Sign in to use this feature.

Years

Between: -

Subjects

remove_circle_outline
remove_circle_outline
remove_circle_outline
remove_circle_outline
remove_circle_outline
remove_circle_outline
remove_circle_outline
remove_circle_outline
remove_circle_outline

Journals

remove_circle_outline
remove_circle_outline
remove_circle_outline
remove_circle_outline
remove_circle_outline

Article Types

Countries / Regions

remove_circle_outline
remove_circle_outline
remove_circle_outline
remove_circle_outline

Search Results (191)

Search Parameters:
Keywords = hub location models

Order results
Result details
Results per page
Select all
Export citation of selected articles as:
56 pages, 16068 KB  
Article
ESG Practices and Air Emissions Reduction in the Oil and Gas Industry: Empirical Evidence from Kazakhstan
by Ainagul Adambekova, Saken Kozhagulov, Vitaliy Salnikov, Jose Carlos Quadrado, Svetlana Polyakova, Rassima Salimbayeva, Aina Rysmagambetova, Gulnur Musralinova and Ainur Tanybayeva
Sustainability 2025, 17(24), 11317; https://doi.org/10.3390/su172411317 - 17 Dec 2025
Abstract
This study examines the impact of Environmental, Social, and Governance (ESG) strategies on reducing air pollution in the West Kazakhstan region, a major hub for Kazakhstan’s oil and gas industry. A spatial analysis of atmospheric emissions reveals an uneven distribution of emission sources, [...] Read more.
This study examines the impact of Environmental, Social, and Governance (ESG) strategies on reducing air pollution in the West Kazakhstan region, a major hub for Kazakhstan’s oil and gas industry. A spatial analysis of atmospheric emissions reveals an uneven distribution of emission sources, predominantly concentrated in the northern industrialized part of the region, where the Karachaganak oil and gas condensate field is located. The ESG model of Karachaganak Petroleum Operating b.v. (KPO), implemented as an integrated management system based on Global Reporting Initiative (GRI) standards, is compared with the ESG strategies of leading oil and gas companies in Kazakhstan and globally, aligning with current international research trends. The analysis underscores the interdependence of technological and social aspects in the transition to a low-carbon economy, confirming the importance of integrating the environmental, social, and governance components of ESG into a unified strategic planning framework for sustainable development. Using econometric modeling, the study establishes a relationship between ESG indicators and the reduction in atmospheric pollution and provides a forecast for emission reductions by 2030. The key measures proposed to improve regional air quality are linked to long-term decarbonization strategies within the context of the sustainable development of the entire region. The proposed algorithm for implementing ESG principles helps to identify the concentration of functions and associated risks at different management levels within Highly Polluting Enterprises (HPEs) and optimizes business processes by focusing efforts on air pollution mitigation. The findings are applicable to other countries, as oil and gas producers worldwide face a number of common air pollution challenges. Full article
(This article belongs to the Section Air, Climate Change and Sustainability)
Show Figures

Figure 1

18 pages, 2220 KB  
Article
Verification of Wind Turbine Energy Productivity Models Under Polish Conditions: A Comparative Analysis of ERA5, MERRA, and Local Measurement Data
by Piotr Olczak, Jarosław Kulpa, Artur Dyczko, Dominika Matuszewska and Lina Montuori
Sustainability 2025, 17(24), 11043; https://doi.org/10.3390/su172411043 - 10 Dec 2025
Viewed by 127
Abstract
Numerous models exist for estimating the specific energy yield of wind turbines, typically relying on meteorological wind speed data and turbine characteristics. However, the applicability and accuracy of these models must be validated against real-world data, particularly concerning the conditions specific to Poland. [...] Read more.
Numerous models exist for estimating the specific energy yield of wind turbines, typically relying on meteorological wind speed data and turbine characteristics. However, the applicability and accuracy of these models must be validated against real-world data, particularly concerning the conditions specific to Poland. The primary objective of this study was to verify the accuracy of existing wind energy yield models for onshore wind turbine installations in Polish conditions. The study was conducted in two parts. First, the compliance of wind speed data derived from two global reanalysis databases (ERA5 and MERRA) was analyzed against actual hourly measurements. These measurements were collected from nacelle-mounted sensors at the hub height of six operational turbines (two 3 MW and four 0.8 MW units) at a wind farm site over the course of 2019. Second, a computational model for the specific energy yield was verified using the same on-site measurements, incorporating data on turbine configuration, location, and the ERA5/MERRA inputs. A significant discrepancy was observed: wind speeds measured directly on the higher-capacity turbines (3 MW) were consistently higher than those reported in the ERA5 and MERRA databases. This difference is attributed to the fact that the coarse grid resolution of global databases does not capture the precise, optimized placement of turbines at sites specifically selected for high wind potential, often considering local topography. Despite this initial wind speed variance, the subsequent verification of the energy yield model showed satisfactory agreement with real production data. The relative mean bias error (rMBE) was found to be below 8% for the ERA5 input paired with the 3 MW turbine data and below 12% for the MERRA input paired with the 0.8 MW turbine data. The findings confirm that while global reanalysis databases may underestimate local wind speeds due to generalized grid resolution, the tested energy yield model provides satisfactory results for wind turbine planning in Poland. Full article
Show Figures

