Sign in to use this feature.

Years

Between: -

Subjects

remove_circle_outline
remove_circle_outline
remove_circle_outline
remove_circle_outline
remove_circle_outline
remove_circle_outline
remove_circle_outline
remove_circle_outline
remove_circle_outline

Journals

Article Types

Countries / Regions

Search Results (72)

Search Parameters:
Keywords = higher-order harmonic fields

Order results
Result details
Results per page
Select all
Export citation of selected articles as:
37 pages, 2965 KB  
Article
Fourier-Encoded Plücker Line Fields for Globally Bounded Inverse Velocity Mapping of Axisymmetric Parallel Mechanisms
by Yinghao Yuan and Jiang Liu
Machines 2026, 14(4), 370; https://doi.org/10.3390/machines14040370 - 27 Mar 2026
Viewed by 99
Abstract
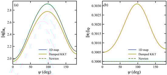
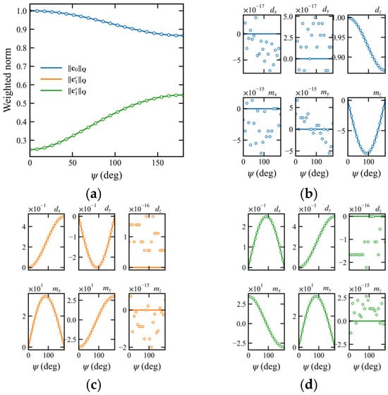
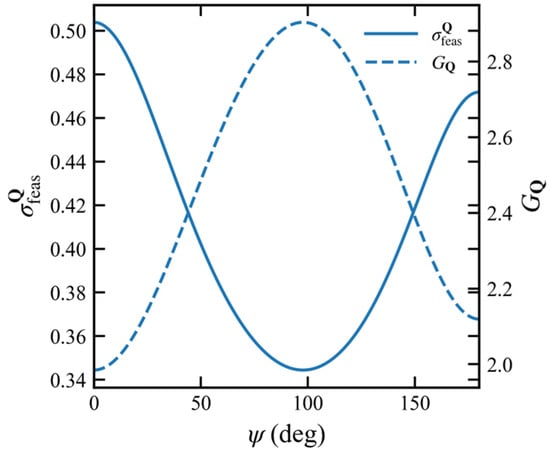
To address inverse-velocity amplification and numerical instability of axisymmetric parallel mechanisms near dead-point regions, this paper proposes a low-dimensional feature representation and stable inverse-solving framework based on Fourier-encoded Plücker line fields. The limb axes are first represented by normalized Plücker line vectors, and [...] Read more.
To address inverse-velocity amplification and numerical instability of axisymmetric parallel mechanisms near dead-point regions, this paper proposes a low-dimensional feature representation and stable inverse-solving framework based on Fourier-encoded Plücker line fields. The limb axes are first represented by normalized Plücker line vectors, and the discrete rod-axis set is lifted to a circumferential continuous line field. A compact feature vector composed of first-order Fourier coefficients is then constructed, from which the continuous feature coefficients and the corresponding feature Jacobian are derived in closed form. Under constant-length constraints, feasible sensitivity and worst-case gain are introduced to characterize local inverse amplification, and a weighted damped KKT inverse solver is formulated to obtain globally bounded inverse solutions for feature velocities. Numerical results show that, in the ideal axisymmetric model, higher-order harmonics remain at numerical-residual levels and the first-order truncation stays dominant, while the most unfavorable amplification location is governed by the trough of feasible sensitivity. For fully reachable targets, the proposed solver reduces the peak generalized velocity by about 4.32%. For targets containing unreachable components, the damped KKT inverse introduces only a small additional residual while keeping the velocity bounded. Additional tests under mild geometric perturbations show that non-ideal errors mainly affect low-order fitting accuracy and higher-order spectral leakage, whereas the peak worst-case gain and the peak-shaving ratio remain largely stable. These results demonstrate that the proposed framework provides a unified description for inverse velocity mapping of axisymmetric parallel mechanisms with analytical interpretability, global boundedness, and robustness under mild geometric imperfections. Full article
(This article belongs to the Special Issue Mechanical Design of Parallel Manipulators)
Show Figures

