Sign in to use this feature.

Years

Between: -

Subjects

remove_circle_outline
remove_circle_outline
remove_circle_outline
remove_circle_outline
remove_circle_outline
remove_circle_outline
remove_circle_outline
remove_circle_outline
remove_circle_outline

Journals

Article Types

Countries / Regions

Search Results (15)

Search Parameters:
Keywords = hybrid e-voting

Order results
Result details
Results per page
Select all
Export citation of selected articles as:
23 pages, 8529 KB  
Article
Machine Learning-Driven Consensus Modeling for Activity Ranking and Chemical Landscape Analysis of HIV-1 Inhibitors
by Danishuddin, Md Azizul Haque, Geet Madhukar, Qazi Mohammad Sajid Jamal, Jong-Joo Kim and Khurshid Ahmad
Pharmaceuticals 2025, 18(5), 714; https://doi.org/10.3390/ph18050714 - 13 May 2025
Cited by 2 | Viewed by 1760
Abstract
Background/Objective: This study aimed to develop a predictive model to classify and rank highly active compounds that inhibit HIV-1 integrase (IN). Methods: A total of 2271 potential HIV-1 inhibitors were selected from the ChEMBL database. The most relevant molecular descriptors were identified [...] Read more.
Background/Objective: This study aimed to develop a predictive model to classify and rank highly active compounds that inhibit HIV-1 integrase (IN). Methods: A total of 2271 potential HIV-1 inhibitors were selected from the ChEMBL database. The most relevant molecular descriptors were identified using a hybrid GA-SVM-RFE approach. Predictive models were built using Random Forest (RF), eXtreme Gradient Boosting (XGBoost), Support Vector Machines (SVM), and Multi-Layer Perceptron (MLP). The models underwent a comprehensive evaluation employing calibration, Y-randomization, and Net Gain methodologies. Results: The four models demonstrated intense calibration, achieving an accuracy greater than 0.88 and an area under the curve (AUC) exceeding 0.90. Net Gain at a high probability threshold indicates that the models are both effective and highly selective, ensuring more reliable predictions with greater confidence. Additionally, we combine the predictions of multiple individual models by using majority voting to determine the final prediction for each compound. The Rank Score (weighted sum) serves as a confidence indicator for the consensus prediction, with the majority of highly active compounds identified through high scores in both the 2D descriptors and ECFP4-based models, highlighting the models’ effectiveness in predicting potent inhibitors. Furthermore, cluster analysis identified significant classes associated with vigorous biological activity. Conclusions: Some clusters were found to be enriched in highly potent compounds while maintaining moderate scaffold diversity, making them promising candidates for exploring unique chemical spaces and identifying novel lead compounds. Overall, this study provides valuable insights into predicting integrase binders, thereby enhancing the accuracy of predictive models. Full article
Show Figures