Figure 1

19 pages, 5877 KB  
Article
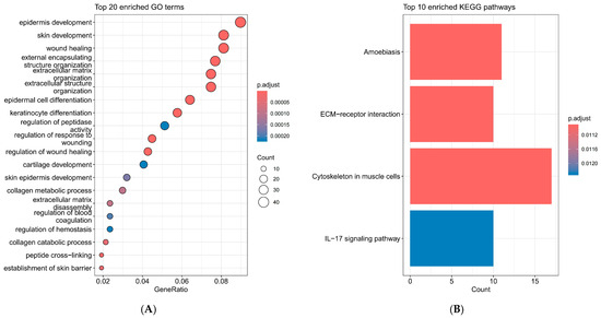
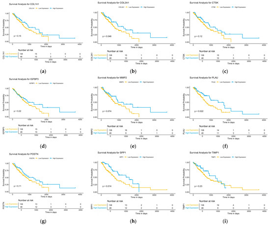
Identification of COL3A1, PLAU, and SPP1 as Key Biomarkers for Early Detection of Esophageal Cancer
by Hong Zhang, Xin Cheng, Mengdi Zhang, Yixin Zuo, Shilu Zhu, Zhaorui Zuo, Xingliang Wang, Shan Lu and Xuan Gao
Int. J. Mol. Sci. 2025, 26(24), 11890; https://doi.org/10.3390/ijms262411890 - 10 Dec 2025
Viewed by 171
Abstract
Esophageal cancer (EC) is a highly lethal malignancy often diagnosed at advanced stages due to the lack of effective early diagnostic markers. This study aimed to identify molecular markers and construct a diagnostic model for early-stage esophageal cancer using bioinformatics approaches. Using bioinformatics, [...] Read more.
Esophageal cancer (EC) is a highly lethal malignancy often diagnosed at advanced stages due to the lack of effective early diagnostic markers. This study aimed to identify molecular markers and construct a diagnostic model for early-stage esophageal cancer using bioinformatics approaches. Using bioinformatics, we screened three GEO datasets, locating 506 differentially expressed genes crucial to cancer progression. Our results connect ECM-receptor interaction and cytoskeleton reorganization pathways to EC. Two core gene modules came up during the protein-protein interaction analysis. From the 22 hub genes singled out, COL3A1, PLAU, and SPP1 significantly impacted patient survival, showing considerable overexpression in cancer subjects. These genes’ expression patterns changed across cancer stages. The main novelty of our study lies in integrating these three well-known ECM-associated genes into a machine learning-based diagnostic model with an AUC of 0.98, rather than focusing on individual genes. This combined model demonstrates high diagnostic accuracy, suggesting that COL3A1, PLAU, and SPP1 may serve as effective early-stage EC biomarkers. The diagnostic model based on these genes shows high accuracy, making it a promising tool for early-stage cancer screening. Full article
Show Figures

