Sign in to use this feature.

Years

Between: -

Subjects

remove_circle_outline
remove_circle_outline
remove_circle_outline
remove_circle_outline
remove_circle_outline
remove_circle_outline
remove_circle_outline
remove_circle_outline
remove_circle_outline

Journals

remove_circle_outline
remove_circle_outline
remove_circle_outline
remove_circle_outline
remove_circle_outline

Article Types

Countries / Regions

remove_circle_outline
remove_circle_outline
remove_circle_outline
remove_circle_outline

Search Results (502)

Search Parameters:
Keywords = highway management

Order results
Result details
Results per page
Select all
Export citation of selected articles as:
22 pages, 3994 KB  
Article
Sustainable Safety Planning on Two-Lane Highways: A Random Forest Approach for Crash Prediction and Resource Allocation
by Fahmida Rahman, Cidambi Srinivasan, Xu Zhang and Mei Chen
Sustainability 2026, 18(2), 635; https://doi.org/10.3390/su18020635 - 8 Jan 2026
Viewed by 66
Abstract
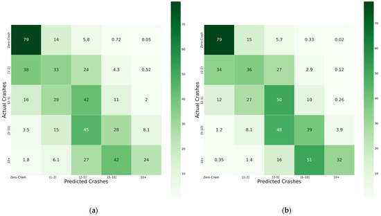
During the safety planning stage, accurate crash prediction tools are critical for prioritizing countermeasures and allocating resources effectively. Traditional statistical approaches, while long applied in this field, often depend on distributional assumptions that may introduce bias and limit model accuracy. To address these [...] Read more.
During the safety planning stage, accurate crash prediction tools are critical for prioritizing countermeasures and allocating resources effectively. Traditional statistical approaches, while long applied in this field, often depend on distributional assumptions that may introduce bias and limit model accuracy. To address these issues, studies have started exploring Machine Learning (ML)-based techniques for crash prediction, particularly for higher functional class roads. However, the application of ML models on two-lane highways remains relatively limited. This study aims to develop an approach to integrate traffic, geometric, and critically, speed-based factors in crash prediction using Random Forest (RF) and SHapley Additive exPlanations (SHAP) techniques. Comparative analysis shows that the RF model improves crash prediction accuracy by up to 25% over the traditional Zero-Inflated Negative Binomial model. SHAP analysis identified AADT, segment length, and average speed as the three most influential predictors of crash frequency, with speed emerging as a key operational factor alongside traditional exposure measures. The strong influence of speed in the RF–SHAP results depicts its critical role in the safety performance of two-lane highways and highlights the value of incorporating detailed operating characteristics into crash prediction models. Overall, the proposed RF–SHAP framework advances roadway safety assessment by offering both predictive accuracy and interpretability, allowing agencies to identify high-impact factors, prioritize countermeasures, and direct resources more efficiently. In doing so, the approach supports sustainable safety management by enabling evidence-based investments, promoting optimal use of limited transportation funds, and contributing to safer, more resilient mobility systems. Full article
(This article belongs to the Special Issue Sustainable Urban Mobility: Road Safety and Traffic Engineering)
Show Figures

Figure 1

27 pages, 5656 KB  
Article
Dynamic Visibility Recognition and Driving Risk Assessment Under Rain–Fog Conditions Using Monocular Surveillance Imagery
by Zilong Xie, Chi Zhang, Dibin Wei, Xiaomin Yan and Yijing Zhao
Sustainability 2026, 18(2), 625; https://doi.org/10.3390/su18020625 - 7 Jan 2026
Viewed by 124
Abstract
This study addresses the limitations of conventional highway visibility monitoring under rain–fog conditions, where fixed stations and visibility sensors provide limited spatial coverage and unstable accuracy. Considering that drivers’ visual fields are jointly affected by global fog and local spray-induced mist, a dynamic [...] Read more.
This study addresses the limitations of conventional highway visibility monitoring under rain–fog conditions, where fixed stations and visibility sensors provide limited spatial coverage and unstable accuracy. Considering that drivers’ visual fields are jointly affected by global fog and local spray-induced mist, a dynamic visibility recognition and risk assessment framework is proposed using roadside monocular CCTV (Closed-Circuit Television) imagery. The method integrates the Koschmieder scattering model with the dark channel prior to estimate atmospheric transmittance and derives visibility through lane-line calibration. A Monte Carlo-based coupling model simulates local visibility degradation caused by tire spray, while a safety potential field defines the low-visibility risk field force (LVRFF) combining dynamic visibility, relative speed, and collision distance. Results show that this approach achieves over 86% accuracy under heavy rain, effectively captures real-time visibility variations, and that LVRFF exhibits strong sensitivity to visibility degradation, outperforming traditional safety indicators in identifying high-risk zones. By enabling scalable, infrastructure-based visibility monitoring without additional sensing devices, the proposed framework reduces deployment cost and energy consumption while enhancing the long-term operational resilience of highway systems under adverse weather. From a sustainability perspective, the method supports safer, more reliable, and resource-efficient traffic management, contributing to the development of intelligent and sustainable transportation infrastructure. Full article
(This article belongs to the Special Issue Traffic Safety, Traffic Management, and Sustainable Mobility)
Show Figures

