Due to scheduled maintenance work on our servers, there may be short service disruptions on this website between 11:00 and 12:00 CEST on March 28th.
Sign in to use this feature.

Years

Between: -

Subjects

remove_circle_outline
remove_circle_outline
remove_circle_outline
remove_circle_outline
remove_circle_outline
remove_circle_outline
remove_circle_outline
remove_circle_outline
remove_circle_outline

Journals

remove_circle_outline
remove_circle_outline
remove_circle_outline
remove_circle_outline
remove_circle_outline
remove_circle_outline
remove_circle_outline
remove_circle_outline
remove_circle_outline

Article Types

Countries / Regions

remove_circle_outline
remove_circle_outline
remove_circle_outline
remove_circle_outline
remove_circle_outline

Search Results (1,621)

Search Parameters:
Keywords = hydrodynamic numerical model

Order results
Result details
Results per page
Select all
Export citation of selected articles as:
27 pages, 53719 KB  
Article
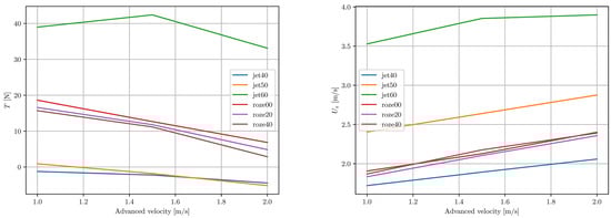
A Numerical Investigation into the Thrust Characteristics of the RAS-HA-X25 Autonomous Underwater Vehicle Through CFD-Based Simulation
by Aleksander Grm, Marko Peljhan, Roman Kamnik, Matej Dobrevski, Dominik Majcen and Andrej Androjna
J. Mar. Sci. Eng. 2026, 14(7), 600; https://doi.org/10.3390/jmse14070600 (registering DOI) - 24 Mar 2026
Abstract
The rapid development of Autonomous Underwater Vehicles (AUVs) has increased the demand for propulsion systems that balance thrust density, hydrodynamic efficiency, and acoustic discretion. This study presents a comprehensive numerical investigation of the performance of the Blue Robotics T500 thruster, embedded within the [...] Read more.
The rapid development of Autonomous Underwater Vehicles (AUVs) has increased the demand for propulsion systems that balance thrust density, hydrodynamic efficiency, and acoustic discretion. This study presents a comprehensive numerical investigation of the performance of the Blue Robotics T500 thruster, embedded within the RAS-HA-X25 AUV’s internal conduit. Using transient Computational Fluid Dynamics (CFD) within the OpenFOAM framework, this research assesses the propulsive characteristics of the thruster across six distinct outlet geometries, including convergent jet nozzles and multi-lobed “daisy” configurations. To improve computational efficiency for parametric design, a calibrated actuator disc model was developed and validated against resolved-rotor simulations, revealing a 15% discrepancy attributed to tip leakage and hub vortex effects. Results show that at the operational advance ratio (J=0.167), the 60 mm convergent nozzle is the optimal configuration for maximising thrust, achieving a peak net thrust of 42 N. In contrast, the daisy-type lobed geometries, while causing a 50% reduction in absolute thrust compared to a standard cylindrical pipe, significantly homogenise the exit-plane velocity distribution and reduce swirl intensity. These findings indicate that lobed terminations provide a viable mechanism for reducing hydroacoustic signatures, offering a strategic “stealth” advantage for low-observable underwater platforms where acoustic discretion is prioritised over pure thrust density. This study establishes a robust methodology for optimising embedded propulsion modules in next-generation autonomous and hybrid underwater vehicles. Full article
Show Figures

