Sign in to use this feature.

Years

Between: -

Subjects

remove_circle_outline
remove_circle_outline
remove_circle_outline
remove_circle_outline
remove_circle_outline
remove_circle_outline
remove_circle_outline
remove_circle_outline
remove_circle_outline

Journals

Article Types

Countries / Regions

Search Results (96)

Search Parameters:
Keywords = hot summer and cold winter zones

Order results
Result details
Results per page
Select all
Export citation of selected articles as:
22 pages, 2671 KB  
Article
Performance Optimization of Solar-Air Source Heat Pump Heating System for Rural Residences in Hot Summer and Cold Winter Zone
by Yanhui Geng and Lianyuan Feng
Processes 2025, 13(12), 4039; https://doi.org/10.3390/pr13124039 - 14 Dec 2025
Viewed by 187
Abstract
Building energy consumption is a major source of carbon emissions, with the heating energy demand of rural buildings in the hot summer and cold winter (HSCW) zone having increased 575-fold over the past 15 years. This research investigated an optimized solar–air source heat [...] Read more.
Building energy consumption is a major source of carbon emissions, with the heating energy demand of rural buildings in the hot summer and cold winter (HSCW) zone having increased 575-fold over the past 15 years. This research investigated an optimized solar–air source heat pump (SASHP) system to meet the heating demand of rural residences in this region. First, a typical rural building model was developed using SketchUp, and its heating load was simulated using TRNSYS, revealing an average load of 3.38 kW and a peak load of 5.9 kW. Based on the latest technical standards, the SASHP system was designed and simulated using TRNSYS, achieving an overall coefficient of performance (COP) of 3.67 while maintaining indoor thermal comfort within ISO 7730 Category II. Subsequently, the system was optimized through GenOpt to minimize the annual equivalent cost, yielding key parameters: a 15 m2 solar collector at a 40.75° tilt, a 0.35 m3 water tank, and a 10.16 kW air source heat pump. Compared with the initial design, the optimized configuration achieved reductions of 35.60% in initial investment and 32.68% in annual equivalent costs. By ensuring thermal comfort and overcoming the economic barrier, this study provides a viable pathway for adoption and promotion of renewable heating technology in rural areas. Full article
(This article belongs to the Section Petroleum and Low-Carbon Energy Process Engineering)
Show Figures

Graphical abstract

28 pages, 7730 KB  
Article
Low-Carbon Design Strategies for Transparent Building Envelopes in Hot-Summer–Cold-Winter Climate Zones—Experimental and Numerical Simulation Study Based on the High-Performance Sunroom Laboratory in Central-Southern Anhui
by Haowei Hu, Yukun Zhu, Mingzuo Cheng, Shuguang Zhu, Guotao Zhu and Jun Xu
Sustainability 2025, 17(23), 10544; https://doi.org/10.3390/su172310544 - 25 Nov 2025
Viewed by 309
Abstract
The widespread use of transparent building envelope structures satisfies people’s needs for architectural esthetics and daylighting. However, they also feature notable drawbacks such as high energy consumption, poor thermal insulation performance of traditional glass curtain walls, significant solar heat gain in summer and [...] Read more.
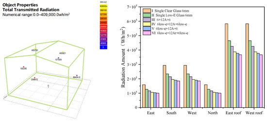
The widespread use of transparent building envelope structures satisfies people’s needs for architectural esthetics and daylighting. However, they also feature notable drawbacks such as high energy consumption, poor thermal insulation performance of traditional glass curtain walls, significant solar heat gain in summer and heat loss in winter, which lead to “cold in winter and hot in summer” indoors, reliance on high-power air conditioning, and energy consumption far exceeding that of opaque walls. Even when coated or insulated glazing is adopted, improper design can still fail to effectively reduce the overall heat transfer coefficient, placing higher demands on the daylighting performance and solar radiation control of transparent envelopes in existing buildings. Through experiments and numerical simulations, this study systematically analyzes the performance of different types of glass used in transparent building envelope structures and their impacts on building energy consumption. Based on the climatic characteristics of central-southern Anhui, measured data were compared between a Low E-glass sunroom and a conventional tempered glass sunroom. The results show that the solar radiation transmittance of the Low-e glass is only 45.31% of that of ordinary glass, the peak indoor temperature is reduced by 6–7 °C, and nighttime temperature fluctuations are smaller, verifying its excellent thermal insulation performance and thermal stability. To further investigate, the Ecotect software 2011 was used to simulate the daylighting performance of 12 types of glazing and the radiation transmittance under 19 conditions. The results indicate: triple-glazed vacuum composite silver-coated glass exhibits excellent shading performance suitable for summer; single-silver-coated glass has the best daylighting performance, and Triple-Silver coatings combined with high-transmission substrates can improve the daylight factor by 10.55%; argon-filled insulated glazing reduces radiation by 6.5% compared with ordinary IGUs, making it more suitable for the climate of central-southern Anhui. The study shows that optimization of transparent envelopes must be predicated on regional climate, combining experimentally validated glazing thermal parameters with simulation-based design optimization to provide theoretical support and technical references for glass selection and transparent envelope design in near-zero energy buildings in central-southern Anhui. Full article
(This article belongs to the Special Issue Energy and Environment: Policy, Economics and Modeling)
Show Figures