Figure 1

26 pages, 2900 KB  
Article
State-Dependent Asphalt Pavement Deterioration Modeling via Noise-Filtered Reaction Signatures: A Data-Driven Framework Using Korea Highway Pavement Management System (K-HPMS) Data
by Sungjin Hong, Jeongyeon Cho, Kyungyoung Yu, Duecksu Sohn and Intai Kim
Infrastructures 2026, 11(1), 15; https://doi.org/10.3390/infrastructures11010015 - 6 Jan 2026
Viewed by 91
Abstract
Conventional PMSs often rely on static age-based assumptions, which can fail to capture nonlinear, state-dependent deterioration and improvement-like responses observed in long-term monitoring data. This study addresses these limitations by proposing a reaction-oriented analytical framework using eight years of Korea Highway PMS data [...] Read more.
Conventional PMSs often rely on static age-based assumptions, which can fail to capture nonlinear, state-dependent deterioration and improvement-like responses observed in long-term monitoring data. This study addresses these limitations by proposing a reaction-oriented analytical framework using eight years of Korea Highway PMS data (2015–2022). We construct a Δ–State Vector by combining the previous-year condition grade with noise-filtered annual changes in the International Roughness Index (IRI) and Rut Depth (RD). Measurement noise is separated from structural signals via MAD-based noise bands (ΔIRI: ±0.089 m/km; ΔRD: ±0.993 mm), with a global MAD floor (minimum-threshold constraint) to avoid degenerate zero-band cases under sparse or near-constant transitions. The resulting vectors are embedded into a low-dimensional Reaction Space using UMAP and clustered with HDBSCAN. To validate interpretability, a rule-based Trend × Mode Reaction Signature taxonomy is used to assess the semantic consistency of unsupervised clusters. Five dominant reaction regimes are identified, showing strong agreement with signature-based labels (weighted purity = 0.927; coverage for purity ≥ 0.60 = 0.911). Overall, the results indicate that deterioration dynamics are governed by lane–segment heterogeneity and prior-state dependence rather than chronological age, providing a reproducible foundation for future event-sensitive, dynamic age reset frameworks. Full article
Show Figures

Figure 1

26 pages, 4199 KB  
Article
Analyzing the Impact of Different Lane Management Strategies on Mixed Traffic Flow with CAV Platoons
by Zhihong Yao, Yumei Wu, Jinrun Wang, Yi Wang, Gen Li and Yangsheng Jiang
Systems 2026, 14(1), 55; https://doi.org/10.3390/systems14010055 - 6 Jan 2026
Viewed by 104
Abstract
Mixed traffic flow composed of connected and automated vehicles (CAVs) and human-driven vehicles (HDVs) represents a core characteristic of intelligent transportation systems. However, its operational efficiency is significantly constrained by lane management strategies and CAV cooperative driving behaviors. To investigate this, a cellular [...] Read more.
Mixed traffic flow composed of connected and automated vehicles (CAVs) and human-driven vehicles (HDVs) represents a core characteristic of intelligent transportation systems. However, its operational efficiency is significantly constrained by lane management strategies and CAV cooperative driving behaviors. To investigate this, a cellular automata-based simulation model is developed that integrates multiple car-following rules, a lane-changing strategy, and a platoon coordination mechanism. Through a systematic comparison of 13 lane management strategies in one-way two-lane and three-lane configurations, this study analyzes the influence mechanisms of lane allocation and cooperative driving on traffic flow, considering fundamental diagram characteristics, operating speed, CAV degradation behavior, and maximum platoon size. The results indicate that the performance of different strategies exhibits phased evolution with increasing CAV penetration rates. At low penetration rates, providing relatively independent space for HDVs effectively suppresses random disturbances and improves throughput. At medium to high penetration rates, dedicated CAV lanes—especially those with spatial continuity—enable cooperative platoons to fully leverage their advantages, leading to significant improvements in traffic capacity and operational stability. These findings demonstrate an optimal alignment between cooperative driving mechanisms and lane configurations, offering theoretical support for highway lane management in mixed traffic environments. Full article
Show Figures