Figure 1

18 pages, 2917 KB  
Article
A Convolutional Neural Network Tool for Early Diagnosis and Precision Surgery in Endometriosis-Associated Ovarian Cancer
by Christian Macis, Miriam Santoro, Vladislav Zybin, Stella Di Costanzo, Camelia Alexandra Coada, Giulia Dondi, Pierandrea De Iaco, Anna Myriam Perrone and Lidia Strigari
Appl. Sci. 2025, 15(6), 3070; https://doi.org/10.3390/app15063070 - 12 Mar 2025
Cited by 3 | Viewed by 1826
Abstract
Background/Objectives: The aim of this study was the early identification of endometriosis-associated ovarian cancer (EAOC) versus non-endometriosis associated ovarian cancer (NEOC) or non-cancerous tissues using pre-surgery contrast-enhanced-Computed Tomography (CE-CT) images in patients undergoing surgery for suspected ovarian cancer (OC). Methods: A [...] Read more.
Background/Objectives: The aim of this study was the early identification of endometriosis-associated ovarian cancer (EAOC) versus non-endometriosis associated ovarian cancer (NEOC) or non-cancerous tissues using pre-surgery contrast-enhanced-Computed Tomography (CE-CT) images in patients undergoing surgery for suspected ovarian cancer (OC). Methods: A prospective trial was designed to enroll patients undergoing surgery for suspected OC. Volumes of interest (VOIs) were semiautomatically segmented on CE-CT images and classified according to the histopathological results. The entire dataset was divided into training (70%), validation (10%), and testing (20%). A Python pipeline was developed using the transfer learning approach, adopting four different convolution neural networks (CNNs). Each architecture (i.e., VGG19, Xception, ResNet50, and DenseNet121) was trained on each of the axial slices of CE-CT images and refined using the validation dataset. The results of each CNN model for each slice within a VOI were combined using three rival machine learning (ML) models, i.e., Random Forest (RF), Gradient Boosting (GB), and K-Nearest Neighbor (KNN), to obtain a final output distinguishing between EAOC and NEOC, and between EAOC/NEOC and non-tumoral tissues. Furthermore, the performance of each hybrid model and the majority voting ensemble of the three competing ML models were evaluated using trained and refined hybrid CNN models combined with Support Vector Machine (SVM) algorithms, with the best-performing model selected as the benchmark. Each model’s performance was assessed based on the area under the receiver operating characteristic (ROC) curve (AUC), F1-score, sensitivity, and specificity. These metrics were then integrated into a Machine Learning Cumulative Performance Score (MLcps) to provide a comprehensive evaluation on the test dataset. Results: An MLcps value of 0.84 identified the VGG19 + majority voting ensemble as the optimal model for distinguishing EAOC from NEOC, achieving an AUC of 0.85 (95% CI: 0.70–0.98). In contrast, the VGG19 + SVM model, with an MLcps value of 0.76, yielded an AUC of 0.79 (95% CI: 0.63–0.93). For differentiating EAOC/NEOC from non-tumoral tissues, the VGG19 + SVM model demonstrated superior performance, with an MLcps value of 0.93 and an AUC of 0.97 (95% CI: 0.92–1.00). Conclusions: Hybrid models based on CE-CT have the potential to differentiate EAOC and NEOC patients as well as between OC (EAOC and NEOC) and non-tumoral ovaries, thus potentially supporting gynecological surgeons in personalized surgical approaches such as more conservative procedures. Full article
(This article belongs to the Special Issue Artificial Intelligence in Medical Diagnostics: Second Edition)
Show Figures

Figure 1

28 pages, 8067 KB  
Article
Enhancing Cataract Detection through Hybrid CNN Approach and Image Quadration: A Solution for Precise Diagnosis and Improved Patient Care
by Van-Viet Nguyen and Chun-Ling Lin
Electronics 2024, 13(12), 2344; https://doi.org/10.3390/electronics13122344 - 15 Jun 2024
Cited by 1 | Viewed by 2878
Abstract
Cataracts, characterized by lens opacity, pose a significant global health concern, leading to blurred vision and potential blindness. Timely detection is crucial, particularly in regions with a shortage of ophthalmologists, where manual diagnosis is time-consuming. While deep learning and convolutional neural networks (CNNs) [...] Read more.
Cataracts, characterized by lens opacity, pose a significant global health concern, leading to blurred vision and potential blindness. Timely detection is crucial, particularly in regions with a shortage of ophthalmologists, where manual diagnosis is time-consuming. While deep learning and convolutional neural networks (CNNs) offer promising solutions, existing models often struggle with diverse datasets. This study introduces a hybrid CNN approach, training on both full retinal fundus images and quadrated parts (i.e., the fundus images divided into four segments). Majority voting is utilized to enhance accuracy, resulting in a superior performance of 97.12%, representing a 1.44% improvement. The hybrid model facilitates early cataract detection, aiding in preventing vision impairment. Integrated into applications, it supports ophthalmologists by providing rapid, cost-efficient predictions. Beyond cataract detection, this research addresses broader computer vision challenges, contributing to various applications. In conclusion, our proposed approach, combining CNNs and image quadration enhances cataract detection’s accuracy, robustness, and generalization. This innovation holds promise for improving patient care and aiding ophthalmologists in precise cataract diagnosis. Full article
Show Figures