Figure 1

32 pages, 8198 KB  
Article
Study of Jeffrey Fluid Motion Through Irregular Porous Circular Microchannel Under the Implications of Electromagnetohydrodynamic and Surface Charge-Dependent Slip
by Serdi Dio Ranandrasana, Lijun Zhang, Muhammad Mubashir Bhatti and Marin Marin
Mathematics 2026, 14(4), 722; https://doi.org/10.3390/math14040722 - 19 Feb 2026
Viewed by 287
Abstract
This work analyzes the non-Newtonian electromagnetohydrodynamic (EMHD) flow in an irregular circular porous microchannel while incorporating the consequences of surface charge-dependent slip boundary conditions. The Jeffrey fluid is employed to examine the non-Newtonian behavior, such as elasticity. The boundary walls of the channel [...] Read more.
This work analyzes the non-Newtonian electromagnetohydrodynamic (EMHD) flow in an irregular circular porous microchannel while incorporating the consequences of surface charge-dependent slip boundary conditions. The Jeffrey fluid is employed to examine the non-Newtonian behavior, such as elasticity. The boundary walls of the channel are considered in the form of periodic sinusoidal wave function. The mathematical formulation is developed using the momentum equation, modified Darcy’s law, the continuity equation, and Ohm’s law. The perturbation method is used to derive the solutions up to second-order approximation. The analytical expression for the velocity field and volumetric flow rate are explicitly presented. At the zeroth-order, a nonhomogeneous partial differential equation is solved, and the solutions are presented in terms of Bessel functions. The first-order problem defined by a homogeneous partial differential equation is solved using the method of separation of variables. At the second-order, a homogeneous partial differential equation is obtained, and the solution form is prescribed by the boundary conditions, consisting of a radially varying mean component and a second-harmonic angular contribution. Two- and three-dimensional plots are used to analyze and discuss the impacts of key parameters, namely the Reynolds, Darcy, and Hartmann numbers, channel corrugation amplitude and wave number, surface charge density, and the relaxation and retardation times on the velocity field and flow rate. It is found that elastic memory causes a proportional growth between the flow rate and the relaxation time, emphasizing the consequences of surface charge application in conjunction with corrugations. Conversely, maintaining a short retardation time mitigates changes in wave amplitude and surface charge. While prolonging it lessens the flow rate and diminishes corrugations and surface charge effects. The Darcy number dampens the velocity and the flow rate, while its enhancement reduces the impact of surface charge density and corrugations amplitude. For high Reynolds number, a ring phenomenon emerges which is attenuated by increased Darcy number, preventing the formation of trapped boluses close to the border. Ignoring surface charge amplifies the flow rate while its consideration diminishes the latter with reinforced impacts of surface charge and wall corrugations at higher Reynolds number. Full article
(This article belongs to the Special Issue Research on Applied Partial Differential Equations)
Show Figures

Figure 1

25 pages, 5570 KB  
Article
Influence of Multi-Source Electromagnetic Coupling on NVH in Automotive PMSMs
by Tingwei Du, Jinbo Wang, Weihai Zhang and Wei Liao
Electronics 2025, 14(23), 4652; https://doi.org/10.3390/electronics14234652 - 26 Nov 2025
Viewed by 599
Abstract
Persistent discrepancies remain in the perceived far-field noise of automotive permanent-magnet synchronous motors (PMSMs) and the predictions of conventional NVH simulations. To bridge this gap, a Tri-source Electromagnetic Coupling NVH Integrated Framework (Tri-ECNVH) is developed, in which air-gap electromagnetic force harmonics, torque ripple, [...] Read more.
Persistent discrepancies remain in the perceived far-field noise of automotive permanent-magnet synchronous motors (PMSMs) and the predictions of conventional NVH simulations. To bridge this gap, a Tri-source Electromagnetic Coupling NVH Integrated Framework (Tri-ECNVH) is developed, in which air-gap electromagnetic force harmonics, torque ripple, and cogging torque are treated as a coupled excitation system rather than as independent sources. Traditional workflows usually superpose their responses in the power domain, which tends to underestimate the radiating contribution of torque-related excitations and neglect their phase and order coupling with radial electromagnetic forces. In the proposed Tri-ECNVH framework, the three sources are mapped into the order domain, aligned by spatial order, and applied to the stator with phase consistency, so that inter-source coupling and cross terms are explicitly retained along a unified electromagnetic–structural–acoustic chain. Acoustic radiation is evaluated by prescribing the normal velocity on the stator outer surface as a Neumann boundary condition and computing the far-field A-weighted sound pressure level (SPL) using a boundary element method (BEM) model. Numerical results reveal pronounced cooperative amplification of the three sources at critical orders and within perceptually sensitive frequency bands; relative to independent-source modeling with power-domain summation, Tri-ECNVH predicts peak levels that are typically 5–10 dB higher and reproduces the spectral envelope and peak–valley evolution more faithfully. The framework therefore offers a practical, radiation-oriented basis for multi-source noise mitigation in traction PMSMs and helps narrow the gap between simulation and perceived sound quality in automotive applications. Full article
Show Figures

