Sign in to use this feature.

Years

Between: -

Subjects

remove_circle_outline
remove_circle_outline
remove_circle_outline
remove_circle_outline
remove_circle_outline
remove_circle_outline
remove_circle_outline
remove_circle_outline
remove_circle_outline

Journals

remove_circle_outline
remove_circle_outline
remove_circle_outline
remove_circle_outline
remove_circle_outline
remove_circle_outline
remove_circle_outline
remove_circle_outline
remove_circle_outline
remove_circle_outline
remove_circle_outline
remove_circle_outline
remove_circle_outline
remove_circle_outline
remove_circle_outline
remove_circle_outline
remove_circle_outline
remove_circle_outline
remove_circle_outline

Article Types

Countries / Regions

remove_circle_outline
remove_circle_outline
remove_circle_outline
remove_circle_outline
remove_circle_outline
remove_circle_outline
remove_circle_outline
remove_circle_outline
remove_circle_outline

Search Results (5,559)

Search Parameters:
Keywords = husbandry

Order results
Result details
Results per page
Select all
Export citation of selected articles as:
13 pages, 1868 KB  
Article
The Effect of Seasonal Changes in Non-Structural Carbohydrates in Pasture on the Metabolic Profile of Horses with Laminitis
by Eva Mlyneková, Stanislav Zaťko, Marko Halo, Ivan Imrich and Marko Halo
Animals 2026, 16(2), 267; https://doi.org/10.3390/ani16020267 - 15 Jan 2026
Abstract
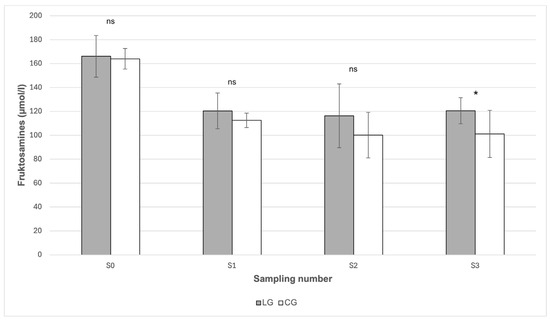
This study aimed to examine the seasonal dynamics of non-structural carbohydrates in pasture and their relationship to metabolic indicators in horses with a history of laminitis. Thirty Hucul mares were divided into a laminitis group (LG, n = 15) and a control group [...] Read more.
This study aimed to examine the seasonal dynamics of non-structural carbohydrates in pasture and their relationship to metabolic indicators in horses with a history of laminitis. Thirty Hucul mares were divided into a laminitis group (LG, n = 15) and a control group (CG, n = 15). Insulin, glucose, fructosamines concentrations and body weight were monitored during four sampling periods (S0–S3), while pasture variables were analyzed during three periods (S1–S3). The concentration of water-soluble carbohydrates was highest in May (126.8 g/kg DM) and measured lower in October (57.9 g/kg DM), while starch concentrations measured 0.1 g/kg DM in May, 25.8 g/kg DM in July, and 24.0 g/kg DM in October. No significant differences were observed in insulin concentrations between groups (p > 0.05). Glucose was significantly higher in LG in May (LG: 5.50 mmol/L; CG: 5.09 mmol/L; p < 0.05) and October (LG: 5.98 mmol/L; CG: 5.24 mmol/L; p < 0.01). Fructosamine values were higher in LG throughout the season, with significance in October (LG: 120.6 μmol/L; CG: 101.1 μmol/L; p < 0.05). Body weight increased in both LG and CG during grazing (S2), with mean values at S0 being 423.6 kg in LG and 424.8 kg in CG, and at S2 being 533.8 kg in LG and 535.6 kg in CG (p > 0.05 for between-group differences). These findings suggest a different glycemic response in laminitic horses in relation to WSC and starch concentrations and highlight starch as a potential predictor of glycemic instability. Full article
(This article belongs to the Section Equids)
Show Figures