Figure 1

38 pages, 603 KB  
Review
Blockchain-Based E-Voting Systems: A Technology Review
by Mohammad Hajian Berenjestanaki, Hamid R. Barzegar, Nabil El Ioini and Claus Pahl
Electronics 2024, 13(1), 17; https://doi.org/10.3390/electronics13010017 - 19 Dec 2023
Cited by 63 | Viewed by 84916
Abstract
The employment of blockchain technology in electronic voting (e-voting) systems is attracting significant attention due to its ability to enhance transparency, security, and integrity in digital voting. This study presents an extensive review of the existing research on e-voting systems that rely on [...] Read more.
The employment of blockchain technology in electronic voting (e-voting) systems is attracting significant attention due to its ability to enhance transparency, security, and integrity in digital voting. This study presents an extensive review of the existing research on e-voting systems that rely on blockchain technology. The study investigates a range of key research concerns, including the benefits, challenges, and impacts of such systems, together with technologies and implementations, and an identification of future directions of research in this domain. We use a hybrid review approach, applying systematic literature review principles to select and categorize scientific papers and reviewing the technology used in these in terms of the above key concerns. In the 252 selected papers, aspects such as security, transparency, and decentralization are frequently emphasized as the main benefits. In contrast, although aspects like privacy, verifiability, efficiency, trustworthiness, and auditability receive significant attention, they are not the primary focus. We observed a relative lack of emphasis on aspects such as accessibility, compatibility, availability, and usability in the reviewed literature. These aspects, although acknowledged, are not as thoroughly discussed as the aforementioned key benefits in the proposed solutions for blockchain-based e-voting systems, whereas the considered studies have proposed well-structured solutions for blockchain-based e-voting systems focusing on how blockchain can strengthen security, transparency, and privacy, in particular, the crucial aspect of scalability needs attention. Full article
(This article belongs to the Special Issue Advancement in Blockchain Technology and Applications)
Show Figures

Figure 1

25 pages, 17062 KB  
Article
A Hybrid Autoformer Network for Air Pollution Forecasting Based on External Factor Optimization
by Kai Pan, Jiang Lu, Jiaren Li and Zhenyi Xu
Atmosphere 2023, 14(5), 869; https://doi.org/10.3390/atmos14050869 - 14 May 2023
Cited by 15 | Viewed by 3358
Abstract
Exposure to air pollution will pose a serious threat to human health. Accurate air pollution forecasting can help people to reduce exposure risks and promote environmental pollution control, and it is also an extremely important part of smart city management. However, the current [...] Read more.
Exposure to air pollution will pose a serious threat to human health. Accurate air pollution forecasting can help people to reduce exposure risks and promote environmental pollution control, and it is also an extremely important part of smart city management. However, the current deep-learning-based models for air pollution forecasting usually focus on prediction accuracy improvement without considering the model interpretability. These models usually fail to explain the complex relationships between prediction targets and external factors (e.g., ozone concentration (O3), wind speed, temperature variation, etc.) The relationships between variables in air pollution time series prediction problems are very complex, with intricate relationships between different types of variables, often with nonlinear multivariate dependencies. To address these problems mentioned above, we proposed a hybrid autoformer network with a genetic algorithm optimization to predict air pollution temporal variation as well as establish interpretable relationships between pollutants and external variables. Furthermore, an elite variable voting operator was designed to better filter out more important external factors such as elite variables, so as to perform a more refined search for elite variables. Moreover, we designed an archive storage operator to reduce the effect of neural network model initialization on the search for external variables. Finally, we conducted comprehensive experiments on the Ma’anshan air pollution dataset to verify the proposed model, where the prediction accuracy was improved by 2–8%, and the selection of model influencing factors was more interpretable. Full article
Show Figures

