Sign in to use this feature.

Years

Between: -

Subjects

remove_circle_outline
remove_circle_outline
remove_circle_outline
remove_circle_outline
remove_circle_outline
remove_circle_outline
remove_circle_outline
remove_circle_outline
remove_circle_outline

Journals

remove_circle_outline
remove_circle_outline
remove_circle_outline
remove_circle_outline
remove_circle_outline
remove_circle_outline
remove_circle_outline
remove_circle_outline
remove_circle_outline
remove_circle_outline

Article Types

Countries / Regions

remove_circle_outline
remove_circle_outline
remove_circle_outline
remove_circle_outline

Search Results (769)

Search Parameters:
Keywords = human gait

Order results
Result details
Results per page
Select all
Export citation of selected articles as:
15 pages, 3033 KB  
Article
Comparative Study of Different Algorithms for Human Motion Direction Prediction Based on Multimodal Data
by Hongyu Zhao, Yichi Zhang, Yongtao Chen, Hongkai Zhao, Zhuoran Jiang, Mingwei Cao, Haiqing Yang, Yuhang Ding and Peng Li
Sensors 2026, 26(2), 501; https://doi.org/10.3390/s26020501 - 12 Jan 2026
Viewed by 134
Abstract
The accurate prediction of human movement direction plays a crucial role in fields such as rehabilitation monitoring, sports science, and intelligent military systems. Based on plantar pressure and inertial sensor data, this study developed a hybrid deep learning model integrating a Convolutional Neural [...] Read more.
The accurate prediction of human movement direction plays a crucial role in fields such as rehabilitation monitoring, sports science, and intelligent military systems. Based on plantar pressure and inertial sensor data, this study developed a hybrid deep learning model integrating a Convolutional Neural Network (CNN) and a Bidirectional Long Short-Term Memory (BiLSTM) network to enable joint spatiotemporal feature learning. Systematic comparative experiments involving four distinct deep learning models—CNN, BiLSTM, CNN-LSTM, and CNN-BiLSTM—were conducted to evaluate their convergence performance and prediction accuracy comprehensively. Results show that the CNN-BiLSTM model outperforms the other three models, achieving the lowest RMSE (0.26) and MAE (0.14) on the test set, with an R2 of 0.86, which indicates superior fitting accuracy and generalization ability. The superior performance of the CNN-BiLSTM model is attributed to its ability to effectively capture local spatial features via CNN and model bidirectional temporal dependencies via BiLSTM, thus demonstrating strong adaptability for complex motion scenarios. This work focuses on the optimization and comparison of deep learning algorithms for spatiotemporal feature extraction, providing a reliable framework for real-time human motion prediction and offering potential applications in intelligent gait analysis, wearable monitoring, and adaptive human–machine interaction. Full article
(This article belongs to the Section Intelligent Sensors)
Show Figures

Figure 1

19 pages, 7461 KB  
Article
Walking Dynamics, User Variability, and Window Size Effects in FGO-Based Smartphone PDR+GNSS Fusion
by Amjad Hussain Magsi and Luis Enrique Díez
Sensors 2026, 26(2), 431; https://doi.org/10.3390/s26020431 - 9 Jan 2026
Viewed by 100
Abstract
The performance of smartphone-based pedestrian positioning strongly depends on the GNSS signal quality, the motion dynamics that influence PDR accuracy, and the way both sources of information are fused. While recent studies have shown the benefits of Factor Graph Optimization (FGO) for Pedestrian [...] Read more.
The performance of smartphone-based pedestrian positioning strongly depends on the GNSS signal quality, the motion dynamics that influence PDR accuracy, and the way both sources of information are fused. While recent studies have shown the benefits of Factor Graph Optimization (FGO) for Pedestrian Dead Reckoning (PDR) Global Navigation Satellite Systems (GNSS) fusion, the interaction between human motion, PDR errors, and FGO window configuration has not been systematically examined. This work investigates how walking dynamics affect the optimal configuration of sliding-window FGO, and to what extent FGO mitigates motion-dependent PDR errors compared with the Kalman Filter (KF). Using data collected from ten pedestrians performing four motion types (slow walking, normal walking, jogging, and running), we analyze: (1) the relationship between walking speed and the FGO window size required to achieve stable positioning accuracy, and (2) the ability of FGO to suppress PDR outliers arising from motion irregularities across different users. The results show that a window size of around 10 poses offers the best overall balance between accuracy and computational load, providing substantial improvement over SWFGO with a 1-pose window and approaching the accuracy of batch FGO at a fraction of its cost. Increasing the window further to 30 poses yields only marginal accuracy gains while increasing computation, and this trend is consistent across all motion types. Additionally, FGO and SWFGO reduce PDR-induced outliers more effectively than KF across all users and motions, demonstrating improved robustness under gait variability and transient disturbances. Full article
(This article belongs to the Special Issue Smart Sensor Systems for Positioning and Navigation)
Show Figures

