Next Article in Journal
Towards Sustainable EV Infrastructure: Site Selection and Capacity Planning with Charger Type Differentiation and Queuing-Theoretic Modeling
Previous Article in Journal
Experimental Study on Low-Temperature Thermal Management of Lithium Battery with Pulsating Heat Pipe
Previous Article in Special Issue
Torque Smoothness for a Modified W-Type Inverter-Fed Three-Phase Induction Motor with Finite Set Model Predictive Control for Electric Vehicles
 
 
Font Type:
Arial Georgia Verdana
Font Size:
Aa Aa Aa
Line Spacing:
Column Width:
Background:
Article

The Design Optimization of a Harmonic-Excited Synchronous Machine Operating in the Field-Weakening Region

1
Department of Electrical Engineering, Ural Federal University, 620002 Yekaterinburg, Russia
2
Department of Electrical Engineering, Khalifa University of Science and Technology, Abu Dhabi P.O. Box 127788, United Arab Emirates
3
Nizhniy Tagil Technological Institute, Ural Federal University, 622000 Nizhniy Tagil, Russia
*
Author to whom correspondence should be addressed.
World Electr. Veh. J. 2025, 16(11), 599; https://doi.org/10.3390/wevj16110599
Submission received: 21 September 2025 / Revised: 26 October 2025 / Accepted: 27 October 2025 / Published: 29 October 2025

Abstract

In this paper, the optimization of a harmonic-excited synchronous machine (HESM) is carried out. A two-phase harmonic exciter winding of the HESM provides brushless excitation and sufficient starting torque at any rotor position. The HESM under consideration is intended to be used for applications requiring speed control, especially in the field-weakening region. The novelty of the proposed approach is that a two-level optimization based on a two-stage model is used to reduce the computational burden. It includes a finite-element model that takes into account only the fundamental current harmonic (basic model). Using the output of the basic model, a reduced-order model (ROM) is parametrized. The ROM considers pulse-width-modulated components of the inverter output current, zero-sequence current injected into the stator winding, and harmonic excitation winding currents. A two-level optimization technique is developed based on the Nelder–Mead method, taking into account the significantly different computational complexity of the basic and reduced-order models. Optimization is performed considering two operating points: base and maximum speed. The results show that an optimized design provides significantly higher efficiency and reduced inverter power requirements. This allows the use of more compact and cheaper power switches. Therefore, the advantage of the presented approach lies in the computationally effective optimization of HESMs (optimization time is reduced by approximately three orders of magnitude compared to calculations using FEA alone), which enhances HESMs’ performance in various applications.

1. Introduction

Permanent magnet synchronous machines (PMSMs), mainly with rare-earth magnets, demonstrate a wide adoption in traction applications. Non-arguable advantages of PMSMs include high torque density and brushless rotor design [1,2]. However, the high price of rare-earth magnets is an obvious disadvantage. Uncontrollable magnetic flux of permanent magnets causes a complexity of speed control, especially in applications demanding a wide constant power speed range (CPSR) [3,4]. Another drawback is uncontrolled back-EMF, which can exceed the inverter’s rated voltage under certain conditions and lead to a failure.
Some electric vehicle and train manufacturers employ traction wound-rotor synchronous motors (WRSMs) [5,6,7], which do not require permanent magnets at all. Additionally, WRSMs have a generic ability to control the rotor magnetic flux.
WRSMs, being electrically excited machines, feature powering of the rotor (field) winding. A traditional solution used in wound-rotor motors and generators is a sliding contact consisting of a slip ring and a brush [8,9]. However, the sliding brush contact is subject to wear, requires periodic maintenance, increases the length of the machine and the mechanical complexity of the rotor and housing, and potentially reduces reliability [9,10,11]. Another disadvantage of brush contact is the formation of conductive abrasive particles, the contact of which with the internal parts of the electric machine, power electronics, and other sensitive transmission elements must be somehow excluded [12].
Numerous studies present WRSMs with brushless exciters based on inductive (rotating transformers) or capacitive wireless power transfer [9,12,13]. The presence of an additional component in the machine also demands space to accommodate it.
Since both slip rings and brushless exciters impose some disadvantages, harmonic-excited WRSMs (HESMs) are introduced in many sources, such as in [9,14,15]. In this case, the rotor incorporates an additional harmonic winding excited by higher or sub-harmonics of the magnetic field created by the stator winding. The rectified output voltage of the harmonic excitation winding supplies the field winding.
HESMs are known to be used in generator applications. Moreover, HESM designs and their excitation techniques are also proposed for use in traction applications [16,17].
However, HESM optimization has not been fully addressed in the existing literature. Thus, a “manual” parameter adjustment is performed for an HESM-generator in [18]. That study considers an HESM design with a single-phase harmonic winding energized using the third harmonic of the stator current, which is created using an open stator winding with a dual three-phase inverter. Several design options with different stator slot numbers and harmonic winding pitches are evaluated in order to find a configuration allowing for the highest excitation current.
Optimization of the rotor slot shape is performed in [19] for an HESM with zero-sequence excitation using the Kriging method and a genetic algorithm based on an FEM model. The purpose is to enhance the starting torque, reluctance torque, and average torque for a single operating point. PWM effects are not taken into account. The geometrical parameters of the slot for the harmonic winding are varied. As a result, the width of the slot is extended, achieving higher values of average torque and starting reluctance torque, and the torque ripple is reduced.
The rotor pole shape is optimized in [20] for an HESM-generator excited by magnetomotive force (MMF) sub-harmonics. The Kriging method and a genetic algorithm based on the FEM model are employed. The optimization goals include average torque maximization and torque ripple minimization for a single operating point. Pole shoe height and angular pole span are varied. Torque ripple is reduced by more than four times, accompanied by average torque and efficiency reduction.
To conclude, observed studies do not reveal HESM optimization techniques applicable for multiple operating points, such as the starting point, base speed, and field-weakening region. In particular, the aforementioned approaches rely on computationally complex time-dependent finite-element analysis (FEA).
It should be mentioned that the processing time for one iteration using time-dependent FEA takes dozens of hours until the steady state is reached. This is caused by the small time step required to account for PWM effects. Studies [18,19,20] employ manual parameter sweeping or genetic algorithms (GA). The number of design variants and total computational time are not mentioned in [19,20]; however, it can be suggested that the optimization performed in these studies, with limited objectives, a single operating point, and a small number of varied parameters, requires significant computational resources.
This study presents the novel optimization approach of a specific HESM design with two-phase harmonic winding, presented in [17,21]. The proposed HESM design ensures an efficient inductive coupling between the stator winding and harmonic exciter winding at any rotor position. It increases the effectiveness of excitation and provides starting torque at any rotor position.
The novelty of this study lies in the optimization technique based on a two-stage simulation procedure briefly presented in [22]. In this study, the proposed approach is presented in more detail, using a specific example of HESM optimization: a basic model in the first stage includes an FEM model, which considers only the fundamental current component. A reduced-order model (ROM) is employed in the second stage. It is parametrized based on the results of the basic model. ROM takes into account PWM-produced components of the inverter output current, zero-sequence current injected into the stator winding, and harmonic winding phase currents. The proposed optimization technique takes into consideration the significantly different computational complexity of both models and uses the computationally efficient Nelder–Mead method. This allows for essential acceleration of the HESM optimization process.
The optimization technique reflects various load condition requirements, including those in the field-weakening region. The proposed approach enables HESM optimization considering PWM influence in various duty cycles.

