Hybrid Sliding Mode Control with Integral Resonant Control for Chattering Reduction in a 3-DOF Lower-Limb Exoskeleton Rehabilitation
Abstract
1. Introduction
- i.
- Hybrid SMC + IRC Design:
- ii.
- Comparative Performance Evaluation:
- iii.
- Enhanced Stability and Energy Efficiency:
2. Dynamic Mathematical Model
3. Control Design
3.1. Sliding Mode Control Design
3.2. Super-Twisting Sliding Mode Control
- The term smooths the switching signal, which reduces chattering in the control signal
- The term is the integral of sign(s) ensures finite-time convergence
- Sliding variable:
3.3. Integral Resonant Control
- : tracking or sliding surface error,
- : resonant frequency,
- : damping ratio.
- = sliding surface (error-related term),
- = resonant filter state, and the control output:
- The integral and resonant dynamics attenuate the high-frequency switching components, allowing only the low-frequency control effort to affect the plant.
- The resonant term introduces virtual damping, reducing oscillations caused by discontinuous control signals.
- By integrating the sliding error, the IRC generates a smooth control correction that stabilizes the system without requiring aggressive switching.
3.4. Hybrid SMC with IRC
Stability Proof
- is sampling time,
- is the (known or bounded) input gain projection on the sliding surface (assume a lower bound ),
- is a lumped bounded disturbance/model mismatch terms as detailed in Table 2 with for all . The
- with , boundary .
- is the output of a stable linear time-invariant discrete filter driven by the sliding variable . Tustin discretization of a 2nd-order resonant filter yields a causal LTI map
- (1)
- Case (outside boundary layer)
- (2)
- Case (inside the boundary layer)
4. Results and Discussions
4.1. Trajectory Tracking Performance
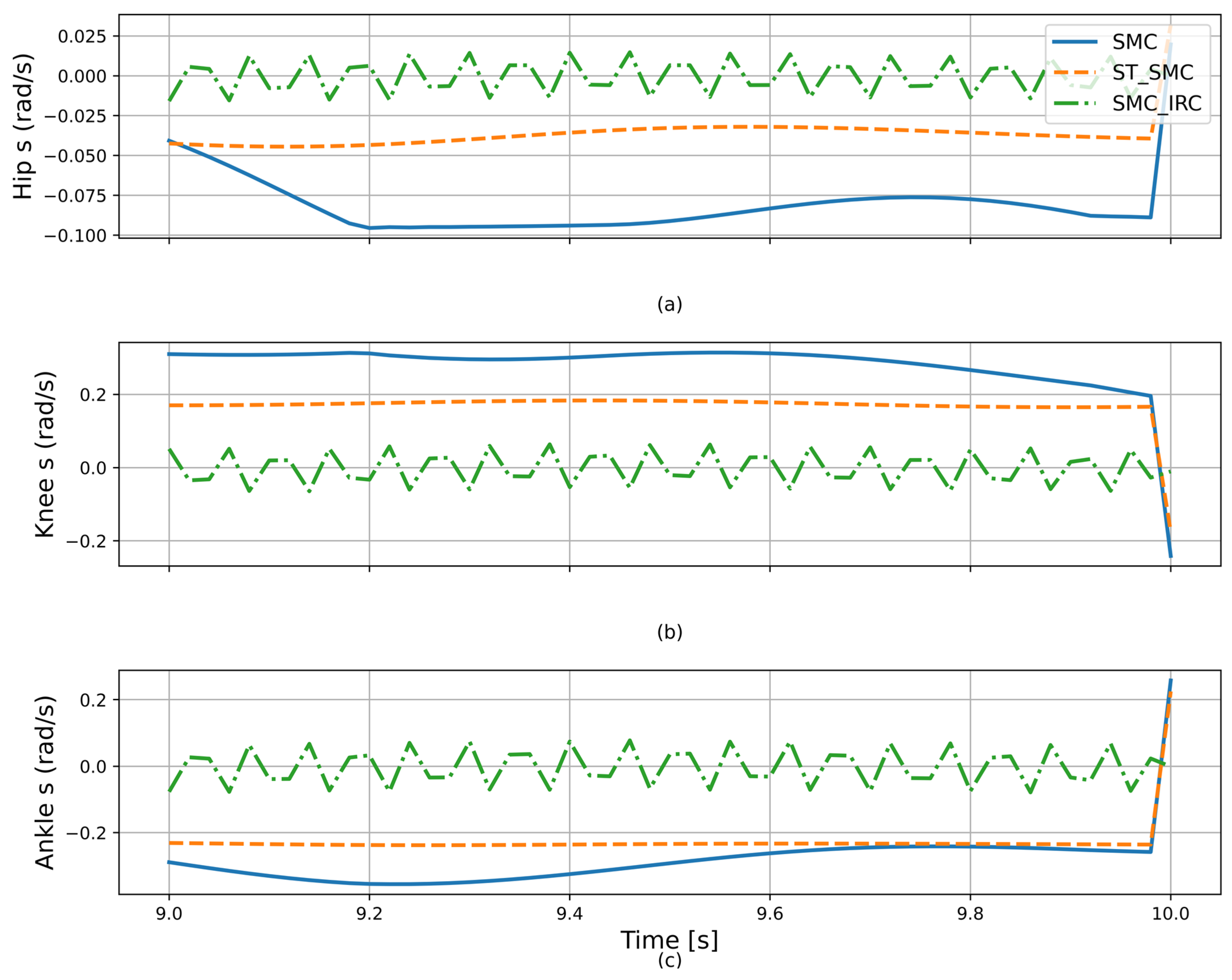
4.2. Sliding Surface Convergence
4.3. Control Torque Responses
4.4. Quantitative Performance Evaluation
- i.
- Control Energy Consumption (EN)
- ii.
- Chattering Index (CI)
- RMSE: The proposed SMC + IRC achieved the lowest RMSE across all joints, indicating superior tracking accuracy compared to SMC. The ST-SMC similarly shows a better tracking performance compared to SMC.