Figure 1

19 pages, 4098 KB  
Article
Effect of Human Amniotic Membrane with Aligned Electrospun Nanofiber Transplantation on Tendon Regeneration in Rats
by Mohamed Nasheed, Mohd Yazid Bajuri, Jia Xian Law and Nor Amirrah Ibrahim
Int. J. Mol. Sci. 2026, 27(2), 650; https://doi.org/10.3390/ijms27020650 - 8 Jan 2026
Viewed by 179
Abstract
Tendon injuries, whether resulting from trauma, repetitive strain, or degenerative conditions, present a considerable clinical challenge. The natural healing process, which involves inflammatory, proliferative, and remodeling phases, is often inefficient and leads to excessive scar tissue formation, ultimately compromising the mechanical properties of [...] Read more.
Tendon injuries, whether resulting from trauma, repetitive strain, or degenerative conditions, present a considerable clinical challenge. The natural healing process, which involves inflammatory, proliferative, and remodeling phases, is often inefficient and leads to excessive scar tissue formation, ultimately compromising the mechanical properties of the tendon compared to its native state. This highlights the critical need for innovative approaches to enhance tendon repair and regeneration. Leveraging the regenerative properties of human amniotic membrane (HAM) and electrospun PCL/gelatin nanofibers, this study aims to develop and assess a novel composite scaffold in a rodent model to facilitate improved tendon healing. This prospective experimental study involved 12 male Sprague Dawley rats (250–300 g), randomly assigned to three groups: Group A (No Treatment/No HAM), Group B (HAM-treated), and Group C (HAM with electrospun nanofibers, HAM-NF). A surgically induced tendon injury was created in the left hind limb, while the right limb served as a control. Following surgery, HAM and HAM-NF (0.5 cm2) were applied to the respective treatment groups, and tendon healing was assessed after six weeks. Gait analysis, including stride length and toe-out angle, was conducted both pre-operatively and six weeks post-operatively. Macroscopic and microscopic evaluations were performed on harvested tendons to assess regeneration, comparing treated groups to the controls. Gait analysis demonstrated that the HAM-NF group showed a significant increase in stride length from 11.70 ± 1.50 cm to 12.79 ± 1.71 cm (p < 0.05), with only a modest change in toe-out angle (14.58 ± 2.96° to 16.27 ± 2.20°). In contrast, the No Treatment group exhibited reduced stride length (10.27 ± 2.17 cm to 8.40 ± 1.67 cm) and a marked increase in toe-out angle (16.33 ± 4.51° to 26.47 ± 5.81°, p < 0.05), while the HAM-only group showed mild changes in both parameters. Macroscopic evaluation showed a significant difference in tendon healing. HAM-NF group had the highest score that indicates more rapid tissue regeneration. Histological analysis after 6 weeks showed that tendons treated with HAM-NF achieved a mean histological score of 5.54 ± 4.14, closely resembling the uninjured tendon (6.67 ± 1.63), indicating substantial regenerative potential. The combination of human amniotic membrane (HAM) and electrospun nanofibers presents significant potential as an effective strategy for tendon regeneration. The HAM/NF group exhibited consistent improvements in gait parameters and histological outcomes, closely mirroring those of uninjured tendons. These preliminary results indicate that this biomaterial-based approach can enhance both functional recovery and structural integrity, providing a promising pathway for advanced tendon repair therapies. Full article
Show Figures