Figure 1

24 pages, 3203 KB  
Article
Optimising Behavioural Control Based on Actual HVAC Use in Naturally Ventilated Buildings
by Jiajing Wu, Rongxin Qiu, Xiaoyu Ying, Shuqin Chen and Xueyuan Zhao
Energies 2025, 18(23), 6130; https://doi.org/10.3390/en18236130 - 23 Nov 2025
Viewed by 189
Abstract
Multi-objective optimisation is essential for balancing building energy efficiency and thermal comfort. Existing research primarily focuses on passive optimisation strategies that assume fixed behavioural patterns of a ‘rational occupant’. However, these studies often overlook the impact of stochastic occupant behaviour on building energy [...] Read more.
Multi-objective optimisation is essential for balancing building energy efficiency and thermal comfort. Existing research primarily focuses on passive optimisation strategies that assume fixed behavioural patterns of a ‘rational occupant’. However, these studies often overlook the impact of stochastic occupant behaviour on building energy efficiency and thermal comfort. Furthermore, they fail to consider the inherent randomness, variability, dynamic nature, and feedback mechanisms of individual actions. As a result, this oversight can lead to suboptimal energy efficiency, insufficient thermal comfort, and a poor user experience. This study examines a naturally ventilated research building equipped with split-type air conditioning in China’s hot summer and cold winter climate zone. The research develops a rapid prediction model for air conditioning (AC) energy consumption and thermal comfort based on actual HVAC behaviours, incorporating the AC and natural ventilation (NV) operation schedules. The model utilises Artificial Neural Networks (ANNs), importance analysis, and batch simulation. Furthermore, a multi-objective optimisation decision-making model is developed to balance building AC energy consumption and indoor environmental thermal comfort, using the NSGA-II algorithm. The results indicate that when building design parameters comply with the current energy-saving design standards, behavioural optimisation can lead to a 31.4% reduction in energy use for building AC systems while enhancing thermal comfort by 37.5%. Furthermore, by implementing integrated optimisation strategies, comfort can be improved by as much as 92.6% without raising energy consumption. Full article
(This article belongs to the Special Issue Energy Efficiency and Energy Saving in Buildings)
Show Figures