2. HESM Design Features

This article deals with the HESM design shown in Figure 1 and described in detail in research article [17] and patent application [21]. The three-phase machine has 4 rotor poles and 36 stator slots (q = 3). Figure 2 shows the stator and rotor circuits. Stator phases are marked as A, B, and C. The stator winding is star-connected and fed from a conventional three-phase voltage inverter (depicted as VT1VT6 controlled switches). The zero-sequence pulse current is generated by the VD1 and VD2 diodes and the VT7 controlled switch. The zero-sequence current I0 passes through the controlled switch VT7 when it opens. When VT7 is closed, I0 continues to flow through diode VD1, gradually reducing to zero, caused by self-induction. An injected zero-sequence current results in the presence of the current in the harmonic winding. Rectified harmonic winding output supplies the field winding.
Also, Figure 1 shows the inner slots (flux barriers) on each rotor pole pitch. The presence of these slots is not absolutely required for the considered machine; however, it may increase the rotor saliency ratio and impose some desirable effects, as explained in [17].
Both the harmonic exciter winding (hereinafter referred to simply as the “harmonic winding”) and the field winding are located in the rotor, being connected through the diode bridge rectifier. The two-phase arrangement of the excitation windings ensures nearly constant inductive coupling between the stator winding and harmonic exciter winding, providing the effective power transfer required for the machine’s excitation at any rotor position. Table 1 shows the main design parameters of the HESM.