Figure 1

15 pages, 979 KB  
Article
Hybrid Skeleton-Based Motion Templates for Cross-View and Appearance-Robust Gait Recognition
by João Ferreira Nunes, Pedro Miguel Moreira and João Manuel R. S. Tavares
J. Imaging 2026, 12(1), 32; https://doi.org/10.3390/jimaging12010032 - 7 Jan 2026
Viewed by 147
Abstract
Gait recognition methods based on silhouette templates, such as the Gait Energy Image (GEI), achieve high accuracy under controlled conditions but often degrade when appearance varies due to viewpoint, clothing, or carried objects. In contrast, skeleton-based approaches provide interpretable motion cues but remain [...] Read more.
Gait recognition methods based on silhouette templates, such as the Gait Energy Image (GEI), achieve high accuracy under controlled conditions but often degrade when appearance varies due to viewpoint, clothing, or carried objects. In contrast, skeleton-based approaches provide interpretable motion cues but remain sensitive to pose-estimation noise. This work proposes two compact 2D skeletal descriptors—Gait Skeleton Images (GSIs)—that encode 3D joint trajectories into line-based and joint-based static templates compatible with standard 2D CNN architectures. A unified processing pipeline is introduced, including skeletal topology normalization, rigid view alignment, orthographic projection, and pixel-level rendering. Core design factors are analyzed on the GRIDDS dataset, where depth-based 3D coordinates provide stable ground truth for evaluating structural choices and rendering parameters. An extensive evaluation is then conducted on the widely used CASIA-B dataset, using 3D coordinates estimated via human pose estimation, to assess robustness under viewpoint, clothing, and carrying covariates. Results show that although GEIs achieve the highest same-view accuracy, GSI variants exhibit reduced degradation under appearance changes and demonstrate greater stability under severe cross-view conditions. These findings indicate that compact skeletal templates can complement appearance-based descriptors and may benefit further from continued advances in 3D human pose estimation. Full article
(This article belongs to the Section Computer Vision and Pattern Recognition)
Show Figures

Figure 1

36 pages, 1927 KB  
Review
Research on Control Strategy of Lower Limb Exoskeleton Robots: A Review
by Xin Xu, Changbing Chen, Zuo Sun, Wenhao Xian, Long Ma and Yingjie Liu
Sensors 2026, 26(2), 355; https://doi.org/10.3390/s26020355 - 6 Jan 2026
Viewed by 288
Abstract
With an aging population and the high incidence of neurological diseases, rehabilitative lower limb exoskeleton robots, as a wearable assistance device, present important application prospects in gait training and human function recovery. As the core of human–computer interaction, control strategy directly determines the [...] Read more.
With an aging population and the high incidence of neurological diseases, rehabilitative lower limb exoskeleton robots, as a wearable assistance device, present important application prospects in gait training and human function recovery. As the core of human–computer interaction, control strategy directly determines the exoskeleton’s ability to perceive and respond to human movement intentions. This paper focuses on the control strategies of rehabilitative lower limb exoskeleton robots. Based on the typical hierarchical control architecture of “perception–decision–execution,” it systematically reviews recent research progress centered around four typical control tasks: trajectory reproduction, motion following, Assist-As-Needed (AAN), and motion intention prediction. It emphasizes analyzing the core mechanisms, applicable scenarios, and technical characteristics of different control strategies. Furthermore, from the perspectives of drive system and control coupling, multi-source perception, and the universality and individual adaptability of control algorithms, it summarizes the key challenges and common technical constraints currently faced by control strategies. This article innovatively separates the end-effector control strategy from the hardware implementation to provide support for a universal control framework for exoskeletons. Full article
Show Figures