Figure 1

34 pages, 692 KB  
Review
The Complexity of Communication in Mammals: From Social and Emotional Mechanisms to Human Influence and Multimodal Applications
by Krzysztof Górski, Stanisław Kondracki and Katarzyna Kępka-Borkowska
Animals 2026, 16(2), 265; https://doi.org/10.3390/ani16020265 - 15 Jan 2026
Abstract
Communication in mammals constitutes a complex, multimodal system that integrates visual, acoustic, tactile, and chemical signals whose functions extend beyond simple information transfer to include the regulation of social relationships, coordination of behaviour, and expression of emotional states. This article examines the fundamental [...] Read more.
Communication in mammals constitutes a complex, multimodal system that integrates visual, acoustic, tactile, and chemical signals whose functions extend beyond simple information transfer to include the regulation of social relationships, coordination of behaviour, and expression of emotional states. This article examines the fundamental mechanisms of communication from biological, neuroethological, and behavioural perspectives, with particular emphasis on domesticated and farmed species. Analysis of sensory signals demonstrates that their perception and interpretation are closely linked to the physiology of sensory organs as well as to social experience and environmental context. In companion animals such as dogs and cats, domestication has significantly modified communicative repertoires ranging from the development of specialised facial musculature in dogs to adaptive diversification of vocalisations in cats. The neurobiological foundations of communication, including the activity of the amygdala, limbic structures, and mirror-neuron systems, provide evidence for homologous mechanisms of emotion recognition across species. The article also highlights the role of communication in shaping social structures and the influence of husbandry conditions on the behaviour of farm animals. In intensive production environments, acoustic, visual, and chemical signals are often shaped or distorted by crowding, noise, and chronic stress, with direct consequences for welfare. Furthermore, the growing importance of multimodal technologies such as Precision Livestock Farming (PLF) and Animal–Computer Interaction (ACI) is discussed, particularly their role in enabling objective monitoring of emotional states and behaviour and supporting individualised care. Overall, the analysis underscores that communication forms the foundation of social functioning in mammals, and that understanding this complexity is essential for ethology, animal welfare, training practices, and the design of modern technologies facilitating human–animal interaction. Full article
(This article belongs to the Section Human-Animal Interactions, Animal Behaviour and Emotion)
8 pages, 2283 KB  
Article
Absence of Host-Specific Hemotropic Mycoplasmas in Horses and Donkeys from Croatia: First Systematic Survey in Southeastern Europe
by Nika Konstantinović, Jelena Gotić, Mirjana Baban, Goran Csik, Ema Listeš, Ema Gagović, Daria Jurković Žilić, Ivan Arežina, Gordan Šubara, Franka Emilija Čulina, Nika Delić, Dora Višal, Zlatko Zvonar, Relja Beck and Antun Kostelić
Animals 2026, 16(2), 263; https://doi.org/10.3390/ani16020263 - 15 Jan 2026
Abstract
Hemotropic mycoplasmas (hemoplasmas) are uncultivable, cell wall-less bacteria that parasitizeon the surface of red blood cells of mammals, potentially causing anemia and other systemic signs. While widely distributed among domestic and wild animals, their occurrence in equids remains poorly understood, and no species [...] Read more.
Hemotropic mycoplasmas (hemoplasmas) are uncultivable, cell wall-less bacteria that parasitizeon the surface of red blood cells of mammals, potentially causing anemia and other systemic signs. While widely distributed among domestic and wild animals, their occurrence in equids remains poorly understood, and no species has been identified as host-specific to horses or donkeys. This study presents the first systematic survey of hemoplasmas in equids from southeastern Europe and only the second molecularly confirmed case in horses in Europe. A total of 843 equids (817 horses and 26 donkeys) from different regions of Croatia, representing various ages, uses, and husbandry systems, were screened for hemoplasmas by PCR targeting the 16S rRNA gene. Only one horse tested positive, identified as Mycoplasma wenyonii, a hemoplasma typically associated with cattle. The estimated prevalence was 0.12% (95% CI: 0.003–0.68%). No donkeys were infected. The extremely low prevalence observed here—the lowest reported in any study detecting hemoplasma-positive horses—supports the hypothesis that equids do not harbor host-specific hemoplasma species and may only sporadically acquire infections from other hosts via spillover. This finding underscores the apparent absence of persistent hemoplasma lineages adapted to equids and highlights the need for further research on their epidemiology, host specificity, and transmission dynamics. Full article
(This article belongs to the Special Issue Wild and Domestic Animal Hemoparasites)
Show Figures