Figure 1

28 pages, 5247 KB  
Article
Comparative Analysis of High-Fidelity and Reduced-Order Models for Nonlinear Wave–Bathymetry and Wave–Structure Interactions
by Wen-Huai Tsao and Christopher E. Kees
J. Mar. Sci. Eng. 2026, 14(7), 594; https://doi.org/10.3390/jmse14070594 - 24 Mar 2026
Viewed by 40
Abstract
This paper presents a computational study of wave–bathymetry and wave–structure interaction problems using advanced numerical techniques based on high-fidelity, two-phase Navier–Stokes (TpNS) flow and reduced-order, fully nonlinear potential flow models. For high-fidelity simulations, the TpNS equations are discretized using the finite-element method, with [...] Read more.
This paper presents a computational study of wave–bathymetry and wave–structure interaction problems using advanced numerical techniques based on high-fidelity, two-phase Navier–Stokes (TpNS) flow and reduced-order, fully nonlinear potential flow models. For high-fidelity simulations, the TpNS equations are discretized using the finite-element method, with free-surface evolution captured through a hybrid level-set (LS) and volume-of-fluid (VOF) formulation. A monolithic, phase-conservative LS equation is introduced to mitigate mass loss and interface smearing, combined with a semi-implicit projection scheme. Hydrodynamic forces are resolved using a high-order, phase-resolving cut finite-element method (CutFEM), which enables the representation of complex solid geometries within a fixed background mesh. An equivalent polynomial of Heaviside and Dirac distributions ensures accurate evaluation of surface and volume integrals. Hence, no explicit generation of cut cell meshes, adaptive quadrature, or local refinement is required. For reduced-order modeling, a fast regularized boundary integral method (RBIM) is employed to solve the fully nonlinear potential flow. Singular and near-singular integrals are treated using a subtract-and-addition technique based on auxiliary functions derived from Stokes’ theorem, allowing direct application of high-order quadrature without conventional boundary element discretization. An arbitrary Lagrangian–Eulerian (ALE) formulation is adopted to enforce free-surface boundary conditions while avoiding excessive mesh distortion. The proposed approaches are applied to investigate highly nonlinear wave transformation over complex bathymetry and wave-induced dynamics of floating structures, including eddy-making damping effects. Numerical results are validated against experimental measurements. These two modeling approaches represent complementary levels of physical fidelity and computational efficiency, and their systematic comparison clarifies the trade-offs between computational accuracy, efficiency, and cost for practical marine problems. Full article
(This article belongs to the Special Issue Wave–Structure–Seabed Interaction)
Show Figures

Figure 1

26 pages, 6040 KB  
Article
Numerical Study on the Effect of Column Boot Diameter-to-Height Ratio on the Hydrodynamic Performance of Deep-Draft Cylindrical Offshore Platforms
by Chengming Qin, Zhe Chen, Yanping He and Yadong Liu
J. Mar. Sci. Eng. 2026, 14(6), 584; https://doi.org/10.3390/jmse14060584 - 21 Mar 2026
Viewed by 168
Abstract
For deep-draft cylindrical platforms with a large annular column boot, the influence of the column boot diameter-to-height ratio (d/h) on motion performance remains unclear. This study investigates the effect of d/h on platform hydrodynamics while keeping the main body geometry, displacement, and draft [...] Read more.
For deep-draft cylindrical platforms with a large annular column boot, the influence of the column boot diameter-to-height ratio (d/h) on motion performance remains unclear. This study investigates the effect of d/h on platform hydrodynamics while keeping the main body geometry, displacement, and draft unchanged. A hybrid numerical model validated against tests is adopted: STAR-CCM+ free-decay simulations identify equivalent linear damping, and ANSYS AQWA predicts hydrodynamic coefficients, response amplitude operators, and coupled time-domain responses under a 100-year survival sea state in the western South China Sea. Increasing d/h substantially increases heave added mass and added pitch moment of inertia, leading to longer natural periods and higher damping in heave and pitch. However, its effect on motion responses is non-monotonic and strongly response-dependent. As d/h increases, the responses are initially reduced markedly. The minimum surge and heave responses occur at d/h = 2.39 and 4.67, with reductions of about 34.0% and 87.2%, respectively, while the pitch response is already reduced by about 67.3% at d/h = 7.22. Further increases in d/h may weaken surge and heave mitigation while providing limited additional benefit for pitch. These findings provide qualitative understanding and quantitative guidance for response-oriented column boot design and optimization of similar platforms. Full article
(This article belongs to the Special Issue Floating Offshore Structures: Hydrodynamic Analysis and Design)
Show Figures