- Chattering Index: Results showed that the hybrid controller drastically reduced the chattering index, confirming that the resonant feedback loop effectively filtered high-frequency oscillations.
- Control Energy: Results revealed that the total control energy for SMC + IRC was the smallest, demonstrating better efficiency due to smoother torque profiles and less actuator effort.
- Generally, the quantitative and visual analyses jointly confirm that the SMC + IRC provides a robust, high-precision, and energy-efficient control solution for coupled nonlinear systems, namely, lower-limb exoskeletons.
5. Conclusions and Future Work Recommendation
5.1. Conclusions
5.2. Future Recommendations
- Experimental or Hardware-in-the-Loop (HIL) Validation: In our next phase of future work, the proposed control SMC + IRC will be implemented on a physical exoskeleton prototype to evaluate real-time performance, robustness to sensor noise, and hardware-induced nonlinearities.
- Adaptive and Learning-Based Tuning: Incorporating adaptive gain scheduling will go a long way in improving its reinforcement learning that could be used to optimize the IRC and SMC parameters online to handle time-varying dynamics. Therefore, while the current fixed gains provide excellent performance, a comprehensive parameter sensitivity and adaptivity analysis would be considered to significantly enhance the robustness of the tuning process.
- Human–Robot Interaction Modeling: Extending the control strategy to include muscle dynamics and interaction torques would go a long way in creating room for more natural and responsive motion assistance works.
- Energy-Aware Optimization: Further minimizing actuator energy consumption and exploring the field of battery quality improvement through optimization-based IRC design could improve battery life in wearable robotic systems.
- Hardware-in-the-Loop Simulation: Integrating hard ware in the loop testing and synthesis would bridge the gap between simulation and experimental deployment, ensuring stability under real-time computational constraints.