3. Optimization Parameters and Objective Function

3.1. HESM Model for Optimization

This section outlines the features of the mathematical model, incorporating PWM effects, used in the HESM optimization. The application in question requires a rated power of 1720 W and a CPSR of 3.5:1 (starting from 1200 rpm to a maximum speed of 4200 rpm). Table 2 presents two operational points considered in the optimization, which are the boundary points of the CPSR.
The calculation of the HESM characteristics for each operating point from Table 2 is completed in two stages [22].
Stage 1. The HESM characteristics are computed without considering PWM using the basic model, which is an FEM-based model assuming sinusoidal stator currents and constant current in the field winding. It corresponds to the solution of a series of boundary value problems of magnetostatics at various rotor positions (the so-called multi-static model). Also, it is assumed that there is no current in the harmonic winding. The injected zero-sequence current I0 is also neglected.
Basic-model parameter vector x consists of geometrical parameters, RMS values of the stator slot currents, phase angles of the stator slot currents, and the field winding sections’ currents.
Considering the symmetrical nature of the problem, the considered rotor positions lie within the range of 0–30 mechanical degrees. The total number of FE problems in this range is equal to 11. Linearized flux linkage dependencies on currents and rotor angular position are computed for all stator and rotor phases and normalized per one turn. Other quantities required for calculating losses [22] are also computed.
Stage 2. Then, the linearized dependencies found at the previous stage are used to compute HESM characteristics, taking into account PWM effects using a reduced-order model (ROM). The ROM is based on a system of ordinary differential equations. This model is explained in detail in [22]. The dependencies obtained in the previous stage can be easily recalculated for any number of turns. Losses in the transistors and diodes are not considered. Therefore, only the ratio of the numbers of turns of the harmonic and field windings, but not their absolute values, should be set. The reference number of field winding turns is assumed to be 100. It was assumed that the number of turns may take non-integer values. The turn numbers of the stator winding and of the field winding are positive. Negative values are allowed for the harmonic winding, which corresponds to reversing the connection direction of its phases, opposite to the initially chosen configuration.
The switching pulses of the power switches (gating signal) in the ROM-based simulation are formed as follows:
-
Proportional–integral (PI) controllers of stator magnetic flux dq-components are not simulated. Instead, the instantaneous phase fluxes ΦABC are assumed to be known (in a real system, they can be estimated, for example, using a flux observer). Since the currents in the windings are predetermined to simplify the calculations in the basic model, the dq-magnetic fluxes exhibit only minor oscillations around their mean values as the rotor rotates. It is assumed that the lookup table stores these mean flux values Φdq. Assuming constant rotor speed, the rotor position for the next PWM interrupt event is calculated. The flux values Φdq are then transformed into the inverter reference of the phase fluxes Φ A B C n e x t . The corresponding phase voltage reference is then calculated through the following equation:
U A B C r e f = f P W M · Φ A B C n e x t Φ A B C + R · I A B C
-
The phase voltage references U A B C r e f are transformed into the corresponding inverter output voltage by means of symmetrical space-vector PWM (SVPWM). It should be noted that this method directly controls the dq-components of the stator flux linkage, since the symmetrical SVPWM algorithm is insensitive to the zero-sequence component.
The excitation flux control algorithm (e.g., using an integral controller) is not considered in detail in this work. The duty cycle ratio of the injector switch VT7 (see Figure 2b) is assumed to be constant.
So, in addition to the dependencies obtained at the basic-model stage, ROM computation requires the vector of parameters y composed of the number of turns in the stator winding and in the harmonic winding phases, as well as the duty cycle ratios of the injector switch in both operating points.
To exclude transient processes from consideration and focus on steady-state values, the ROM simulation time is set to 0.2 s. The objective function values are evaluated over the last period of the ROM calculation. The computation of one operating point requires approximately 190 s using the basic model, followed by 12 s with the ROM. Since the evaluation of F(x) requires the calculation of the HESM characteristics at the two operating points listed in Table 2, this requires two basic model runs and also results in a total number of ROM runs of 2 × 45 = 90. Therefore, the computation time for F(x) is approximately 2 × 190 + 90 × 12 = 1460 s for the proposed model.
Since the HESM performance evaluation for two operating points takes about a week (168 h, 14,515,200 s) without using the reduced-order model [17], it can be said that the proposed approach speeds up the computations by four orders of magnitude.
However, the ROM delivers correct results only if the considered motor working conditions are close to those in the basic model. Since the properties of magnetic circuits are defined mostly by the saturation level, a matching criterion is based on the comparison of the mean magnetic flux values. The values of the stator flux Φ d q R O M and Φ d q b a s e can differ significantly in the case of overmodulation. The values of the excitation flux Φ e x R O M and Φ e x b a s e can differ significantly due to an incorrect selection of the PWM duty cycle.
The measure of discrepancy between fluxes in the basic model and ROM ε is determined as follows:
ε = Φ d q R O M Φ d q b a s e Φ d q b a s e + Φ e x R O M Φ e x b a s e Φ e x b a s e
Thus, magnetic saturation causes nonlinearity in the motor properties. To improve the accuracy of the current–flux relationships in the linear approximation used by the ROM, the series expansion is applied in the vicinity of the closest sinusoidal current condition (the basic model). Saturation is determined by magnetic fluxes, while discrepancy ε is a measure of the closeness of magnetic fluxes in the basic model and the ROM.
During the modeling, any feedback loops that require controller parameter tuning are excluded. While such tuning is acceptable when simulating or developing a specific machine, it becomes impractical when optimizing, and plenty of machines must be modeled. The cost of such simplification is that vectors x and y are not independent: ROM provides a correct result only if saturation levels in the basic model and ROM are close, and ε is small. The optimization procedure to obtain the correct x, y pair is described in the next section.
Although the voltage drop across the controlled switches and diodes is not taken into account in this study for the sake of model simplicity, this is not a fundamental limitation of the proposed approach, and the drop across the switches and diodes can be taken into account if necessary.