Figure 1

18 pages, 9252 KB  
Article
Hydrodynamic Responses and Energy Harvesting of a Hemispherical Point-Absorber WEC in Uniform Current
by Seunghoon Oh, Se-Yun Hwang, Jae-chul Lee, Soon-sup Lee, Jong-Hyun Lee and Eun Soo Kim
Appl. Sci. 2026, 16(6), 3021; https://doi.org/10.3390/app16063021 - 20 Mar 2026
Viewed by 104
Abstract
This study investigates the hydrodynamic responses and energy harvesting performance of a hemispherical point-absorber wave energy converter (WEC) in uniform current. A frequency-domain Rankine source method (RSM) is developed to rigorously account for current-modified free-surface conditions, and an approximate free-surface Green-function method (AFSGM) [...] Read more.
This study investigates the hydrodynamic responses and energy harvesting performance of a hemispherical point-absorber wave energy converter (WEC) in uniform current. A frequency-domain Rankine source method (RSM) is developed to rigorously account for current-modified free-surface conditions, and an approximate free-surface Green-function method (AFSGM) is implemented to assess practical applicability under weak-current assumptions. The numerical settings for body, free-surface, and radiation-boundary discretizations are determined through convergence tests. Model validation is performed by comparing motion responses against published benchmark results under both zero-current and current conditions. The effects of current and motion constraints are examined for surge–heave free and heave-only cases. Results show that current can amplify the heave response and that surge freedom enhances heave motion through coupling effects, leading to increasing discrepancies between RSM and AFSGM as current strengthens. For heave-only motion, AFSGM provides practically acceptable predictions within  Fr 0.045, while noticeable differences appear near resonance beyond this range, for which RSM is recommended. Energy harvesting is evaluated using a linear PTO damping model, revealing that current alters the capture width ratio (CWR) and shifts the optimal PTO damping and frequency, indicating the necessity of considering current in performance assessment and PTO design. Full article
(This article belongs to the Section Energy Science and Technology)
Show Figures

Figure 1

25 pages, 4663 KB  
Article
Investigation on Rolling Seals for Deep-Sea Applications
by Yucheng Yang, Limin Gao, Yafeng Wu, Guojun Wu and Geyang Hao
Lubricants 2026, 14(3), 132; https://doi.org/10.3390/lubricants14030132 - 18 Mar 2026
Viewed by 162
Abstract
The rolling seal is a pivotal sealing technology for marine equipment such as wet-mateable connectors, ensuring operational integrity in deep-sea environments during both static and mating phases. However, its working mechanisms remain inadequately understood, and the effects of sealing parameters and seawater pressure [...] Read more.
The rolling seal is a pivotal sealing technology for marine equipment such as wet-mateable connectors, ensuring operational integrity in deep-sea environments during both static and mating phases. However, its working mechanisms remain inadequately understood, and the effects of sealing parameters and seawater pressure have yet to be systematically studied. To address these issues, a refined model for rolling seals operating in deep-sea pressure-balanced conditions was developed. The model’s accuracy was enhanced by incorporating two key inputs: experimentally measured boundary lubrication friction coefficients (replacing conventional dry friction values) for finite element simulation and torque calculation, and oil pressure under pressure-balanced conditions, derived from shell theory, as a boundary load. Through systematic parametric simulations, the effects of interference fit, rotational speed, and seawater pressure on sealing performance were elucidated. An experimental torque test setup under atmospheric pressure was constructed to validate the numerical model. The results indicate that, while ensuring reliable static sealing, higher rotational speeds and smaller interference fits help reduce rotational torque. Benefiting from the pressure-balanced design, increasing water depth significantly enhances hydrodynamic performance—accounting for over 90% of the total static contact pressure at 1500 m—while leakage shows a decreasing trend. These findings provide theoretical insights for optimizing deep-sea sealing structures. Full article
Show Figures