Figure 1

16 pages, 2114 KB  
Article
The Design Optimization of a Harmonic-Excited Synchronous Machine Operating in the Field-Weakening Region
by Vladimir Prakht, Vladimir Dmitrievskii, Vadim Kazakbaev, Eduard Valeev and Victor Goman
World Electr. Veh. J. 2025, 16(11), 599; https://doi.org/10.3390/wevj16110599 - 29 Oct 2025
Viewed by 700
Abstract
In this paper, the optimization of a harmonic-excited synchronous machine (HESM) is carried out. A two-phase harmonic exciter winding of the HESM provides brushless excitation and sufficient starting torque at any rotor position. The HESM under consideration is intended to be used for [...] Read more.
In this paper, the optimization of a harmonic-excited synchronous machine (HESM) is carried out. A two-phase harmonic exciter winding of the HESM provides brushless excitation and sufficient starting torque at any rotor position. The HESM under consideration is intended to be used for applications requiring speed control, especially in the field-weakening region. The novelty of the proposed approach is that a two-level optimization based on a two-stage model is used to reduce the computational burden. It includes a finite-element model that takes into account only the fundamental current harmonic (basic model). Using the output of the basic model, a reduced-order model (ROM) is parametrized. The ROM considers pulse-width-modulated components of the inverter output current, zero-sequence current injected into the stator winding, and harmonic excitation winding currents. A two-level optimization technique is developed based on the Nelder–Mead method, taking into account the significantly different computational complexity of the basic and reduced-order models. Optimization is performed considering two operating points: base and maximum speed. The results show that an optimized design provides significantly higher efficiency and reduced inverter power requirements. This allows the use of more compact and cheaper power switches. Therefore, the advantage of the presented approach lies in the computationally effective optimization of HESMs (optimization time is reduced by approximately three orders of magnitude compared to calculations using FEA alone), which enhances HESMs’ performance in various applications. Full article
Show Figures