Figure 1

26 pages, 7456 KB  
Article
Multicellular Model Reveals the Mechanism of AEE Alleviating Vascular Endothelial Cell Injury via Anti-Inflammatory and Antioxidant Effects
by Ji Feng, Qi Tao, Meng-Zhen Li, Zhi-Jie Zhang, Qin-Fang Yu and Jian-Yong Li
Int. J. Mol. Sci. 2026, 27(2), 877; https://doi.org/10.3390/ijms27020877 - 15 Jan 2026
Abstract
Vascular endothelial injury is a key pathological characteristic of multiple diseases, such as atherosclerosis, stroke, and mastitis. Aspirin eugenol ester (AEE) has been confirmed to exert a significant protective effect on vascular endothelial injury. However, the universal action patterns and underlying mechanisms of [...] Read more.
Vascular endothelial injury is a key pathological characteristic of multiple diseases, such as atherosclerosis, stroke, and mastitis. Aspirin eugenol ester (AEE) has been confirmed to exert a significant protective effect on vascular endothelial injury. However, the universal action patterns and underlying mechanisms of AEE across different pathological scenarios have not been systematically elucidated. This study aimed to investigate the effect and mechanism of AEE in alleviating multiple vascular endothelial injury models. Nine vascular endothelial injury models were established by treating bovine aortic endothelial cells (BAECs), mouse aortic endothelial cells (MAECs), and human umbilical vein endothelial cells (Huvecs) with ethanol (EtOH), hydrogen peroxide (H2O2), and copper sulfate (CuSO4), respectively. The protective effects of AEE were systematically evaluated via morphological observation, detection of inflammatory responses, and oxidative stress markers. Furthermore, metabolomics was employed to identify and analyze differentially expressed metabolites between the nine model groups and AEE groups. AEE exerted protective effects on all nine vascular endothelial injury models, inhibiting inflammation and oxidative stress induced by all inducers. Metabolomic analysis revealed that the differentially expressed metabolites modulated by AEE in most models were primarily enriched in lipid metabolism, amino acid metabolism, coenzyme biosynthesis, and other related pathways. AEE could improve vascular endothelial injury by upregulating antioxidant substance which included eicosapentaenoic acid (EPA), choline, coenzyme A (CoA), glutathione (GSH), catalase (CAT) and superoxide dismutase (SOD), as well as downregulating substances that cause endothelial oxidative damage, including phytosphingosine (PS), palmitic acid (PA), and arachidonic acid (AA). Full article
Show Figures

Figure 1

16 pages, 2586 KB  
Article
Copper-Induced Thyroid Disruption and Oxidative Stress in Schizopygopsis younghusbandi Larvae
by Liqiao Zhong, Chi Zhang, Fei Liu, Haitao Gao, Dengyan Di, Fan Yao, Baoshan Ma, Mingdian Liu and Xinbin Duan
Antioxidants 2026, 15(1), 112; https://doi.org/10.3390/antiox15010112 - 15 Jan 2026
Abstract
In recent years, heavy metal emissions in Lhasa have been increasing, which has an impact on the local water environment. The negative effects of copper (Cu2+) on aquatic ecosystems have attracted much attention, as even low concentrations of Cu2+ can [...] Read more.
In recent years, heavy metal emissions in Lhasa have been increasing, which has an impact on the local water environment. The negative effects of copper (Cu2+) on aquatic ecosystems have attracted much attention, as even low concentrations of Cu2+ can exert toxic effects on aquatic organisms. However, the impact of Cu2+ on native fish species from the Lhasa River remains poorly understood. In this study, Schizopygopsis younghusbandi (S. younghusbandi) larvae were exposed to Cu2+ at concentrations of 0. 5, 5, 50, and 500 μg/L for 7 or 14 days to evaluate its toxic effects on thyroid function and the antioxidant system. The results indicate that whole-body total thyroxine (T4) and triiodothyronine (T3) levels were significantly decreased following Cu2+ exposure. This decrease was accompanied by a marked increase in dio1 and dio2 gene expression and decreased expression of thyroid hormone synthesis genes (nis, tg, ttf1 and pax8) after exposure to Cu2+. Furthermore, the activity of superoxide dismutase (SOD), catalase (CAT), and glutathione reductase (GR) and the content of lipid peroxidation were increased, while the content of glutathione (GSH) was decreased. In addition, the survival rates and body lengths of S. younghusbandi larvae were significantly reduced following 7- and 14-day Cu2+ exposure. The Integrated Assessment of Biomarker Response (IBR) analysis further revealed dose- and time-dependent effects of Cu2+ on the larvae. In conclusion, the findings demonstrate that Cu2+ exposure induced disruption of thyroid endocrine and antioxidant systems and caused developmental toxicity in S. younghusbandi larvae. Full article
(This article belongs to the Special Issue The Role of Oxidative Stress in Environmental Toxicity—2nd Edition)
Show Figures