Figure 1

27 pages, 8040 KB  
Article
Design and Feasibility Assessment of a Prototype Wearable Upper-Limb Device for Facilitating Arm Swing Training
by Ali Faeghinejad, Liam Hawthorne and Babak Hejrati
Actuators 2026, 15(1), 27; https://doi.org/10.3390/act15010027 - 3 Jan 2026
Viewed by 388
Abstract
This paper presents the design, development, and evaluation of a proof-of-concept arm swing facilitator device (ASFD) to promote proper arm swing during gait training. Although coordinated arm swing plays a critical role in human locomotion and neurorehabilitation, few wearable systems have been developed [...] Read more.
This paper presents the design, development, and evaluation of a proof-of-concept arm swing facilitator device (ASFD) to promote proper arm swing during gait training. Although coordinated arm swing plays a critical role in human locomotion and neurorehabilitation, few wearable systems have been developed to integrate it into gait training. The ASFD was designed to test the feasibility of generating torque at the shoulder joint to initiate arm flexion–extension motion while allowing other shoulder degrees of freedom to move freely. The device induced cyclic arm motion at 1 Hz, producing sufficient torque while maintaining ergonomic criteria, such as a large workspace and back-mounted actuation to minimize arm load. The system incorporated a double-parallelogram mechanism to expand the workspace and a two-stage pulley–belt transmission to amplify torque. Testing showed that the ASFD produced up to 15 N·m and 11 N·m torques in static and dynamic load tests, respectively. Kinematic and experimental analyses confirmed sufficient motion freedom, except for some constraints in rotation. Human subject experiment demonstrated that the ASFD successfully induced arm swing within the 0.8–1.2 Hz frequency range and torques below 11 N·m. The ASFD met its design objectives, establishing a foundation for future development aimed at gait rehabilitation applications. Full article
Show Figures

Figure 1

19 pages, 26362 KB  
Article
FusionTCN-Attention: A Causality-Preserving Temporal Model for Unilateral IMU-Based Gait Prediction and Cooperative Exoskeleton Control
by Sichuang Yang, Kang Yu, Lei Zhang, Minling Pan, Haihong Pan, Lin Chen and Xuxia Guo
Biomimetics 2026, 11(1), 26; https://doi.org/10.3390/biomimetics11010026 - 2 Jan 2026
Viewed by 217
Abstract
Human gait exhibits stable contralateral coupling, making healthy-side motion a viable predictor for affected-limb kinematics. Leveraging this property, this study develops FusionTCN–Attention, a causality-preserving temporal model designed to forecast contralateral hip and knee trajectories from unilateral IMU measurements. The model integrates dilated temporal [...] Read more.
Human gait exhibits stable contralateral coupling, making healthy-side motion a viable predictor for affected-limb kinematics. Leveraging this property, this study develops FusionTCN–Attention, a causality-preserving temporal model designed to forecast contralateral hip and knee trajectories from unilateral IMU measurements. The model integrates dilated temporal convolutions with a lightweight attention mechanism to enhance feature representation while maintaining strict real-time causality. Evaluated on twenty-one subjects, the method achieves hip and knee RMSEs of 5.71° and 7.43°, correlation coefficients over 0.9, and a deterministic phase lag of 14.56 ms, consistently outperforming conventional sequence models including Seq2Seq and causal Transformers. These results demonstrate that unilateral IMU sensing supports low-latency, stable prediction, thereby establishing a control-oriented methodological basis for unilateral prediction as a necessary engineering prerequisite for future hemiparetic exoskeleton applications. Full article
(This article belongs to the Section Bioinspired Sensorics, Information Processing and Control)
Show Figures

Figure 1

31 pages, 5845 KB  
Article
Gait Dynamics Classification with Criticality Analysis and Support Vector Machines
by Shadi Eltanani, Tjeerd V. olde Scheper, Johnny Collett, Helen Dawes and Patrick Esser
Mathematics 2026, 14(1), 177; https://doi.org/10.3390/math14010177 - 2 Jan 2026
Viewed by 202
Abstract
Classifying demographic groups of humans from gait patterns is desirable from several long-standing diagnostic and monitoring perspectives. IMU recorded gait patterns are mapped into a nonlinear dynamic representation space using criticality analysis and subsequently classified using standard Support Vector Machines. Inertial-only gait recordings [...] Read more.
Classifying demographic groups of humans from gait patterns is desirable from several long-standing diagnostic and monitoring perspectives. IMU recorded gait patterns are mapped into a nonlinear dynamic representation space using criticality analysis and subsequently classified using standard Support Vector Machines. Inertial-only gait recordings were found to readily classify in the CA representations. Accuracies across age categories for female versus male were 72.77%, 78.95%, and 80.11% for σ=0.1, 1, and 10, respectively; within the female group, accuracies were 73.36%, 76.70%, and 78.90%; and within the male group, 77.65%, 81.48%, and 81.05%. These results show that dynamic biological data are easily classifiable when projected into the nonlinear space, while classifying the data without this is not nearly as effective. Full article
(This article belongs to the Special Issue Mathematical Modelling of Nonlinear Dynamical Systems)
Show Figures