Figure 1

28 pages, 5685 KB  
Article
Hygrothermal Performance of Exterior Wall Assemblies Under Wind-Driven Rain Across China’s Thermal Zones
by Meirong Liu, Lingjiang Huang and Juan Wang
Buildings 2025, 15(22), 4198; https://doi.org/10.3390/buildings15224198 - 20 Nov 2025
Viewed by 552
Abstract
Wind-driven rain (WDR) is recognized as a primary source of moisture intrusion in exterior wall assemblies. However, China’s national code for thermal design of wall assemblies predominantly relies on temperature criteria classified by thermal zones, with humidity-related impacts on building thermal performance remaining [...] Read more.
Wind-driven rain (WDR) is recognized as a primary source of moisture intrusion in exterior wall assemblies. However, China’s national code for thermal design of wall assemblies predominantly relies on temperature criteria classified by thermal zones, with humidity-related impacts on building thermal performance remaining unconsidered. Thus, the influence of WDR on the hygrothermal performance of exterior wall assemblies necessitates systematic investigation. This study aims to explore variations in moisture resistance among different wall assemblies under WDR exposure and differences in hygrothermal performance of identical assemblies across designated thermal zones. To this end, the hygrothermal behavior of five typical insulated wall assembly types was evaluated across 21 representative cities spanning four major thermal zones in China. Results indicate significant disparities in the hygrothermal performance of wall assemblies under WDR across thermal zones: dryness rates decreased by an average of 100%, 93.33%, 44%, and 30% in Severe Cold, Cold, Hot Summer and Cold Winter, and Hot Summer and Warm Winter Zones, respectively. Furthermore, although certain wall assemblies eventually dried over time, the risk of mold growth persisted. Notably, wall assemblies with external EPS insulation exhibited high sensitivity to WDR, while self-insulated and internal insulation systems were also vulnerable to WDR in the Hot Summer and Warm Winter Zone. In conclusion, annual WDR exposure and U-value are key factors in designing wall assemblies for optimal hygrothermal performance. Full article
(This article belongs to the Section Architectural Design, Urban Science, and Real Estate)
Show Figures

Figure 1

40 pages, 21113 KB  
Article
Synergistic Optimization of Building Energy Use and PV Power Generation: Quantifying the Role of Urban Block Typology and PV Shading Devices
by Shen Xu, Junhao Hou, Mengju Xie, Yichen Dong, Chen Yang, Huan Huang, Jingze Liao and Wei Luo
Sustainability 2025, 17(21), 9665; https://doi.org/10.3390/su17219665 - 30 Oct 2025
Viewed by 393
Abstract
In high-density cities, integrating photovoltaic shading devices (PVSDs) with urban block typology optimization is crucial for low-carbon development, yet the understanding of their synergistic effects remains limited. This study develops a novel multi-scale evaluation framework that bridges block-building hierarchies to address this research [...] Read more.
In high-density cities, integrating photovoltaic shading devices (PVSDs) with urban block typology optimization is crucial for low-carbon development, yet the understanding of their synergistic effects remains limited. This study develops a novel multi-scale evaluation framework that bridges block-building hierarchies to address this research gap. Through parametric modeling, this study coupled 27 representative office block morphologies with 18 PVSDs in Wuhan, a prototype city for China’s hot-summer–cold-winter climate zone, systematically generating 486 scenarios for comprehensive evaluation. Using Rhino–Grasshopper (7.0) with Ladybug (1.7), Honeybee (1.6), and EnergyPlus (9.4), we then examined urban block typology-PVSDs interactions across these scenarios. Our findings demonstrate that coordinated block typology and PVSD variables serve as critical determinants of energy-performance synergy. High-Rise Hybrid blocks emerge as the superior configuration for integrated performance, achieving maximal passive energy savings, optimal renewable energy utilization, and substantial carbon reduction. PVSDs that are 0.4 m in width, with specific distance-to-width ratios, yield the highest integrated benefits. This work advances sustainable urban design by establishing a morphology–energy nexus framework, providing architects and urban planners with actionable strategies for climate-responsive design in similar regions, with direct implications for maximizing energy–PV synergy through morphology-aware design approaches. Full article
Show Figures

