Sign in to use this feature.

Years

Between: -

Subjects

remove_circle_outline
remove_circle_outline
remove_circle_outline
remove_circle_outline
remove_circle_outline
remove_circle_outline
remove_circle_outline
remove_circle_outline
remove_circle_outline

Journals

remove_circle_outline
remove_circle_outline
remove_circle_outline
remove_circle_outline
remove_circle_outline
remove_circle_outline
remove_circle_outline
remove_circle_outline
remove_circle_outline
remove_circle_outline
remove_circle_outline
remove_circle_outline
remove_circle_outline
remove_circle_outline

Article Types

Countries / Regions

remove_circle_outline
remove_circle_outline
remove_circle_outline
remove_circle_outline
remove_circle_outline
remove_circle_outline

Search Results (949)

Search Parameters:
Keywords = homogeneous cluster

Order results
Result details
Results per page
Select all
Export citation of selected articles as:
31 pages, 12358 KB  
Article
Cluster-Oriented Resilience and Functional Reorganisation in the Global Port Network During the Red Sea Crisis
by Yan Li, Jiafei Yue and Qingbo Huang
J. Mar. Sci. Eng. 2026, 14(2), 161; https://doi.org/10.3390/jmse14020161 - 12 Jan 2026
Viewed by 27
Abstract
In this study, using global liner shipping schedules, UNCTAD’s Port Liner Shipping Connectivity Index and Liner Shipping Bilateral Connectivity Index, together with bilateral trade-value data for 2022–2024, we construct a multilayer weighted port-to-port network that explicitly embeds port-level cargo-handling and service organisation capabilities, [...] Read more.
In this study, using global liner shipping schedules, UNCTAD’s Port Liner Shipping Connectivity Index and Liner Shipping Bilateral Connectivity Index, together with bilateral trade-value data for 2022–2024, we construct a multilayer weighted port-to-port network that explicitly embeds port-level cargo-handling and service organisation capabilities, as well as demand-side routing pressure, into node and edge weights. Building on this network, we apply CONCOR-based structural-equivalence analysis to delineate functionally homogeneous port clusters, and adopt a structural role identification framework that combines multi-indicator connectivity metrics with Rank-Sum Ratio–entropy weighting and Probit-based binning to classify ports into high-efficiency core, bridge-control, and free-form bridge roles, thereby tracing the reconfiguration of cluster-level functional structures before and after the Red Sea crisis. Empirically, the clustering identifies four persistent communities—the Intertropical Maritime Hub Corridor (IMHC), Pacific Rim Mega-Port Agglomeration (PRMPA), Southern Commodity Export Gateway (SCEG), and Euro-Asian Intermodal Chokepoints (EAIC)—and reveals a marked spatial and functional reorganisation between 2022 and 2024. IMHC expands from 96 to 113 ports and SCEG from 33 to 56, whereas EAIC contracts from 27 to 10 nodes as gateway functions are reallocated across clusters, and the combined share of bridge-control and free-form bridge ports increases from 9.6% to 15.5% of all nodes, demonstrating a thicker functional backbone under rerouting pressures. Spatially, IMHC extends from a Mediterranean-centred configuration into tropical, trans-equatorial routes; PRMPA consolidates its role as the densest trans-Pacific belt; SCEG evolves from a commodity-based export gateway into a cross-regional Southern Hemisphere hub; and EAIC reorients from an Atlantic-dominated structure towards Eurasian corridors and emerging bypass routes. Functionally, Singapore, Rotterdam, and Shanghai remain dominant high-efficiency cores, while several Mediterranean and Red Sea ports (e.g., Jeddah, Alexandria) lose centrality as East and Southeast Asian nodes gain prominence; bridge-control functions are increasingly taken up by European and East Asian hubs (e.g., Antwerp, Hamburg, Busan, Kobe), acting as secondary transshipment buffers; and free-form bridge ports such as Manila, Haiphong, and Genoa strengthen their roles as elastic connectors that enhance intra-cluster cohesion and provide redundancy for inter-cluster rerouting. Overall, these patterns show that resilience under the Red Sea crisis is expressed through the cluster-level rebalancing of core–control–bridge roles, suggesting that port managers should prioritise parallel gateways, short-sea and coastal buffers, and sea–land intermodality within clusters when designing capacity expansion, hinterland access, and rerouting strategies. Full article
Show Figures