Author Contributions
Funding
Institutional Review Board Statement
Informed Consent Statement
Data Availability Statement
Conflicts of Interest
References
- Wang, W.; Ren, H.; Ci, Z.; Yuan, X.; Zhang, P.; Wang, C. Control Method of Upper Limb Rehabilitation Exoskeleton for Better Assistance: A Comprehensive Review. J. Field Robot. 2025, 42, 1373–1387. [Google Scholar] [CrossRef]
- Guatibonza, A.; Solaque, L.; Velasco, A.; Peñuela, L. Assistive Robotics for Upper Limb Physical Rehabilitation: A Systematic Review and Future Prospects. Chin. J. Mech. Eng. 2024, 37, 69. [Google Scholar] [CrossRef]
- Abdullahi, A.M.; Haruna, A.; Chaichaowarat, R. Hybrid Adaptive Impedance and Admittance Control Based on the Sensorless Estimation of Interaction Joint Torque for Exoskeletons: A Case Study of an Upper Limb Rehabilitation Robot. J. Sens. Actuator Netw. 2024, 13, 24. [Google Scholar] [CrossRef]
- Campbell, S.M.; Diduch, C.P.; Sensinger, J.W. Autonomous Assistance-as-Needed Control of a Lower Limb Exoskeleton With Guaranteed Stability. IEEE Access 2020, 8, 51168–51178. [Google Scholar] [CrossRef]
- Kitchatr, S.; Sirimangkalalo, A.; Chaichaowarat, R. Visual servo control for ball-on-plate balancing: Effect of PID controller gain on tracking performance. In Proceedings of the 2023 IEEE International Conference on Robotics and Biomimetics (ROBIO), Koh Samui, Thailand, 4–9 December 2023; pp. 1–6. [Google Scholar]
- Pehlivan, A.U.; Sergi, F.; Omalley, M.K. A Subject-Adaptive Controller for Wrist Robotic Rehabilitation. IEEE/ASME Trans. Mechatron. 2015, 20, 1338–1350. [Google Scholar] [CrossRef]
- Zarrin, R.S.; Zeiaee, A.; Langari, R. A Variable-Admittance Assist-As-Needed Controller for Upper-Limb Rehabilitation Exoskeletons. IEEE Robot. Autom. Lett. 2024, 9, 5903–5910. [Google Scholar] [CrossRef]
- Jin, X.; Guo, J. Disturbance rejection model predictive control of lower limb rehabilitation exoskeleton. Sci. Rep. 2023, 13, 19463. [Google Scholar] [CrossRef] [PubMed]
- Luo, S.; Androwis, G.; Adamovich, S.; Nunez, E.; Su, H.; Zhou, X. Robust walking control of a lower limb rehabilitation exoskeleton coupled with a musculoskeletal model via deep reinforcement learning. J. Neuroeng. Rehabil. 2023, 20, 34. [Google Scholar] [CrossRef] [PubMed]
- Faraj, M.A.; Maalej, B.; Derbel, N. Sliding Mode Control For Lower Limb Rehabilitation Exoskeleton Contacting With Floor. In Proceedings of the 2023 20th International Multi-Conference on Systems, Signals & Devices (SSD), Mahdia, Tunisia, 20–23 February 2023; pp. 109–115. [Google Scholar] [CrossRef]
- Fellag, R.; Benyahia, T.; Drias, M.; Guiatni, M.; Hamerlain, M. Sliding mode control of a 5 dofs upper limb exoskeleton robot. In Proceedings of the 2017 5th International Conference on Electrical Engineering—Boumerdes (ICEE-B), Boumerdes, Algeria, 29–31 October 2017; pp. 1–6. [Google Scholar] [CrossRef]
- Centeno-Barreda, D.; Salazar-Cruz, S.; López-Gutiérrez, R.; Rosales-Luengas, Y.; Lozano, R. Lower limb exoskeleton for gait rehabilitation with adaptive nonsingular sliding mode control. Robotica 2024, 42, 3819–3838. [Google Scholar] [CrossRef]
- Liu, J.; Zhang, Y.; Wang, J.; Chen, W. Adaptive sliding mode control for a lower-limb exoskeleton rehabilitation robot. In Proceedings of the 2018 13th IEEE Conference on Industrial Electronics and Applications (ICIEA), Wuhan, China, 31 May–2 June 2018; pp. 1481–1486. [Google Scholar]