Figure 1

24 pages, 4973 KB  
Article
An Enhanced Method for Optical Imaging Computation of Space Objects Integrating an Improved Phong Model and Higher-Order Spherical Harmonics
by Qinyu Zhu, Can Xu, Yasheng Zhang, Yao Lu, Xia Wang and Peng Li
Remote Sens. 2025, 17(21), 3543; https://doi.org/10.3390/rs17213543 - 26 Oct 2025
Viewed by 827
Abstract
Space-based optical imaging detection serves as a crucial means for acquiring characteristic information of space objects, with the quality and resolution of images directly influencing the accuracy of subsequent missions. Addressing the scarcity of datasets in space-based optical imaging, this study introduces a [...] Read more.
Space-based optical imaging detection serves as a crucial means for acquiring characteristic information of space objects, with the quality and resolution of images directly influencing the accuracy of subsequent missions. Addressing the scarcity of datasets in space-based optical imaging, this study introduces a method that combines an improved Phong model and higher-order spherical harmonics (HOSH) for the optical imaging computation of space objects. Utilizing HOSH to fit the light field distribution, this approach comprehensively considers direct sunlight, earthshine, reflected light from other extremely distant celestial bodies, and multiple scattering from object surfaces. Through spectral reflectance experiments, an improved Phong model is developed to calculate the optical scattering characteristics of space objects and to retrieve common material properties such as metallicity, roughness, index of refraction (IOR), and Alpha for four types of satellite surfaces. Additionally, this study designs two sampling methods: a random sampling based on the spherical Fibonacci function (RSSF) and a sequential frame sampling based on predefined trajectories (SSPT). Through numerical analysis of the geometric and radiative rendering pipeline, this method simulates multiple scenarios under both high-resolution and wide-field-of-view operational modes across a range of relative distances. Simulation results validate the effectiveness of the proposed approach, with average rendering speeds of 2.86 s per frame and 1.67 s per frame for the two methods, respectively, demonstrating the capability for real-time rapid imaging while maintaining low computational resource consumption. The data simulation process spans six distinct relative distance intervals, ensuring that multi-scale images retain substantial textural features and are accompanied by attitude labels, thereby providing robust support for algorithms aimed at space object attitude estimation, and 3D reconstruction. Full article
Show Figures

Figure 1

16 pages, 17204 KB  
Article
Enhanced High-Order Harmonic Generation from Ethylbenzene in Circularly Polarized Laser Fields
by Shushan Zhou, Nan Xu, Hao Wang, Yue Qiao, Yujun Yang and Muhong Hu
Symmetry 2025, 17(9), 1433; https://doi.org/10.3390/sym17091433 - 2 Sep 2025
Viewed by 842
Abstract
We theoretically investigate high-order harmonic generation from ethylbenzene (C8H10), toluene (C7H8), and benzene (C6H6) molecules driven by a circularly polarized laser field using time-dependent density functional theory. By comparing the harmonic [...] Read more.
We theoretically investigate high-order harmonic generation from ethylbenzene (C8H10), toluene (C7H8), and benzene (C6H6) molecules driven by a circularly polarized laser field using time-dependent density functional theory. By comparing the harmonic spectra of these structurally related molecules, we find that ethylbenzene, which features a larger molecular size due to the ethyl group, exhibits a higher harmonic cutoff and stronger harmonic intensity than toluene and benzene. Time-resolved electron density distributions, together with the probability current density analysis, indicate that under long-wavelength conditions (e.g., 1200 nm), the ethyl group in ethylbenzene and the methyl group in toluene significantly enhance the probability of ionized electrons from neighboring nuclei colliding with nearby nuclei, thereby leading to stronger harmonic emission, with ethylbenzene > toluene > benzene. In contrast, under short-wavelength conditions (e.g., 200 nm), the harmonic intensities of the three molecules show little difference, and the effects of the ethyl and methyl groups on the harmonic yield can be neglected. The influence of laser intensity and wavelength on high-order harmonic generation is further analyzed, confirming the robustness of the structural enhancement effect. Additionally, we study the harmonic ellipticity of ethylbenzene under different carrier-envelope phases, and find that while circularly polarized harmonics can be obtained, their spectral continuity is insufficient for synthesizing isolated circularly polarized attosecond pulses. This limitation is attributed to the broken ring symmetry caused by the ethyl substitution. Our findings offer insight into the relationship between molecular structure and harmonic response in strong-field physics, and provide a pathway for designing efficient circularly polarized attosecond pulse sources. Full article
(This article belongs to the Section Physics)
Show Figures