Figure 1

34 pages, 2767 KB  
Article
Hierarchical Role-Based Multi-Agent Reinforcement Learning for UHF Radiation Source Localization with Heterogeneous UAV Swarms
by Yuanqiang Sun, Xueqing Zhang, Menglin Wang, Yangqiang Yang, Tao Xia, Xuan Zhu and Tonghe Cui
Drones 2026, 10(1), 54; https://doi.org/10.3390/drones10010054 - 12 Jan 2026
Viewed by 28
Abstract
With the continuous proliferation of radio frequency devices, electromagnetic environments in various regions are becoming increasingly complex. Effective monitoring of the electromagnetic environment and identification of interference sources have thus become critical tasks for maintaining order in the electromagnetic spectrum. In recent years, [...] Read more.
With the continuous proliferation of radio frequency devices, electromagnetic environments in various regions are becoming increasingly complex. Effective monitoring of the electromagnetic environment and identification of interference sources have thus become critical tasks for maintaining order in the electromagnetic spectrum. In recent years, rapid advances in UAV technology have spurred exploration of UAV-based electromagnetic spectrum monitoring as a novel approach. However, the limited payload capacity and endurance of UAVs constrain their monitoring capabilities. To address these challenges, we propose HMUDRL, a distributed heterogeneous multi-agent deep reinforcement learning algorithm. By leveraging cooperative operation between cluster-head UAVs (CH) and cluster-monitoring UAVs (CM) within a heterogeneous UAV swarm, HMUDRL enables high-precision detection and wide-area localization of UHF radiation source. Furthermore, we integrate a minimum-gap localization algorithm that exploits the spatial distribution of multiple CM to accurately pinpoint anomalous radiation sources. Simulation results validate the effectiveness of HMUDRL: in the later stages of training, the success rate of localizing target radiation sources converges to 96.1%, representing an average improvement of 1.8% over baseline algorithms; localization accuracy, measured by root mean square error (RMSE), is enhanced by approximately 87.3% compared to baselines; and communication overhead is reduced by more than 80% relative to homogeneous architectures. These results demonstrate that HMUDRL effectively addresses the challenges of data transmission control and sensing-localization performance faced by UAVs in UHF spectrum monitoring. Full article
(This article belongs to the Special Issue Cooperative Perception, Planning, and Control of Heterogeneous UAVs)
22 pages, 753 KB  
Article
Who Holidays at Home? Segmenting Bulgarian Domestic Tourists Through Cluster Analysis
by Alexander Naydenov, Nikola Naumov, Desislava Varadzhakova and Marina Raykova
Tour. Hosp. 2026, 7(1), 19; https://doi.org/10.3390/tourhosp7010019 - 12 Jan 2026
Viewed by 148
Abstract
The present study employs cluster analysis to segment Bulgarian domestic tourists based on microdata from a nationally representative survey (n = 1003) of summer holidaymakers on the Black Sea coast destinations. The primary objective is to identify homogeneous groups of tourists with [...] Read more.
The present study employs cluster analysis to segment Bulgarian domestic tourists based on microdata from a nationally representative survey (n = 1003) of summer holidaymakers on the Black Sea coast destinations. The primary objective is to identify homogeneous groups of tourists with similar demographic and behavioural characteristics, thereby enabling the development of more targeted tourism policies and marketing strategies. The methodological framework includes both hierarchical and non-hierarchical (k-means) clustering, applied to standardized variables such as age, household size, satisfaction with various aspects of the tourist experience, and behavioural intentions. The analysis reveals four distinct tourist profiles, each characterized by specific patterns of evaluation and travel behaviour—retirement age loyalists, middle-aged sceptics, younger moderate enthusiasts and young high loyalists. The findings reveal the heterogeneity of the domestic tourism market in Bulgaria and provide a data-driven foundation for enhancing the effectiveness of tourism management and promotional efforts. Full article
Show Figures

