Nonlinear Characterisation of Wind Turbine Gearbox Vibration Dynamics Driven by Inhomogeneous Helical Gear Wear
Abstract
1. Introduction
2. Wear Distribution in Helical Gears
3. Time Variation in Mesh Stiffness Resulting from Non-Uniform Wear
4. Determination of Frictional Excitations
5. Numerical Model of a Two-Stage Helical Gearbox
6. Effects of Operating Parameters
7. Vibration Spectra Calculations
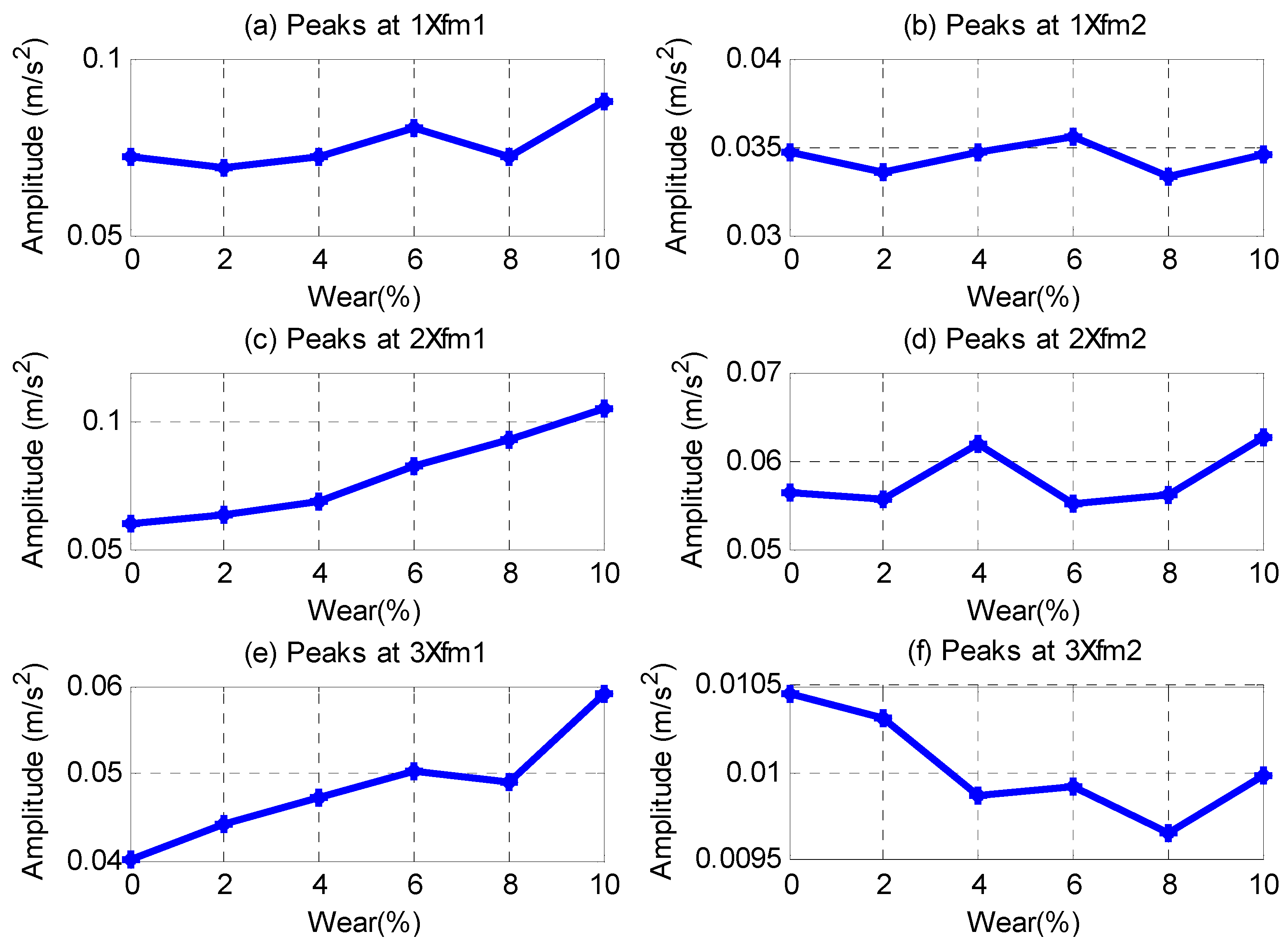
8. Vibration at Meshing Frequencies
9. Vibration at Sideband Frequency Components
10. Conclusions
Author Contributions
Funding
Data Availability Statement
Acknowledgments
Conflicts of Interest
References
- Salameh, J.P.; Cauet, S.; Etien, E.; Sakout, A.; Rambault, L. Gearbox condition monitoring in wind turbines: A review. Mech. Syst. Signal Process. 2018, 111, 251–264. [Google Scholar] [CrossRef]
- Kahraman, A.; Ding, H. Wear in Gears. In Encyclopedia of Tribology; Wang, Q.J., Chung, Y.W., Eds.; Springer: Boston, MA, USA, 2013. [Google Scholar] [CrossRef]
- Hamilton, A.; Cleary, A.; Quail, F. Development of a novel wear detection system for wind turbine gearboxes. IEEE Sens. J. 2013, 14, 465–473. [Google Scholar] [CrossRef]
- Blau, P.; Walker, L.; Xu, H.; Parten, R.; Qu, J.; Geer, T. Wear Analysis of Wind Turbine Gearbox Bearings; DOE-ORNL/TM-2010/59; US Department of Energy: Oak Ridge, TN, USA, 2010.
- Ibrahim, G.; Albarbar, A.; Abouhnik, A.; Shnibha, R. Adaptive filtering based system for extracting gearbox condition feature from the measured vibrations. Measurement 2013, 46, 2029–2034. [Google Scholar] [CrossRef]
- Kahraman, A.; Bajpai, P.; Anderson, N.E. Influence of tooth profile deviations on helical gear wear. J. Mech. Des. 2005, 127, 656–663. [Google Scholar] [CrossRef]
- Wang, X.; Tang, J.; Wang, Y.; Ruan, J.; An, S. Optimal analysis of TSM fitting considering contact interface TECs of meshing gears. Adv. Mech. Eng. 2021, 13, 16878140211037765. [Google Scholar] [CrossRef]
- Gong, Y.; Fei, J.L.; Tang, J.; Yang, Z.G.; Han, Y.M.; Li, X. Failure analysis on abnormal wear of roller bearings in gearbox for wind turbine. Eng. Fail. Anal. 2017, 82, 26–38. [Google Scholar] [CrossRef]
- Kharoufeh, J.P. Explicit results for wear processes in a Markovian environment. Oper. Res. Lett. 2003, 31, 237–244. [Google Scholar] [CrossRef]