Figure 1

28 pages, 40989 KB  
Article
Spatial Prediction of Groundwater Withdrawal Potential Using Shallow, Hybrid, and Deep Learning Algorithms in the Toudgha Oasis, Southeast Morocco
by Lamya Ouali, Lahcen Kabiri, Mustapha Namous, Mohammed Hssaisoune, Kamal Abdelrahman, Mohammed S. Fnais, Hichame Kabiri, Mohammed El Hafyani, Hassane Oubaassine, Abdelkrim Arioua and Lhoussaine Bouchaou
Sustainability 2023, 15(5), 3874; https://doi.org/10.3390/su15053874 - 21 Feb 2023
Cited by 15 | Viewed by 3585
Abstract
Water availability is a key factor in territorial sustainable development. Moreover, groundwater constitutes the survival element of human life and ecosystems in arid oasis areas. Therefore, groundwater potential (GWP) identification represents a crucial step for its management and sustainable development. This study aimed [...] Read more.
Water availability is a key factor in territorial sustainable development. Moreover, groundwater constitutes the survival element of human life and ecosystems in arid oasis areas. Therefore, groundwater potential (GWP) identification represents a crucial step for its management and sustainable development. This study aimed to map the GWP using ten algorithms, i.e., shallow models comprising: multilayer perceptron, k-nearest neighbor, decision tree, and support vector machine algorithms; hybrid models comprising: voting, random forest, adaptive boosting, gradient boosting (GraB), and extreme gradient boosting; and the deep learning neural network. The GWP inventory map was prepared using 884 binary data, with “1” indicating a high GWP and “0” indicating an extremely low GWP. Twenty-three GWP-influencing factors have been classified into numerical data using the frequency ration method. Afterwards, they were selected based on their importance and multi-collinearity tests. The predicted GWP maps show that, on average, only 11% of the total area was predicted as a very high GWP zone and 17% and 51% were estimated as low and very low GWP zones, respectively. The performance analyses demonstrate that the applied algorithms have satisfied the validation standards for both training and validation tests with an average area under curve of 0.89 for the receiver operating characteristic. Furthermore, the models’ prioritization has selected the GraB model as the outperforming algorithm for GWP mapping. This study provides decision support tools for sustainable development in an oasis area. Full article
(This article belongs to the Special Issue Sustainable Water Resources Planning and Management)
Show Figures

Figure 1

22 pages, 6406 KB  
Article
Evaluation of Heated Window System to Enhance Indoor Thermal Comfort and Reduce Heating Demands Based on Simulation Analysis in South Korea
by Hyomun Lee, Kyungwoo Lee, Eunho Kang, Dongsu Kim, Myunghwan Oh and Jongho Yoon
Energies 2023, 16(3), 1481; https://doi.org/10.3390/en16031481 - 2 Feb 2023
Cited by 3 | Viewed by 3057
Abstract
Heated glass can be applied to improve windows’ condensation resistance and indoor thermal comfort in buildings. Although this applied technology has advantages, there are still some concerns in practical applications, such as additional energy consumption and control issues. This study evaluates the effectiveness [...] Read more.
Heated glass can be applied to improve windows’ condensation resistance and indoor thermal comfort in buildings. Although this applied technology has advantages, there are still some concerns in practical applications, such as additional energy consumption and control issues. This study evaluates the effectiveness of a heated window heating (HWH) system in terms of thermal comfort and heating energy performance (HEP). The simulation-based analysis is performed to evaluate the effectiveness of the HWH using a residential building model and to compare it with radiant floor heating (RFH) and hybrid heating (HH) systems (i.e., combined HWH and RFH). This study also investigates the peak and cumulative heating loads using HWH systems with various scenarios of control methods and setpoint temperature. The predicted mean vote (PMV) is used as an indoor thermal comfort index. The ratio of cumulative thermal comfort time to the entire heating period is calculated. The results show that HWH and HH can reduce the heating load by up to 65.60% and 50.95%, respectively, compared to RFH. In addition, the times of thermal comfort can be increased by 12.55% and 6.98% with HWH and HH, respectively. However, considering the social practices of South Korea, HH is more suitable than HWH. Further investigations for HH show that a surface setpoint of 26 °C is proper, considering both heating demands and thermal comfort. In addition, the setpoint temperature should be determined considering HEP and the thermal comfort for HWH, and the optimal setpoint temperature was suggested under specific conditions. Full article
Show Figures