Figure 1

20 pages, 9824 KB  
Article
Micromechanical Properties of Deep Carbonate Investigated by Coupling Nanoindentation and SEM-EDS
by Zehao Xu, Haijun Mao, Haiyang Zhao, Pandeng Luo, Zechen Guo and Yiming Liu
Processes 2026, 14(2), 251; https://doi.org/10.3390/pr14020251 - 10 Jan 2026
Viewed by 141
Abstract
As energy exploration and development continue to advance into deep and ultradeep formations, systematic studies of rock mechanical properties face significant challenges due to high core acquisition costs and sample damage under extreme conditions. To overcome these challenges, high-precision, minimally invasive, or non-destructive [...] Read more.
As energy exploration and development continue to advance into deep and ultradeep formations, systematic studies of rock mechanical properties face significant challenges due to high core acquisition costs and sample damage under extreme conditions. To overcome these challenges, high-precision, minimally invasive, or non-destructive testing methods are urgently needed. This study systematically characterizes the microstructural features and mechanical heterogeneity of deep carbonate rocks from the Shunbei area by integrating XRD, SEM-EDS, and nanoindentation techniques. The results show that these rocks are primarily composed of a continuous calcite phase, with quartz as the secondary phase occurring in regional aggregates embedded within the calcite matrix. The two phases commonly exhibit an intergrown texture, and mineral distribution displays notable spatial heterogeneity and sample-to-sample variation. Nanoindentation tests reveal that the quartz phase exhibits excellent mechanical stability, with elastic moduli ranging from 70.6 to 101.8 GPa and hardness values between 10.8 and 13.5 GPa. The data are tightly clustered, indicating structural homogeneity and strong resistance to deformation. In contrast, the calcite phase shows lower and more scattered mechanical parameters, with elastic moduli of 27.4~76.0 GPa and hardnesses of 0.7~2.3 GPa, reflecting pronounced microscale heterogeneity. Furthermore, a strong negative correlation exists between hardness and maximum indentation depth, further confirming the dominant influence of mineral composition on local mechanical response. Notably, despite similar mineralogical compositions among samples A13, A15, and A18, their micromechanical performance follows the order A15 > A18 > A13, indicating that subtle differences in diagenetic history, crystal development, and local stress conditions can significantly affect rock mechanical behavior. Full article
(This article belongs to the Section Petroleum and Low-Carbon Energy Process Engineering)
Show Figures

Figure 1

28 pages, 1828 KB  
Article
Edge Detection on a 2D-Mesh NoC with Systolic Arrays: From FPGA Validation to GDSII Proof-of-Concept
by Emma Mascorro-Guardado, Susana Ortega-Cisneros, Francisco Javier Ibarra-Villegas, Jorge Rivera, Héctor Emmanuel Muñoz-Zapata and Emilio Isaac Baungarten-Leon
Appl. Sci. 2026, 16(2), 702; https://doi.org/10.3390/app16020702 - 9 Jan 2026
Viewed by 80
Abstract
Edge detection is a key building block in real-time image-processing applications such as drone-based infrastructure inspection, autonomous navigation, and remote sensing. However, its computational cost remains a challenge for resource-constrained embedded systems. This work presents a hardware-accelerated edge detection architecture based on a [...] Read more.
Edge detection is a key building block in real-time image-processing applications such as drone-based infrastructure inspection, autonomous navigation, and remote sensing. However, its computational cost remains a challenge for resource-constrained embedded systems. This work presents a hardware-accelerated edge detection architecture based on a homogeneous 2D-mesh Network-on-Chip (NoC) integrating systolic arrays to efficiently perform the convolution operations required by the Sobel filter. The proposed architecture was first developed and validated as a 3 × 3 mesh prototype on FPGA (Xilinx Zynq-7000, Zynq-7010, XC7Z010-CLG400A, Zybo board, utilizing 26,112 LUTs, 24,851 flip-flops, and 162 DSP blocks), achieving a throughput of 8.8 Gb/s with a power consumption of 0.79 W at 100 MHz. Building upon this validated prototype, a reduced 2 × 2 node cluster with 14-bit word width was subsequently synthesized at the physical level as a proof-of-concept using the OpenLane RTL-to-GDSII open-source flow targeting the SkyWater 130 nm PDK (sky130A). Post-layout analysis confirms the manufacturability of the design, with a total power consumption of 378 mW and compliance with timing constraints, demonstrating the feasibility of mapping the proposed architecture to silicon and its suitability for drone-based infrastructure monitoring applications. Full article
(This article belongs to the Special Issue Advanced Integrated Circuit Design and Applications)
Show Figures