Figure 1

44 pages, 77061 KB  
Article
Quantifying Residential Neighborhood Layout Impact on Pedestrian Wind Environment: CFD Analysis Across China’s Major Climate Zones
by Lei Yu, Yongyi Ye, Lemei Li, Chunze Li and Pengyuan Shen
Buildings 2025, 15(20), 3750; https://doi.org/10.3390/buildings15203750 - 17 Oct 2025
Viewed by 531
Abstract
This study establishes quantitative relationships between neighborhood layouts, as evaluated by key neighborhood morphological parameters and pedestrian wind environments across China’s five major climate zones. We analyzed 3204 residential neighborhoods using satellite imaging and simulated 281 scenarios by CFD simulations, identifying six typical [...] Read more.
This study establishes quantitative relationships between neighborhood layouts, as evaluated by key neighborhood morphological parameters and pedestrian wind environments across China’s five major climate zones. We analyzed 3204 residential neighborhoods using satellite imaging and simulated 281 scenarios by CFD simulations, identifying six typical neighborhood layouts and quantifying their performance in terms of climate specific wind comfort criteria. This work takes an approach that takes into account mechanical wind effects and region-specific criteria for evaluating pedestrian-level wind environment performance, going beyond previous studies that utilize universal evaluation standards. The most influential parameter is building enclosure ratio with sensitivity indices of 0.844 for winter wind proofing. Closed perimeter layout confers 15–20% better winter wind proofing in cold climates and semi-open design enhances summer ventilation by 12–18% in hot climates according to our cross-climate analysis. Quantitative optimization adopting regression technique (R2 = 0.727–0.810) points to an optimal enclosure ratio of 0.25–0.28 or 0.52–0.61 with aspect ratio of 1.75–2.75. The results can provide evidence-based design guidelines for high-rise residential neighborhood planning and pedestrian wind environment, aiming to improve urban livability and support climate adaptation strategies across a broad range of climate zones. Full article
Show Figures

Figure 1

25 pages, 6841 KB  
Article
Research on the Optimization of Selecting Traditional Dwellings Patio Renovation Measures in Hot Summer and Cold Winter Zone Based on Thermal Comfort and Energy Consumption
by Jie Wang, Weiwu Han, Yinhao Xia, Jianhua Xuan, Meijing Chen, Huan Zhang, Shutian Li and Kuan Wang
Buildings 2025, 15(18), 3412; https://doi.org/10.3390/buildings15183412 - 21 Sep 2025
Cited by 1 | Viewed by 536
Abstract
Patio-style dwellings are a highly representative category of traditional dwellings in the Yangtze River Delta region of China. As a crucial climate-adjusting space for traditional dwellings in the hot summer and cold winter zone, patios have long been the focus of practice and [...] Read more.
Patio-style dwellings are a highly representative category of traditional dwellings in the Yangtze River Delta region of China. As a crucial climate-adjusting space for traditional dwellings in the hot summer and cold winter zone, patios have long been the focus of practice and research in traditional dwelling renovation. Previous studies have mostly focused on how the shape and scale of patios affect their performance in terms of ventilation, lighting, and thermal environment; however, there is a lack of research on how patio renovation measures influence the thermal comfort of spaces surrounding patios. Based on the two goals of improving the thermal comfort of the general hall space and reducing the overall building energy consumption, this paper takes the patio renovation of Huaigengtang Dwelling as a case study. We use the Design Builder (v7.0.2.006) simulation software to analyze the impact of 10 selected patio measures on thermal comfort and energy consumption and adopt the entropy weight method to conduct a comprehensive evaluation of the indicators for thermal comfort improvement and energy consumption reduction. The quantitative simulation is divided into two scenarios: one where the patio maintains natural ventilation, and the other where the patio is renovated into an enclosed space with split-type air conditioners used for cooling and heating. We select a single patio renovation measure and a combined patio renovation measure based on the values of the comprehensive scores. Regarding the application of the selected optimal measures, and in combination with the dual needs of functional improvement and performance enhancement in traditional dwelling renovation practice, this paper analyzes the corresponding relationships between three types of functional improvement—inheritance-type renovation, optimization-type renovation and replacement-type renovation—and the two performance evaluation indicators, namely thermal comfort improvement and energy consumption reduction, so as to propose the optimal recommendation schemes for different renovation scenarios. Full article
Show Figures