Figure 1

19 pages, 1213 KB  
Article
DL-MDF-OH2: Optimized Deep Learning-Based Monkeypox Diagnostic Framework Using the Metaheuristic Harris Hawks Optimizer Algorithm
by Saleh Ateeq Almutairi
Electronics 2022, 11(24), 4077; https://doi.org/10.3390/electronics11244077 - 8 Dec 2022
Cited by 28 | Viewed by 3387
Abstract
At the time the world is attempting to get over the damage caused by the COVID-19 spread, the monkeypox virus threatens to evolve into a global pandemic. Human monkeypox was first recognized in Africa and has recently emerged in 103 countries outside Africa. [...] Read more.
At the time the world is attempting to get over the damage caused by the COVID-19 spread, the monkeypox virus threatens to evolve into a global pandemic. Human monkeypox was first recognized in Africa and has recently emerged in 103 countries outside Africa. However, monkeypox diagnosis in an early stage is difficult because of the similarity between it, chickenpox, cowpox and measles. In some cases, computer-assisted detection of monkeypox lesions can be helpful for quick identification of suspected cases. Infected and uninfected cases have added to a growing dataset that is publicly accessible and may be utilized by machine and deep learning to predict the suspected cases at an early stage. Motivated by this, a diagnostic framework to categorize the cases of patients into four categories (i.e., normal, monkeypox, chicken pox and measles) is proposed. The diagnostic framework is a hybridization of pre-trained Convolution Neural Network (CNN) models, machine learning classifiers and a metaheuristic optimization algorithm. The hyperparameters of the five pre-trained models (i.e., VGG19, VGG16, Xception, MobileNet and MobileNetV2) are optimized using a Harris Hawks Optimizer (HHO) metaheuristic algorithm. After that, the features can be extracted from the feature extraction and reduction layers. These features are classified using seven machine learning models (i.e., Random Forest, AdaBoost, Histogram Gradient Boosting, Gradient Boosting, Support Vector Machine, Extra Trees and KNN). For each classifier, 10-fold cross-validation is used to train and test the classifiers on the features and the weighted average performance metrics are reported. The predictions from the pre-trained model and machine learning classifiers are then processed using majority voting. This study conducted the experiments on two datasets (i.e., Monkeypox Skin Images Dataset (MSID) and Monkeypox Images Dataset (MPID)). MSID dataset values 97.67%, 95.19%, 97.96%, 95.11%, 96.58%, 95.10%, 90.93% and 96.65% are achieved concerning accuracy, sensitivity, specificity, PPV, BAC, F1, IoU and ROC, respectively. While for the MPID dataset, values of 97.51%, 94.84%, 94.48%, 94.96%, 96.66%, 94.88%, 90.45% and 96.69% are achieved concerning accuracy, sensitivity, specificity, PPV, BAC, F1, IoU and ROC, respectively. Full article
Show Figures

Figure 1

13 pages, 367 KB  
Article
PSO-Driven Feature Selection and Hybrid Ensemble for Network Anomaly Detection
by Maya Hilda Lestari Louk and Bayu Adhi Tama
Big Data Cogn. Comput. 2022, 6(4), 137; https://doi.org/10.3390/bdcc6040137 - 13 Nov 2022
Cited by 12 | Viewed by 4256
Abstract
As a system capable of monitoring and evaluating illegitimate network access, an intrusion detection system (IDS) profoundly impacts information security research. Since machine learning techniques constitute the backbone of IDS, it has been challenging to develop an accurate detection mechanism. This study aims [...] Read more.
As a system capable of monitoring and evaluating illegitimate network access, an intrusion detection system (IDS) profoundly impacts information security research. Since machine learning techniques constitute the backbone of IDS, it has been challenging to develop an accurate detection mechanism. This study aims to enhance the detection performance of IDS by using a particle swarm optimization (PSO)-driven feature selection approach and hybrid ensemble. Specifically, the final feature subsets derived from different IDS datasets, i.e., NSL-KDD, UNSW-NB15, and CICIDS-2017, are trained using a hybrid ensemble, comprising two well-known ensemble learners, i.e., gradient boosting machine (GBM) and bootstrap aggregation (bagging). Instead of training GBM with individual ensemble learning, we train GBM on a subsample of each intrusion dataset and combine the final class prediction using majority voting. Our proposed scheme led to pivotal refinements over existing baselines, such as TSE-IDS, voting ensembles, weighted majority voting, and other individual ensemble-based IDS such as LightGBM. Full article
Show Figures