Figure 1

22 pages, 574 KB  
Systematic Review
Measurement Error of Markerless Motion Capture Systems Applied to Tracking Movements in Human–Object Interaction Tasks: A Systematic Review with Best Evidence Synthesis
by Nicole Unsihuay, Rene F. Clavo and Luiz H. Palucci Vieira
Technologies 2026, 14(1), 28; https://doi.org/10.3390/technologies14010028 - 1 Jan 2026
Viewed by 651
Abstract
This systematic review focused on the validity of markerless motion capture (MMC) systems used for human movement assessment during tasks that involve physical interaction with objects. Five electronic databases were searched until May 2025. Eligible studies (i) assessed the validity of an MMC [...] Read more.
This systematic review focused on the validity of markerless motion capture (MMC) systems used for human movement assessment during tasks that involve physical interaction with objects. Five electronic databases were searched until May 2025. Eligible studies (i) assessed the validity of an MMC system, (ii) required human participants to perform tasks that involved physical interaction with objects (e.g., lifts, carrying, gait with loads), (iii) employed a marker-based reference system, and (iv) reported at least one kinematic metric. Risk of bias was assessed using the SURE checklist. A best-evidence synthesis was conducted to classify the level of evidence across included studies. Fifteen studies met eligibility (median = 21 participants per study). In general, MMC systems presented good performance in capturing the waveforms related to movement (i.e., high associations with reference systems), but its level of precision (i.e., the magnitude of differences to the reference systems) still requires improvement regarding tasks involving human–object interactions. Most tasks analyzed were lifts, gait with load, squatting and reaching/manipulation, and technical gestures. There was strong evidence for the validity of MMC for implementation during lifting tasks. In summary, markerless motion capture (MMC) systems exhibit promising evidence of validity for some human–object interaction tasks, that is, especially when lifting as strong evidence was observed across studies on this type of task. In contrast, some evidence for tasks including gait under load, squatting, reaching, or touchscreen interaction is limited, moderate, or conflicting. Notwithstanding these limitations, most studies were observed to have moderate- to high-quality methodology. Additional research is required to optimize protocols to study the measurement error aspects of MMC under human–object interaction in real-world environments. Full article
(This article belongs to the Special Issue Image Analysis and Processing)
Show Figures

Figure 1

26 pages, 4337 KB  
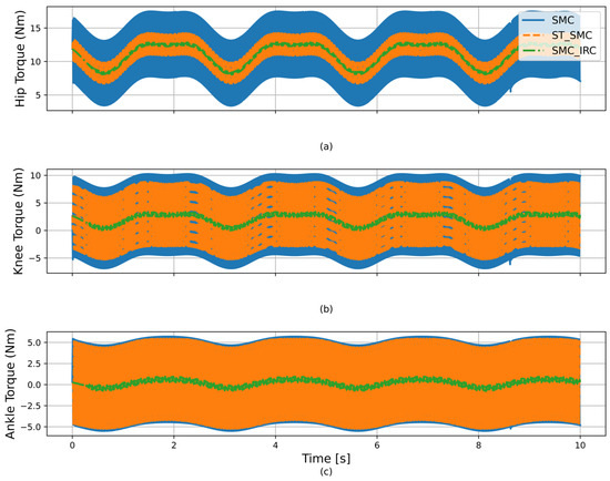
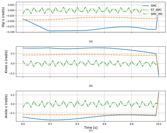
Article
Hybrid Sliding Mode Control with Integral Resonant Control for Chattering Reduction in a 3-DOF Lower-Limb Exoskeleton Rehabilitation
by Muktar Fatihu Hamza, Auwalu Muhammad Abdullahi, Abdulrahman Alqahtani and Nizar Rokbani
Appl. Sci. 2026, 16(1), 410; https://doi.org/10.3390/app16010410 - 30 Dec 2025
Viewed by 142
Abstract
Lower-limb exoskeletons have become an effective tool for gait rehabilitation by enabling precise and repetitive joint movements for individuals with motor impairments. Nevertheless, the nonlinear and uncertain nature of human–robot interaction dynamics requires effective control strategies that are both robust and smooth. Conventional [...] Read more.
Lower-limb exoskeletons have become an effective tool for gait rehabilitation by enabling precise and repetitive joint movements for individuals with motor impairments. Nevertheless, the nonlinear and uncertain nature of human–robot interaction dynamics requires effective control strategies that are both robust and smooth. Conventional sliding mode control (SMC) provides robustness against disturbances but, in effect, is prone to chattering, which can adversely cause mechanical vibrations and reduce user comfort. This paper proposes a novel hybrid sliding mode control integrated with integral resonant control (SMC + IRC), strategy addressing a gap in 3-DOF exoskeleton control where structural resonance and chattering mitigation are simultaneously required while maintaining robustness and trajectory accuracy. The IRC component in this work uses a resonant damping mechanism to filter high-frequency switching elements in the SMC signal, resulting in smoother actuator torques without compromising system stability, robustness or responsiveness. The proposed control framework here is implemented on a lower-limb exoskeleton with hip, knee, and ankle joints and compared to classical SMC and Super-Twisting SMC (STSMC) methods. Upon simulation, results showed that the SMC + IRC approach significantly reduces chattering as well as produces smoother torque profiles while maintaining high tracking precision. Quantitative analyses using RMSE and chattering index metrics prove the superior performance of the proposed controller over the previous ones, establishing it as a practical and effective solution for safe and comfortable rehabilitation motion in real-time exoskeleton systems. Full article
Show Figures