Figure 1

26 pages, 7833 KB  
Article
An Integrated Meta-QTL and Transcriptome Analysis Provides Candidate Genes Associated with Drought Tolerance in Rice Seedlings
by Yinji Jin, Weize Dou, Tianhao Wang, Zhuo Jin and Songquan Wu
Plants 2025, 14(23), 3645; https://doi.org/10.3390/plants14233645 - 29 Nov 2025
Viewed by 450
Abstract
Drought stress, intensified by climate change, poses a significant threat to global rice security. To identify stable quantitative trait loci (QTL) associated with drought tolerance in rice under different genetic backgrounds and environmental conditions, this study combined 901 drought-tolerant QTLs reported in 52 [...] Read more.
Drought stress, intensified by climate change, poses a significant threat to global rice security. To identify stable quantitative trait loci (QTL) associated with drought tolerance in rice under different genetic backgrounds and environmental conditions, this study combined 901 drought-tolerant QTLs reported in 52 independent studies published between 2000 and 2023, which were subsequently meta-analyzed and condensed into 77 meta-QTLs (MQTLs). Among them, 23 MQTLs were validated in seven independent genome-wide association studies (GWAS) on drought tolerance in rice, each conducted using different natural populations. The confidence intervals (CIs) of the MQTLs were substantially narrowed, with the reduction factor ranging from 2.44 to 20.40 relative to the original QTLs. To further explore key genes for drought tolerance, we screened for genes located within the MQTL regions and differentially expressed in our RNA-seq data, yielding 3851 drought-responsive differentially expressed genes (DEGs). These DEGs were then subjected to a refinement process that included Mfuzz clustering, cis-regulatory element (CRE) analysis, protein–protein interaction (PPI) network analysis and AlphaFold-based structural modeling of their encoded proteins. This stepwise filtering identified eleven drought-responsive hub proteins, nine with annotated functions and two functionally uncharacterized. Following further prioritization, LOC_Os04g35340 and Os07g0141400 were established as core candidate genes (CGs) for dissecting the genetic and biochemical basis of drought tolerance in rice. Full article
(This article belongs to the Special Issue Mechanism of Drought and Salinity Tolerance in Crops)
Show Figures

Figure 1

23 pages, 18667 KB  
Article
Spatio-Temporal Evolution of Land Use and Carbon Stock Under Multiple Scenarios Based on the PLUS-InVEST Model: A Case Study of Chengdu
by Lin Li, Yu Feng, Junjie He, Zheng Yang and Yiwen He
Sustainability 2025, 17(21), 9903; https://doi.org/10.3390/su17219903 - 6 Nov 2025
Viewed by 532
Abstract
Under the context of global climate change and China’s dual carbon strategy (DCS), the impact of land use/land cover change (LULCC) on regional carbon stocks has garnered increasing attention. As a key economic and ecological hub in Southwest China, Chengdu has undergone significant [...] Read more.
Under the context of global climate change and China’s dual carbon strategy (DCS), the impact of land use/land cover change (LULCC) on regional carbon stocks has garnered increasing attention. As a key economic and ecological hub in Southwest China, Chengdu has undergone significant urbanization over the past two decades, and it is necessary to quantitatively assess how shifts in land use affect its carbon stock function. This study integrates multi-period remote sensing data from 2000 to 2020, combining socioeconomic and natural environmental drivers. The PLUS model was employed to simulate land use in 2030 under four scenarios: Natural Development Scenario (NDS), Urban Development Scenario (UDS), Conservation of Cropland Scenario (CPS), and Ecological Protection Scenario (EPS). The InVEST model was then used to calculate changes in carbon stocks and their spatial distribution characteristics. The results indicate the following: (1) From 2000 to 2020, Chengdu’s cropland decreased by 1188.6174 km2, while built-up land increased by 1006.5465 km2, resulting in a net carbon stock decrease of approximately 3.25 × 106 t, with carbon gains from forest restoration offsetting part of the cropland-to-built-up loss; (2) Under all scenarios, built-up land exhibited an expansion trend, with the UDS showing the most significant increase, reaching 1919.2455 km2. In the EPS, the forest increased to 4035.258 km2, achieving the largest carbon stock increase of 8.5853 × 106 t. (3) Chengdu’s carbon stock exhibits a spatial distribution pattern characterized by “high in the northwest, low in the center”. High-value areas are concentrated in the ecologically sound Longmen Mountains and Longquan Mountains, while low-value areas are primarily located in urban built-up zones and their peripheries. The study indicates that rationally controlling the expansion of Built-up land, strengthening ecological restoration, and protecting forests can effectively enhance Chengdu’s carbon sink capacity and achieve regional low-carbon and sustainable development. This study aims to address the gap in carbon stock assessments under different development scenarios at the urban scale in Southwest China, and to provide a scientific basis for Chengdu’s regional spatial planning, ecological conservation, low-carbon development, and sustainable land management. Full article
(This article belongs to the Section Sustainable Urban and Rural Development)
Show Figures