Figure 1

15 pages, 3229 KB  
Article
Nonlinear Characterisation of Wind Turbine Gearbox Vibration Dynamics Driven by Inhomogeneous Helical Gear Wear
by Khaldoon F. Brethee, Ghalib R. Ibrahim and Al-Hussein Albarbar
Vibration 2026, 9(1), 20; https://doi.org/10.3390/vibration9010020 - 16 Mar 2026
Viewed by 198
Abstract
Helical gear transmissions in wind turbine gearboxes operate under high torque, variable speed, and complex rolling–sliding contact conditions, where friction-induced wear evolves in a spatially non-uniform manner. However, most existing dynamic models assume uniform or mild wear and therefore fail to capture the [...] Read more.
Helical gear transmissions in wind turbine gearboxes operate under high torque, variable speed, and complex rolling–sliding contact conditions, where friction-induced wear evolves in a spatially non-uniform manner. However, most existing dynamic models assume uniform or mild wear and therefore fail to capture the nonlinear coupling between localised tooth surface degradation, gear mesh dynamics, and vibration response. In this work, a nonlinear dynamic model of a helical gear pair is formulated by incorporating time-varying mesh stiffness, elasto-hydrodynamic lubrication (EHL)-based friction forces, and wear-dependent contact geometry. The governing equations of motion are derived to explicitly account for the influence of inhomogeneous tooth wear on the contact load distribution and frictional excitation during meshing. Wear evolution is represented as a spatially varying modification of tooth surface topology, enabling the progressive coupling between wear depth, mesh stiffness perturbations, and dynamic transmission error. The model is employed to analyse the effects of non-uniform wear on system stability, vibration spectra, and dynamic response under wind turbine operating conditions. Numerical results reveal that uneven wear introduces nonlinear modulation of gear mesh forces and generates characteristic sidebands and amplitude variations in the vibration signal that are absent in conventional mild-wear formulations. These wear-induced dynamic features provide mathematically traceable indicators for the onset and progression of uneven tooth degradation. The proposed framework establishes a physics-based link between wear evolution and measurable vibration responses, providing a rigorous foundation for advanced vibration-based diagnostics and model-driven condition monitoring of wind turbine gearboxes. Full article
Show Figures

Figure 1

35 pages, 9181 KB  
Article
Dynamic Response and Operational Performance of an Integrated Floating Wind Turbine–Net Cage Platform
by Xing-Hua Shi, Qiang Ang, Jing Zhang, Honglong Li, Chunhan Wu and Shan Wang
J. Mar. Sci. Eng. 2026, 14(6), 548; https://doi.org/10.3390/jmse14060548 - 15 Mar 2026
Viewed by 163
Abstract
This study investigates the floating wind turbine (FWT)–Net cage integrated platform, where the net cage is rigidly connected to the FWT foundation. The platform is numerically modeled using time-domain simulations in OrcaFlex V11.1, based on representative environmental conditions of the South China Sea. [...] Read more.
This study investigates the floating wind turbine (FWT)–Net cage integrated platform, where the net cage is rigidly connected to the FWT foundation. The platform is numerically modeled using time-domain simulations in OrcaFlex V11.1, based on representative environmental conditions of the South China Sea. The operational performance of two layouts of the platform is evaluated and compared, considering both power generation efficiency and residual volume ratio as key indicators. The results show that the FWT–Net cage integrated platform exhibits superior hydrodynamic stability, characterized by reduced surge and pitch motions, lower mooring force fluctuations, and a higher residual cage volume. Additionally, the platform achieves better power generation efficiency and a higher residual volume ratio, indicating more effective use of the aquaculture space. Based on these findings, an improved integrated design incorporating additional outer net cages is proposed. This design demonstrates enhanced aquaculture capacity while maintaining power generation. The results provide valuable insights for the design of FWT–Net cage integration, promoting the efficient and sustainable utilization of marine space. Full article
Show Figures