- Yuan, Z.; Wu, Y.; Zhang, K.; Dragoi, M.V.; Liu, M. Wear reliability of spur gear based on the cross-analysis method of a nonstationary random process. Adv. Mech. Eng. 2018, 10, 1687814018819294. [Google Scholar] [CrossRef]
- Yin, Z.; Liu, B.; Yang, C.; Wang, H.; Fu, X.; Xu, J.; Fan, Z. Study on the tooth surface wear characteristics of helical gears under mixed elastohydrodynamic lubrication. Mech. Sci. 2025, 16, 565–578. [Google Scholar] [CrossRef]
- Scheffer, C.; Girdhar, P. Practical Machinery Vibration Analysis and Predictive Maintenance; Elsevier: Amsterdam, The Netherlands, 2004. [Google Scholar]
- Jardine, A.K.; Lin, D.; Banjevic, D. A review on machinery diagnostics and prognostics implementing condition-based maintenance. Mech. Syst. Signal Process. 2006, 20, 1483–1510. [Google Scholar] [CrossRef]
- Li, Y.; Yuan, S.; Wu, W.; Liu, K.; Lian, C.; Song, X. Vibration analysis of two-stage helical gear transmission with cracked fault based on an improved mesh stiffness model. Machines 2022, 10, 1052. [Google Scholar] [CrossRef]
- Lei, Q.A.; Yuan, L.; Yu, X.; Sun, Y.; Li, H. Experimental-based study of gear vibration characteristics incorporating the fractal topography of tooth surface. Int. J. Mech. Syst. Dyn. 2023, 3, 173–182. [Google Scholar] [CrossRef]
- Liao, F.L.; Lu, H.L.; Huang, J.L.; Zhu, W.D. Dynamic characteristics of helical-gear systems considering axial mesh force component. Int. J. Mech. Sci. 2025, 304, 110628. [Google Scholar] [CrossRef]
- Mo, S.; Hu, Q.; Wang, L.; Cen, G.; Huang, Y. Research on stochastic dynamics of planetary gear system of wind turbine gearbox considering wear. Proc. Inst. Mech. Eng. Part C J. Mech. Eng. Sci. 2025, 239, 8233–8246. [Google Scholar] [CrossRef]
- Aherwar, A. An investigation on gearbox fault detection using vibration analysis techniques: A review. Aust. J. Mech. Eng. 2012, 10, 169–183. [Google Scholar] [CrossRef]
- Peng, Z.; Kessissoglou, N.J.; Cox, M. A study of the effect of contaminant particles in lubricants using wear debris and vibration condition monitoring techniques. Wear 2005, 258, 1651–1662. [Google Scholar] [CrossRef]
- Sun, X.; Wang, T.; Zhang, R.; Gu, F.; Ball, A.D. Numerical modelling of vibration responses of helical gears under progressive tooth wear for condition monitoring. Mathematics 2021, 9, 213. [Google Scholar] [CrossRef]
- Jia, C.; Zhang, G.; Li, G. Numerical analysis of tooth contact and wear characteristics of internal cylindrical gears with curved meshing line. Appl. Sci. 2024, 14, 5399. [Google Scholar] [CrossRef]