Figure 1

22 pages, 2074 KB  
Article
Traffic Flow Prediction Model Based on Attention Mechanism Spatio-Temporal Graph Convolutional Network on U.S. Highways
by Ruiying Zhang and Yin Han
Appl. Sci. 2026, 16(1), 559; https://doi.org/10.3390/app16010559 - 5 Jan 2026
Viewed by 159
Abstract
Traffic flow prediction is a fundamental component of intelligent transportation systems and plays a critical role in traffic management and autonomous driving. However, accurately modeling highway traffic remains challenging due to dynamic congestion propagation, lane-level heterogeneity, and non-recurrent traffic events. To address these [...] Read more.
Traffic flow prediction is a fundamental component of intelligent transportation systems and plays a critical role in traffic management and autonomous driving. However, accurately modeling highway traffic remains challenging due to dynamic congestion propagation, lane-level heterogeneity, and non-recurrent traffic events. To address these challenges, this paper proposes an improved attention-mechanism spatio-temporal graph convolutional network, termed AMSGCN, for highway traffic flow prediction. AMSGCN introduces an adaptive adjacency matrix learning mechanism to overcome the limitations of static graphs and capture time-varying spatial correlations and congestion propagation paths. A hierarchical multi-scale spatial attention mechanism is further designed to jointly model local congestion diffusion and long-range bottleneck effects, enabling an adaptive spatial receptive field under congested conditions. To enhance temporal modeling, a gating-based fusion strategy dynamically balances periodic patterns and recent observations, allowing effective prediction under both regular and abnormal traffic scenarios. In addition, direction-aware encoding is incorporated to suppress interference from opposite-direction lanes, which is essential for directional highway traffic systems. Extensive experiments on multiple benchmark datasets, including PeMS and PEMSF, demonstrate the effectiveness and robustness of AMSGCN. In particular, on the I-24 MOTION dataset, AMSGCN achieves an RMSE reduction of 11.0% compared to ASTGCN and 17.4% relative to the strongest STGCN baseline. Ablation studies further confirm that dynamic and multi-scale spatial attention provides the primary performance gains, while temporal gating and direction-aware modeling offer complementary improvements. These results indicate that AMSGCN is a robust and effective solution for highway traffic flow prediction. Full article
Show Figures

Figure 1

23 pages, 11032 KB  
Article
Work Zone Performance Measures Derived from Connected Vehicle Data for Safety and Mobility Assessment
by Rahul Suryakant Sakhare, Jairaj Desai, Myles Overall, Justin Mukai, Juan Pava, John McGregor and Darcy M. Bullock
Future Transp. 2026, 6(1), 12; https://doi.org/10.3390/futuretransp6010012 - 5 Jan 2026
Viewed by 102
Abstract
On 1 November 2024, the Federal Highway Administration issued a final rule updating the 23 CFR Part 630 Subpart J on Work Zone Safety and Mobility, detailing performance measures and reporting requirements. The rule suggests that state agencies should define formal performance measures [...] Read more.
On 1 November 2024, the Federal Highway Administration issued a final rule updating the 23 CFR Part 630 Subpart J on Work Zone Safety and Mobility, detailing performance measures and reporting requirements. The rule suggests that state agencies should define formal performance measures that can be tracked consistently for the continuity of work zone program management across states. The objective is to help identify work zones needing mobility or safety improvements, as well as provide quantitative feedback on the best practices. The emergence of connected vehicle data over the past few years provides a scalable approach for agencies to calculate and monitor the performance measures defined in the CFR, covering, but not limited to, speed, travel time, queue length and duration, hard braking events and speed differentials. This paper describes techniques that use connected vehicle data to estimate different measures that map into the performance measures defined in this rule. A 2024 work zone in Illinois along I-24 was chosen to demonstrate the utility of the measures. The paper concludes with a discussion of ongoing work applying these derived measures to 101 work zones across 9 states in 2025 to demonstrate scalability. Full article
Show Figures