Figure 1

21 pages, 4904 KB  
Article
Full-Genome Hepatitis B Virus Genotyping: A Juxtaposition of Next-Generation and Clone-Based Sequencing Approaches—Comparing Genotyping Methods of Hepatitis B Virus
by Li-Ping Hu, Qin-Yan Chen, Mei-Lin Huang, Wen-Jia Zhang, Xiao-Qian Huang, Xian-Feng Yi and Hui-Hua Jia
Viruses 2026, 18(1), 112; https://doi.org/10.3390/v18010112 - 15 Jan 2026
Abstract
Background: The enhanced sensitivity of next-generation sequencing (NGS) for assessing hepatitis B virus (HBV) quasispecies heterogeneity over clone-based sequencing (CBS) is well documented. However, its comparative reliability for genotype determination remains an open question. Objective: This study aimed to directly compare the performance [...] Read more.
Background: The enhanced sensitivity of next-generation sequencing (NGS) for assessing hepatitis B virus (HBV) quasispecies heterogeneity over clone-based sequencing (CBS) is well documented. However, its comparative reliability for genotype determination remains an open question. Objective: This study aimed to directly compare the performance of NGS and CBS for genotyping HBV using the entire viral genome. Methods: We selected five challenging clinical samples that previously could not be subgenotyped or showed conflicting results when using direct sequencing of the S open reading frame (ORF). The full HBV genome from these subjects was amplified and then analyzed in parallel by both NGS and CBS. Phylogenetic analysis was subsequently used to assign genotypes. Results: Both methods identified a range of genotypes, including B, C, and I, as well as aberrant and recombinant forms. For three of the five subjects, genotyping results were identical between the two platforms. In the remaining two cases, however, CBS revealed greater complexity, identifying additional subgenotypes and recombinant/aberrant strains not detected by NGS. Notably, for three individuals, the genotypes determined by both modern methods contradicted earlier results from 2011 based on direct S ORF sequencing. Furthermore, the specific mutations detected were incongruent between the platforms, with CBS identifying a higher number of variants than NGS. Conclusions: Our findings indicate that genotyping results from NGS and CBS can be discordant. Contrary to expectations, CBS may uncover more genetic diversity, including a greater number of subgenotypes and mutations, than NGS in certain contexts. The study also confirms that genotyping based solely on direct sequencing of the S ORF can be unreliable and lead to misclassification. Full article
(This article belongs to the Section Human Virology and Viral Diseases)
Show Figures

Figure 1

16 pages, 1713 KB  
Article
Astragalus Straw Inhibited Methane Emissions by Regulating Ruminal Fermentation Parameters and Microbial Community Dynamics in Lanzhou Fat-Tailed Sheep
by Juanshan Zheng, Wangmei Feng, Chi Ma, Xiang Pan, Tong Wang, Honghe Li, Junsong Zhang, Xiaofang Feng, Na Jiao, Siqiu Yang and Penghui Guo
Agriculture 2026, 16(2), 216; https://doi.org/10.3390/agriculture16020216 - 14 Jan 2026
Abstract
Methane (CH4), a significant greenhouse gas, ranks second only to carbon dioxide in its contribution to global warming. The application of Chinese herbs as a strategy to mitigate CH4 emissions in ruminants has shown promise. However, there is limited information [...] Read more.
Methane (CH4), a significant greenhouse gas, ranks second only to carbon dioxide in its contribution to global warming. The application of Chinese herbs as a strategy to mitigate CH4 emissions in ruminants has shown promise. However, there is limited information regarding the efficacy of Chinese herb straw in reducing CH4 emissions in ruminants. This research aimed to investigate the beneficial effects of varying levels of Astragalus straw supplementation on methane emissions and to elucidate the underlying molecular mechanisms. The study examined the effects of different supplementation levels (0%, 5%, 10%, 15%, 20%) on in vitro rumen fermentation, CH4 emissions, and ruminal microbial community in Lanzhou fat-tailed sheep using an in vitro fermentation method. The findings indicated that IVDMD, gas production, and CH4 production significantly decreased with increasing levels of Astragalus straw supplementation (p < 0.05). Simultaneously, the lowest levels of AA, AA/PA, and NH3-N, along with the highest concentrations of PA, BA, and MCP, were observed in the 20% supplementation group after 48 h of fermentation. In addition, supplementation with Astragalus straw resulted in an increased abundance of Bacteroidota, Spirochaetota, and Actinobacteriota, while decreasing the abundance of Firmicutes, Fibrobacterota, and Verrucomicrobiota. At the genus level, there was an observed increase in the abundance of Prevotella and Streptococcus, accompanied by a decrease in Rikenellaceae_RC9_gut_group. In conclusion, the supplementation of Astragalus straw has the potential to reduce CH4 production by altering ruminal fermentation patterns, fermentation parameters, and microbial dynamics. Full article
Show Figures