- Sun, Y.; Li, Y.; Zhang, Q.; Qin, X.; Chen, K. Wear analysis and simulation of small module gear based on Archard model. Eng. Fail. Anal. 2023, 144, 106990. [Google Scholar] [CrossRef]
- Mo, S.; Wang, L.; Hu, Q.; Cen, G.; Huang, Y. Coupling failure dynamics of tooth surface morphology and wear based on fractal theory. Nonlinear Dyn. 2024, 112, 175–195. [Google Scholar] [CrossRef]
- Poletto, J.C.; Fernandes, C.M.C.G.; Barros, L.Y.; Neis, P.D.; Pondicherry, K.; Fauconnier, D.; Ferreira, N.F.; Seabra, J.H.O.; De Baets, P. Identification of gear wear damage using topography analysis. Wear 2023, 522, 204837. [Google Scholar] [CrossRef]
- Mo, S.; Wang, L.; Liu, M.; Hu, Q.; Bao, H.; Cen, G.; Huang, Y. Study of the time-varying mesh stiffness of two-stage planetary gear train considering tooth surface wear. Proc. Inst. Mech. Eng. Part C J. Mech. Eng. Sci. 2024, 238, 279–297. [Google Scholar] [CrossRef]
- Andersson, A.; Vedmar, L. A dynamic model to determine vibrations in involute helical gears. J. Sound Vib. 2003, 260, 195–212. [Google Scholar] [CrossRef]
- Brethee, K.F.; Zhen, D.; Gu, F.; Ball, A.D. Helical gear wear monitoring: Modelling and experimental validation. Mech. Mach. Theory 2017, 117, 210–229. [Google Scholar] [CrossRef]
- Osman, T.; Velex, P. Static and dynamic simulations of mild abrasive wear in wide-faced solid spur and helical gears. Mech. Mach. Theory 2010, 45, 911–924. [Google Scholar] [CrossRef]
- Lundvall, O.; Klarbring, A. Simulation of wear by use of a nonsmooth Newton method—A spur gear application. Mech. Struct. Mach. 2001, 29, 223–238. [Google Scholar] [CrossRef]
- Bartelmus, W. Mathematical modelling and computer simulations as an aid to gearbox diagnostics. Mech. Syst. Signal Process. 2001, 15, 855–871. [Google Scholar] [CrossRef]
- Randall, R.B. A new method of modeling gear faults. J. Mech. Des. 1982, 104, 259–267. [Google Scholar] [CrossRef]
- Xu, Z.; Wei, J.; Zhang, S.; Liu, Z.; Chen, X.; Yan, Q.; Guo, J. A state-of-the-art review of the vibration and noise of wind turbine drivetrains. Sustain. Energy Technol. Assess. 2021, 48, 101629. [Google Scholar] [CrossRef]
- ISO 6336-1:2019; Calculation of Load Capacity of Spur and Helical Gears. ISO: Geneva, Switzerland, 2025. Available online: https://www.iso.org/standard/63819.html (accessed on 12 March 2026).