Figure 1

12 pages, 1953 KB  
Article
Prognosis from Pixels: A Vendor-Protocol-Specific CT-Radiomics Model for Predicting Recurrence in Resected Lung Adenocarcinoma
by Abdalla Ibrahim, Eduardo J. Ortiz, Stella T. Tsui, Cameron N. Fick, Kay See Tan, Binsheng Zhao, Michelle Ginsberg, Lawrence H. Schwartz and David R. Jones
Cancers 2026, 18(2), 200; https://doi.org/10.3390/cancers18020200 - 8 Jan 2026
Viewed by 164
Abstract
Background: Radiomics can provide quantitative descriptors of tumor phenotype, but translation is often limited by feature instability across scanners and protocols. We aimed to develop and internally validate a protocol-specific CT-radiomics model using preoperative imaging to predict 5-year recurrence in patients with stage [...] Read more.
Background: Radiomics can provide quantitative descriptors of tumor phenotype, but translation is often limited by feature instability across scanners and protocols. We aimed to develop and internally validate a protocol-specific CT-radiomics model using preoperative imaging to predict 5-year recurrence in patients with stage I lung adenocarcinoma after complete surgical resection. Methods: The retrospective study included 270 patients with completely resected stage I lung adenocarcinoma from January 2010–December 2021, among whom 23 (8.5%) experienced recurrence within five years. Radiomic features were extracted from routine preoperative CT scans. After preprocessing to remove highly constant and highly correlated features, the Synthetic Minority Over-sampling Technique addressed class imbalance in the training set. Recursive Feature Elimination identified the most predictive radiomic features. An XGBoost classifier was trained using optimized hyperparameters identified through RandomizedSearchCV with cross-validation. Model performance was evaluated using the ROC curve and predictive metrics. Results: Five radiomic features differed significantly between recurrence groups (p = 0.007 to <0.001): Shape Sphericity, first-order 90Percentile, GLCM Autocorrelation, GLCM Cluster Shade, and GLDM Large Dependence Low Gray Level Emphasis. The radiomics model showed excellent discriminatory ability with AUC values of 0.99 (95% CI: 0.98–1.00), 0.97 (95% CI: 0.91–1.00), and 0.96 (95% CI: 0.85–1.00) on the training, validation, and test sets, respectively. On the test set, the model achieved sensitivity of 100% (95% CI: 51–100%), specificity of 94% (95% CI: 81–98%), PPV of 67% (95% CI: 30–90%), NPV of 100% (95% CI: 90–100%), and overall accuracy of 95% (95% CI: 83–99%). Conclusions: Under protocol-homogeneous imaging conditions, CT radiomics accurately predicted recurrence in patients with completely resected stage I lung adenocarcinoma. External multi-vendor validation is needed before broader deployment. Full article
(This article belongs to the Section Methods and Technologies Development)
Show Figures

Figure 1

16 pages, 2897 KB  
Article
Diphosphine-Substituted Rhodium Carbonyl Clusters: Synthesis and Structural and Spectroscopic Characterization of the Heteroleptic Rh4(CO)8+2n(L)2−n (n = 0, 1) and {Rh4(CO)10L}2 Monomeric and Dimeric Species
by Giorgia Scorzoni, Guido Bussoli, Cristiana Cesari, Maria Carmela Iapalucci, Stefano Zacchini and Cristina Femoni
Molecules 2026, 31(1), 193; https://doi.org/10.3390/molecules31010193 - 5 Jan 2026
Viewed by 192
Abstract
Tetranuclear rhodium carbonyl clusters are vital catalytic precursors; yet derivatives featuring bidentate phosphines are less common, due to the propensity for cluster fragmentation during synthesis. This study reports the successful isolation of five new heteroleptic species by reacting Rh4(CO)12 with [...] Read more.
Tetranuclear rhodium carbonyl clusters are vital catalytic precursors; yet derivatives featuring bidentate phosphines are less common, due to the propensity for cluster fragmentation during synthesis. This study reports the successful isolation of five new heteroleptic species by reacting Rh4(CO)12 with various bidentate diphosphines under homogeneous conditions and at room temperature, namely the mono-substituted Rh4(CO)10(dppe) (1) and Rh4(CO)10(dppb) (3), the rare bis-substituted derivative Rh4(CO)8(dppe)2 (2), and the two unique dimeric assemblies {Rh4(CO)10(dpp-hexane)}2 (4) and {Rh4(CO)10(trans-dppe)}2 (5). The tetrahedral Rh4 core of the cluster precursor was preserved in all cases. The new compounds were characterized via infrared (IR) spectroscopy and single-crystal X-ray diffraction (SC-XRD). Furthermore, variable-temperature (VT) 31P{1H} NMR spectroscopy elucidated the dynamic behavior of the phosphorus atoms. This work reports a robust methodology for accessing stable, low-nuclearity rhodium phosphine clusters with tunable properties. Full article
(This article belongs to the Section Inorganic Chemistry)
Show Figures