Figure 1

28 pages, 4597 KB  
Article
A Novel Stability Criterion Based on the Swing Projection Polygon for Gait Rehabilitation Exoskeletons
by Moyao Gao, Wei Yang, Yuexi Zhong, Yingxue Ni, Huimin Jiang, Guokai Zhu, Jing Li, Zhanli Wang, Jiaqi Bu and Bo Wu
Appl. Sci. 2026, 16(1), 402; https://doi.org/10.3390/app16010402 - 30 Dec 2025
Viewed by 151
Abstract
Intelligent lower-limb exoskeleton rehabilitation robots are increasingly superseding traditional rehabilitation equipment, making them a focus of research in this field. However, existing systems remain challenged by dynamic instability resulting from various disturbances during actual walking. To address this limitation, this study proposes a [...] Read more.
Intelligent lower-limb exoskeleton rehabilitation robots are increasingly superseding traditional rehabilitation equipment, making them a focus of research in this field. However, existing systems remain challenged by dynamic instability resulting from various disturbances during actual walking. To address this limitation, this study proposes a novel dynamic stability criterion. Through an analysis of the principles and limitations of the traditional zero-moment point (ZMP) stability criterion, particularly during the late single-leg support phase, a new stability criterion is introduced, which is founded on the swing projection polygon during single-leg support. This approach elucidates the variation patterns of the stability polygon during a single-step motion and facilitates a qualitative analysis of the stability characteristics of the human–robot system in multiple postures. To further enhance the stability and smoothness of gait trajectories in lower-limb exoskeleton rehabilitation robots, the shortcomings of conventional gait planning approaches, namely their non-intuitive nature and discontinuity, are addressed. A recurrent gait planning method leveraging Long Short-Term Memory (LSTM) neural networks is proposed. The integration of the periodic motion characteristics of human gait serves to validate the feasibility and correctness of the proposed method. Finally, based on the recurrent gait planning method, the dynamic stability of walking postures is verified through theoretical analysis and experimental comparisons, accompanied by an in-depth analysis of key factors influencing dynamic stability. Full article
(This article belongs to the Section Mechanical Engineering)
Show Figures