Figure 1

22 pages, 10293 KB  
Article
Inter-Turn Short Circuits in Stator Winding of Permanent Magnet Synchronous Generator Dedicated for Small Hydroelectric Power Plants
by Adam Gozdowiak and Maciej Antal
Energies 2025, 18(14), 3799; https://doi.org/10.3390/en18143799 - 17 Jul 2025
Cited by 1 | Viewed by 1047
Abstract
This article presents the simulation results of inter-turn short circuits in the stator winding of a permanent magnet synchronous generator (PMSG) dedicated for small hydroelectric power plants. During the calculations, a field–circuit model is used via ANSYS software. The simulations were performed for [...] Read more.
This article presents the simulation results of inter-turn short circuits in the stator winding of a permanent magnet synchronous generator (PMSG) dedicated for small hydroelectric power plants. During the calculations, a field–circuit model is used via ANSYS software. The simulations were performed for both a fault-free generator and faulty generator with various degrees of short-circuited turns under various operating conditions. The degree of stator winding damage is modeled by changing the number of shorted turns in one phase. The studied generator has a two-layer stator winding made of winding wire. In addition, it is made of three parallel branches. In this way, a more difficult-to-detect condition is simulated. We analyzed the influences of short-circuit fault on the magnetic field and their impact on generator behavior. The analysis of the obtained results indicates the possibility of using the measurement of the stator current histogram, higher-order harmonics of the stator current, back electromotive force (back EMF), phase current growth, and power factor fluctuations for early detection of an inter-turn short circuit. Full article
(This article belongs to the Section F: Electrical Engineering)
Show Figures

Figure 1

39 pages, 7445 KB  
Article
Investigation of the Influence of Filter Approximation on the Performance of Reactive Power Compensators in Railway Traction Drive Systems
by Rolandas Makaras, Sergey Goolak and Vaidas Lukoševičius
Appl. Sci. 2025, 15(13), 7057; https://doi.org/10.3390/app15137057 - 23 Jun 2025
Cited by 1 | Viewed by 729
Abstract
In reactive power compensators applied in drives with asynchronous motors, a control strategy focusing on the compensation of higher-order current harmonics is implemented. Control schemes of such compensators typically employ low-pass Butterworth filters with fixed cut-off frequencies to isolate the reactive power component. [...] Read more.
In reactive power compensators applied in drives with asynchronous motors, a control strategy focusing on the compensation of higher-order current harmonics is implemented. Control schemes of such compensators typically employ low-pass Butterworth filters with fixed cut-off frequencies to isolate the reactive power component. However, the impact of alternative filter types on compensator performance remains insufficiently explored. Furthermore, in the control systems under consideration, stator phase current signals of the asynchronous motor are used as reference inputs. This approach proves effective under the steady-state operating conditions of the drive. Under non-steady-state operating conditions—typical for traction drive systems—this approach becomes ineffective due to the increased complexity in obtaining accurate reference current signals. As a result, the performance of the filters also deteriorates. It is therefore proposed to investigate the impact of alternative filter types on the efficiency of compensator operation. To address this challenge, the following strategies are suggested: implement higher-order harmonic compensation in the system of stator phase supply voltages of the asynchronous motor; use the control signals from the Field-Oriented Control (FOC) algorithm as reference inputs; and adapt the cut-off frequencies of the filters dynamically to match the frequency of the supply voltage. The simulation results indicate that the use of an elliptic filter in compensator control systems yielded the highest effectiveness. Moreover, the results confirmed the efficiency of the proposed solutions under both steady-state and non-steady-state operating conditions of the traction drive. These approaches support the development of reactive power compensators integrated into traction drive systems for railway rolling stock. Full article
(This article belongs to the Special Issue Analysis, Modelling and Simulation in Electrical Power Systems)
Show Figures

Figure 1

13 pages, 452 KB  
Article
Enhanced mm-Wave Frequency Up-Conversion via a Time-Varying Graphene Aperture on a Cavity Resonator
by Stamatios Amanatiadis, Theodosios Karamanos, Fabrice Lemoult and Nikolaos V. Kantartzis
Micromachines 2025, 16(6), 679; https://doi.org/10.3390/mi16060679 - 4 Jun 2025
Cited by 1 | Viewed by 956
Abstract
The transition to 5G and beyond has highlighted the need for efficient devices that operate at mm-wave frequencies, which require new structures and pose fabrication challenges. This paper proposes a novel non-linear antenna that combines the well-established substrate-integrated cavity (SIC) radiators and time-varying [...] Read more.
The transition to 5G and beyond has highlighted the need for efficient devices that operate at mm-wave frequencies, which require new structures and pose fabrication challenges. This paper proposes a novel non-linear antenna that combines the well-established substrate-integrated cavity (SIC) radiators and time-varying graphene for generating harmonic frequencies in the mm-wave spectrum. Graphene is represented as having a dispersive surface conductivity, while time modulation of the conductivity is introduced by varying the applied bias electric field. A modified FDTD algorithm is, additionally, used to simulate the time-varying graphene behaviour under different modulation schemes. The final antenna design involves an SIC resonator with a graphene-covered slot aperture for radiation. The numerical study highlights the effective generation of harmonics using the modulated graphene at the mm-wave regime. Finally, different modulation schemes are applied to enhance certain higher-order harmonics, demonstrating the potential of this non-linear antenna design for future mm-wave and THz frequency applications. Full article
Show Figures