Figure 1

33 pages, 1298 KB  
Review
A Review of Cryptographic Electronic Voting
by Yun-Xing Kho, Swee-Huay Heng and Ji-Jian Chin
Symmetry 2022, 14(5), 858; https://doi.org/10.3390/sym14050858 - 21 Apr 2022
Cited by 26 | Viewed by 15095
Abstract
A vast number of e-voting schemes including mix-net-based e-voting, homomorphic e-voting, blind signature-based e-voting, blockchain-based e-voting, post-quantum e-voting, and hybrid e-voting have been proposed in the literature for better security and practical implementation. In this paper, we review various e-voting approaches to date. [...] Read more.
A vast number of e-voting schemes including mix-net-based e-voting, homomorphic e-voting, blind signature-based e-voting, blockchain-based e-voting, post-quantum e-voting, and hybrid e-voting have been proposed in the literature for better security and practical implementation. In this paper, we review various e-voting approaches to date. We first compare the structures, advantages, and disadvantages of the different e-voting approaches. We then summarise the security properties of the e-voting approaches in terms of their functional requirements and security requirements. In addition, we provide a comprehensive review of various types of e-voting approaches in terms of their security properties, underlying tools, distinctive features, and weaknesses. We also discuss some practical considerations in the design of e-voting systems. Subsequently, some potential research directions are suggested based on our observations. Full article
Show Figures

Figure 1

23 pages, 8322 KB  
Article
Effects of Air Supply Terminal Devices on the Performance of Variable Refrigerant Flow Integrated Stratum Ventilation System: An Experimental Study
by Yat Huang Yau, Umair Ahmed Rajput, Altaf Hussain Rajpar and Natalia Lastovets
Energies 2022, 15(4), 1265; https://doi.org/10.3390/en15041265 - 9 Feb 2022
Cited by 7 | Viewed by 3252
Abstract
A variable refrigerant flow integrated stratum ventilation (VRF-SV) system was proposed as an energy efficient substitute for conventional central cooling systems for buildings. The novel system provided conditioned air to enclosed spaces with high indoor air quality and thermal comfort. This study investigated [...] Read more.
A variable refrigerant flow integrated stratum ventilation (VRF-SV) system was proposed as an energy efficient substitute for conventional central cooling systems for buildings. The novel system provided conditioned air to enclosed spaces with high indoor air quality and thermal comfort. This study investigated the effects of different types of ASTDs on the performance of the VRF-SV hybrid system. The performance was experimentally evaluated with five air terminal types, including bar grille, double deflection grille, jet slot, perforated and drum louver diffusers. The evaluation was carried out using standard indices: temperature and velocity distribution, airflow pattern, effective draft temperature (EDT), air distribution performance index (ADPI), thermal sensation vote and comfort feedback survey. The results indicated that the ASTD type had a significant impact on airflow pattern. Furthermore, the bar grille diffuser provided the occupants with greater thermal comfort and acceptable indoor environment. Almost all the EDT values determined in the breathing zone in the case with bar grille diffuser found under the satisfactory range, i.e., −1.2 < K < 1.2. Based on these values, the ADPI for bar grille diffuser was calculated as 92.8%. Thus, the bar grille diffuser is recommended to be installed with the VRF-SV hybrid system in buildings. Full article
(This article belongs to the Special Issue Sustainable Buildings: Heating, Ventilation and Air-Conditioning)
Show Figures