Figure 1

27 pages, 3061 KB  
Article
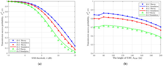
LEO Satellite and UAV-Assisted Maritime Internet of Things: Modeling and Performance Analysis for Data Acquisition
by Xu Hu, Bin Lin, Ping Wang and Xiao Lu
Future Internet 2026, 18(1), 24; https://doi.org/10.3390/fi18010024 - 1 Jan 2026
Viewed by 219
Abstract
The integration of low Earth orbit (LEO) satellites and unmanned aerial vehicles (UAVs) into the maritime Internet of Things (MIoT) offers an effective solution to overcoming the limitations of connectivity and transmission reliability in conventional MIoT, thereby supporting marine data acquisition. However, the [...] Read more.
The integration of low Earth orbit (LEO) satellites and unmanned aerial vehicles (UAVs) into the maritime Internet of Things (MIoT) offers an effective solution to overcoming the limitations of connectivity and transmission reliability in conventional MIoT, thereby supporting marine data acquisition. However, the highly dynamic ocean environment necessitates a theoretical framework for system-level performance evaluation before practical deployment. In this article, we consider a LEO satellite and UAV-assisted MIoT (LSU-MIoT) network and develop an analytical framework to evaluate its transmission performance. Specifically, marine devices and relaying buoys are modeled as a Matérn cluster process on the sea surface, UAVs as a homogeneous Poisson point process, and LEO satellites as a spherical Poisson point process. Signal transmissions over marine, aerial, and space links are characterized by Nakagami-m, Rician, and shadowed Rician fading, respectively, with the two-ray path loss model applied to sea and air links for accurately capturing propagation characteristics. By leveraging stochastic geometry, we derive analytical expressions for transmission success probability and end-to-end delay of regular and emergency data under the time division multiple access and non-orthogonal multiple access schemes. Simulation results validate the accuracy of derived expressions and reveal the impact of key parameters on the performance of LSU-MIoT networks. Full article
(This article belongs to the Special Issue Wireless Sensor Networks and Internet of Things)
Show Figures

Figure 1

22 pages, 31566 KB  
Article
PodFormer: An Adaptive Transformer-Based Framework for Instance Segmentation of Mature Soybean Pods in Field Environments
by Lei Cai and Xuewu Shou
Electronics 2026, 15(1), 80; https://doi.org/10.3390/electronics15010080 - 24 Dec 2025
Viewed by 180
Abstract
Mature soybean pods exhibit high homogeneity in color and texture relative to straw and dead leaves, and instances are often densely occluded, posing significant challenges for accurate field segmentation. To address these challenges, this paper constructs a high-quality field-based mature soybean dataset and [...] Read more.
Mature soybean pods exhibit high homogeneity in color and texture relative to straw and dead leaves, and instances are often densely occluded, posing significant challenges for accurate field segmentation. To address these challenges, this paper constructs a high-quality field-based mature soybean dataset and proposes an adaptive Transformer-based network, PodFormer, to improve segmentation performance under homogeneous backgrounds, dense distributions, and severe occlusions. PodFormer integrates three core innovations: (1) the Adaptive Wavelet Detail Enhancement (AWDE) module, which strengthens high-frequency boundary cues to alleviate weak-boundary ambiguities; (2) the Density-Guided Query Initialization (DGQI) module, which injects scale and density priors to enhance instance detection in both sparse and densely clustered regions; and (3) the Mask Feedback Gated Refinement (MFGR) layer, which leverages mask confidence to adaptively refine query updates, enabling more accurate separation of adhered or occluded instances. Experimental results show that PodFormer achieves relative improvements of 6.7% and 5.4% in mAP50 and mAP50-95, substantially outperforming state-of-the-art methods. It further demonstrates strong generalization capabilities on real-world field datasets and cross-domain wheat-ear datasets, thereby providing a reliable perception foundation for structural trait recognition in intelligent soybean harvesting systems. Full article
Show Figures