Figure 1

20 pages, 8606 KB  
Article
Numerical Simulation of Extreme Waves at Chancay Port
by Xuanyuan Liu, Hao Wu, Jiaqi Lan and Nan Jiang
Appl. Sci. 2026, 16(6), 2804; https://doi.org/10.3390/app16062804 - 14 Mar 2026
Viewed by 165
Abstract
This study investigates the extreme wave event that caused damage to the main breakwater at Chancay Port, Peru, on 24 August 2025 (the 824 event), through high-resolution nested numerical wave simulations. The research reveals the underlying mechanisms and causation of the damage. Results [...] Read more.
This study investigates the extreme wave event that caused damage to the main breakwater at Chancay Port, Peru, on 24 August 2025 (the 824 event), through high-resolution nested numerical wave simulations. The research reveals the underlying mechanisms and causation of the damage. Results indicate that the extreme waves originated from a powerful storm in the Southern Pacific’s Roaring Forties around 20 August. The storm generated long-period swell that propagated to Chancay Port, resulting in significant wave heights of 4.2–4.4 m offshore, exceeding the 475-year return period design standard and ranking as the most severe wave event in the past 30 years. Localized modeling further demonstrates that the swells induced nonlinear transformations in front of the breakwater, with wave heights reaching up to 7 m along the structure and generating complex standing waves near the bend. Comprehensive analysis concludes that the damage was caused by the combined effects of this rare extreme remote swell and localized hydrodynamic interactions with the breakwater. Full article
(This article belongs to the Section Civil Engineering)
Show Figures

Figure 1

21 pages, 6472 KB  
Article
Wave Climate Dynamics of a Morphologically Complex Coast: A Hybrid Downscaling Study of Manzanillo, Mexico
by Héctor García-Nava, Julieta Hernández-López, Manuel Gerardo Verduzco-Zapata, Marco Agustín Liñán-Cabello and Rodolfo Silva-Casarín
J. Mar. Sci. Eng. 2026, 14(6), 544; https://doi.org/10.3390/jmse14060544 - 14 Mar 2026
Viewed by 244
Abstract
A comprehensive characterization of the wave climate on the coast at Manzanillo, Colima, Mexico, based on an 11-year hindcast (2008–2018), was performed using a hybrid approach that integrates hydrodynamic numerical models with machine learning techniques. Wave conditions were analyzed at 23 nearshore sites, [...] Read more.
A comprehensive characterization of the wave climate on the coast at Manzanillo, Colima, Mexico, based on an 11-year hindcast (2008–2018), was performed using a hybrid approach that integrates hydrodynamic numerical models with machine learning techniques. Wave conditions were analyzed at 23 nearshore sites, including headlands, outer beaches, and sheltered beaches. The effects of the complex coastal morphology on wave propagation were evident, especially regarding storm waves. Two distinct wave climates were seen: a low-energy regime in the dry season (November–April) and a more energetic regime in the rainy season (May–October). Spatial variability was greatly modulated by headlands, bays, and port infrastructure, leading to sharp local contrasts in wave height, slope, and wave power. For instance, mean wave power ranged from 9.34 kW/m at exposed sites such as El Faro de Campos to only 0.36 kW/m near sheltered areas, such as San Pedrito beach. From these findings, it is clear that a regional scale description of the wave climate is insufficient when assessing coastal vulnerability in this morphologically complex area. The new dataset is a valuable baseline for use in coastal management, port planning, and risk assessments for Manzanillo, which is one of Mexico’s most important ports. Full article
(This article belongs to the Section Physical Oceanography)
Show Figures