Figure 1

30 pages, 5861 KB  
Article
Numerical Evaluation of Cooling Energy Saving and Indoor Thermal Comfort for Building Energy Retrofit with Reflective Materials
by Tiancheng Wang, Mosha Zhao, Yu Lan and Shaoding Hu
Buildings 2025, 15(18), 3387; https://doi.org/10.3390/buildings15183387 - 18 Sep 2025
Cited by 1 | Viewed by 896
Abstract
Reflective materials, characterized by high albedo and thermal emissivity, offer effective passive cooling strategies for reducing building energy demand. While prior studies have developed thermal transfer models validated under laboratory conditions or conducted short-term monitoring in non-air-conditioned spaces, their effectiveness in operational buildings [...] Read more.
Reflective materials, characterized by high albedo and thermal emissivity, offer effective passive cooling strategies for reducing building energy demand. While prior studies have developed thermal transfer models validated under laboratory conditions or conducted short-term monitoring in non-air-conditioned spaces, their effectiveness in operational buildings remains underexplored. This research evaluates the change in cooling energy demand and indoor thermal comfort in a retrofitted office building with reflective materials in China’s Hot Summer and Cold Winter (HSCW) zone. The calibrated WUFI®Plus simulations show that the application of reflective roof and window materials can result in an 11.3% reduction in cooling energy demand. Moreover, occupant surveys indicate improved thermal perception, with the mean Thermal Comfort Vote (TCV) rising from −0.75 to −0.30, thermal acceptability increasing from 0.10 to 0.35, and 80% of occupants reporting cooler conditions. These subjective results align with simulated Predicted Mean Vote (PMV) reductions (0.82 → 0.74), confirming the retrofit’s effectiveness. While the energy savings are more modest than those reported in Mediterranean climates, they are generally consistent with the energy saving ratios of buildings in the HSCW region as evaluated by previous studies. This study provides a framework for assessing retrofits in occupied buildings with reflective materials and indicates the practicality of such retrofits as an economic, low-disruption strategy for upgrading aging office building stocks in the HSCW zone. Full article
(This article belongs to the Special Issue Thermal Comfort and Energy Efficiency in Built Environments)
Show Figures

Figure 1

22 pages, 4101 KB  
Article
Investigation into the Impact of Enclosure Retrofit on Thermal Comfort in Semi-Open University Space
by Jian Ge, Jiahong Zhao, Ziyu Wu and Honghu Zhang
Buildings 2025, 15(16), 2883; https://doi.org/10.3390/buildings15162883 - 14 Aug 2025
Cited by 2 | Viewed by 667
Abstract
The retrofit of semi-open transitional spaces in university buildings is essential for enhancing both thermal comfort and energy efficiency. However, most studies have focused on conventional indoor environments, overlooking the unique thermal characteristics of semi-open spaces and their impact on occupant comfort. This [...] Read more.
The retrofit of semi-open transitional spaces in university buildings is essential for enhancing both thermal comfort and energy efficiency. However, most studies have focused on conventional indoor environments, overlooking the unique thermal characteristics of semi-open spaces and their impact on occupant comfort. This study integrated field measurements, occupant surveys, and AirPak simulations to develop a three-tier evaluation framework covering environmental parameters, subjective thermal perception, and simulation-based validation. Focusing on teaching buildings at Zhejiang University’s Zijingang Campus, the analysis revealed that the retrofit increased the daily mean air temperature by 2.1 °C and decreased the relative humidity by 3.6% in winter. The peak thermal comfort indices PET and PMV improved by 4.4 °C and 0.98, respectively, with a neutral PET identified at 13.3 °C. PMV showed a stronger correlation with TSV (p = 0.94, R2 = 0.81) than PET. Simulations further validated the retrofit’s effectiveness in stabilizing the indoor thermal environment and reducing airflow discomfort. These findings provide both theoretical insights and practical guidance for the climate-responsive, energy-efficient retrofitting of campus buildings in hot summer and cold winter (HSCW) zones. Full article
(This article belongs to the Section Building Materials, and Repair & Renovation)
Show Figures