- Zhao, J.; Yang, T.; Sun, X.; Dong, J.; Wang, Z.; Yang, C. Sliding mode control combined with extended state observer for an ankle exoskeleton driven by electrical motor. Mechatronics 2021, 76, 102554. [Google Scholar] [CrossRef]
- Niu, J.; Yang, Q.; Wang, X.; Song, R. Sliding Mode Tracking Control of a Wire-Driven Upper-Limb Rehabilitation Robot with Nonlinear Disturbance Observer. Front. Neurol. 2017, 8, 646. [Google Scholar] [CrossRef] [PubMed] [PubMed Central]
- Kali, Y.; Saad, M.; Fallaha, C. Variable-Gains Bi-Power Reaching Law of SMC with Terminal Model-Based Switching Surfaces for a 7-DoF Exoskeleton Robot. In Proceedings of the 2024 18th International Conference on Control, Automation, Robotics and Vision (ICARCV), Dubai, United Arab, 12–15 December 2024; pp. 1068–1073. [Google Scholar] [CrossRef]
- S. M. B. P. B., S.; Valori, M.; Legnani, G.; Fassi, I. Assessing Safety in Physical Human–Robot Interaction in Industrial Settings: A Systematic Review of Contact Modelling and Impact Measuring Methods. Robotics 2025, 14, 27. [Google Scholar] [CrossRef]
- Alawad, N.A.; Humaidi, A.J.; Alaraji, A.S. Observer Sliding Mode Control Design for lower Exoskeleton system: Rehabilitation Case. J. Robot. Control (JRC) 2022, 3, 476–482. [Google Scholar] [CrossRef]
- Hu, K.; Ma, Z.; Zou, S.; Li, J.; Ding, H. Impedance Sliding-Mode Control Based on Stiffness Scheduling for Rehabilitation Robot Systems. Cyborg Bionic Syst. 2024, 5, 0099. [Google Scholar] [CrossRef]
- Wu, Q.; Wang, X.; Du, F.; Xi, R. Modeling and position control of a therapeutic exoskeleton targeting upper extremity rehabilitation. Proc. Inst. Mech. Eng. Part C J. Mech. Eng. Sci. 2016, 231, 4360–4373. [Google Scholar] [CrossRef]
- Zhang, M.; Huang, J.; Cao, Y.; Zhang, H.-T. Super Twisting Control of Passive Gait Training Exoskeleton Driven by Pneumatic Muscles. In Proceedings of the 2019 International Symposium on Micro-NanoMechatronics and Human Science (MHS), Nagoya, Japan, 1–4 December 2019; pp. 1–7. [Google Scholar] [CrossRef]
- Boubaker, S.; Dimassi, H.; Said, S.H.; Kamel, S. Robust Sliding-Mode Control of a Two-DOF Lower-Limb Exoskeleton Using a Cascade-Adaptive Super-Twisting Observer. Actuators 2025, 14, 503. [Google Scholar] [CrossRef]
- Park, K.-B.; Lee, J.-J. Sliding mode controller with filtered signal for robot manipulators using virtual plant/controller. Mechatronics 1997, 7, 277–286. [Google Scholar] [CrossRef]
- Fazli, E.; Rakhtala, S.M.; Mirrashid, N.; Karimi, H.R. Real-time implementation of a super twisting control algorithm for an upper limb wearable robot. Mechatronics 2022, 84, 102808. [Google Scholar] [CrossRef]
- Zhu, J.; Zhu, D.; Cai, J. Design of Sliding Mode Controller with Low-Pass Filter for Robot Manipulators. In Proceedings of the 2009 Second International Workshop on Knowledge Discovery and Data Mining (WKDD), Moscow, Russia, 23–25 January 2009; pp. 296–299. [Google Scholar] [CrossRef]
- Tseng, M.; Chen, M. Chattering reduction of sliding mode control by low-pass filtering the control signal. Asian J. Control 2010, 12, 392–398. [Google Scholar] [CrossRef]
- Yoshida, M.; Gobara, S.; Hiruta, T.; Inoue, T.; Iwasaki, T.; Takagi, K. Integral resonant control preserving the rigid body mode of torsional vibration systems. IFAC-PapersOnLine 2023, 56, 6344–6350. [Google Scholar] [CrossRef]
- Saeed, N.A.; Mohamed, M.S.; Elagan, S.K.; Awrejcewicz, J. Integral Resonant Controller to Suppress the Nonlinear Oscillations of a Two-Degree-of-Freedom Rotor Active Magnetic Bearing System. Processes 2022, 10, 271. [Google Scholar] [CrossRef]