Figure 1

21 pages, 6110 KB  
Article
Stochastic Dynamic Analysis and Vibration Suppression of FG-GPLRC Cylinder–Plate Combined Structures with Distributed Dynamic Vibration Absorbers
by Qingtao Gong, Ai Zhang, Yao Teng and Yuan Wang
Materials 2026, 19(6), 1082; https://doi.org/10.3390/ma19061082 - 11 Mar 2026
Viewed by 258
Abstract
Cylinder–plate combined structures (CPCS) are widely used in aerospace, marine engineering, and offshore platform systems. During service, they are frequently subjected to stochastic excitations induced by turbulent boundary layers, acoustic loads, hydrodynamic disturbances, and broadband operational vibrations. Excessive random vibration responses may significantly [...] Read more.
Cylinder–plate combined structures (CPCS) are widely used in aerospace, marine engineering, and offshore platform systems. During service, they are frequently subjected to stochastic excitations induced by turbulent boundary layers, acoustic loads, hydrodynamic disturbances, and broadband operational vibrations. Excessive random vibration responses may significantly reduce structural reliability, accelerate fatigue damage, and compromise operational safety. To address these engineering challenges, a unified stochastic dynamic analysis and vibration suppression framework is established for functionally graded graphene platelet-reinforced composites (FG-GPLRC) CPCS equipped with distributed dynamic vibration absorbers (DVAs). Adopting the First-order Shear Deformation Theory (FSDT), a comprehensive energy functional for the CPCS is established, in which the penalty method is implemented to impose boundary conditions and ensure interface continuity. Subsequently, the Pseudo-excitation Method (PEM) is utilized to convert the stochastic vibration analysis into an equivalent deterministic harmonic problem, and the governing equations are spatially discretized by combining the spectral geometric method (SGM) with the Ritz variational procedure, enabling efficient evaluation of power spectral density (PSD) and root-mean-square (RMS) responses. The reliability of the proposed model is verified through a series of numerical validation comparisons. On this basis, comprehensive parametric investigations are conducted to assess how material properties, structural geometries, and critical DVA parameters influence system behavior. The results demonstrate that the incorporation of distributed DVAs can achieve superior vibration suppression performance. This study provides an efficient and reliable theoretical framework for stochastic vibration analysis and damping design of advanced composite plate–shell coupled structures operating in complex random environments, offering important theoretical support for dynamic optimization design in aerospace and marine engineering applications. Full article
(This article belongs to the Special Issue Research on Vibration of Composite Structures)
Show Figures

Figure 1

35 pages, 5629 KB  
Article
Thermal and Hydrodynamic Enhancement of a Ribbed Trombe Wall for Passive Solar Heating
by Jamal-Eddine Salhi, Tarik Zarrouk, Merzouki Salhi, Mohamed Barboucha and Seyed Soheil Mousavi Ajarostaghi
Buildings 2026, 16(6), 1107; https://doi.org/10.3390/buildings16061107 - 11 Mar 2026
Viewed by 193
Abstract
Enhancing the thermal performance of the Trombe Wall is crucial for improving the energy efficiency of passive solar heating systems. This study presents a three-dimensional numerical analysis to investigate the combined effects of internal rib density and geometrical configuration on the thermo-hydrodynamic behavior [...] Read more.
Enhancing the thermal performance of the Trombe Wall is crucial for improving the energy efficiency of passive solar heating systems. This study presents a three-dimensional numerical analysis to investigate the combined effects of internal rib density and geometrical configuration on the thermo-hydrodynamic behavior of a Trombe wall. Using a finite-volume method with laminar flow assumptions based on the Reynolds number, the research is conducted in two sections. First, four rib densities (Nr = 3, 5, 7, and 9) are evaluated using a rectangular rib geometry to identify the best rib number. Subsequently, four innovative designs are compared: rectangular (Model A), semi-circular (Model B), crossed semi-circular (Model C), and spaced semi-circular (Model D) ribs. The findings indicate that while increasing rib count enhances heat transfer through secondary-flow intensification, improvements become marginal beyond Nr = 5 due to excessive flow resistance. At Re = 1600, the Nr = 5 configuration achieves a 68% increase in the average Nusselt number over a smooth channel while maintaining acceptable friction levels. The thermal enhancement factor of case Nr = 5 is the highest in all evaluated Re numbers. Regarding geometry, the model with crossed semi-circular ribs (Model C) provides the maximum thermal enhancement at Re = 1600, with nearly a twofold increase in heat transfer (compared to the smooth channel), albeit at the cost of higher pressure losses. Conversely, the spaced semi-circular ribs case (Model D) achieves the best thermal enhancement factor of 1.51, a 12.7% increase in heat flux, and a lower Poiseuille number. Overall, this study demonstrates that enhanced ribbed configurations can significantly improve Trombe Wall efficiency, with the spaced semi-circular design and five ribs. Full article
Show Figures