Figure 1

17 pages, 4339 KB  
Article
A Logit Approach to Study the Attractiveness of DRT Stops Location: The Case Study of Ragusa, Italy
by Antonio Russo, Tiziana Campisi, Chiara Spadaro, Guilhermina Torrao and Giovanni Tesoriere
Future Transp. 2025, 5(4), 156; https://doi.org/10.3390/futuretransp5040156 - 1 Nov 2025
Viewed by 596
Abstract
Demand-Responsive Transport (DRT) services ensure the implementation of more sustainable transport solutions and focuses on the creation of more flexible and personalised public transport systems. They help to reduce the use of cars, improve service efficiency, and reduce the environmental impact. The attractiveness [...] Read more.
Demand-Responsive Transport (DRT) services ensure the implementation of more sustainable transport solutions and focuses on the creation of more flexible and personalised public transport systems. They help to reduce the use of cars, improve service efficiency, and reduce the environmental impact. The attractiveness of DRTs depends on the type of activities served (e.g., schools, hospitals, modal interchange hubs). The attractiveness of a specific stop depends not only on its location but also on proximity to essential services (such as schools). The aim of this study is to identify which categories of activities most influence users’ choice of stops. A conditional logit model is developed to analyse drop-off stop selection, based on the location and configuration of key stops and major attraction points in the monitored case study in Ragusa, Sicily (southern Italy). Accessibility to different attraction points from stops is considered as the main independent variable. The results show that proximity to sports facilities and schools strongly influence users’ choice of stops, along with nearby modal interchange stations and shopping-related activities. Conversely, stops near health centres tended to be less attractive in the study area. Furthermore, sports facilities exert the strongest attraction, while travel patterns to health services deviate from existing literature, likely reflecting the limited availability of complementary transport options. Full article
Show Figures

Figure 1

32 pages, 33558 KB  
Article
Geo-Spatial Optimization and First and Last Mile Accessibility for Sustainable Urban Mobility in Bangkok, Thailand
by Sornkitja Boonprong, Pariwate Varnnakovida, Nawin Rinrat, Napatsorn Kaytakhob and Arinnat Kitsamai
Sustainability 2025, 17(21), 9653; https://doi.org/10.3390/su17219653 - 30 Oct 2025
Viewed by 1544
Abstract
Urban mobility in Bangkok is constrained by congestion, modal fragmentation, and gaps in First and Last Mile (FLM) access. This study develops a GIS-based framework that combines maximal-coverage location allocation with post-optimization accessibility diagnostics to inform intermodal hub siting. The network model compares [...] Read more.
Urban mobility in Bangkok is constrained by congestion, modal fragmentation, and gaps in First and Last Mile (FLM) access. This study develops a GIS-based framework that combines maximal-coverage location allocation with post-optimization accessibility diagnostics to inform intermodal hub siting. The network model compares one-, three-, and five-hub configurations using a 20 min coverage standard, and we conduct sensitivity tests at 15 and 25 min to assess robustness. Cumulative isochrones and qualitative overlays on BTS, MRT, SRT, Airport Rail Link, and principal water routes are used to interpret spatial balance, peripheral reach, and multimodal alignment. In the one-hub scenario, the model selects Pathum Wan as the optimal central node. Transitioning to a small multi-hub network improves geographic balance and reduces reliance on the urban core. The three-hub arrangement strengthens north–south accessibility but leaves the west bank comparatively underserved. The five-hub configuration is the most spatially balanced and network-consistent option, bridging the west bank and reinforcing rail interchange corridors while aligning proposed hubs with existing high-capacity lines and waterway anchors. Methodologically, the contribution is a transparent workflow that pairs coverage-based optimization with isochrone interpretation; substantively, the findings support decentralized, polycentric hub development as a practical pathway to enhance FLM connectivity within Bangkok’s current network structure. Key limitations include reliance on resident population weights that exclude floating or temporary populations, use of typical network conditions for travel times, a finite pre-screened candidate set, and the absence of explicit route choice and land-use intensity in the present phase. Full article
Show Figures