Figure 1

19 pages, 7472 KB  
Article
Research on the Performance and Energy Saving of Solar-Coupled Air Source Heat Pump Heating System: A Case Study of College Dormitory in Hot Summer and Cold Winter Zone
by Xu Wang, Shidong Wang and Tao Li
Energies 2025, 18(14), 3794; https://doi.org/10.3390/en18143794 - 17 Jul 2025
Cited by 1 | Viewed by 827
Abstract
As a densely populated area, college student dormitories consume a large amount of electricity every year to heat the domestic hot water used by students. Applying solar energy to hot water systems can effectively alleviate this situation. This paper first conducts a simulation [...] Read more.
As a densely populated area, college student dormitories consume a large amount of electricity every year to heat the domestic hot water used by students. Applying solar energy to hot water systems can effectively alleviate this situation. This paper first conducts a simulation of the hot water load and the calculation of the available area of the solar roof in a dormitory building of a certain university. Then, different solar-coupled air source heat pump systems were designed, and simulation models of the two systems were established. The thermal performance parameters and solar energy utilization of the two systems were discussed, and the energy efficiency, economy, and environmental protection of the two systems were analyzed. The results show that after coupling with the solar collector, the system operation time is shortened by 26.2%, the annual performance coefficient is 3.4, which is 0.8 higher than that of the original system, and the annual heating energy consumption is reduced by 24.4%. In contrast, the annual energy self-sufficiency rate of the photovoltaic coupled with air source heat pump system is 94.6%, achieving nearly zero energy consumption for heating. Full article
Show Figures

Figure 1

29 pages, 6641 KB  
Article
Climate-Adaptive Passive Design Strategies for Near-Zero-Energy Office Buildings in Central and Southern Anhui, China
by Jun Xu, Yu Gao and Lizhong Yang
Sustainability 2025, 17(14), 6535; https://doi.org/10.3390/su17146535 - 17 Jul 2025
Cited by 1 | Viewed by 1453
Abstract
Driven by the global energy transition and China’s dual-carbon targets, Passive ultra-low-energy buildings are a key route for carbon reduction in the construction sector. This study addresses the high energy demand of office buildings and the limited suitability of current efficiency codes in [...] Read more.
Driven by the global energy transition and China’s dual-carbon targets, Passive ultra-low-energy buildings are a key route for carbon reduction in the construction sector. This study addresses the high energy demand of office buildings and the limited suitability of current efficiency codes in the hot-summer/cold-winter, high-humidity zone of central and southern Anhui. Using multi-year climate records and energy-use surveys from five cities and one scenic area (2013–2024), we systematically investigate climate-adaptive passive-design strategies. Climate-Consultant simulations identify composite envelopes, external shading, and natural ventilation as the three most effective measures. Empirical evidence confirms that optimized envelope thermal properties significantly curb heating and cooling loads; a Huangshan office-building case validates the performance of the proposed passive measures, while analysis of a near-zero-energy demonstration project in Chuzhou yields a coordinated insulation-and-heat-rejection scheme. The results demonstrate that region-specific passive design can provide a comprehensive technical framework for ultra-low-energy buildings in transitional climates and thereby supporting China’s carbon-neutrality targets. Full article
(This article belongs to the Special Issue Building Sustainability within a Smart Built Environment)
Show Figures