3.2. Optimization Routine

The optimization objectives are set as follows:
-
Efficiency maximization through the minimization of the sum of squared efficiency residuals from unity, where Eff1 and Eff2 are the efficiency values at the operating points of the duty cycle (see Table 2):
F e f f = ( 1 E f f 1 ) 2 + ( 1 E f f 2 ) 2
Stator current minimization for both operating points: FI = I12 + I22;
Torque ripple minimization for both operating points: FTR = TR12 + TR22.
The use of squared terms in these criteria implies that achieving high performance at both operating points is important. If one operating point yields a poor value for a certain indicator, squaring amplifies the effect, even if the same indicator is acceptable at the other operating point. Thus, if an indicator degrades at one operating point, it must be improved at that point, while improving it at the other operating point is of limited relevance.
Also, the following penalties are included in the objective function:
In order for the simulation to be correct and for x, y to correspond to each other, ε1 and ε2 (for both operating points) must be minimized.
The mechanical power obtained from the basic model and from the ROM may differ. Therefore, the final power value becomes known only after both calculation stages are completed. The power deviation at the ROM stage was evaluated for each operating point, and if it falls below the target value of 1720 W for each operational point, a penalty is applied. This deviation is expressed as:
E r r 1,2 = 1720 P m e c h 1,2 R O M , P m e c h < 1720 W ; 1 , o t h e r w i s e ,  
where indexes “1” and “2” correspond to the first and second operating points.
Due to the high computational complexity of even the proposed two-stage approach, the computationally efficient Nelder–Mead method is used in this study to speed up the calculations. An important advantage of the Nelder–Mead method over population-based or swarm-based methods often used for electrical machine optimization, such as the genetic algorithm, particle swarm algorithm, etc. [23,24,25,26], is the significant saving of computational time, which, without the use of supercomputers, allows for increasing the complexity of the mathematical model and number of optimization parameters, applying more complex optimization criteria, and also considering more than one operating point in the optimization process, which is particularly important for optimizing electrical machines that must provide a wide CPSR [4].
In this study, based on the optimization goals described above, the minimized objective function has the following form:
F ( x , y ) = ln ( F e f f ) + 2 · ( ln F I ) + 0.5 · ln ( F T R ) + 7.5 · ( ε 1 + ε 2 + E r r 1 + E r r 2 ) ,
where the values of Feff, FI and FTR are given by Equation (3); the values of the flux linkage discrepancies between the ROM and the basic model ε1 and ε2 are given by Equation (2); the values of deviations in mechanical power based on the results of ROM calculations, compared to the basic model, Err1 and Err2 are given by Equation (4).
The first three terms in (5) correspond to the selected optimization goals: increasing efficiency, reducing the motor current drawn from the inverter, and reducing torque ripple. The natural logarithms of the Feff, FI and FTR functions are calculated so that the optimization function considers relative, rather than absolute, reductions in these quantities with different units of measurement.
The weighting factors of 1, 2, and 0.5 reflect the relative priorities assigned to each optimization goal, based on the authors’ accumulated experience in designing comparable machines. The most important objective is to minimize FI (factor 2), since reducing the consumed current allows for a reduction in the rating and cost of the inverter’s power semiconductor modules. The next most important objective is to increase efficiency (factor 1). Relatively less importance is assigned to the objective of reducing torque ripple (factor 0.5). A constant of 0.5 means that a 1% reduction in FTR is equivalent in importance to a 0.5% reduction in Feff. At the same time, a constant of 2 means that 0.5% reduction in FI is just as important as a 1% reduction in Feff.
The penalty sum (ε1 + ε2 + Err1 + Err2) can tend to zero, and the linear logarithm of such a value in this case will tend to infinity. Therefore, the logarithm for the last term in (5) is not calculated. The factor 7.5 is chosen to be large enough to ensure a gradual reduction in the deviations ε1, ε2, Err1, and Err2 to values acceptable for engineering calculations.
The function value depends on the basic model vector x and the inner optimization parameter vector y. The optimization procedure is based on the Nelder–Mead method and takes into account the fact that the computational time of the basic model and of the ROM differ by nearly a factor of ten.
Since ROM computation is computationally lean, the minimization of the objective function F x , y can be performed rather fast by adjusting only the ROM parameter vector y:
F x = min y F ( x , y ) .
This subroutine is called inner optimization. The minimum value of the objective function F x , y can be found as the minimum of F x by adjusting only vector x. This subroutine refers to outer optimization:
min x , y F x , y = min x F ( x ) .
Since the proposed optimization routine is divided into outer and inner optimization subroutines, it can be called “two-level”. Thus, the algorithm for calculating F(x) and the optimal vector of the ROM parameter yopt, which allows for achieving the minimum value of F(x,y) for given x vector, is designed as follows.
(1)
The basic model is computed at operating point 1 and linearized in its vicinity.
(2)
The basic model is computed at operating point 2 and linearized in its vicinity.
(3)
Optimization of the ROM parameters using the Nelder–Mead method. The termination criterion for the optimization is 45 function evaluations.
(4)
The minimum function value and the corresponding vector yopt of the optimized ROM parameters are returned as a result.
Thus, evaluating F x requires computing the HESM characteristics at the two operating points listed in Table 2 and, therefore, two basic model runs, which result in 2 × 45 = 90 ROM runs in total. The computation time for F(x) is approximately 2 × 190 + 90 × 12 = 1460 s.
The procedure described above is used as the objective function for the outer optimization. As a result, for each simplex vertex in the outer optimization, not only the value of F(x) is stored, but also the inner optimization parameters yopt at which min y F ( x , y ) is attained.
Let us consider the choice of the initial guess for the inner optimization parameters. During the first evaluation of F(x), the initial values for the inner optimization must ensure the absence of significant overmodulation of the stator winding voltage. In particular, the number of turns in the stator winding is deliberately chosen to be small. In subsequent evaluations of F(x), the initial inner optimization parameters should be selected as close as possible to the optimized values. Therefore, they are constructed from the optimized ROM parameter vectors y i o p t , stored for each simplex vertex x i of the outer optimization:
y i n i t = i ( F w o r s t F ( x i ) ) y i o p t i ( F w o r s t F ( x i ) ) ,
where F w o r s t is the worst function value in the simplex, with summation carried out over all vertices of the outer optimization simplex.
In this way, the better vertices (with smaller objective function values) contribute more to the formation of the initial guess.
The restriction of the inner optimization to 45 function evaluations naturally reduces its accuracy. However, the algorithm develops as follows: initially, the outer optimization relies on approximate values of the objective function F(xi) due to the limited accuracy of the inner optimization. As optimization proceeds, the initial values y i n i t become increasingly close to the optimal ones, which in turn improves the performance of the inner optimization.