Figure 1

20 pages, 3828 KB  
Article
Identification of Expression Quantitative Trait Loci (eQTL) for Adipose-Specific Regulatory Mechanisms in Hanwoo (Korean Cattle)
by Junyoung Lee, Taejoon Jeong, Woncheoul Park, Sunsik Jang, Poong-Yeon Lee and Dajeong Lim
Animals 2025, 15(21), 3082; https://doi.org/10.3390/ani15213082 - 24 Oct 2025
Viewed by 548
Abstract
Understanding the genetic regulatory mechanisms of fat accumulation is crucial for improving beef quality. Hanwoo (Korean native cattle) is renowned for its high intramuscular fat (marbling), yet the genetic regulation of adipose gene expression remains insufficiently understood. In this study, we performed expression [...] Read more.
Understanding the genetic regulatory mechanisms of fat accumulation is crucial for improving beef quality. Hanwoo (Korean native cattle) is renowned for its high intramuscular fat (marbling), yet the genetic regulation of adipose gene expression remains insufficiently understood. In this study, we performed expression quantitative trait loci (eQTL) analysis using RNA-Seq data and genotype data from backfat tissue of 75 Hanwoo steers to identify regulatory variants associated with adipose deposition. A total of 25,042 significant cis-eQTL associations (FDR < 0.05) were identified, and 5362 unique top cis-eQTL pairs were retained after gene-wise filtering. Key cis-regulated genes included AGBL1, CACNG1, MYO18B, and DUSP29, which are involved in cytoskeletal organization, muscle development and calcium signaling. Three major cis-regulatory hotspots were located on BTA15 (BTA15:50354741) and BTA21 (BTA21:21526143, and BTA21:21541921). Permutation-based analysis (100,000 iterations) was conducted to control false positives, identifying 12 statistically significant trans-eQTL hotspots (FDR q < 0.05), of which SNP 6:60512276 and SNP 21:17035557 exhibited extensive trans-regulatory activity influencing 429 and 161 genes, respectively. In particular, SNP 21:17035557 acted as a shared cis- and trans-regulatory hub, indicating hierarchical control of adipose gene networks. Functional enrichment analyses revealed significant involvement of cytoskeleton- and calcium-dependent pathways, highlighting the interplay between structural remodeling and metabolic regulation in adipose tissue. These findings provide a comprehensive, system-level view of adipose gene regulation in Hanwoo cattle and highlight candidate molecular targets for genome-assisted and precision breeding. Moreover, this study offers quantitative genomic resources that can support the development of prediction models and decision-support systems for improving carcass traits in Hanwoo breeding programs. Full article
Show Figures

Figure 1

33 pages, 20640 KB  
Article
A Complex Network Science Perspective on Urban Parcel Locker Placement
by Enrico Corradini, Mattia Mandorlini, Filippo Mariani, Paolo Roselli, Samuele Sacchetti and Matteo Spiga
Big Data Cogn. Comput. 2025, 9(10), 249; https://doi.org/10.3390/bdcc9100249 - 30 Sep 2025
Viewed by 1006
Abstract
The rapid rise of e-commerce is intensifying pressure on last-mile delivery networks, making the strategic placement of parcel lockers an urgent urban challenge. In this work, we adapt multilayer two-mode Social Network Analysis to the parcel-locker siting problem, modeling city-scale systems as bipartite [...] Read more.
The rapid rise of e-commerce is intensifying pressure on last-mile delivery networks, making the strategic placement of parcel lockers an urgent urban challenge. In this work, we adapt multilayer two-mode Social Network Analysis to the parcel-locker siting problem, modeling city-scale systems as bipartite networks linking spatially resolved demand zones to locker locations using only open-source demographic and geographic data. We introduce two new Social Network Analysis metrics, Dual centrality and Coverage centrality, designed to identify both structurally critical and highly accessible lockers within the network. Applying our framework to Milan, Rome, and Naples, we find that conventional coverage-based strategies successfully maximize immediate service reach, but tend to prioritize redundant hubs. In contrast, Dual centrality reveals a distinct set of lockers whose presence is essential for maintaining overall connectivity and resilience, often acting as hidden bridges between user communities. Comparative analysis with state-of-the-art multi-criteria optimization baselines confirms that our network-centric metrics deliver complementary, and in some cases better, guidance for robust locker placement. Our results show that a network-analytic lens yields actionable guidance for resilient last-mile locker siting. The method is reproducible from open data (potential-access weights) and plug-in compatible with observed assignments. Importantly, the path-based results (Coverage centrality) are adjacency-driven and thus largely insensitive to volumetric weights. Full article
Show Figures