Figure 1

15 pages, 6529 KB  
Article
Enhancing High-Order Harmonic Generation Efficiency Through Molecular Size and Orientation Effects: A Pathway to Ultrafast Chemical Dynamics Studies
by Shushan Zhou, Hao Wang, Dongming Yu, Nan Xu and Muhong Hu
Molecules 2025, 30(10), 2133; https://doi.org/10.3390/molecules30102133 - 12 May 2025
Cited by 3 | Viewed by 1537
Abstract
High-order harmonic generation provides a powerful tool for probing ultrafast chemical dynamics, such as electron transfer, bond breaking, and molecular structural changes, with attosecond temporal resolution. The strong laser fields used in HHG can also directly influence chemical reaction pathways and rates, enabling [...] Read more.
High-order harmonic generation provides a powerful tool for probing ultrafast chemical dynamics, such as electron transfer, bond breaking, and molecular structural changes, with attosecond temporal resolution. The strong laser fields used in HHG can also directly influence chemical reaction pathways and rates, enabling coherent control of reaction selectivity. However, enhancing the efficiency of harmonic emission remains a critical challenge in ultrafast science. In this study, we investigate the effects of molecular size and orientation on HHG efficiency using time-dependent density functional theory simulations. By analyzing the linear molecules C18H2, C2H2, and C10H2 under linearly polarized laser fields, we demonstrate that larger molecular sizes significantly enhance harmonic emission intensity. Our results reveal that C18H2, with its larger spatial dimensions, exhibits substantially higher harmonic intensity compared to smaller molecules like C2H2. This enhancement is further supported by examining charge redistribution and bond length changes during the HHG process. Additionally, we validate our findings with C10H2, a molecule of intermediate size, confirming the correlation between molecular size and harmonic efficiency. Full article
Show Figures

Graphical abstract

10 pages, 7380 KB  
Communication
Far-Field Topological Structure of the Second Harmonic from Higher-Order Poincaré Sphere Beam
by Yangyang Li, Ziping Zhu, Yuanxiang Wang, Jiantai Dou, Li Fan, Bo Li and Youyou Hu
Photonics 2025, 12(5), 407; https://doi.org/10.3390/photonics12050407 - 24 Apr 2025
Cited by 2 | Viewed by 959
Abstract
In this paper, the far-field topological structures (FFTSs) of the second harmonic (SH) from higher-order Poincaré sphere (HOPS) beams, including circularly polarized vortex beams (VBs), cylindrically vector beams (CVBs) and elliptically polarized CVBs (EPCVBs), were demonstrated and reported. To begin with, the hidden [...] Read more.
In this paper, the far-field topological structures (FFTSs) of the second harmonic (SH) from higher-order Poincaré sphere (HOPS) beams, including circularly polarized vortex beams (VBs), cylindrically vector beams (CVBs) and elliptically polarized CVBs (EPCVBs), were demonstrated and reported. To begin with, the hidden FFTSs of the SH after propagating the twice Rayleigh range were simulated based on the vectorial coupled wave equations and the Collins formula. Then, the experimental setup was established to achieve the SH from the HOPS by applying two orthogonal 5% MgO: PPLN crystals, the FFTSs of which were demonstrated. The theoretical and experimental results indicate that for the circularly polarized VBs, the FFTSs of the SH still exhibit the 135°-linearly polarized VBs, which is similar to that of the SH in-source plane, because the SH is the eigen-mode of free space, while for the CVBs, the FFTSs of the SH generally show the disappearance of the central dark core, replaced by the maximum light intensity at the center due to the topological phase transition during propagation. Especially of note, for the EPCVBs, the FFTSs of the SH display the maximum light intensity at the center, but the FFTSs in the horizontal and vertical directions reveal rotational symmetry related to the chirality of the EPCVBs. The results reveal the evolution mechanisms of the SH from the HOPS in the far field, which may facilitate the applications of the SH from HOPS beam. Full article
(This article belongs to the Special Issue Fundamentals and Applications of Vortex Beams)
Show Figures