Figure 1

23 pages, 4414 KB  
Article
A Novel Graph Neural Network Method for Traffic State Estimation with Directional Wave Awareness
by Xiwen Lou, Jingu Mou, Boning Wang, Zhengfeng Huang, Hang Yang, Yibing Wang, Hongzhao Dong, Markos Papageorgiou and Pengjun Zheng
Sensors 2026, 26(1), 289; https://doi.org/10.3390/s26010289 - 2 Jan 2026
Viewed by 396
Abstract
Traffic state estimation (TSE) is crucial for intelligent transportation systems, as it provides unobserved parameters for traffic management and control. In this paper, we propose a novel physics-guided graph neural network for TSE that integrates traffic flow theory into an estimation framework. First, [...] Read more.
Traffic state estimation (TSE) is crucial for intelligent transportation systems, as it provides unobserved parameters for traffic management and control. In this paper, we propose a novel physics-guided graph neural network for TSE that integrates traffic flow theory into an estimation framework. First, we constructed wave-informed anisotropic temporal graphs to capture the time-delayed correlations across the road network, which were then merged with spatial graphs into a unified spatiotemporal structure for subsequent graph convolution operations. Then, we designed a four-layer diffusion graph convolutional network. Each layer is enhanced with squeeze-and-excitation attention mechanism to adaptively capture dynamic directional correlations. Furthermore, we introduced the fundamental diagram equation into the loss function, which guided the model toward physically consistent estimations. Experimental evaluations on a real-world highway dataset demonstrated that the proposed model achieved a higher accuracy than benchmark methods, confirming its effectiveness in capturing complex traffic dynamics. Full article
(This article belongs to the Section Vehicular Sensing)
Show Figures

Figure 1

24 pages, 980 KB  
Article
Multi-Task Seq2Seq Framework for Highway Incident Duration Prediction Incorporating Response Steps and Time Offsets
by Fengze Fan, Jianuo Hao and Xin Fu
Vehicles 2026, 8(1), 5; https://doi.org/10.3390/vehicles8010005 - 2 Jan 2026
Viewed by 121
Abstract
Highway traffic incident management is a dynamic and time-dependent process, and rapidly and accurately predicting its complete sequence of actions and corresponding time schedule is essential for improving the refinement and intelligence of traffic control systems. To address the limitations of existing studies [...] Read more.
Highway traffic incident management is a dynamic and time-dependent process, and rapidly and accurately predicting its complete sequence of actions and corresponding time schedule is essential for improving the refinement and intelligence of traffic control systems. To address the limitations of existing studies that predominantly focus on predicting the total duration while lacking fine-grained modeling of the response procedure, this study proposed a multi-task sequence-to-sequence (Seq2Seq) framework based on a BERT encoder and Transformer decoder to jointly predict incident response steps and their associated time offsets. The model first leveraged a pretrained BERT to encode the incident type and alarm description text, followed by an autoregressive Transformer decoder that generated a sequence of response actions. An action-aware temporal prediction module was incorporated to predict the time offset of each step in parallel, and an adaptive weighted multitask loss was adopted to optimize both action classification and time regression tasks. Experiments based on 4128 real records of highway incident handling in Yunnan Province demonstrated that the proposed model achieved improved performance in duration prediction, outperforming baseline approaches in RMSE (18.05), MAE (14.69), MAPE (37.13%), MedAE (13.23), and SMAPE (33.55%). In addition, the model attained BLEU-4 and ROUGE-L scores of 62.33% and 82.04% in procedure text generation, which confirmed its capability to effectively learn procedural logic and temporal patterns from textual data and offered an interpretable decision-support approach for traffic incident duration prediction. The findings of this study could further support intelligent traffic management systems by enhancing incident response planning, real-time control strategies, and resource allocation for expressway operations. Full article
Show Figures