Figure 1

21 pages, 31599 KB  
Article
Deformable USV and Lightweight ROV Collaboration for Underwater Object Detection in Complex Harbor Environments: From Acoustic Survey to Optical Verification
by Yonghang Li, Mingming Wen, Peng Wan, Zelin Mu, Dongqiang Wu, Jiale Chen, Haoyi Zhou, Shi Zhang and Huiqiang Yao
J. Mar. Sci. Eng. 2025, 13(10), 1862; https://doi.org/10.3390/jmse13101862 - 26 Sep 2025
Viewed by 3809
Abstract
As crucial transportation hubs and economic nodes, the underwater security and infrastructure maintenance of harbors are of paramount importance. Harbors are characterized by high vessel traffic and complex underwater environments, where traditional underwater inspection methods, such as diver operations, face challenges of low [...] Read more.
As crucial transportation hubs and economic nodes, the underwater security and infrastructure maintenance of harbors are of paramount importance. Harbors are characterized by high vessel traffic and complex underwater environments, where traditional underwater inspection methods, such as diver operations, face challenges of low efficiency, high risk, and limited operational range. This paper introduces a collaborative survey and disposal system that integrates a deformable unmanned surface vehicle (USV) with a lightweight remotely operated vehicle (ROV). The USV is equipped with a side-scan sonar (SSS) and a multibeam echo sounder (MBES), enabling rapid, large-area searches and seabed topographic mapping. The ROV, equipped with an optical camera system, forward-looking sonar (FLS), and a manipulator, is tasked with conducting close-range, detailed observations to confirm and dispose of abnormal objects identified by the USV. Field trials were conducted at an island harbor in the South China Sea, where simulated underwater objects, including an iron drum, a plastic drum, and a rubber tire, were deployed. The results demonstrate that the USV-ROV collaborative system effectively meets the demands for underwater environmental measurement, object localization, identification, and disposal in complex harbor environments. The USV acquired high-resolution (0.5 m × 0.5 m) three-dimensional topographic data of the harbor, effectively revealing its topographical features. The SSS accurately localized and preliminarily identified all deployed simulated objects, revealing their acoustic characteristics. Repeated surveys revealed a maximum positioning deviation of 2.2 m. The lightweight ROV confirmed the status and location of the simulated objects using an optical camera and an underwater positioning system, with a maximum deviation of 3.2 m when compared to the SSS locations. The study highlights the limitations of using either vehicle alone. The USV survey could not precisely confirm the attributes of the objects, whereas a full-area search of 0.36 km2 by the ROV alone would take approximately 20 h. In contrast, the USV-ROV collaborative model reduced the total time to detect all objects to 9 h, improving efficiency by 55%. This research offers an efficient, reliable, and economical practical solution for applications such as underwater security, topographic mapping, infrastructure inspection, and channel dredging in harbor environments. Full article
Show Figures

Figure 1

23 pages, 5681 KB  
Article
Exploring the Transformation Path and Enlightenment of Border Cities: A Case Study of Jilong, Tibet, China
by Tao Song, Shiyu Wang and Zhouying Song
Land 2025, 14(10), 1935; https://doi.org/10.3390/land14101935 - 24 Sep 2025
Viewed by 764
Abstract
This paper presents a comprehensive analysis of the border city of Jilong in Tibet, China, within the wider context of the global south and the transformation of China’s interior frontier in recent decades. It examines the transformation process of Jilong, identifies the driving [...] Read more.
This paper presents a comprehensive analysis of the border city of Jilong in Tibet, China, within the wider context of the global south and the transformation of China’s interior frontier in recent decades. It examines the transformation process of Jilong, identifies the driving factors of its development, and investigates the implementation and impact of relevant policies. Employing a longitudinal case study method, semi-structured interviews, and multi-source data analysis (including policy documents, statistical bulletins, and field notes), this research examines Jilong’s transformation trajectory, the factors behind this change, and policy implementation outcomes. The findings reveal that Jilong has undergone a significant transition from a traditional border trade point to a national strategic hub. Industrial diversification, infrastructure modernization, and governance innovation are recognized as central to this transformation. Additionally, the study also finds challenges such as ecological vulnerability, geological disaster risk, and the necessity for enhancement in cross-border collaboration mechanisms, proposing measures like green development, customs facilitation, and a system for both importing and cultivating local talent. This research emphasizes the transformation of border cities from a complex interplay of national strategy, external shocks, and local initiative. It accordingly advocates for an integrated development model, which combines policy empowerment, resilient infrastructure, cultivation of distinctive industries, and refined border governance. This study adds to research on border cities in the Global South and provides insights for supporting sustainable development in similar cities located in strategic corridors. Full article
Show Figures

