences-january-2025-fires-around-los-angeles (accessed on 22 November 2025).
- KTLA News Staff. La Niña: Los Angeles Sees Second Driest Period in History, Data Shows; KTLA: Los Angeles, CA, USA, 2025. Available online: https://ktla.com/news/local-news/la-nina-los-angeles-sees-second-driest-period-in-history-data-shows (accessed on 22 November 2025).
- Cihlar, J.; Laurent, L.S.; Dyer, J.A. Relation between the Normalized Difference Vegetation Index and Ecological Variables. Remote Sens. Environ. 1991, 35, 279–298. [Google Scholar] [CrossRef]
- Dai, X.; Yu, Z.; Matheny, A.M.; Zhou, W.; Xia, J. Increasing Evapotranspiration Decouples the Positive Correlation between Vegetation Cover and Warming in the Tibetan Plateau. Front. Plant Sci. 2022, 13, 974745. [Google Scholar] [CrossRef] [PubMed]
- Natural Resources Conservation Service (NRCS). After the Fire–Seeding. USDA NRCS Guides and Instructions. Available online: https://www.nrcs.usda.gov/resources/guides-and-instructions/after-the-fire-seeding (accessed on 23 November 2025).
- Luković, J.; Chiang, J.C.H.; Blagojević, D.; Sekulić, A. A Later Onset of the Rainy Season in California. Geophys. Res. Lett. 2021, 48, e2020GL090350. [Google Scholar] [CrossRef]
- Miller, J.D.; Thode, A.E. Quantifying Burn Severity in a Heterogeneous Landscape with a Relative Version of the Delta Normalized Burn Ratio (dNBR). Remote Sens. Environ. 2007, 109, 66–80. [Google Scholar] [CrossRef]












| Severity Level | dNBR Range |
|---|---|
| Enhanced Regrowth (ER) | dNBR < −0.100 |
| Unburned (UB) | −0.100 ≤ dNBR < +0.100 |
| Low Severity (LS) | +0.100 ≤ dNBR< +0.270 |
| Moderate Severity (MS) | +0.270 ≤ dNBR < 0.660 |
| High Severity (HS) | +0.660 ≤ dNBR |
| Value | Class |
|---|---|
| 21 | Developed, Open Space |
| 23 | Developed, Low Intensity |
| 42 | Evergreen Forest |
| 43 | Mixed Forest |
| 52 | Shrub/Scrub |
| 71 | Grassland/Herbaceous |
| 90 | Woody Wetlands |
| 2019 NLCD Classes | 2024 NLCD Classes | ||||
|---|---|---|---|---|---|
| Low Severity | Evergreen Forest | Mixed Forest | Shrubs | Grasslands | Other |
| Evergreen | 6.35% | 0.44% | 82.92% | 9.94% | 0.34% |
| Mixed | 5.79% | 0.83% | 91.23% | 1.66% | 0.50% |
| Shrubs | 1.24% | 0.01% | 14.92% | 83.58% | 0.25% |
| Mod Severity | Evergreen Forest | Mixed Forest | Shrubs | Grasslands | Other |
| Evergreen | 0.51% | 0.19% | 81.92% | 17.18% | 0.19% |
| Mixed | 0.01% | 0.15% | 68.18% | 31.65% | 0.01% |
| Shrubs | 0.06% | 0.01% | 33.72% | 66.13% | 0.09% |
| High Severity | Evergreen Forest | Mixed Forest | Shrubs | Grasslands | Other |
| Evergreen | - | 0.01% | 87.33% | 12.62% | 0.04% |
| Mixed | - | 0.06% | 67.46% | 32.47% | - |
| Shrubs | - | - | 82.17% | 17.83% | - |
| Dry Season | |||||
| Variable | Severity Level | Trend | Variable | Vegetation Class | Trend |
| ET | HS | Increasing * | ET | Evergreen Forest | Increasing * |
| MS | Increasing * | Mixed Forest | Increasing * | ||
| LS | Increasing * | Shrub Scrub | Increasing * | ||
| NDVI | HS | Increasing * | NDVI | Evergreen Forest | Increasing * |
| MS | Increasing * | Mixed Forest | Increasing * | ||
| LS | Increasing * | Shrub Scrub | Increasing * | ||
| Wet Season | |||||
| Variable | Severity Level | Trend | Variable | Vegetation Class | Trend |
| ET | HS | Increasing * | ET | Evergreen Forest | no trend |
| MS | Increasing * | Mixed Forest | Increasing * | ||
| LS | Increasing * | Shrub Scrub | Increasing * | ||
| NDVI | HS | Increasing * | NDVI | Evergreen Forest | Increasing * |
| MS | Increasing * | Mixed Forest | Increasing * | ||
| LS | Increasing * | Shrub Scrub | Increasing * | ||
Disclaimer/Publisher’s Note: The statements, opinions and data contained in all publications are solely those of the individual author(s) and contributor(s) and not of MDPI and/or the editor(s). MDPI and/or the editor(s) disclaim responsibility for any injury to people or property resulting from any ideas, methods, instructions or products referred to in the content. |
© 2025 by the authors. Licensee MDPI, Basel, Switzerland. This article is an open access article distributed under the terms and conditions of the Creative Commons Attribution (CC BY) license (https://creativecommons.org/licenses/by/4.0/).
Share and Cite
Alamillo, A.; Li, J.; Farahmand, A.; Pascolini-Campbell, M.; Lee, C. Post-Fire Vegetation Recovery Response: A Case Study of the 2020 Bobcat Fire in Los Angeles, California. Remote Sens. 2025, 17, 4023. https://doi.org/10.3390/rs17244023
Alamillo A, Li J, Farahmand A, Pascolini-Campbell M, Lee C. Post-Fire Vegetation Recovery Response: A Case Study of the 2020 Bobcat Fire in Los Angeles, California. Remote Sensing. 2025; 17(24):4023. https://doi.org/10.3390/rs17244023
Chicago/Turabian StyleAlamillo, Andrew, Jingjing Li, Alireza Farahmand, Madeleine Pascolini-Campbell, and Christine Lee. 2025. "Post-Fire Vegetation Recovery Response: A Case Study of the 2020 Bobcat Fire in Los Angeles, California" Remote Sensing 17, no. 24: 4023. https://doi.org/10.3390/rs17244023
APA StyleAlamillo, A., Li, J., Farahmand, A., Pascolini-Campbell, M., & Lee, C. (2025). Post-Fire Vegetation Recovery Response: A Case Study of the 2020 Bobcat Fire in Los Angeles, California. Remote Sensing, 17(24), 4023. https://doi.org/10.3390/rs17244023