Figure 1

17 pages, 1188 KB  
Article
Comparative Phenotypic and Genotypic Analysis of Erysipelothrix rhusiopathiae Strains Isolated from Poultry
by Ádám Kerek, Gergely Tornyos, Eszter Kaszab, Enikő Fehér and Ákos Jerzsele
Antibiotics 2026, 15(1), 11; https://doi.org/10.3390/antibiotics15010011 - 20 Dec 2025
Viewed by 318
Abstract
Background: Erysipelothrix rhusiopathiae is an important zoonotic pathogen in poultry, yet little is known about its antimicrobial resistance (AMR) dynamics in avian hosts. With growing concerns about subtherapeutic antimicrobial use in animal agriculture, poultry-origin isolates represent a potential but under-characterized reservoir of [...] Read more.
Background: Erysipelothrix rhusiopathiae is an important zoonotic pathogen in poultry, yet little is known about its antimicrobial resistance (AMR) dynamics in avian hosts. With growing concerns about subtherapeutic antimicrobial use in animal agriculture, poultry-origin isolates represent a potential but under-characterized reservoir of resistance genes. Methods: We phenotypically tested 38 E. rhusiopathiae strains isolated from geese, ducks, and turkeys in Hungary (2024) using broth microdilution against 18 antimicrobial agents, following Clinical Laboratory Standards Institute (CLSI) guidelines. Nineteen phenotypically resistant strains were selected for whole-genome sequencing (Illumina platform), followed by de novo hybrid assembly, gene annotation (Prokka, CARD, VFDB), mobile element detection (Mobile Element Finder), and phylogenetic inference (autoMLST). Results: All isolates were susceptible to β-lactams, including penicillin, amoxicillin, and third-generation cephalosporins. Resistance to tetracyclines (up to 10.5%) and florfenicol (5.3%) was most frequently detected. Genomic analysis revealed the presence of tetM (9/19), tetT (2/19), and erm(47) (2/19) genes, all associated with chromosomally integrated mobile elements, ICE Tn6009 and IS ISErh6. Phylogenomic analysis demonstrated tight clustering into four clades, suggesting clonal expansion. Notably, one strain harbored a 64.8 kb genomic island carrying ermC, the first such finding in poultry-derived E. rhusiopathiae. Conclusions: Our data highlights the early emergence of mobile AMR determinants in E. rhusiopathiae from poultry and suggests that horizontal gene transfer may drive resistance even in chromosomally encoded contexts. The genomic stability and phylogenetic homogeneity of avian isolates underscore the need for targeted AMR surveillance in poultry sectors to mitigate potential zoonotic transmission risks. Full article
(This article belongs to the Special Issue Genomic Surveillance of Antimicrobial Resistance (AMR))
Show Figures

Figure 1

22 pages, 7784 KB  
Article
Morphology-Adaptive Spatial Analysis of Urban Green Spaces: A Homogeneous Unit of Building Morphology (HUBM)-Based Framework for Ecosystem Service and Resilience Assessment in High-Density Cities
by Huiyu Zhu, Jialin Cheng, Long Zhou, Guoqiang Shen and Leehu Loon
Land 2026, 15(1), 6; https://doi.org/10.3390/land15010006 - 19 Dec 2025
Viewed by 322
Abstract
Environmental assessment in high-density urban areas faces significant challenges due to complex building morphology and the Modifiable Areal Unit Problem (MAUP). This study proposes a morphology-adaptive computational framework that integrates the Homogeneous Unit of Building Morphology (HUBM) with geospatial modeling to enhance environmental [...] Read more.
Environmental assessment in high-density urban areas faces significant challenges due to complex building morphology and the Modifiable Areal Unit Problem (MAUP). This study proposes a morphology-adaptive computational framework that integrates the Homogeneous Unit of Building Morphology (HUBM) with geospatial modeling to enhance environmental assessment processes. Using Macao as a case study, the framework quantifies local and accessibility-based ecosystem service flows and evaluates ecological resilience via ecological security patterns and spatial elasticity indices. The results demonstrate that HUBM substantially reduces MAUP-induced biases compared to traditional grid-based approaches, maintaining statistical significance in spatial clustering analyses across all scales. Functionally, ecosystem service value (ESV) analysis reveals that natural green spaces provide more than three times the total ESV, predominantly offering regulating services, while artificial green spaces primarily deliver localized services. Accessibility analysis highlights considerable spatial inequities, with natural green spaces exhibiting a significantly higher recreational accessibility index. In terms of ecological security patterns (ESPs), natural green spaces function as core ecological patches, while artificial green spaces dominate connectivity, accounting for 75% of corridor length and 86% of node density. Natural green spaces exhibit significantly greater ecological resilience. These findings highlight the complementary roles of natural and artificial green spaces in dense urban environments and underscore the need for adaptive spatial analysis in urban planning. Full article
Show Figures