Figure 1

20 pages, 22393 KB  
Article
Privacy Beyond the Face: Assessing Gait Privacy Through Realistic Anonymization in Industrial Monitoring
by Sarah Weiß, Christopher Bonenberger, Tobias Niedermaier, Maik Knof and Markus Schneider
Sensors 2026, 26(1), 187; https://doi.org/10.3390/s26010187 - 27 Dec 2025
Viewed by 457
Abstract
In modern industrial environments, camera-based monitoring is essential for workflow optimization, safety, and process control, yet it raises significant privacy concerns when people are recorded. Realistic full-body anonymization offers a potential solution by obscuring visual identity while preserving information needed for automated analysis. [...] Read more.
In modern industrial environments, camera-based monitoring is essential for workflow optimization, safety, and process control, yet it raises significant privacy concerns when people are recorded. Realistic full-body anonymization offers a potential solution by obscuring visual identity while preserving information needed for automated analysis. Whether such methods also conceal biometric traits from human pose and gait remains uncertain, although these biomarkers enable person identification without appearance cues. This study investigates the impact of full-body anonymization on gait-related identity recognition using DeepPrivacy2 and a custom CCTV-like industrial dataset comprising original and anonymized sequences. This study provides the first systematic evaluation of whether pose-preserving anonymization disrupts identity-relevant gait characteristics. The analysis quantifies keypoint shifts introduced by anonymization, examines their influence on downstream gait-based person identification, and tests cross-domain linkability between original and anonymized recordings. Identification accuracy, domain transfer between data types, and distortions in derived pose keypoints are measured to assess anonymization effects while retaining operational utility. Findings show that anonymization removes appearance but leaves gait identity largely intact, indicating that pose-driven anonymization is insufficient for privacy protection. Effective privacy requires anonymization strategies that explicitly target gait characteristics or incorporate domain-adaptation mechanisms. Full article
(This article belongs to the Special Issue Artificial Intelligence and Sensing Technology in Smart Manufacturing)
Show Figures

Figure 1

13 pages, 3271 KB  
Article
Comparative Analysis of Robotic Assistive Devices on Paretic Knee Motion in Post-Stroke Patients: An IMU-Based Pilot Study
by Toshiaki Tanaka, Shunichi Sugihara and Takahiro Miura
J. Funct. Morphol. Kinesiol. 2026, 11(1), 5; https://doi.org/10.3390/jfmk11010005 - 24 Dec 2025
Viewed by 218
Abstract
Background: Robotic assistive devices are increasingly used in post-stroke gait rehabilitation, yet quantitative evaluations of synchronization between human and robotic joint motion remain limited. This study examined gait kinematics in post-stroke hemiplegic patients using two exoskeleton-type devices—HAL® (Cyberdine Inc., Tsukuba, Japan) [...] Read more.
Background: Robotic assistive devices are increasingly used in post-stroke gait rehabilitation, yet quantitative evaluations of synchronization between human and robotic joint motion remain limited. This study examined gait kinematics in post-stroke hemiplegic patients using two exoskeleton-type devices—HAL® (Cyberdine Inc., Tsukuba, Japan) and curara® (AssistMotion Inc., Ueda, Japan)—based on synchronized IMU measurements. Methods: Two post-stroke patients performed treadmill walking under non-assisted and assisted conditions with HAL® and curara®. Only the paretic knee joint was analyzed to focus on the primary control joint during gait. Inertial measurement units (IMUs) simultaneously recorded human and robotic joint angles. Synchronization was assessed using Bland–Altman (BA) analysis, root mean square error (RMSE), and mean synchronization jerk (MSJ). The study was designed as an exploratory methodological case study to verify the feasibility of synchronized IMU-based human–robot joint measurement. Results: Both assistive devices improved paretic knee motion during gait. RMSE decreased from 7.8° to 4.6° in patient A and from 8.1° to 5.0° in patient B. MSJ was lower during curara-assisted gait than HAL-assisted gait, indicating smoother temporal coordination. BA plots revealed reduced bias and narrower limits of agreement in assisted conditions, particularly for curara®. Differences between HAL® and curara® reflected their distinct control strategies—voluntary EMG-based assist vs. cooperative gait-synchronization—rather than superiority of one device. Conclusions: Both devices enhanced synchronization and smoothness of paretic knee motion. curara® demonstrated particularly smooth torque control and consistent alignment with human movement. IMU-based analysis proved effective for quantifying human–robot synchronization and offers a practical framework for optimizing robotic gait rehabilitation. The novelty of this study lies in the direct IMU-based comparison of human and robotic knee joint motion under two contrasting assistive control strategies. Full article
Show Figures