Figure 1

18 pages, 3973 KB  
Article
Epidemiological Investigation of Infectious Diseases at the Domestic–Synanthropic–Wild Animal Interface Reveals Threats to Endangered Species Reintroduction in AlUla, Saudi Arabia
by Sulaiman F. Aljasir, Abdelmaged A. Draz, Bilal Aslam, Abdullah S. M. Aljohani, Madeh Sadan, Nawaf Al-Johani, Ayman Elbehiry, Waleed Al Abdulmonem, Musaad Aldubaib, Basheer Aldurubi, Abdulhakim M. Alyahya, Abdulmalik Alduhami, Abdulaziz Aljaralh, Moh A. Alkhamis, Jeffrey C. Chandler, Bledar Bisha and Osama B. Mohammed
Vet. Sci. 2025, 12(9), 836; https://doi.org/10.3390/vetsci12090836 - 30 Aug 2025
Viewed by 2075
Abstract
AlUla, a unique conservation and tourism hub in Saudi Arabia, is undergoing extensive biodiversity restoration efforts, including the reintroduction of threatened wild species. However, interactions among wildlife, domestic, and synanthropic animals in these reserves raise significant concerns about disease transmission to reintroduced species. [...] Read more.
AlUla, a unique conservation and tourism hub in Saudi Arabia, is undergoing extensive biodiversity restoration efforts, including the reintroduction of threatened wild species. However, interactions among wildlife, domestic, and synanthropic animals in these reserves raise significant concerns about disease transmission to reintroduced species. This study aimed to assess disease risks at the domestic–synanthropic–wildlife interface and identify infectious diseases posing the greatest threat to reintroduced species. A multi-phased prioritization system was developed to guide monitoring based on transmissibility to protected wildlife, susceptibility of reintroduced species, reservoir hosts, vector-borne potential, likelihood of occurrence, and disease severity. A comprehensive expert review identified 61 diseases important to the reintroduced wildlife. From this, 11 priority pathogens were selected for monitoring. A total of 7760 samples were collected from 1367 domestic and synanthropic animals and were analyzed using Real-Time PCR and/or ELISA. All priority pathogens, or prior exposure to these pathogens, were detected. Disease presence was affected by factors such as species, location, health status, and grazing habits. Taken together, these findings underscore the need for robust preventive measures to mitigate disease transmission risks and ensure the sustainability of AlUla’s conservation initiatives. This study also offers a model approach to support reintroduction programs and guide future conservation efforts. Full article
Show Figures

Figure 1

33 pages, 1580 KB  
Article
Selection and Classification of Small Wind Turbines for Local Energy Systems: Balancing Efficiency, Climate Conditions, and User Comfort
by Waldemar Moska, Leszek Piechowski and Andrzej Łebkowski
Energies 2025, 18(17), 4575; https://doi.org/10.3390/en18174575 - 28 Aug 2025
Viewed by 2630
Abstract
Micro and small wind turbines (MAWTs) are increasingly integrated into residential and prosumer hybrid energy systems. However, their real-world performance often falls short of catalog specifications due to mismatched wind resources, siting limitations, and insufficient attention to human comfort. This paper presents a [...] Read more.
Micro and small wind turbines (MAWTs) are increasingly integrated into residential and prosumer hybrid energy systems. However, their real-world performance often falls short of catalog specifications due to mismatched wind resources, siting limitations, and insufficient attention to human comfort. This paper presents a comprehensive decision-support framework for selecting the type and scale of MAWTs under actual local conditions. The energy assessment module combines aerodynamic performance scaling, wind speed-frequency modeling based on Weibull distributions, turbulence intensity adjustments, and component-level efficiency factors for both horizontal and vertical axis turbines. The framework addresses three key design objectives: efficiency—aligning turbine geometry and control strategies with local wind regimes to maximize energy yield; comfort—evaluating candidate designs for noise emissions, shadow flicker, and visual impact near buildings; and climate adaptation—linking turbine siting, hub height, and rotor type to terrain roughness, turbulence, and built environment characteristics. Case studies from low and moderate wind locations in Central Europe demonstrate how multi-criteria filtering avoids oversizing, improves the autonomy of hybrid PV–wind systems, and identifies configurations that may exceed permissible limits for noise or flicker. The proposed methodology enables evidence-based deployment of MAWTs in decentralized energy systems that balance technical performance, resilience, and occupant well-being. Full article
Show Figures