Figure 1

13 pages, 1284 KB  
Article
Dipolar Copper(I) Complexes: A Novel Appealing Class of Highly Active Second-Order NLO-Phores
by Alessia Colombo, Claudia Dragonetti, Francesco Fagnani, Dominique Roberto and Simona Fantacci
Molecules 2025, 30(5), 1009; https://doi.org/10.3390/molecules30051009 - 21 Feb 2025
Cited by 5 | Viewed by 1168
Abstract
The second-order nonlinear optical (NLO) properties of the known heteroleptic complex [Cu(1,10-phenanthroline)xantphos][PF6] (complex 1) and the related new complexes [Cu(5-NO2-1,10-phenanthroline)xantphos][PF6] and [Cu(5-NO2-1,10-phenanthroline)(dppe)][PF6] (dppe = 1,2-bis(diphenylphosphino)ethane) (complexes 2 and 3) were investigated [...] Read more.
The second-order nonlinear optical (NLO) properties of the known heteroleptic complex [Cu(1,10-phenanthroline)xantphos][PF6] (complex 1) and the related new complexes [Cu(5-NO2-1,10-phenanthroline)xantphos][PF6] and [Cu(5-NO2-1,10-phenanthroline)(dppe)][PF6] (dppe = 1,2-bis(diphenylphosphino)ethane) (complexes 2 and 3) were investigated in solution by the EFISH (Electric Field-Induced Second Harmonic generation) technique, working at a non-resonant wavelength of 1907 nm. It turned out that they are characterized by large μβ values (957–1100 × 10−48 esu), much higher than that of the Disperse Red One benchmark. Unexpectedly, the homoleptic complex [Cu(2-mesityl-1,10-phenanthroline)2][PF6] (complex 4) shows a similar high second-order NLO response. Quantum chemical calculations based on Density Functional Theory (DFT) methods have been carried out to give insight into the electronic structure of the investigated complexes in relation to NLO properties. This investigation, which represents the first EFISH study on copper(I) complexes, opens a convenient route for the development of low-cost dipolar NLO-active heteroleptic [Cu(P^P)(N^N)][PF6] and homoleptic [Cu(N^N)2][PF6] complexes. Full article
(This article belongs to the Special Issue Exclusive Feature Papers in Inorganic Chemistry, 2nd Edition)
Show Figures

Graphical abstract

11 pages, 4700 KB  
Article
Optimized Design and Experimental Study of an Axis-Encircling Beam with Gently Varying Cusp Magnetic Field
by Chaojun Lei, E’Feng Wang, Qixiang Zhao, Shaoliang Shi, Dongshuo Gao, Shufeng Li, Yichi Zhang and Jinjun Feng
Electronics 2025, 14(2), 390; https://doi.org/10.3390/electronics14020390 - 20 Jan 2025
Cited by 1 | Viewed by 994
Abstract
Mode competition is a significant barrier to advancing gyrotrons towards high frequency, high power, and high efficiency. An axis-encircling beam enables gyrotrons to achieve high interaction efficiency while maintaining stable operation at higher-order harmonics. However, generating a high-quality axis-encircling beam requires an ideal [...] Read more.
Mode competition is a significant barrier to advancing gyrotrons towards high frequency, high power, and high efficiency. An axis-encircling beam enables gyrotrons to achieve high interaction efficiency while maintaining stable operation at higher-order harmonics. However, generating a high-quality axis-encircling beam requires an ideal cusp magnetic field, which is challenging to achieve experimentally. This paper discusses the optimization design of an axis-encircling beam with a gently varying cusp magnetic field. A non-ideal cusp magnetic field is designed using the existing magnetic field and power supply in the laboratory. Under this magnetic field, a large-orbit electronic optical system with 20 kV, 0.5 A, an axis-encircling radius of 3.3 mm at a guiding magnetic field of 0.122 T, and a velocity spread (both transverse and longitudinal) of less than 1.2% was obtained and tested. Full article
(This article belongs to the Section Power Electronics)
Show Figures