3.3. Optimization Parameters

Figure 3 depicts geometrical parameters listed in Table 3, Table 4 and Table 5. Table 3 contains fixed HESM parameters such as the main dimensions and some minor parameters of the slot-tooth zone (h1, h2, α2/α1 ratio), which do not significantly affect the HESM performance. Current advance angle at the base speed (operation point 2, Table 2) and high saturation taking place at this point is equal to 90 electrical degrees, because the field weakening is not required.
Table 4 shows initial and final values of the basic model parameters obtained by outer optimization. Table 5 consists of the initial and final values of the inner optimization vector at the first call of F(x) and at the end of outer optimization with optimal outer optimization parameter vector xopt. Table 5 demonstrates that the discrepancy between the initial and final values of vector y reduces during the optimization process. Thus, the initial values vector y i n i t approaches the optimal ones, making inner optimization more accurate.

4. Optimization Results

Table 6 and Table 7 show the results of HESM optimization at the final iteration and initial guess values. Table 6 shows the results obtained using the basic model. Table 7 consists of the results obtained using ROM and inner optimization. Figure 4 and Figure 5 demonstrate a flux density plot in the cross-section, computed using the basic model before and after optimization, respectively.
In Table 6, the inverter utilization factor is calculated as the minimum mechanical power divided by the power requirement (maximum three-phase apparent power) and reflects how well the HESM design performs in terms of minimizing the inverter rated current and inverter cost. The closer the inverter utilization factor is to one, the better.
Figure 6, Figure 7, Figure 8 and Figure 9 reveal the calculated waveforms using the ROM for the optimized HESM. Figure 6 shows the waveforms of the flux linkages in the last calculation period in comparison with their reference values. Only small deviations between the results obtained using the ROM and the reference values obtained using the basic model can be noticed. The flux linkage deviations from the basic model before optimization are ε1 = 6.1% and ε2 = 8.1% for operating points 1 and 2, respectively. After optimization, these deviations are reduced to ε1 = 0.62% and ε2 = 0.63%. This confirms the growing accuracy of the inner optimization due to the improvement of the initial guess value yinit during the outer optimization. Therefore, the deviation of the flux linkages from the basic model is minimized to a sufficient degree from a practical point of view.
Figure 7 and Figure 8 show the stator phase currents and field current, in comparison with their values obtained using the basic model. Flux linkages and currents oscillate in the vicinity of their reference values because of PWM effects. PWM-related oscillations are more pronounced in the field current.
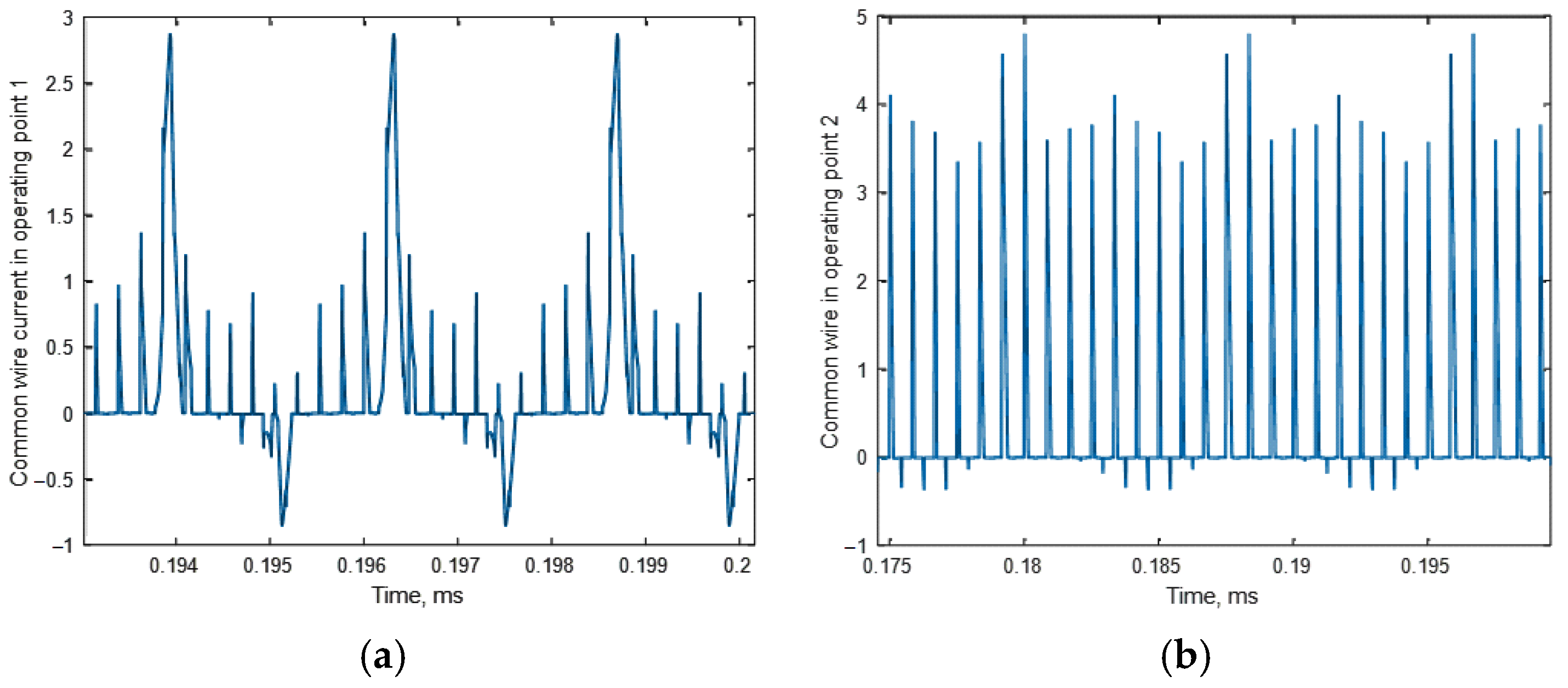
As shown in Figure 9, the neutral current is predominantly positive. This indicates that the energy transferred when the injector switch is turned on almost entirely contributes to the excitation field creation and is absorbed by the motor. The energy returned through the freewheeling diode is negligible, which was also achieved during the optimization.