Figure 1

15 pages, 1164 KB  
Article
Predictive Modeling of Crash Frequency on Mountainous Highways: A Mixed-Effects Approach Applied to a Brazilian Road
by Fernando Lima de Carvalho, Ana Paula Camargo Larocca and Orlando Yesid Esparza Albarracin
Sustainability 2026, 18(1), 395; https://doi.org/10.3390/su18010395 - 31 Dec 2025
Viewed by 241
Abstract
This study investigates the influence of roadway geometry and environmental conditions on traffic crash frequency along a 57 km mountainous segment of the BR-116/SP (Régis Bittencourt Highway), one of Brazil’s most critical freight and passenger corridors. A Generalized Linear Mixed Model (GLMM) with [...] Read more.
This study investigates the influence of roadway geometry and environmental conditions on traffic crash frequency along a 57 km mountainous segment of the BR-116/SP (Régis Bittencourt Highway), one of Brazil’s most critical freight and passenger corridors. A Generalized Linear Mixed Model (GLMM) with a Negative Binomial distribution was developed using monthly data aggregated by highway segment. Explanatory variables included traffic exposure, geometric design characteristics, and meteorological factors. The results revealed that horizontal curvature and longitudinal grade are key determinants of crash occurrence and that the interaction between these factors substantially amplifies crash risk. Specifically, segments with combined tight curvature (radius < 500 m) and moderate-to-steep grades showed up to a 4.3-fold increase in expected crash frequency compared with straight or flat sections. The model achieved satisfactory fit (RMSE = 1.273) and provided a robust framework for identifying high-risk locations. The findings highlight the importance of geometric consistency and integrated safety management strategies, contributing to sustainable transport management and offering methodological and practical contributions to data-driven road safety policies in Brazil. Full article
Show Figures

Figure 1

26 pages, 3999 KB  
Article
Integrating SBAS-InSAR and Machine Learning for Enhanced Landslide Identification and Susceptibility Mapping Along the West Kunlun Highway
by Xiaomin Dai, Xinjun Song, Liuyang Xing, Dongchen Han and Shuqing Li
Appl. Sci. 2026, 16(1), 120; https://doi.org/10.3390/app16010120 - 22 Dec 2025
Viewed by 219
Abstract
Landslide risk assessment along high-altitude transportation corridors is critical for infrastructure resilience. This study presents an integrated framework combining Small Baseline Subset Interferometric Synthetic Aperture Radar (SBAS-InSAR) deformation data and machine learning (ML) to systematically identify and assess landslide susceptibility along the entire [...] Read more.
Landslide risk assessment along high-altitude transportation corridors is critical for infrastructure resilience. This study presents an integrated framework combining Small Baseline Subset Interferometric Synthetic Aperture Radar (SBAS-InSAR) deformation data and machine learning (ML) to systematically identify and assess landslide susceptibility along the entire 245.5 km West Kunlun Highway. We first compiled a landslide inventory through visual interpretation and SBAS-InSAR analysis. Subsequently, fourteen causative factors were selected to construct and compare six ML models: random forest (RF), K-nearest neighbours (KNN), artificial neural network (ANN), gradient boosting decision trees (GBDT), support vector machine (SVM), and logistical regression (LR). Research findings indicate that along the Hotan–Kangziva Highway in the Western Kunlun Mountains, there exist 21 potential risk points for small-scale landslides, 12 for medium-scale landslides, and 5 for large-scale landslides, with hazard identification accuracy reaching 80%. The random forest model demonstrated outstanding performance, classifying areas with 5.10%, 4.55% and 4.96% probability as extremely high, high and medium susceptibility, respectively. This work provides a robust methodology and a high-accuracy assessment tool for landslide risk management in the data-scarce Western Kunlun Mountains. Full article
(This article belongs to the Special Issue Geological Disasters: Mechanisms, Detection, and Prevention)
Show Figures

Figure 1

16 pages, 1962 KB  
Article
Hierarchical Analysis for Construction Risk Factors of Highway Engineering Based on DEMATEL-MMDE-ISM Method
by Peng Zhang, Yandong He, Yibo Zhang, Rong Li and Biao Wu
Sustainability 2026, 18(1), 116; https://doi.org/10.3390/su18010116 - 22 Dec 2025
Viewed by 253
Abstract
To effectively mitigate risks in highway construction and thereby ensure the sustainable development of the transportation sector, this study identifies 27 risk factors across five dimensions—human–machine–environment–process–management—through a combination of literature review, construction accident case analyses, and expert interviews. The Decision-Making Trial and Evaluation [...] Read more.
To effectively mitigate risks in highway construction and thereby ensure the sustainable development of the transportation sector, this study identifies 27 risk factors across five dimensions—human–machine–environment–process–management—through a combination of literature review, construction accident case analyses, and expert interviews. The Decision-Making Trial and Evaluation Laboratory (DEMATEL) method, combined with the Maximum Mean Deviation Entropy (MMDE) approach for threshold determination, quantifies centrality and causality of these factors. An Interpretive Structural Modeling (ISM) is employed to construct a multi-level hierarchical framework. The research reveals that highway construction safety risks follow a seven-tier structure: “risk characterization-process assurance-source governance-driven”. Safety education and regulatory systems serve as fundamental drivers, while hazard identification and mitigation, extreme weather response protocols, and equipment compliance form critical safeguard mechanisms. Building on this framework, the study proposes a risk control pathway of “source governance–process interruption–terminal response”, offering practical recommendations for safety management and providing new perspectives for engineering risk assessment and method optimization. Full article
Show Figures