Figure 1

19 pages, 1138 KB  
Review
Antifungal Activity of Natural Thymol: Advances on Molecular Mechanisms and Therapeutic Potential
by Chun Chen, Lu Liu, Shusheng Tang, Daowen Li and Chongshan Dai
Biomolecules 2026, 16(1), 149; https://doi.org/10.3390/biom16010149 - 14 Jan 2026
Abstract
Currently, the increased incidence of invasive fungal infections globally is posing a significant challenge to public health. Due to drug resistance issues, the clinical efficacy of existing antifungal drugs is seriously insufficient, while new drug development progresses slowly. Consequently, there is an urgent [...] Read more.
Currently, the increased incidence of invasive fungal infections globally is posing a significant challenge to public health. Due to drug resistance issues, the clinical efficacy of existing antifungal drugs is seriously insufficient, while new drug development progresses slowly. Consequently, there is an urgent need to discover and develop novel antifungal therapeutics. Natural products have the characteristics of wide sources and few adverse reactions and are one of the sources for developing antifungal drugs. Numerous studies have shown that many compounds isolated from plants and traditional Chinese medicine have antifungal activity and diverse antifungal mechanisms. Thymol, a monoterpene phenol compound from thyme (Lamiaceae), has multiple biological functions such as antibacterial, antioxidant, and anti-inflammatory. Recent research has found that thymol has strong antifungal activity, and its molecular mechanisms involve cell membrane rupture, interference with cell wall synthesis, disruption of mitochondrial function and energy metabolism, inhibition of biofilm, inhibition of virulence factor expression, inhibition of key enzymes, and induction of cell apoptosis. This review aimed to summarize the antifungal activity of thymol and the underlying molecular mechanisms, safety, and potential clinical applications. Emerging technologies in thymol delivery systems and future research directions are also discussed. The comprehensive analysis aims to provide a detailed understanding of fungal infections and the role of thymol in antifungal treatment, offering insights for further research and clinical practice. Full article
(This article belongs to the Topic Recent Advances in Veterinary Pharmacology and Toxicology)
Show Figures

Figure 1

11 pages, 861 KB  
Article
Epidemiological Investigation and Phylogenetic Analysis of Major Blood-Derived Pathogens in Sheep from Gansu Province
by Jin Luo, Li Ma, Fangyu Xiao, Muhammad Kashif Obaid, Hongfei Zheng, Qiaoyun Ren, Guiquan Guan, Hong Yin and Ping Liu
Pathogens 2026, 15(1), 88; https://doi.org/10.3390/pathogens15010088 - 14 Jan 2026
Abstract
Investigating the prevalence and molecular genetic characteristics of Anaplasma ovis, Theileria spp., Anaplasma phagocytophilum, and hemotropic Mycoplasma infections in sheep populations across different regions of Gansu Province is of significant importance for the prevention and control of these pathogens. A total [...] Read more.
Investigating the prevalence and molecular genetic characteristics of Anaplasma ovis, Theileria spp., Anaplasma phagocytophilum, and hemotropic Mycoplasma infections in sheep populations across different regions of Gansu Province is of significant importance for the prevention and control of these pathogens. A total of 1523 sheep blood samples were collected from 19 counties (districts) in Gansu Province. Pathogen screening was conducted using PCR-based molecular detection techniques, followed by sequencing and phylogenetic analysis of specific genes (e.g., Msp4, 18S rRNA) from selected positive samples. Blood-borne pathogens infections in Gansu Province were widespread but unevenly distributed geographically. Theileria spp. and Anaplasma ovis were the dominant pathogens, with overall infection rates of approximately 16.7% and 9.6%, respectively. The highest Anaplasma ovis infection rate (82.5%) was observed in the Gannan region, where co-infections were common (24/97). An exceptionally high Theileria spp. infection rate (87.5%) was detected in the Zagana area. No pathogens were detected in Wuwei, Jingyuan, Huining, Jingtai, Qinghuan, or Maqu. Phylogenetic analysis revealed that the Msp4 gene sequences of Anaplasma ovis isolates from Gansu shared 99.48% homology with strains from Europe, Asia, and Africa. Anaplasma phagocytophilum isolates also showed high homology (99.53–99.84%) with multiple global strains. Seasonal data indicated significantly higher Theileria spp. infection rates in spring (23–34%) compared to other seasons (approximately 12%). Gansu Province is an endemic area for multiple blood-borne pathogens, with distinct regional clustering and seasonality in prevalence. The high conservation of pathogen gene sequences suggests genetic stability. This study provides essential epidemiological baseline data and a scientific foundation for targeted prevention and control of blood-borne pathogen diseases in sheep in Gansu Province. Full article
(This article belongs to the Topic Advances in Infectious and Parasitic Diseases of Animals)
Show Figures