Figure 1

21 pages, 1369 KB  
Article
Optimizing Cold Food Supply Chains for Enhanced Food Availability Under Climate Variability
by David Hernandez-Cuellar, Krystel K. Castillo-Villar and Fernando Rey Castillo-Villar
Foods 2025, 14(15), 2725; https://doi.org/10.3390/foods14152725 - 4 Aug 2025
Viewed by 1437
Abstract
Produce supply chains play a critical role in ensuring fruits and vegetables reach consumers efficiently, affordably, and at optimal freshness. In recent decades, hub-and-spoke network models have emerged as valuable tools for optimizing sustainable cold food supply chains. Traditional optimization efforts typically focus [...] Read more.
Produce supply chains play a critical role in ensuring fruits and vegetables reach consumers efficiently, affordably, and at optimal freshness. In recent decades, hub-and-spoke network models have emerged as valuable tools for optimizing sustainable cold food supply chains. Traditional optimization efforts typically focus on removing inefficiencies, minimizing lead times, refining inventory management, strengthening supplier relationships, and leveraging technological advancements for better visibility and control. However, the majority of models rely on deterministic approaches that overlook the inherent uncertainties of crop yields, which are further intensified by climate variability. Rising atmospheric CO2 concentrations, along with shifting temperature patterns and extreme weather events, have a substantial effect on crop productivity and availability. Such uncertainties can prompt distributors to seek alternative sources, increasing costs due to supply chain reconfiguration. This research introduces a stochastic hub-and-spoke network optimization model specifically designed to minimize transportation expenses by determining optimal distribution routes that explicitly account for climate variability effects on crop yields. A use case involving a cold food supply chain (CFSC) was carried out using several weather scenarios based on climate models and real soil data for California. Strawberries were selected as a representative crop, given California’s leading role in strawberry production. Simulation results show that scenarios characterized by increased rainfall during growing seasons result in increased yields, allowing distributors to reduce transportation costs by sourcing from nearby farms. Conversely, scenarios with reduced rainfall and lower yields require sourcing from more distant locations, thereby increasing transportation costs. Nonetheless, supply chain configurations may vary depending on the choice of climate models or weather prediction sources, highlighting the importance of regularly updating scenario inputs to ensure robust planning. This tool aids decision-making by planning climate-resilient supply chains, enhancing preparedness and responsiveness to future climate-related disruptions. Full article
(This article belongs to the Special Issue Climate Change and Emerging Food Safety Challenges)
Show Figures

Figure 1

18 pages, 2813 KB  
Article
Spatiotemporal Differentiation and Driving Factors Analysis of the EU Natural Gas Market Based on Geodetector
by Xin Ren, Qishen Chen, Kun Wang, Yanfei Zhang, Guodong Zheng, Chenghong Shang and Dan Song
Sustainability 2025, 17(15), 6742; https://doi.org/10.3390/su17156742 - 24 Jul 2025
Viewed by 781
Abstract
In 2022, the Russia–Ukraine conflict has severely impacted the EU’s energy supply chain, and the EU’s natural gas import pattern has begun to reconstruct, and exploring the spatiotemporal differentiation of EU natural gas trade and its driving factors is the basis for improving [...] Read more.
In 2022, the Russia–Ukraine conflict has severely impacted the EU’s energy supply chain, and the EU’s natural gas import pattern has begun to reconstruct, and exploring the spatiotemporal differentiation of EU natural gas trade and its driving factors is the basis for improving the resilience of its supply chain and ensuring the stable supply of energy resources. This paper summarizes the law of the change of its import volume by using the complex network method, constructs a multi-dimensional index system such as demand, economy, and security, and uses the geographic detector model to mine the driving factors affecting the spatiotemporal evolution of natural gas imports in EU countries and propose different sustainable development paths. The results show that from 2000 to 2023, Europe’s natural gas imports generally show an upward trend, and the import structure has undergone great changes, from pipeline gas dominance to LNG diversification. After the conflict between Russia and Ukraine, the number of import source countries has increased, the market network has become looser, France has become the core hub of the EU natural gas market, the importance of Russia has declined rapidly, and the status of countries in the United States, North Africa, and the Middle East has increased rapidly; natural gas consumption is the leading factor in the spatiotemporal differentiation of EU natural gas imports, and the influence of import distance and geopolitical risk is gradually expanding, and the proportion of energy consumption is significantly higher than that of other factors in the interaction with other factors. Combined with the driving factors, three different evolutionary directions of natural gas imports in EU countries are identified, and energy security paths such as improving supply chain control capabilities, ensuring export stability, and using location advantages to become hub nodes are proposed for different development trends. Full article
(This article belongs to the Topic Energy Economics and Sustainable Development)
Show Figures

Figure 1

Back to TopTop