Figure 1

22 pages, 17762 KB  
Article
Highway Reconstruction Through Fine-Grained Semantic Segmentation of Mobile Laser Scanning Data
by Yuyu Chen, Zhou Yang, Huijing Zhang and Jinhu Wang
Sensors 2026, 26(1), 40; https://doi.org/10.3390/s26010040 - 20 Dec 2025
Viewed by 336
Abstract
The highway is a crucial component of modern transportation systems, and its efficient management is essential for ensuring safety and facilitating communication. The automatic understanding and reconstruction of highway environments are therefore pivotal for advanced traffic management and intelligent transportation systems. This work [...] Read more.
The highway is a crucial component of modern transportation systems, and its efficient management is essential for ensuring safety and facilitating communication. The automatic understanding and reconstruction of highway environments are therefore pivotal for advanced traffic management and intelligent transportation systems. This work introduces a methodology for the fine-grained semantic segmentation and reconstruction of highway environments using dense 3D point cloud data acquired via mobile laser scanning. First, a multi-scale, object-based data augmentation and down-sampling method is introduced to address the issue of training sample imbalance. Subsequently, a deep learning approach utilizing the KPConv convolutional network is proposed to achieve fine-grained semantic segmentation. The segmentation results are then used to reconstruct a 3D model of the highway environment. The methodology is validated on a 32 km stretch of highway, achieving semantic segmentation across 27 categories of environmental features. When evaluated against a manually annotated ground truth, the results exhibit a mean Intersection over Union (mIoU) of 87.27%. These findings demonstrate that the proposed methodology is effective for fine-grained semantic segmentation and instance-level reconstruction of highways in practical scenarios. Full article
(This article belongs to the Special Issue Application of LiDAR Remote Sensing and Mapping)
Show Figures

Figure 1

18 pages, 3536 KB  
Article
Operational Analysis and Capacity Improvement Strategies for Signalized Intersections: Case Study on Miami, Florida
by Mohaimin Azmain, Debabrata Paul, Ahmad Salman Alkasimi, Jamal Abdulmohsen Eid Abdulaal and Mohammed J. Abdulaal
Future Transp. 2026, 6(1), 2; https://doi.org/10.3390/futuretransp6010002 - 19 Dec 2025
Viewed by 315
Abstract
Urban population growth and expanding economic activity have intensified the demand on transportation networks, resulting in higher traffic volumes, increased spillbacks, and a declining level of service (LOS). Signalized intersections, as critical components, play a vital role in managing urban congestion. This study [...] Read more.
Urban population growth and expanding economic activity have intensified the demand on transportation networks, resulting in higher traffic volumes, increased spillbacks, and a declining level of service (LOS). Signalized intersections, as critical components, play a vital role in managing urban congestion. This study examines a heavily congested intersection in Miami, Florida, using Highway Capacity Software (HCS7) to assess operational performance and test improvement strategies. The baseline analysis revealed excessive delays, severe queue spillbacks, and LOS F during the PM peak period. Two data-driven scenarios were evaluated: (1) signal timing optimization, and (2) a combined approach involving both optimized timing and a proposed grade-separated pedestrian bridge. Scenario 2 achieved the most significant performance gains by reducing average delays by approximately 53% and improving the intersection’s LOS from F to E. Beyond operational benefits, the pedestrian bridge is supported by crash reduction evidence (CMF), complies with Americans with Disabilities Act (ADA) standards, and promotes long-term urban sustainability. The study’s methodology offers transferable insights for similar urban intersections facing high demand and multimodal conflict. Full article
Show Figures