- Aphale, S.S.; Namavar, M.; Fleming, A.J. Resonance-shifting Integral Resonant Control for High-speed Nanopositioning. In Proceedings of the 2018 Annual American Control Conference (ACC), Milwaukee, WI, USA, 27–29 June 2018; pp. 6006–6011. [Google Scholar] [CrossRef]
- Bhikkaji, B.; Moheimani, S.O.R.; Petersen, I.R. Multivariable integral control of resonant structures. In Proceedings of the 2008 47th IEEE Conference on Decision and Control, Cancun, Mexico, 9–11 December 2008; pp. 3743–3748. [Google Scholar] [CrossRef]
- Russell, D.; Fleming, A.J.; Aphale, S.S. Improving the positioning bandwidth of the Integral Resonant Control Scheme through strategic zero placement. IFAC Proc. Vol. 2014, 47, 6539–6544. [Google Scholar] [CrossRef]
- Díaz, I.M.; Pereira, E.; Reynolds, P. Integral resonant control scheme for cancelling human-induced vibrations in light-weight pedestrian structures. Struct. Control Health Monit. 2012, 19, 55–69. [Google Scholar] [CrossRef]
- Omidi, E.; Mahmoodi, S.N. Nonlinear integral resonant controller for vibration reduction in nonlinear systems. Acta Mech. Sin. 2016, 32, 925–934. [Google Scholar] [CrossRef]
- Abdullahi, A.M.; Mohamed, Z.; M., M.N. Resonant Control of a Single-Link Flexible Manipulator. J. Teknol. 2014, 67, 35–39. [Google Scholar] [CrossRef][Green Version]
- Wang, P.; Zhang, D.; Lu, B. Robust fuzzy sliding mode control based on low pass filter for the welding robot with dynamic uncertainty. Ind. Robot. 2020, 47, 111–120. [Google Scholar] [CrossRef]
- Gracia, L.; Solanes, J.E.; Muñoz-Benavent, P.; Esparza, A.; Miro, J.V.; Tornero, J. Cooperative transport tasks with robots using adaptive non-conventional sliding mode control. Control Eng. Pract. 2018, 78, 35–55. [Google Scholar] [CrossRef]
- Calanca, A.; Capisani, L.; Fiorini, P.; Ferrara, A. Improving continuous approximation of Sliding Mode Control. In Proceedings of the 2013 16th International Conference on Advanced Robotics (ICAR), Montevideo, Uruguay, 25–29 November 2013; pp. 1–6. [Google Scholar] [CrossRef]
- Guo, W.; Katiyar, S.A.; Davis, S.; Nefti-Meziani, S. Overview: A Comprehensive Review of Soft Wearable Rehabilitation and Assistive Devices, with a Focus on the Function, Design and Control of Lower-Limb Exoskeletons. Machines 2025, 13, 1020. [Google Scholar] [CrossRef]
- Cao, Y.; Chen, X.; Zhang, M.; Huang, J. Adaptive Position Constrained Assist-as-Needed Control for Rehabilitation Robots. IEEE Trans. Ind. Electron. 2024, 71, 4059–4068. [Google Scholar] [CrossRef]
- Pons, J.L. Rehabilitation Exoskeletal Robotics. IEEE Eng. Med. Biol. Mag. 2010, 29, 57–63. [Google Scholar] [CrossRef] [PubMed]
- Jenhani, S.; Gritli, H.; Narayan, J. Robust Position Control of a Knee-Joint Rehabilitation Exoskeleton Using a Linear Matrix Inequalities-Based Design Approach. Appl. Sci. 2025, 15, 404. [Google Scholar] [CrossRef]
- Alawad, N.A.; Humaidi, A.J.; Muslim, M.M. Modified ADRC for position lower-knee exoskeleton system: Rehabilitation case. Int. Rev. Appl. Sci. Eng. 2025, 16, 314–323. [Google Scholar] [CrossRef]
- Narayan, J.; Abbas, M.; Dwivedy, S.K. Robust adaptive backstepping control for a lower-limb exoskeleton system with model uncertainties and external disturbances. Automatika 2022, 64, 145–161. [Google Scholar] [CrossRef]