Figure 1

21 pages, 5256 KB  
Article
Numerical Simulation and Optimization Study of Liquid Sloshing in a LNG Storage Tank
by Zhimei Lu, Zhanxue Cao, Zhaodan Xia, Xiong Zhang and Xiaoli Yuan
J. Mar. Sci. Eng. 2026, 14(6), 525; https://doi.org/10.3390/jmse14060525 - 10 Mar 2026
Viewed by 296
Abstract
Liquefied natural gas (LNG) sloshing occurs during marine transportation and storage due to vessel motion or external disturbances, leading to complex fluid–structure interactions within the containment system. This study employs OpenFOAM to develop a numerical model of LNG sloshing. The model solves the [...] Read more.
Liquefied natural gas (LNG) sloshing occurs during marine transportation and storage due to vessel motion or external disturbances, leading to complex fluid–structure interactions within the containment system. This study employs OpenFOAM to develop a numerical model of LNG sloshing. The model solves the incompressible multiphase Navier–Stokes equations and utilizes the Volume of Fluid (VOF) method to capture the dynamic behavior of gas–liquid interface. The numerical model was validated against experimental data. Based on this model, the key hydrodynamic characteristics are investigated for LNG sloshing, including nonlinear free surface, transient pressure distribution on the tank walls due to liquid impact, and energy dissipation mechanisms. By varying excitation frequencies, amplitudes, and the configuration of internal components such as baffles or anti-sloshing devices, the study explores the sloshing response and effective control strategies. The results indicate that appropriately designed baffles can significantly mitigate sloshing-induced impact pressures on tank walls and enhance system stability. In the future, this study could extend to multi-layer fluids, multi-degree-of-freedom motions, and simulations under more complex real-world conditions. Full article
(This article belongs to the Topic Marine Energy)
Show Figures

Figure 1

18 pages, 2459 KB  
Article
Influence of Groove Structures on Flow Field and Bacterial Adhesion: A CFD-DEM Coupling Study
by Lei Chen, Hongjun Ye and Xiaodong Ruan
Coatings 2026, 16(3), 321; https://doi.org/10.3390/coatings16030321 - 6 Mar 2026
Viewed by 202
Abstract
Stringent cleanliness standards govern process fluid transport in integrated circuit (IC) manufacturing. Cavitation-induced surface defects on flow control components promote bacterial adhesion, thereby compromising wafer fabrication. To elucidate the coupling mechanisms among surface topography, hydrodynamics, and bacterial retention, this study utilizes a one-way [...] Read more.
Stringent cleanliness standards govern process fluid transport in integrated circuit (IC) manufacturing. Cavitation-induced surface defects on flow control components promote bacterial adhesion, thereby compromising wafer fabrication. To elucidate the coupling mechanisms among surface topography, hydrodynamics, and bacterial retention, this study utilizes a one-way coupled Computational Fluid Dynamics and Discrete Element Method (CFD-DEM) approach integrated with extended Derjaguin–Landau–Verwey–Overbeek (XDLVO) theory. We constructed a numerical model of rod-shaped Pseudomonas aeruginosa, integrated with a customized API-based coupling scheme to resolve temporal scale disparities, and systematically simulated flow evolution and adhesion behaviors across varying groove geometries (quadrilateral, triangular, and semicircular) and inlet velocities (1–3 m/s). The results indicate that groove-induced flow separation and recirculation vortices drive bacterial accumulation at the trailing edge. Triangular profiles exhibited superior flow stability, yielding significantly lower adhesion than quadrilateral and semicircular shapes. Bacterial retention scaled inversely with flow velocity due to enhanced hydrodynamic shear. These findings provide theoretical and engineering insights for the anti-contamination design of ultra-clean flow control components in IC manufacturing. Full article
(This article belongs to the Section Environmental Aspects in Colloid and Interface Science)
Show Figures