Figure 1

25 pages, 2974 KB  
Article
Collapse Risk Assessment for Tunnel Entrance Construction in Weak Surrounding Rock Based on the WOA–XGBOOST Method and a Game Theory-Informed Combined Cloud Model
by Weiqiang Zheng, Bo Wu, Shixiang Xu, Ximao Chen, Yongping Ye, Yongming Liu, Zhongsi Dou, Cong Liu, Yuxuan Zhu and Zhiping Li
Appl. Sci. 2025, 15(24), 13194; https://doi.org/10.3390/app152413194 - 16 Dec 2025
Viewed by 269
Abstract
In order to reduce the risk of collapse disasters during tunnel construction in mountainous areas and to make full use of the available data, a collapse risk assessment model for highway tunnel construction was established based on the WOA–XGBOOST algorithm. Three major categories [...] Read more.
In order to reduce the risk of collapse disasters during tunnel construction in mountainous areas and to make full use of the available data, a collapse risk assessment model for highway tunnel construction was established based on the WOA–XGBOOST algorithm. Three major categories of tunnel construction risk, namely engineering geological factors, survey and design factors, and construction management factors, were selected as the first-level indicators, and 14 secondary indicators were further specified as the input variables of the collapse risk assessment model for tunnel construction. The confusion matrix and accuracy metrics were employed to evaluate the training and prediction performance of the risk assessment model on both the training set and the test set. The results show that subjective weights derived from the G1 method were integrated with objective weights generated by the WOA–XGBOOST algorithm. A game-theory-based weight integration strategy was then applied to optimize the combined weights, effectively mitigating the biases inherent in single-method weighting approaches. Risk quantification was systematically conducted using a cloud model, while spatial risk distribution patterns were visualized through graphical cloud-mapping techniques. After completion of model training, the proposed model achieved a high accuracy of over 99% on the training set and around 95% on the held-out test set based on an available dataset of 100 collapse-prone tunnel construction sections. Case-based verification further suggests that, in the studied collapse scenarios, the predicted risk levels are generally consistent with the actual engineering risks, indicating that the model is a promising tool for assisting tunnel construction risk assessment under similar conditions. The research outcomes provide an efficient and reliable approach for assessing risks in tunnel construction, thereby offering a scientific basis for engineering decision-making processes. Full article
Show Figures

Figure 1

18 pages, 2639 KB  
Article
Effect of Viscosity Reduction by Rubber Organic Degradation Agents in High-Rubber-Content Asphalt
by Jingzhuo Zhao, Junchang Gao, Kuan Jiang, Dawei Dong, Xingjun Zhang, Yong Huang, Yiqing Wang, Zhao Wang and Fucheng Guo
Materials 2025, 18(24), 5619; https://doi.org/10.3390/ma18245619 - 15 Dec 2025
Viewed by 200
Abstract
The increase in the viscosity of high-rubber-content asphalt modified with rubber powder at high temperatures leads to processing difficulties and drastic changes in physical properties, which have long been a challenge in the asphalt industry. Although viscosity reducers have shown great potential in [...] Read more.
The increase in the viscosity of high-rubber-content asphalt modified with rubber powder at high temperatures leads to processing difficulties and drastic changes in physical properties, which have long been a challenge in the asphalt industry. Although viscosity reducers have shown great potential in addressing these issues, their mechanisms of action in high-rubber-content asphalt modified with rubber powder remain unclear. This study employs diphenyl disulfide (DD) as a viscosity reducer and elucidates its mechanism of action in high-rubber-content asphalt, which includes three stages: (1) dissolution and dispersion in the asphalt matrix; (2) impregnation into the crosslinked network of the rubber powder; and (3) de-crosslinking via active free radicals. By optimizing the pre-impregnation time (12 h), temperature (110 °C), and rubber powder particle size (160–180 µm), the dispersion of DD can be enhanced, thereby improving the processability of high-rubber-content asphalt modified with rubber powder. Compared to untreated asphalt, the optimized conditions result in a significant reduction in the crosslinking density of 50% and a substantial decrease in viscosity at 180 °C. This study provides new insights into the viscosity reduction of high-rubber-content asphalt modified with rubber powder and contributes to a deeper understanding of the mechanisms of viscosity reducers. Full article
(This article belongs to the Special Issue Development of Sustainable Asphalt Materials)
Show Figures

Figure 1

Back to TopTop