Figure 1

15 pages, 5585 KB  
Article
Effects of Supply Angle on Thermal Environment of Residential Space with Hybrid Desiccant Cooling System for Multi-Room Control
by Joon Ahn and Ho Yup Choi
Appl. Sci. 2020, 10(20), 7271; https://doi.org/10.3390/app10207271 - 17 Oct 2020
Cited by 9 | Viewed by 3430
Abstract
In this study, local measurement and computational fluid dynamics (CFD) were employed to evaluate the thermal comfort in a residential environment where desiccant cooling is performed in an outdoor air condition, which is the typical summer weather in Korea. The desiccant cooling system [...] Read more.
In this study, local measurement and computational fluid dynamics (CFD) were employed to evaluate the thermal comfort in a residential environment where desiccant cooling is performed in an outdoor air condition, which is the typical summer weather in Korea. The desiccant cooling system in the present study has been developed for multi-room control with a hybrid air distribution, whereby mixing and displacement ventilation occur simultaneously. Due to this distribution of air flow, the thermal comfort was changed, and the thermal comfort indicators conflicted. The evaluation indicators included the ASHRAE (American Society of Heating, Refrigerating and Air-Conditioning Engineers) comfort zone, predicted mean vote (PMV), and effective draft temperature (EDT). The dry-bulb temperature displayed a distribution of 26.2–26.8 °C in the cooling spaces, i.e., living room, kitchen, and dining room. When determined based on the standard ASHRAE comfort zone, the space where desiccant cooling takes place entered the comfort zone for summer. Due to the influence of solar radiation, the globe temperature was more than 2 °C higher than the dry-bulb temperature at the window. A difference of up to 6% in humidity was observed locally in the cooling space. In the dining room located along the outlet of the desiccant cooling device, the PMV entered the comfort zone, but was slightly above 1 in the rest of the space. Conversely, as for the EDT, its value was lower than −1.7 in the dining room, but was included in the comfort zone in the rest of the space. By adjusting the discharge angle upward, the PMV and EDT were expected to be more uniform in the cooling space. In particular, the optimum discharge angle obtained was 40° upward from the discharge surface. Full article
(This article belongs to the Special Issue Sciences and Innovations in Heat Pump/Refrigeration: Volume II)
Show Figures

Figure 1

23 pages, 9303 KB  
Article
Evaporative Cooling Options for Building Air-Conditioning: A Comprehensive Study for Climatic Conditions of Multan (Pakistan)
by Shazia Noor, Hadeed Ashraf, Muhammad Sultan and Zahid Mahmood Khan
Energies 2020, 13(12), 3061; https://doi.org/10.3390/en13123061 - 12 Jun 2020
Cited by 22 | Viewed by 7732
Abstract
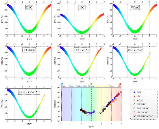
This study provides comprehensive details of evaporative cooling options for building air-conditioning (AC) in Multan (Pakistan). Standalone evaporative cooling and standalone vapor compression AC (VCAC) systems are commonly used in Pakistan. Therefore, seven AC system configurations comprising of direct evaporative cooling (DEC), indirect [...] Read more.
This study provides comprehensive details of evaporative cooling options for building air-conditioning (AC) in Multan (Pakistan). Standalone evaporative cooling and standalone vapor compression AC (VCAC) systems are commonly used in Pakistan. Therefore, seven AC system configurations comprising of direct evaporative cooling (DEC), indirect evaporative cooling (IEC), VCAC, and their possible combinations, are explored for the climatic conditions of Multan. The study aims to explore the optimum AC system configuration for the building AC from the viewpoints of cooling capacity, system performance, energy consumption, and CO2 emissions. A simulation model was designed in DesignBuilder and simulated using EnergyPlus in order to optimize the applicability of the proposed systems. The standalone VCAC and hybrid IEC-VCAC & IEC-DEC-VCAC system configurations could achieve the desired human thermal comfort. The standalone DEC resulted in a maximum COP of 4.5, whereas, it was 2.1 in case of the hybrid IEC-DEC-VCAC system. The hybrid IEC-DEC-VCAC system achieved maximum temperature gradient (21 °C) and relatively less CO2 emissions as compared to standalone VCAC. In addition, it provided maximum cooling capacity (184 kW for work input of 100 kW), which is 85% higher than the standalone DEC system. Furthermore, it achieved neutral to slightly cool human thermal comfort i.e., 0 to −1 predicted mean vote and 30% of predicted percentage dissatisfied. Thus, the study concludes the hybrid IEC-DEC-VCAC as an optimum configuration for building AC in Multan. Full article
(This article belongs to the Section G: Energy and Buildings)
Show Figures