In Table 7, the inverter utilization factor is calculated as the minimum mechanical power divided by the power requirement (maximum three-phase apparent power) and reflects how well the HESM design performs in terms of minimizing the inverter rated current and inverter cost. The closer the inverter utilization factor is to one, the better.
As a result of the optimization, the parameters of the harmonic winding and field winding were adjusted. The mean field current at operating point 1 decreased and at operating point 2 increased. In the optimized design, the ratio of the mean field currents at point 2 to point 1 is 1.3357.
The maximum effective voltage per turn (operating point 1), according to the basic model, was reduced by approximately half: 12.783/6.4968 = 1.97. This allowed for an increase in the number of stator turns and a reduction in current.
After optimization, the air gap increased from 0.3 mm to 0.35 mm. On the one hand, increasing the air gap leads to an increase in the field current. On the other hand, it reduces the rotor saliency, which leads to improved machine performance at operating points in the field-weakening region. A slightly larger air gap reduced the braking effect of the reluctance torque characteristic of a WRSM.
Based on the optimization results for the HESM, taking into consideration PWM effects (Table 7), the following conclusions can be formulated:
(1)
Total losses at operating point 1 are reduced by a factor of 290/172 = 1.68; total losses at operating point 2 are reduced by a factor of 213/186 = 1.14, meaning that the efficiency is increased in both operating points.
(2)
Consequently, the efficiency at operating point 1 (maximum speed) increased from 85.6% to 90.9%, while at operating point 2 (base speed) it increased from 89.1% to 90.2%.
(3)
The required inverter power decreased by a factor of 3313/2025 = 1.63, and the inverter utilization factor increased significantly from 0.52 to 0.85. This enables the use of power switches for the HESM with substantially lower ratings and cost.

5. Conclusions

This paper proposes a novel computationally efficient optimization technique for a specific design of a harmonic-excited synchronous machine (HESM) supplied from a PWM inverter in a drive application with a constant power speed range of 1:3.5.
The distinctive feature of the proposed optimization technique is that it is based on a two-stage model including the basic FEM and ROM sub-models and considers the significant difference in their computational complexity to speed up the optimization process. The proposed approach allows for reducing the HESM optimization time by approximately four orders of magnitude, compared to the calculation using only FEA alone, as proposed in previous studies. This acceleration of calculations, in particular, allows us to take into account two operating points in the optimization process, namely, not only at the base speed, but also at the maximum speed in the field-weakening region.
During optimization, the efficiency increased by 5.3 percent points (pp.) at the maximum speed and by 1.1 pp. at the base speed. At the same time, the required inverter power was reduced by a factor of 1.63; therefore, the inverter utilization factor was significantly increased from 0.52 to 0.85. This makes inverter sizing easier and leads to lower drive system cost.