Figure 1

16 pages, 3198 KB  
Article
Genomic Characterization of a Mycoplasma ovipneumoniae Strain from Hu Sheep in Inner Mongolia, China
by Lingli Dai, Na Wang, Fan Zhang, Yuemei Zhang, Yue Song, Wei Liu, Xiaodong Cao, Jingyu Shi, Shihua Zhao and Fan Bai
Vet. Sci. 2026, 13(1), 79; https://doi.org/10.3390/vetsci13010079 - 13 Jan 2026
Abstract
Mycoplasma ovipneumoniae poses a major threat to sheep respiratory health, contributing to significant economic losses in farming communities. In this study, we isolated a novel strain, IM-DMQ, from a Hu sheep in Inner Mongolia that exhibited pulmonary adenomatous-like lesions, which is an uncommon [...] Read more.
Mycoplasma ovipneumoniae poses a major threat to sheep respiratory health, contributing to significant economic losses in farming communities. In this study, we isolated a novel strain, IM-DMQ, from a Hu sheep in Inner Mongolia that exhibited pulmonary adenomatous-like lesions, which is an uncommon pathological manifestation for this pathogen. The complete genome was sequenced using a hybrid Nanopore and Illumina approach, revealing a 1,039,804 bp circular chromosome with a GC content of 29.15%, encoding 1529 genes. Functional annotation highlighted genes involved in essential metabolic processes and potential virulence mechanisms. Comparative genomic analysis demonstrated that IM-DMQ shares the closest ancestry (ANI: 98.3%) with the Chinese strain NXNK2203, while structural variations and 14 unique genes distinguished it from other global strains. Furthermore, microbial community profiling of the original lung tissue revealed a co-infection background involving multiple bacterial pathogens, offering an etiological context for the severe disease presentation. These results provide the first complete genomic resource for an M. ovipneumoniae strain from Inner Mongolia associated with unusual pulmonary pathology, offering insights into its genetic diversity and supporting the future development of targeted diagnostics and vaccines for regional disease control. Full article
(This article belongs to the Special Issue Prevention and Control of Infectious Diseases in Small Ruminants)
Show Figures

Figure 1

24 pages, 5237 KB  
Article
DCA-UNet: A Cross-Modal Ginkgo Crown Recognition Method Based on Multi-Source Data
by Yunzhi Guo, Yang Yu, Yan Li, Mengyuan Chen, Wenwen Kong, Yunpeng Zhao and Fei Liu
Plants 2026, 15(2), 249; https://doi.org/10.3390/plants15020249 - 13 Jan 2026
Viewed by 29
Abstract
Wild ginkgo, as an endangered species, holds significant value for genetic resource conservation, yet its practical applications face numerous challenges. Traditional field surveys are inefficient in mountainous mixed forests, while satellite remote sensing is limited by spatial resolution. Current deep learning approaches relying [...] Read more.
Wild ginkgo, as an endangered species, holds significant value for genetic resource conservation, yet its practical applications face numerous challenges. Traditional field surveys are inefficient in mountainous mixed forests, while satellite remote sensing is limited by spatial resolution. Current deep learning approaches relying on single-source data or merely simple multi-source fusion fail to fully exploit information, leading to suboptimal recognition performance. This study presents a multimodal ginkgo crown dataset, comprising RGB and multispectral images acquired by an UAV platform. To achieve precise crown segmentation with this data, we propose a novel dual-branch dynamic weighting fusion network, termed dual-branch cross-modal attention-enhanced UNet (DCA-UNet). We design a dual-branch encoder (DBE) with a two-stream architecture for independent feature extraction from each modality. We further develop a cross-modal interaction fusion module (CIF), employing cross-modal attention and learnable dynamic weights to boost multi-source information fusion. Additionally, we introduce an attention-enhanced decoder (AED) that combines progressive upsampling with a hybrid channel-spatial attention mechanism, thereby effectively utilizing multi-scale features and enhancing boundary semantic consistency. Evaluation on the ginkgo dataset demonstrates that DCA-UNet achieves a segmentation performance of 93.42% IoU (Intersection over Union), 96.82% PA (Pixel Accuracy), 96.38% Precision, and 96.60% F1-score. These results outperform differential feature attention fusion network (DFAFNet) by 12.19%, 6.37%, 4.62%, and 6.95%, respectively, and surpasses the single-modality baselines (RGB or multispectral) in all metrics. Superior performance on cross-flight-altitude data further validates the model’s strong generalization capability and robustness in complex scenarios. These results demonstrate the superiority of DCA-UNet in UAV-based multimodal ginkgo crown recognition, offering a reliable and efficient solution for monitoring wild endangered tree species. Full article
(This article belongs to the Special Issue Advanced Remote Sensing and AI Techniques in Agriculture and Forestry)
Show Figures