Graphical abstract

20 pages, 2114 KB  
Article
Does the Chimerization Process Affect the Immunochemical Properties of WNV-Neutralizing Antibody 900?
by Anastasiya A. Isaeva, Valentina S. Nesmeyanova, Daniil V. Shanshin, Nikita D. Ushkalenko, Ekaterina A. Volosnikova, Tatiana I. Esina, Elena V. Protopopova, Victor A. Svyatchenko, Valery B. Loktev, Sergey E. Olkin, Elena D. Danilenko, Elena I. Kazachinskaia and Dmitriy N. Shcherbakov
Int. J. Mol. Sci. 2025, 26(24), 12181; https://doi.org/10.3390/ijms262412181 - 18 Dec 2025
Viewed by 382
Abstract
West Nile fever is an infectious disease caused by the West Nile virus (WNV), which is transmitted by mosquitoes. Epidemiological surveillance confirms the potential risk of WNV infection in human populations. The lack of specific antiviral therapeutics and vaccines against WNV underscores the [...] Read more.
West Nile fever is an infectious disease caused by the West Nile virus (WNV), which is transmitted by mosquitoes. Epidemiological surveillance confirms the potential risk of WNV infection in human populations. The lack of specific antiviral therapeutics and vaccines against WNV underscores the urgent need to develop effective therapeutic approaches. In this study, a recombinant chimeric monoclonal antibody (mAb) 900 was generated based on the broadly neutralizing and protective murine mAb 9E2. The antigen-binding regions of the murine mAb were fused with the constant domains (CH2–CH3) of human IgG1. Two key amino acid clusters, M252/S254/T256 and H433/N434, were introduced into the CH2–CH3 domains to enhance the affinity of mAb 900 for the neonatal Fc receptor (FcRn). The engineered mAb 900 was produced in CHO cells and purified to high homogeneity. Biophysical characterization confirmed its stability and correct dimeric assembly. Comparative analysis demonstrated that mAb 900 retained the high antigen-binding affinity and potent virus-neutralizing activity of its murine predecessor. Most importantly, mAb 900 demonstrated significant protective efficacy in a lethal mouse model of WNV infection. These results establish the proof of concept for mAb 900 as a promising candidate for further preclinical development against WNV infection. Full article
Show Figures

Graphical abstract

21 pages, 1304 KB  
Article
An Automated Machine Learning Framework for Interpretable Customer Segmentation in Financial Services
by Iveta Grigorova, Aleksandar Efremov and Aleksandar Karamfilov
Int. J. Financial Stud. 2025, 13(4), 243; https://doi.org/10.3390/ijfs13040243 - 17 Dec 2025
Viewed by 695
Abstract
Customer segmentation is essential in financial services for designing targeted interventions, managing dormant portfolios, and supporting marketing re-engagement strategies. Traditional approaches such as Recency–Frequency–Monetary (RFM) analysis offer interpretability but often lack the flexibility needed to capture heterogeneous behavioral patterns. This study presents an [...] Read more.
Customer segmentation is essential in financial services for designing targeted interventions, managing dormant portfolios, and supporting marketing re-engagement strategies. Traditional approaches such as Recency–Frequency–Monetary (RFM) analysis offer interpretability but often lack the flexibility needed to capture heterogeneous behavioral patterns. This study presents an automated segmentation framework that integrates machine learning-based clustering with RFM-based interpretability benchmarks. KMeans and Hierarchical clustering are evaluated across multiple values of k using internal validity metrics (Silhouette Coefficient, Davies–Bouldin Index) and interpretability alignment measures (Adjusted Rand Index, Normalized Mutual Information, Homogeneity, Completeness, and V-Measure). The Hungarian algorithm is used to align machine-learned clusters with RFM segments for comparability. The framework reveals behavioral subgroups not captured by RFM alone, demonstrating that machine learning can expose hidden heterogeneity within dormant customer populations. While outcome-based financial validation is not yet feasible due to the cold-start nature of the deployment environment, the study provides a reproducible, scalable pipeline for segmentation that balances analytical rigor with business interpretability. The findings highlight how data-driven clustering can refine traditional segmentation logic, supporting more nuanced portfolio monitoring and re-engagement strategies in financial services. Full article
Show Figures