Author Contributions

Conceptual approach, V.D. and V.P.; data collection and curation, E.V., V.G. and V.P.; analysis, E.V., V.D., V.G., V.K. and V.P.; writing—original draft, V.D., V.G., V.K., V.P. and E.V.; visualization, V.D., V.G. and E.V.; review and editing, V.D., V.G., V.K., V.P. and E.V. All authors have read and agreed to the published version of the manuscript.

Funding

This work was supported by the Russian Science Foundation under Grant 24-29-00753.

Institutional Review Board Statement

Not applicable.

Informed Consent Statement

Not applicable.

Data Availability Statement

The original contributions presented in the study are included in the article. Further inquiries can be directed to the corresponding author.

Acknowledgments

The authors thank the editors and reviewers for carefully reading and providing constructive comments.

Conflicts of Interest

The authors declare no conflicts of interest.

Glossary

List of Abbreviations
CPSRConstant power speed range
EMFElectromotive force
FEAFinite element analysis
FEMFinite element method
GAGenetic algorithm
HESMHarmonic-excited synchronous machine
PWMPulse-width modulation
RMSRoot mean square
ROMReduced-order model
SVPWMSpace-vector pulse-width modulation
WRSMWound rotor synchronous machine
List of Mathematical Symbols
a1, b1Rotor geometric parameters, mm
DStator core outer diameter, mm
h1, h2Stator geometric parameters, mm
Ia, Ib, IcPhase currents of the rotor rectifier, A
IA, IB, ICStator phase currents, A
fPWMPWM frequency, Hz
EffMotor efficiency
ErrMechanical power deviation between ROM and basic model
F(x,y)Two-level optimization objective function
IxField winding current, A
I0Zero-sequence current, A
PmechShaft power, W
qNumber of stator slots per pole per phase
r, r1Stator geometric parameters, mm
RStator phase resistance, Ohm
TRTorque ripple, N∙m
Ua, Ub, UcPhase voltages the rotor rectifier, V
UABCrefStator phage voltage reference
UshHarmonic winding neutral point voltage, V
UxField winding voltage, V
xBasic model parameter vector
x1, x2Rotor geometric parameters, mm
yInner optimization parameter vector
yinit, yoptInitial and optimized values of the vector of inner optimization parameters
α0, α1, α2Stator geometric parameters, mechanical degrees
α3, α4Rotor geometric parameters, mechanical degrees
εFlux deviation (discrepancy) between ROM and basic model
ΦA, ΦB, ΦCPhase flux linkages of stator winding, Wb
ΦdqStator flux linkages in the rotating coordinate system, Wb
ΦexField winding flex linkage, Wb