Figure 1

20 pages, 41314 KB  
Article
Diversity, Pathogenicity, and Biological Characteristics of Root Rot Pathogens from Lycium barbarum L. in Qinghai Province, China
by Yongbao Zhao, Lingshan Wang, Kaifu Zheng, Chengwen Zheng, Lijie Liu and Hexing Qi
J. Fungi 2026, 12(1), 62; https://doi.org/10.3390/jof12010062 - 13 Jan 2026
Viewed by 33
Abstract
Lycium barbarum L. is an important economic crop in Qinghai province, China. However, root rot seriously reduces the economic results of L. barbarum. Here, we collected the diseased L. barbarum roots from Nuomuhong Farm of Haixi Mongolian and Tibetan Autonomous Prefecture, Qinghai [...] Read more.
Lycium barbarum L. is an important economic crop in Qinghai province, China. However, root rot seriously reduces the economic results of L. barbarum. Here, we collected the diseased L. barbarum roots from Nuomuhong Farm of Haixi Mongolian and Tibetan Autonomous Prefecture, Qinghai Province, China, to clarify the diversity, pathogenicity, and biological characteristics of its root rot pathogens. A total of 125 isolates were collected, and based on morphological characteristics and rDNA ITS, TEF-, and RPB2 genes sequence analysis, they were identified as Fusarium equiseti, F. avenaceum, F. solani, F. citri, F. acuminatum, F. culmorum, F. sambucinum, F. incarnatum, F. oxysporum, F. tricinctum, Microdochium bolleyi, and Clonostachys rosea. These fungi were used to inoculate the roots of 1-year-old L. barbarum seedlings using scratching and root-irrigation inoculation methods, and all isolates caused root rot. This is the first report that M. bolleyi, F. avenaceum, and F. citri caused root rot in L. barbarum. And the best media, the lethal temperatures, and the optimum carbon sources and nitrogen sources of the 12 pathogen species were determined in this study. Moreover, our findings provide a theoretical foundation for root rot management in the future. Full article
(This article belongs to the Section Fungal Evolution, Biodiversity and Systematics)
Show Figures

Figure 1

28 pages, 1862 KB  
Review
The Role of Malting and Brewer’s Spent Grain in Sustainable Cereal Utilization
by Szintia Jevcsák, Gerda Diósi, Gréta Törős, Ádám Fülep and Endre Máthé
Foods 2026, 15(2), 287; https://doi.org/10.3390/foods15020287 - 13 Jan 2026
Viewed by 74
Abstract
Malting is a sustainable, low-cost, and adaptable technique that enhances the nutritional and functional value of cereals while contributing to waste reduction, improved food safety, and the valorization of brewing by-products such as brewers’ spent grain. It was originally developed for barley but [...] Read more.
Malting is a sustainable, low-cost, and adaptable technique that enhances the nutritional and functional value of cereals while contributing to waste reduction, improved food safety, and the valorization of brewing by-products such as brewers’ spent grain. It was originally developed for barley but is now used with a wide range of cereals. Malting, in its simplest form, involves controlled germination and drying, which enhance enzyme activity and improve grain nutritional quality. Our review introduces a broader perspective by addressing how malting can enhance health benefits through malted forms of both common and less prominent cereals such as sorghum, teff, millet, triticale, quinoa, and buckwheat. Nutritional enhancement takes place by increasing nutrient bioavailability, changing chemical composition, and reducing antinutrients, while inducing the production of bioactive compounds with antioxidant, anti-inflammatory, and antidiabetic activities. This review examines brewers’ spent grain (BSG), a nutrient-dense brewing by-product that is widely recognized as a sustainable ingredient for food and nutrition applications. Full article
(This article belongs to the Special Issue The Processing of Cereal and Its By-Products)
Show Figures