Graphical abstract

17 pages, 2175 KB  
Article
A Computer Vision System Based on Majority-Voting Ensemble Neural Network for the Automatic Classification of Three Chickpea Varieties
by Razieh Pourdarbani, Sajad Sabzi, Davood Kalantari, José Luis Hernández-Hernández and Juan Ignacio Arribas
Foods 2020, 9(2), 113; https://doi.org/10.3390/foods9020113 - 21 Jan 2020
Cited by 30 | Viewed by 4564
Abstract
Since different varieties of crops have specific applications, it is therefore important to properly identify each cultivar, in order to avoid fake varieties being sold as genuine, i.e., fraud. Despite that properly trained human experts might accurately identify and classify crop varieties, computer [...] Read more.
Since different varieties of crops have specific applications, it is therefore important to properly identify each cultivar, in order to avoid fake varieties being sold as genuine, i.e., fraud. Despite that properly trained human experts might accurately identify and classify crop varieties, computer vision systems are needed since conditions such as fatigue, reproducibility, and so on, can influence the expert’s judgment and assessment. Chickpea (Cicer arietinum L.) is an important legume at the world-level and has several varieties. Three chickpea varieties with a rather similar visual appearance were studied here: Adel, Arman, and Azad chickpeas. The purpose of this paper is to present a computer vision system for the automatic classification of those chickpea varieties. First, segmentation was performed using an Hue Saturation Intensity (HSI) color space threshold. Next, color and textural (from the gray level co-occurrence matrix, GLCM) properties (features) were extracted from the chickpea sample images. Then, using the hybrid artificial neural network-cultural algorithm (ANN-CA), the sub-optimal combination of the five most effective properties (mean of the RGB color space components, mean of the HSI color space components, entropy of GLCM matrix at 90°, standard deviation of GLCM matrix at 0°, and mean third component in YCbCr color space) were selected as discriminant features. Finally, an ANN-PSO/ACO/HS majority voting (MV) ensemble methodology merging three different classifier outputs, namely the hybrid artificial neural network-particle swarm optimization (ANN-PSO), hybrid artificial neural network-ant colony optimization (ANN-ACO), and hybrid artificial neural network-harmonic search (ANN-HS), was used. Results showed that the ensemble ANN-PSO/ACO/HS-MV classifier approach reached an average classification accuracy of 99.10 ± 0.75% over the test set, after averaging 1000 random iterations. Full article
(This article belongs to the Section Food Engineering and Technology)
Show Figures

Figure 1

15 pages, 1910 KB  
Article
Multi-Agent Big-Data Lambda Architecture Model for E-Commerce Analytics
by Gautam Pal, Gangmin Li and Katie Atkinson
Data 2018, 3(4), 58; https://doi.org/10.3390/data3040058 - 1 Dec 2018
Cited by 15 | Viewed by 8389
Abstract
We study big-data hybrid-data-processing lambda architecture, which consolidates low-latency real-time frameworks with high-throughput Hadoop-batch frameworks over a massively distributed setup. In particular, real-time and batch-processing engines act as autonomous multi-agent systems in collaboration. We propose a Multi-Agent Lambda Architecture (MALA) for e-commerce data [...] Read more.
We study big-data hybrid-data-processing lambda architecture, which consolidates low-latency real-time frameworks with high-throughput Hadoop-batch frameworks over a massively distributed setup. In particular, real-time and batch-processing engines act as autonomous multi-agent systems in collaboration. We propose a Multi-Agent Lambda Architecture (MALA) for e-commerce data analytics. We address the high-latency problem of Hadoop MapReduce jobs by simultaneous processing at the speed layer to the requests which require a quick turnaround time. At the same time, the batch layer in parallel provides comprehensive coverage of data by intelligent blending of stream and historical data through the weighted voting method. The cold-start problem of streaming services is addressed through the initial offset from historical batch data. Challenges of high-velocity data ingestion is resolved with distributed message queues. A proposed multi-agent decision-maker component is placed at the MALA stack as the gateway of the data pipeline. We prove efficiency of our batch model by implementing an array of features for an e-commerce site. The novelty of the model and its key significance is a scheme for multi-agent interaction between batch and real-time agents to produce deeper insights at low latency and at significantly lower costs. Hence, the proposed system is highly appealing for applications involving big data and caters to high-velocity streaming ingestion and a massive data pool. Full article
(This article belongs to the Special Issue Data Stream Mining and Processing)
Show Figures

Figure 1

Back to TopTop