Figure 1

15 pages, 2137 KB  
Article
Performance Evolution and Prediction Model of Dam Polyurethane Insulation Materials Under Multi-Field Coupling Conditions in Hot Summer and Cold Winter Climate Zones
by Lingmin Liao, Hui Liang, Ting Zhao, Wei Han, Yun Dong, Da Zhang and Zhenhua Su
Materials 2025, 18(13), 3208; https://doi.org/10.3390/ma18133208 - 7 Jul 2025
Viewed by 825
Abstract
This study evaluates the performance degradation of spray rigid polyurethane foam (RPUF) insulation on reservoir dam structures under multi-physics coupling conditions. Focusing on characteristic environmental exposures in Hot Summer and Cold Winter (HSCW) climate zones, accelerated aging tests simulating coupled temperature–humidity effects were [...] Read more.
This study evaluates the performance degradation of spray rigid polyurethane foam (RPUF) insulation on reservoir dam structures under multi-physics coupling conditions. Focusing on characteristic environmental exposures in Hot Summer and Cold Winter (HSCW) climate zones, accelerated aging tests simulating coupled temperature–humidity effects were conducted to comparatively analyze the thermal resistance and durability evolution between unprotected and encapsulated RPUF configurations. Scanning electron microscopy (SEM), infrared spectroscopy (IR), and other methods were used to characterize and analyze the structure of RPUF. Research has shown that in HSCW climate zones, the thermal conductivity of RPUF gradually increases with the number of degradation cycles, and the insulation performance decreases, mainly due to the damage of the pore structure caused by temperature aging and the combined effect of moisture absorption aging. In comparison, the RPUF after protection can effectively slow down the rate and degree of decline of its insulation performance. On this basis, a time-varying prediction model for the thermal conductivity of RPUF under long-term service in HSCW climate environments was fitted, providing a scientific basis for the durability evaluation of reservoir dam insulation. Full article
Show Figures

Figure 1

29 pages, 5214 KB  
Article
Energy-Saving Performance and Optimization Study of Adaptive Shading System—A Case Study
by Feining Yang, Huangping Zhou, Jianxing Chen, Yu Sun, Dong Wang, Fengjun Sun and Lili Zhang
Buildings 2025, 15(11), 1961; https://doi.org/10.3390/buildings15111961 - 5 Jun 2025
Viewed by 2348
Abstract
In the context of global energy challenges, adaptive shading systems have emerged as pivotal components in building energy efficiency research. This study systematically evaluates critical performance factors influencing energy efficiency in adaptive shading systems for buildings located in hot summer and cold winter [...] Read more.
In the context of global energy challenges, adaptive shading systems have emerged as pivotal components in building energy efficiency research. This study systematically evaluates critical performance factors influencing energy efficiency in adaptive shading systems for buildings located in hot summer and cold winter climate zones, with a focus on parametric optimization of shading panel configurations. Through field measurements, orthogonal experimental design, and numerical simulations, this investigation centers on the adaptive shading system of a nearly zero energy building (NZEB). Four critical parameters—shading panel width, panel-to-window clearance, window-to-wall ratio (WWR), and surface reflectance—were rigorously analyzed through orthogonal experimental methodology and DesignBuilder® simulations. This study identifies WWR and shading panel reflectance as the key factors for optimizing adaptive shading systems. Among the scenarios evaluated, the highest energy efficiency was achieved with horizontal shading devices on the south façade, featuring a panel width of 500 mm, a minimum clearance of 150 mm, a WWR of 55%, and a surface reflectance of 0.4. Under this configuration, the annual energy consumption was reduced to 8312.37 kWh, corresponding to a 2.1% decrease (8.31 MWh) in total site energy consumption (TSEC). This research provides valuable insights for energy-efficient building design in hot summer and cold winter regions, and supports the broader adoption of adaptive shading systems. Full article
Show Figures