Figure 1

14 pages, 3103 KB  
Article
High-Frequency Water-Level Oscillations in a Semi-Enclosed Embayment
by Yongfei Deng, Xiao Hua Wang, Zhibing Li, Yanni Wang and Gang Yang
Water 2026, 18(5), 611; https://doi.org/10.3390/w18050611 - 4 Mar 2026
Viewed by 262
Abstract
Two types of high-frequency water-level oscillations, wind waves and gravity waves in Batemans Bay, New South Wales, Australia, were analyzed by observed water-level and significant wave height data combined with numerical modelling output. The high-frequency wind waves were closely correlated with the tidal-depth [...] Read more.
Two types of high-frequency water-level oscillations, wind waves and gravity waves in Batemans Bay, New South Wales, Australia, were analyzed by observed water-level and significant wave height data combined with numerical modelling output. The high-frequency wind waves were closely correlated with the tidal-depth change, giving strong evidence of wave–tide coupling and its phase-locked manner. This was supported by modelling the effect of bottom friction induced by a sandbar southeast of the water-level measurement site. The lower-frequency quarter wave, a type of gravity wave, oscillated across the whole bay. Its frequency of approximately 1 h was close to the theoretical value based on the bay dimensions. The topographic and geometric settings of the bay are the principal reasons for the characteristics of these waves. This observation has significant implications for the bay–shelf water exchange and induced hydrodynamics in similar embayments elsewhere in the world. Full article
(This article belongs to the Special Issue Application of Numerical Modeling in Estuarine and Coastal Dynamics)
Show Figures

Figure 1

14 pages, 5861 KB  
Article
Hydrodynamic Performance of Liquid Film Seals with Non-Newtonian and Thermal Fluid Lubrication
by Tianzhao Li, Bo Yu, Muming Hao, Fuyu Liu and Yuhan Song
Lubricants 2026, 14(3), 110; https://doi.org/10.3390/lubricants14030110 - 3 Mar 2026
Viewed by 358
Abstract
This study investigates the non-Newtonian effects on liquid film seal performance by considering cavitation and thermoelastic deformation—critical factors in high-pressure sealing applications such as nuclear reactor coolant pumps and aerospace systems. We developed a coupled numerical model that simultaneously solves the Reynolds equation [...] Read more.
This study investigates the non-Newtonian effects on liquid film seal performance by considering cavitation and thermoelastic deformation—critical factors in high-pressure sealing applications such as nuclear reactor coolant pumps and aerospace systems. We developed a coupled numerical model that simultaneously solves the Reynolds equation using a power-law constitutive model to analyze hydrodynamic performance and employs the energy equation and thermal-structural analysis to determine the temperature distribution and radial taper deformation of the seal rings. The results reveal that the power-law exponent (n) critically influences sealing behavior: shear-thinning fluids (n < 1) reduce the load capacity by 12.7% due to expanded cavitation zones, whereas shear-thickening fluids (n > 1) increase the friction torque by 18.3% through thermally-induced tapered convergence effects. We established quantitative relationships between rheological properties, thermal deformation, and sealing performance, demonstrating that non-Newtonian characteristics fundamentally alter the fluid–structure interaction mechanisms in liquid-film seals. These findings provide a theoretical foundation for optimizing seal designs under extreme operating conditions where conventional Newtonian assumptions prove inadequate, particularly addressing the critical need for enhanced reliability in nuclear and aerospace sealing systems. Full article
(This article belongs to the Special Issue Mechanical Tribology and Surface Technology, 2nd Edition)
Show Figures

Figure 1

Back to TopTop