Figure 1

21 pages, 7423 KB  
Article
An Examination of the Role of CX3CR1 in the Pathobiology of Degenerative Cervical Myelopathy: Evidence from Human and Mouse Tissue
by Wen Ru Yu, Spyridon K. Karadimas, James Hong, Sarah Sadat, Sydney Brockie, Pia M. Vidal, Tim-Rasmus Kiehl, Noah Poulin, Aikaterini K. Andreopoulou, Joannis K. Kallitsis and Michael G. Fehlings
J. Clin. Med. 2026, 15(1), 82; https://doi.org/10.3390/jcm15010082 - 22 Dec 2025
Viewed by 332
Abstract
Background/Objectives: The molecular cascades involved in the induction and maintenance of neuroinflammation resulting from chronic compression of the cervical spinal cord in the setting of degenerative cervical myelopathy (DCM) have yet to be defined. Here, we determined the role of the fractalkine receptor, [...] Read more.
Background/Objectives: The molecular cascades involved in the induction and maintenance of neuroinflammation resulting from chronic compression of the cervical spinal cord in the setting of degenerative cervical myelopathy (DCM) have yet to be defined. Here, we determined the role of the fractalkine receptor, CX3CR1, during the neuroinflammatory response in a novel mouse model of DCM and demonstrated the relevance of this mechanism with human DCM tissue. Methods: Using our murine DCM model alongside the CX3CR1-knockout mice and a neutralizing antibody of CX3CR1 in wild-type mice, we examined protein, neurobehavioural and immunohistochemical readouts. The animal data were then complemented with immunohistochemical results from human post-mortem spinal cord tissue from individuals with DCM. Results: Humans and mice with DCM exhibited an up-regulation of CX3CR1 as well as markers of activated microglia/macrophages in the cervical spinal cord. Knockout and neutralization of CX3CR1 hindered microglia/macrophage activation and accumulation at the site of spinal cord compression. DCM mice exhibited decreased body speed and increased stance phase duration, which mirrors human DCM gait deficits. Strikingly, both CX3CR1 deficiency and CX3CR1 neutralization alleviated these gait deficits in DCM mice. Conclusions: Collectively, these data provide strong evidence that CX3CR1 plays a critical role in the secondary injury of neural structures in the setting of DCM. Further, targeting of CX3CR1 represents a promising therapeutic strategy to enhance neurological outcomes in DCM. Full article
Show Figures

Figure 1

32 pages, 9460 KB  
Article
Step-Length Estimation in Asymmetric Gait Using a Single Lower-Back IMU Data and a Biomechanical Model Inspired by a Double Inverted Pendulum
by Daniela Pinto, Paulina Ortega-Bastidas and Pablo Aqueveque
Bioengineering 2026, 13(1), 3; https://doi.org/10.3390/bioengineering13010003 - 20 Dec 2025
Viewed by 340
Abstract
Step length is a fundamental parameter for gait assessment, reflecting complex neuromuscular and biomechanical behavior. Accurate step-length estimation is clinically relevant for monitoring populations with neurological or musculoskeletal conditions, as well as older adults. This study presents a novel biomechanical model, inspired by [...] Read more.
Step length is a fundamental parameter for gait assessment, reflecting complex neuromuscular and biomechanical behavior. Accurate step-length estimation is clinically relevant for monitoring populations with neurological or musculoskeletal conditions, as well as older adults. This study presents a novel biomechanical model, inspired by the inverted double pendulum, for step-length estimation under asymmetric gait conditions using a single inertial sensor on the lower back. Unlike models that assume symmetry, the proposed model explicitly incorporates pelvic rotation, enabling more accurate step length estimation, particularly in individuals with gait impairment. The model was validated against a gold standard OptiTrack® (Corvallis, OR, USA) system with 33 adults: 21 participants without and 12 with gait impairment. Results show that the model achieved low Median Absolute Errors (MdAE), below 0.04 m in participants without gait impairment and remaining within 0.06 m in those with impairment. Statistical validation confirmed a strong correlation with the reference system (R = 0.96, R2 = 0.93) and a clinically trivial mean bias (0.64 cm) from Bland-Altman analysis. These results validate the model’s effectiveness under various gait conditions, suggesting its technical feasibility and strong potential for clinical and real-world applications, particularly for the longitudinal monitoring of patients with functional impairments. Full article
Show Figures

Figure 1

Back to TopTop