Figure 1

35 pages, 14758 KB  
Article
Optimizing Vegetation Configurations for Seasonal Thermal Comfort in Campus Courtyards: An ENVI-Met Study in Hot Summer and Cold Winter Climates
by Hailu Qin and Bailing Zhou
Plants 2025, 14(11), 1670; https://doi.org/10.3390/plants14111670 - 30 May 2025
Cited by 7 | Viewed by 3386
Abstract
This study investigated the synergistic effects of vegetation configurations and microclimate factors on seasonal thermal comfort in a semi-enclosed university courtyard in Wuhan, located in China’s Hot Summer and Cold Winter climate zone (Köppen: Cfa, humid subtropical). By adopting a field measurement–simulation–validation framework, [...] Read more.
This study investigated the synergistic effects of vegetation configurations and microclimate factors on seasonal thermal comfort in a semi-enclosed university courtyard in Wuhan, located in China’s Hot Summer and Cold Winter climate zone (Köppen: Cfa, humid subtropical). By adopting a field measurement–simulation–validation framework, spatial parameters and annual microclimate data were collected using laser distance meters and multifunctional environmental sensors. A validated ENVI-met model (grid resolution: 2 m × 2 m × 2 m, verified by field measurements for microclimate parameters) simulated 15 vegetation scenarios with varying planting patterns, evergreen–deciduous ratios (0–100%), and ground covers. The Physiological Equivalent Temperature (PET) index quantified thermal comfort improvements relative to the baseline. The optimal grid-based mixed planting configuration (40% evergreen trees + 60% deciduous trees) significantly improved winter thermal comfort by raising the PET from 9.24 °C to 15.42 °C (66.98% increase) through windbreak effects while maintaining summer thermal stability with only a 1.94% PET increase (34.60 °C to 35.27 °C) via enhanced transpiration and airflow regulation. This study provides actionable guidelines for climate-responsive courtyard design, emphasizing adaptive vegetation ratios and spatial geometry alignment. Full article
(This article belongs to the Section Plant Ecology)
Show Figures

Figure 1

25 pages, 82099 KB  
Article
Research on Outdoor Thermal Comfort Strategies for Residential Blocks in Hot-Summer and Cold-Winter Areas, Taking Wuhan as an Example
by Yongkuan Li, Yuchen Zeng, Wenyu Tu, Guang Ao and Guiyuan Li
Buildings 2025, 15(10), 1615; https://doi.org/10.3390/buildings15101615 - 11 May 2025
Cited by 2 | Viewed by 1431
Abstract
With the intensification of climate challenges driven by rapid urbanization, the microclimate and thermal comfort of residential blocks have attracted increasing attention. Current research predominantly focuses on isolated morphological factors—such as building orientation, layout patterns, and height-to-width ratios—while neglecting the synergistic effects of [...] Read more.
With the intensification of climate challenges driven by rapid urbanization, the microclimate and thermal comfort of residential blocks have attracted increasing attention. Current research predominantly focuses on isolated morphological factors—such as building orientation, layout patterns, and height-to-width ratios—while neglecting the synergistic effects of multifactorial spatial configurations on outdoor thermal comfort. This study addresses this gap by analyzing 36 residential block samples in Wuhan, a representative city in a hot-summer and cold-winter (HSCW) region. Utilizing the Honeybee plugin in Grasshopper (GH) alongside the Universal Thermal Climate Index (UTCI), we simulate outdoor thermal environments to identify critical influencing elements. The results reveal how multifactor interactions shape thermal performance, providing evidence-based design strategies to optimize microclimate resilience in high-density urban contexts. This work advances the understanding of spatial morphology–thermal dynamics and offers practical insights for sustainable residential planning. This study systematically investigates the thermal performance of residential blocks through parametric prototyping and seasonal simulations. Sixteen morphological prototypes were developed by combining four building layout typologies (arrayed, staggered, enclosed, and hybrid) with three critical variables: the height-to-width ratio (HWR), building orientation deviation angle (θ), and sky visibility factor (SVF). Key findings reveal the following: (1) the hybrid layout demonstrates superior annual thermal adaptability when integrating fixed orientation (θ = 0°), moderate H/W = 1, and SVF = 0.4; (2) increased H/W ratios enhance thermal comfort levels across all layout configurations, particularly in winter wind protection; and (3) moderate orientation deviations (15° < θ < 30°) significantly improve microclimate performance in modular layouts by optimizing solar penetration and aerodynamic patterns. These evidence-based insights provide actionable guidelines for climate-responsive residential design in transitional climate zones, effectively balancing summer heat mitigation and winter cold prevention through spatial configuration optimization. Full article
(This article belongs to the Section Building Energy, Physics, Environment, and Systems)
Show Figures

Figure 1

Back to TopTop