- Mooney, L.M.; Rouse, E.J.; Herr, H.M. Autonomous exoskeleton reduces the metabolic cost of human walking. J. Neuroeng. Rehabil. 2014, 11, 151. [Google Scholar] [CrossRef]
- Mashud, G.; Hasan, S.; Alam, N. Advances in Control Techniques for Rehabilitation Exoskeleton Robots: A Systematic Review. Actuators 2025, 14, 108. [Google Scholar] [CrossRef]
- Torabi, M.; Sharifi, M.; Vossoughi, G. Robust adaptive sliding mode admittance control of exoskeleton rehabilitation robots. Sci. Iran. 2018, 25, 2628–2642. [Google Scholar] [CrossRef]
- Han, Y.; Zhu, S.; Zhou, Y.; Gao, H. An admittance controller based on Assistive Torque Estimation for a rehabilitation leg exoskeleton. Intell. Serv. Robot. 2019, 12, 381–391. [Google Scholar] [CrossRef]
- Cao, H.; He, Y.; Chen, X.; Zhao, X. Smooth adaptive hybrid impedance control for robotic contact force tracking in dynamic environments. Ind. Robot. Int. J. Robot. Res. Appl. 2020, 47, 231–242. [Google Scholar] [CrossRef]
- Zhang, Y.; Xie, W.; Ma, R. Disturbance observer-based terminal sliding mode control for the training safety improvement in robot-assisted rehabilitation. Intell. Robot. 2025, 5, 333–354. [Google Scholar] [CrossRef]
- Chen, N.; Wang, J.; Yun, L.; Zou, J.; Zhang, C. Research on Trajectory Tracking Control of Lower Limb Exoskeleton Based on Fractional Order Sliding Mode and Disturbance Observer. Adv. Theory Simulations 2025, 8, e00849. [Google Scholar] [CrossRef]
- Abdullahi, A.M.; Chaichaowarat, R. Sensorless Estimation of Human Joint Torque for Robust Tracking Control of Lower-Limb Exoskeleton Assistive Gait Rehabilitation. J. Sens. Actuator Netw. 2023, 12, 53. [Google Scholar] [CrossRef]












| Parameters | Symbols | Values |
|---|---|---|
| Thigh mass | 2.8 kg | |
| Shank mass | 1.17 kg | |
| Foot mass | 0.6 kg | |
| Thigh length | 0.3 m | |
| Shank length | 0.2 m | |
| Foot length | 0.08 m | |
| Center of mass of the thigh length | 0.15 m | |
| Center of mass of the shank length | 0.1 m | |
| Center of mass of the foot length | 0.04 m | |
| Thigh inertia | ||
| Shank inertia | ||
| Foot inertia | ||
| gravity |
| Term | Full Name | Description | Exoskeleton Relevance |
|---|---|---|---|
| Lumped Uncertainty/Disturbance Vector | The total force vector that the SMC switching term () must compensate for at any given time. The controller gain K must be greater than the maximum expected magnitude of d. | Represents the overall challenge to the controller’s robustness. | |
| Model Error | This is the difference between the Nominal Dynamic Model ( used in the control law calculation and the True, Actual Dynamic Model () of the physical system. This error arises from unknown or time-varying mass, inertia, and friction parameters. | Accounts for manufacturing tolerances, wear, and unknown payload (e.g., the user’s leg mass). | |
| Human–Robot Interaction Torque | This is the external, unpredictable, and highly variable torque vector exerted by the human user’s leg muscles on the exoskeleton. This includes active muscle contraction, passive joint stiffness, and viscosity. | The primary uncertainty is in a rehabilitation exoskeleton. The user’s intent or spasm creates this torque, which the controller must immediately counteract. | |
| Unmodeled Dynamics/External Disturbances | Any other torque not accounted for in the primary model or HRI term. This includes external wind gusts, environmental contact forces, backlash in the gears, unmodeled motor dynamics, and sensor noise effects. | Ensures the controller can handle real-world hardware imperfections and external impacts. |