Figure 1

20 pages, 4492 KB  
Article
Integrated Analysis of Testicular Histology, Sperm Quality, and Gene Expression (TGFB2, DMRT1) in Rooster Semen (Gallus gallus domesticus)
by Anastasiya Ivershina, Yuliya Silyukova, Elena Fedorova, Olga Stanishevskaya, Irina Mirzakaeva and Marina Pozovnikova
Animals 2026, 16(2), 225; https://doi.org/10.3390/ani16020225 - 12 Jan 2026
Viewed by 153
Abstract
The study of the relationship between testicular morphology and sperm quality is a pressing issue, for which molecular genetic approaches, including quantitative analysis of gene expression, are being implemented. The aim of this study was to identify correlations between the histomorphological structure of [...] Read more.
The study of the relationship between testicular morphology and sperm quality is a pressing issue, for which molecular genetic approaches, including quantitative analysis of gene expression, are being implemented. The aim of this study was to identify correlations between the histomorphological structure of the testes, fresh sperm parameters, and the expression level of key spermatogenesis genes—TGFB2 and DMRT1—in roosters. The experiment was conducted on 10 Russian Snow White roosters aged 28–32 weeks. Sperm quality was assessed by volume, sperm concentration, total and progressive motility, and viability; histological analysis of the rooster testes was performed. The relative expression of the TGFB2 and DMRT1 genes in sperm was analyzed. Multiple correlation analysis of the data was conducted. A positive correlation was found between ejaculate volume and the number of spermatogonia (p = +0.651), a negative correlation between ejaculate volume and the number of second-order spermatocytes (p = −0.704), a negative correlation between the total cross-sectional area of the seminiferous tubules of the testes and sperm viability (p = −0.782), a negative correlation between the number of seminiferous tubules and the average diameter of their cross-section (p = −0.685), and a positive correlation between total and progressive sperm motility (p = +0.794). Analysis of TGFB2 and DMRT1 gene expression in sperm demonstrated a certain relationship between molecular genetic mechanisms and histomorphometric parameters. The expression level of the DMRT1 gene, which plays a key role in sex determination in birds during embryogenesis, had a number of negative correlations with such parameters as testicle weight (r = −0.782), total/progressive sperm motility (r = −0.552; r = −0.612), and viability (r = −0.552). Expression of the TGFB2 gene had no significant relationship with the studied parameters, but correlation analysis revealed a moderate positive relationship (r = +0.321) with DMRT1 gene expression. The data obtained indicate the expediency of integrating morphometric, cellular, and molecular analysis for an objective assessment of rooster reproductive function. Full article
(This article belongs to the Special Issue Male Germ Cell Development in Animals)
Show Figures

Figure 1

16 pages, 3909 KB  
Article
Analysis of the Combined Toxic Effects of AFB1, DON, and OTA Complex Contamination in Caco-2, HK-2, SK-N-SH and HepG2 Cells
by Hanke Zhao, Xiaohu Zhai, Weihua He, Zheng Jing, Dengyan Wang and Junhua Yang
Toxins 2026, 18(1), 41; https://doi.org/10.3390/toxins18010041 - 12 Jan 2026
Viewed by 76
Abstract
Aflatoxin B1 (AFB1), deoxynivalenol (DON), and ochratoxin A (OTA) are common mycotoxins that frequently co-occur in cereals and pose potential risks to animal and human health. This study investigated the cytotoxic effects of AFB1, DON, and OTA, individually and in binary and ternary [...] Read more.
Aflatoxin B1 (AFB1), deoxynivalenol (DON), and ochratoxin A (OTA) are common mycotoxins that frequently co-occur in cereals and pose potential risks to animal and human health. This study investigated the cytotoxic effects of AFB1, DON, and OTA, individually and in binary and ternary combinations, in four human-derived cell lines representing major target organs (Caco-2, HepG2, HK-2, and SK-N-SH). Individual toxin exposure revealed cell type–dependent sensitivity, with DON generally exhibiting the strongest cytostatic effect. Combined exposure analysis showed distinct interaction patterns across cell models, including antagonistic effects of AFB1 + OTA in most cell lines, dose-dependent interactions of DON + OTA, and low-dose synergistic effects in specific combinations. Overall, the results demonstrate that mycotoxin interactions are highly dependent on dose and target cell type, and that low-dose co-contamination may enhance toxicological risks, underscoring the importance of considering combined mycotoxin exposure in health risk assessment. Full article
Show Figures

Graphical abstract

Back to TopTop