- Jiang, H.; Shao, Y.; Mechefske, C.K. Dynamic characteristics of helical gears under sliding friction with spalling defect. Eng. Fail. Anal. 2014, 39, 92–107. [Google Scholar] [CrossRef]
- He, S.; Gunda, R.; Singh, R. Inclusion of sliding friction in contact dynamics model for helical gears. J. Mech. Des. 2007, 129, 48–57. [Google Scholar] [CrossRef]
- Liu, G.; Parker, R.G. Impact of tooth friction and its bending effect on gear dynamics. J. Sound Vib. 2009, 320, 1039–1063. [Google Scholar] [CrossRef]
- Li, S.; Kahraman, A. A tribo-dynamic model of a spur gear pair. J. Sound Vib. 2013, 332, 4963–4978. [Google Scholar] [CrossRef]
- Xu, H. Development of a Generalized Mechanical Efficiency Prediction Methodology for Gear Pairs. Doctoral Dissertation, Ohio State University, Columbus, OH, USA, 2005. Available online: http://rave.ohiolink.edu/etdc/view?acc_num=osu1128372109 (accessed on 12 March 2026).
- Brethee, K.F.; Gu, F.; Ball, A.D. Frictional effects on the dynamic responses of gear systems and the diagnostics of tooth breakages. Syst. Sci. Control Eng. 2016, 4, 270–284. [Google Scholar] [CrossRef]












Disclaimer/Publisher’s Note: The statements, opinions and data contained in all publications are solely those of the individual author(s) and contributor(s) and not of MDPI and/or the editor(s). MDPI and/or the editor(s) disclaim responsibility for any injury to people or property resulting from any ideas, methods, instructions or products referred to in the content. |
© 2026 by the authors. Licensee MDPI, Basel, Switzerland. This article is an open access article distributed under the terms and conditions of the Creative Commons Attribution (CC BY) license.
Share and Cite
Brethee, K.F.; Ibrahim, G.R.; Albarbar, A.-H. Nonlinear Characterisation of Wind Turbine Gearbox Vibration Dynamics Driven by Inhomogeneous Helical Gear Wear. Vibration 2026, 9, 20. https://doi.org/10.3390/vibration9010020
Brethee KF, Ibrahim GR, Albarbar A-H. Nonlinear Characterisation of Wind Turbine Gearbox Vibration Dynamics Driven by Inhomogeneous Helical Gear Wear. Vibration. 2026; 9(1):20. https://doi.org/10.3390/vibration9010020
Chicago/Turabian StyleBrethee, Khaldoon F., Ghalib R. Ibrahim, and Al-Hussein Albarbar. 2026. "Nonlinear Characterisation of Wind Turbine Gearbox Vibration Dynamics Driven by Inhomogeneous Helical Gear Wear" Vibration 9, no. 1: 20. https://doi.org/10.3390/vibration9010020
APA StyleBrethee, K. F., Ibrahim, G. R., & Albarbar, A.-H. (2026). Nonlinear Characterisation of Wind Turbine Gearbox Vibration Dynamics Driven by Inhomogeneous Helical Gear Wear. Vibration, 9(1), 20. https://doi.org/10.3390/vibration9010020