| Joint | Control Gains | ||||||
|---|---|---|---|---|---|---|---|
| SMC | ST-SMC | IRC | |||||
| Lambda ) | K (Nm) | Phi (rad/s) | K1 | K2 | (rad/s) | ||
| Hip | 60 | 5.0 | 0.02 | 10.0 | 20 | 60 | 3.0 |
| Knee | 65 | 6.5 | 0.02 | 12.5 | 30 | 60 | 3.0 |
| Ankle | 50 | 5.0 | 0.02 | 10.0 | 20 | 60 | 3.0 |
| Reference | ||||||||||
|---|---|---|---|---|---|---|---|---|---|---|
| Hip | 9.092 | −20.86 | 6.744 | 5.021 | 2.101 | −0.142 | 1.197 | 0.130 | −0.216 | 0.0631 |
| Knee | 9.092 | −8.99 | 7.14 | −4.030 | 6.110 | −1.141 | 1.200 | 0.213 | −0.220 | 0.0631 |
| Ankle | 9.092 | −3.99 | −7.14 | 8.030 | 4.110 | −4.141 | 0.200 | 0.013 | 0.220 | 0.0631 |
| Joint | Fourier Reference (deg.) | Sine Wave Reference (deg.) | ||||
|---|---|---|---|---|---|---|
| SMC | ST-SMC | SMC + IRC | SMC | ST-SMC | SMC + IRC | |
| Hip | 0.0280 | 0.0071 | 0.0042 | 0.0293 | 0.0056 | 0.0034 |
| Knee | 0.1079 | 0.0094 | 0.0108 | 0.0926 | 0.0107 | 0.0127 |
| Ankle | 0.1164 | 0.0142 | 0.0142 | 0.2324 | 0.0146 | 0.0155 |
| Joint | Controller | Chattering Index (Nm) | Reduction vs. SMC (%) | Control Energy (Nms) | Reduction vs. SMC (%) |
|---|---|---|---|---|---|
| Hip | SMC | 47,897.457 | - | 1510.4285 | - |
| ST-SMC | 16,152.901 | 66.3% | 1306.9233 | 13.5% | |
| SMC + IRC | 229.68025 | 99.5% | 1280.9737 | 15.2% | |
| Knee | SMC | 83,834.476 | - | 769.17701 | - |
| ST-SMC | 53,041.697 | 36.7% | 347.33722 | 54.8% | |
| SMC + IRC | 550.78939 | 99.3% | 66.594739 | 91.3% | |
| Ankle | SMC | 50,597.934 | - | 259.34885 | - |
| ST-SMC | 33,996.612 | 32.8% | 118.78576 | 54.2% | |
| SMC + IRC | 416.12706 | 99.2% | 3.5165859 | 98.6% |
Disclaimer/Publisher’s Note: The statements, opinions and data contained in all publications are solely those of the individual author(s) and contributor(s) and not of MDPI and/or the editor(s). MDPI and/or the editor(s) disclaim responsibility for any injury to people or property resulting from any ideas, methods, instructions or products referred to in the content. |
© 2025 by the authors. Licensee MDPI, Basel, Switzerland. This article is an open access article distributed under the terms and conditions of the Creative Commons Attribution (CC BY) license.
Share and Cite
Hamza, M.F.; Abdullahi, A.M.; Alqahtani, A.; Rokbani, N. Hybrid Sliding Mode Control with Integral Resonant Control for Chattering Reduction in a 3-DOF Lower-Limb Exoskeleton Rehabilitation. Appl. Sci. 2026, 16, 410. https://doi.org/10.3390/app16010410
Hamza MF, Abdullahi AM, Alqahtani A, Rokbani N. Hybrid Sliding Mode Control with Integral Resonant Control for Chattering Reduction in a 3-DOF Lower-Limb Exoskeleton Rehabilitation. Applied Sciences. 2026; 16(1):410. https://doi.org/10.3390/app16010410
Chicago/Turabian StyleHamza, Muktar Fatihu, Auwalu Muhammad Abdullahi, Abdulrahman Alqahtani, and Nizar Rokbani. 2026. "Hybrid Sliding Mode Control with Integral Resonant Control for Chattering Reduction in a 3-DOF Lower-Limb Exoskeleton Rehabilitation" Applied Sciences 16, no. 1: 410. https://doi.org/10.3390/app16010410
APA StyleHamza, M. F., Abdullahi, A. M., Alqahtani, A., & Rokbani, N. (2026). Hybrid Sliding Mode Control with Integral Resonant Control for Chattering Reduction in a 3-DOF Lower-Limb Exoskeleton Rehabilitation. Applied Sciences, 16(1), 410. https://doi.org/10.3390/app16010410