Figure 1

32 pages, 30205 KB  
Article
Assessing the Multifunctional Potential and Performance of Cultivated Land in Historical Irrigation Districts: A Case Study of the Mulanbei Irrigation District in China
by Yuting Zhu, Zukun Zhang, Xuewei Zhang and Tao Lin
Land 2025, 14(12), 2421; https://doi.org/10.3390/land14122421 - 15 Dec 2025
Viewed by 409
Abstract
Historical irrigation districts (HIDs) are integrated systems of natural and cultural assets, with cultivated land providing critical functions such as food security, environmental conservation, and cultural inheritance. This study presents a research framework for evaluating multifunctional potential, performance, and geographical matching along the [...] Read more.
Historical irrigation districts (HIDs) are integrated systems of natural and cultural assets, with cultivated land providing critical functions such as food security, environmental conservation, and cultural inheritance. This study presents a research framework for evaluating multifunctional potential, performance, and geographical matching along the “potential-performance” dimensions using analytical tools such as SPSS26.0, ArcGIS pro3.5.2, GeoDa1.22, InVEST3.13, and bivariate spatial autocorrelation. We use Mulanbei HID in China as a case study because of its thousand-year irrigation history and unique location at the intersection of coastal urban and rural communities. The results show the following: (1) In the Mulanbei HID, multifunctional cultivated land exhibits functions in the following order: producing functions, ecological functions, landscape–cultural functions, and social functions. The production function has a homogenous distribution characterized by high values. The ecological function, on the other hand, is distinguished by high-value clusters that decrease significantly as building land approaches its periphery. Social and landscape–cultural roles continue to be undervalued, with high-value places isolated on metropolitan margins. (2) In terms of matching multifunctional potential and performance, in the High-Potential–High-Performance cluster, production and ecological functions account for 19% and 20%, respectively, while in the High-Potential–Low-Performance cluster, social and landscape–cultural functions account for 33% and 27%. The Low-Potential–Low-Performance cluster has 4% production, 4% ecological, 10% social, and 13% landscape–cultural functions, but all four functions are less than 4% in the Low-Potential–High-Performance cluster. These findings provide a scientific foundation for improving cultivated land zoning and governance with a focus on heritage protection. Full article
(This article belongs to the Special Issue Spatial Optimization for Multifunctional Land Systems)
Show Figures

Figure 1

24 pages, 8599 KB  
Article
Structural Change in Romanian Land Use and Land Cover (1990–2018): A Multi-Index Analysis Integrating Kolmogorov Complexity, Fractal Analysis, and GLCM Texture Measures
by Ion Andronache and Ana-Maria Ciobotaru
Geomatics 2025, 5(4), 78; https://doi.org/10.3390/geomatics5040078 - 12 Dec 2025
Viewed by 589
Abstract
Monitoring land use and land cover (LULC) transformations is essential for understanding socio-ecological dynamics. This study assesses structural shifts in Romania’s landscapes between 1990 and 2018 by integrating algorithmic complexity, fractal analysis, and Grey-Level Co-occurrence Matrix (GLCM) texture analysis. Multi-year maps were used [...] Read more.
Monitoring land use and land cover (LULC) transformations is essential for understanding socio-ecological dynamics. This study assesses structural shifts in Romania’s landscapes between 1990 and 2018 by integrating algorithmic complexity, fractal analysis, and Grey-Level Co-occurrence Matrix (GLCM) texture analysis. Multi-year maps were used to compute Kolmogorov complexity, fractal measures, and 15 GLCM metrics. The measures were compiled into a unified matrix, and temporal trajectories were explored with principal component analysis and k-means clustering to identify inflection points. Informational complexity and Higuchi 2D decline over time, while homogeneity and angular second moment rise, indicating greater local uniformity. A structural transition around 2006 separates an early heterogeneous regime from a more ordered state; 2012 appears as a turning point when several indices reach extreme values. Strong correlations between fractal and texture measures imply that geometric and radiometric complexity co-evolve, whereas large-scale fractal dimensions remain nearly stable. The multi-index approach provides a replicable framework for identifying critical transitions in LULC. It can support landscape monitoring, and future work should integrate finer temporal data and socio-economic drivers. Full article
Show Figures

Figure 1

Back to TopTop