Figure 1

16 pages, 27934 KB  
Article
The Study on the Propagation of a Driving Laser Through Gas Target Using a Neural Network: Interaction of Intense Laser with Atoms
by Xinyu Wang, Yuanyuan Qiu, Yue Qiao, Fuming Guo, Jun Wang, Gao Chen, Jigen Chen and Yujun Yang
Symmetry 2024, 16(12), 1670; https://doi.org/10.3390/sym16121670 - 17 Dec 2024
Viewed by 1396
Abstract
High-order harmonic generation is one of the ways to generate attosecond ultra-short pulses. In order to accurately simulate the high-order harmonic emission, it is necessary to perform fast and accurate calculations on the interaction between the atoms and strong laser fields. The accurate [...] Read more.
High-order harmonic generation is one of the ways to generate attosecond ultra-short pulses. In order to accurately simulate the high-order harmonic emission, it is necessary to perform fast and accurate calculations on the interaction between the atoms and strong laser fields. The accurate profile of the laser field is obtained from the propagation through the gas target. Under the conditions of longer wavelength driving lasers and higher gas densities, the calculation of the laser field becomes more challenging. In this paper, we utilize the driving laser electric field information obtained from numerically solving the three-dimensional Maxwell’s equations as data for machine learning, enabling the prediction of the propagation process of intense laser fields using an artificial neural network. It is found that the simulation based on frequency domain can improve the accuracy of electric field by two orders of magnitude compared with the simulation directly from time domain. On this basis, the feasibility of the transfer learning scheme for laser field prediction is further studied. This study lays a foundation for the rapid and accurate simulation of the interaction between intense laser and matter by using an artificial neural network scheme. Full article
(This article belongs to the Section Physics)
Show Figures

Figure 1

17 pages, 8568 KB  
Article
Influence of Winding Configurations and Stator/Rotor Pole Combinations on Field Back-EMF Ripple in Switched Flux Hybrid Excited Machines
by Zhiyu Yang, Xiaoyong Sun, Ruizhao Han, Ruyu Shang, Zhen Chen and Xiangdong Liu
Energies 2024, 17(23), 5906; https://doi.org/10.3390/en17235906 - 25 Nov 2024
Viewed by 1335
Abstract
Similar to armature back electromotive force (armature back-EMF), the back-EMF also exists in the field winding of hybrid excited machines. However, the existence of field back electromotive force (field back-EMF) is harmful to the safe and stable operation of machine systems, e.g., higher [...] Read more.
Similar to armature back electromotive force (armature back-EMF), the back-EMF also exists in the field winding of hybrid excited machines. However, the existence of field back electromotive force (field back-EMF) is harmful to the safe and stable operation of machine systems, e.g., higher losses, lower efficiency, higher torque ripple, and reduced control performance. This paper systematically investigates the influence of armature/field winding configurations together with stator/rotor pole combinations on the field back-EMF ripple in hybrid excited machines with switched-flux stators. The two-dimensional (2D) time-stepping finite element modeling and prototyping experiments are used for the research. The investigated field and armature coil pitches equal to 1, i.e., non-overlapped windings. The influential factors that are investigated in this paper mainly include the number of layers of field/armature windings, the number of field/armature coils, and the stator/rotor pole combinations. The results show that the field back-EMF’s harmonic order and peak-to-peak value are closely associated with field/armature winding configurations and stator/rotor pole combinations under various conditions. Finally, for validation of the results predicted by the finite element method, a prototype machine is built and tested. Overall, non-overlapped double-layer armature and field windings are recommended for the hybrid excited switched flux machines with various stator/rotor pole combinations to realize relatively lower field back-EMF under different conditions. Full article
Show Figures

Figure 1

Back to TopTop