References

  1. Vidanalage, B.D.S.G.; Mukundan, S.; Li, W.; Kar, N.C. An overview of PM synchronous machine design solutions for enhanced traction performance. In Proceedings of the 2020 International Conference on Electrical Machines (ICEM), Gothenburg, Sweden, 23–26 August 2020; pp. 1697–1703. [Google Scholar] [CrossRef]
  2. Dianov, A. Improved field-weakening control of PM motors for home appliances excluding speed loop windup. IEEE/ASME Trans. Mechatron. 2025, in press. [Google Scholar] [CrossRef]
  3. Zhu, Z.Q.; Chu, W.Q.; Guan, Y. Quantitative comparison of electromagnetic performance of electrical machines for HEVs/EVs. CES Trans. Electr. Mach. Syst. 2017, 1, 37–47. [Google Scholar] [CrossRef]
  4. Dmitrievskii, V.; Prakht, V.; Kazakbaev, V.; Anuchin, A. Comparison of interior permanent-magnet and synchronous homopolar motors for a mining dump truck traction drive operated in a wide constant-power speed range. Mathematics 2022, 10, 1581. [Google Scholar] [CrossRef]
  5. Streeter, W.C. The French Train à Grande Vitesse: Focusing on the TGV-Atlantique; University of California Transportation Center: Berkeley, CA, USA, 1992; Available online: https://www.uctc.net/research/facultypapers_1990_start.html (accessed on 23 July 2025).
  6. Alstom. High-Speed Trains: More than 30 Years of Experience. 2013. Available online: https://www.sitkrp.org.pl/storage/media/Zarz%C4%85d%20G%C5%82%C3%B3wny/articles/239/file/646f8b1f8678c.pdf (accessed on 5 August 2025).
  7. Renault. ZOE E-Tech, 100% Electric. 2022. Available online: https://cdn.group.renault.com/ren/ie/transversal-assets/brochures/car-ebrochures/ZOE-eBrochure.pdf.asset.pdf/6cd53aed3c.pdf (accessed on 26 October 2025).
  8. Popescu, M.; Goss, J.; Staton, D.A.; Hawkins, D.; Chong, Y.C.; Boglietti, A. Electrical vehicles—Practical solutions for power traction motor systems. IEEE Trans. Ind. Appl. 2018, 54, 2751–2762. [Google Scholar] [CrossRef]
  9. Nøland, J.K.; Nuzzo, S.; Tessarolo, A.; Alves, E.F. Excitation system technologies for wound-field synchronous machines: Survey of solutions and evolving trends. IEEE Access 2019, 7, 109699–109718. [Google Scholar] [CrossRef]
  10. Grelle, T.; Schmülling, C.; Zimmerschied, P. Magnet-free HV traction drives with contactless power transmission. MTZ Worldw. 2021, 82, 28–33. [Google Scholar] [CrossRef]
  11. Maier, M.; Parspour, N. Operation of an Electrical Excited Synchronous Machine by Contactless Energy Transfer to the Rotor. IEEE Trans. Ind. Appl. 2018, 54, 3217–3225. [Google Scholar] [CrossRef]
  12. Illiano, E. Design of a Highly Efficient Brushless Current-Excited Synchronous Motor for Automotive Purposes. Ph.D. Thesis, ETH Zurich, Zurich, Switzerland, 2014. Available online: https://www.research-collection.ethz.ch/bitstream/handle/20.500.11850/155089/eth-47717-02.pdf (accessed on 21 September 2025).
  13. Di Gioia, A.; Brown, I.P.; Knippel, R.; Hagen, S.; Ludois, D.C.; Nie, Y.; Dai, J.; Alteheld, C. Design and demonstration of a wound-field synchronous machine for electric-vehicle traction with brushless capacitive field excitation. IEEE Trans. Ind. Appl. 2018, 54, 1390–1403. [Google Scholar] [CrossRef]
  14. Jawad, G.; Ali, Q.; Lipo, T.A.; Kwon, B. Novel brushless wound-rotor synchronous machine with zero-sequence third-harmonic field excitation. IEEE Trans. Magn. 2016, 52, 1–4. [Google Scholar] [CrossRef]
  15. Smetanin, V.; Denisenko, V.; Ermolenko, A.; Moiseychenkov, A. To the calculation of the magnetic conductivity coefficient of the combined multifunctional brushless activator for various ways of constructing an anchor winding of inductor axidator. In Proceedings of the 2021 XVIII International Scientific Technical Conference Alternating Current Electric Drives (ACED), Ekaterinburg, Russia, 28–30 April 2021; pp. 1–4. [Google Scholar] [CrossRef]
  16. Wang, X.; Xiong, Z.; Jiang, H.; Li, Y.; Lin, X.; Xie, W. Field-oriented control strategy for five-phase self-excited synchronous motor based on injecting high-frequency current. In Proceedings of the IECON 2023—49th Annual Conference of the IEEE Industrial Electronics Society, Singapore, 16–19 October 2023; pp. 1–6. [Google Scholar] [CrossRef]
  17. Dmitrievskii, V.; Kazakbaev, V.; Prakht, V.; Paramonov, A.; Goman, V. Performance analysis of traction synchronous machine with rotor field winding and two-phase harmonic field exciter with PWM supply. IEEE Access 2025, 13, 109087–109098. [Google Scholar] [CrossRef]
  18. An, Q.; Gao, X.; Yao, F.; Sun, L.; Lipo, T. The structure optimization of novel harmonic current-excited brushless synchronous machines based on open-winding pattern. In Proceedings of the 2014 IEEE Energy Conversion Congress and Exposition (ECCE), Pittsburgh, PA, USA, 14–18 September 2014; pp. 1754–1761. [Google Scholar] [CrossRef]
  19. Ayub, M.; Bukhari, S.S.; Jawad, G.; Arif, A.; Kwon, B.I. Utilization of reluctance torque for improvement of the starting and average torques of a brushless wound-field synchronous machine. Electr. Eng. 2021, 103, 2327–2333. [Google Scholar] [CrossRef]
  20. Hussain, A.; Atiq, S.; Kwon, B. Optimal design and experimental verification of wound-rotor synchronous machine using subharmonic excitation for brushless operation. Energies 2018, 11, 554. [Google Scholar] [CrossRef]
  21. Prakht, V.; Dmitrievskii, V.; Kazakbaev, V.; Paramonov, A. Electrical Machine. RU Patent Application 2024117933, 28 June 2024. [Google Scholar]
  22. Dmitrievskii, V.; Valeev, E.; Prakht, V. Reduced-order model of a PWM-fed harmonically excited synchronous machine. In Proceedings of the International Ural Conference on Electrical Power Engineering (UralCon 2025), Magnitogorsk, Russia, 25–28 September 2025. [Google Scholar]
  23. Cupertino, F.; Pellegrino, G.; Gerada, C. Design of synchronous reluctance machines with multiobjective optimization algorithms. IEEE Trans. Ind. Appl. 2014, 50, 3617–3627. [Google Scholar] [CrossRef]
  24. Krasopoulos, C.T.; Beniakar, M.E.; Kladas, A.G. Robust Optimization of High-Speed PM Motor Design. IEEE Trans. Magn. 2017, 53, 1–4. [Google Scholar] [CrossRef]
  25. Yu, Y.; Zhao, P.; Hao, Y.; Zeng, D.; Hu, Y.; Zhang, B.; Yang, H. Multi Objective Optimization of Permanent Magnet Synchronous Motor Based on Taguchi Method and PSO Algorithm. Energies 2023, 16, 267. [Google Scholar] [CrossRef]
  26. Ghiaskar, A.; Amiri, A.; Mirjalili, S. Polar fox optimization algorithm: A novel meta-heuristic algorithm. Neural Comput. Appl. 2024, 36, 20983–21022. [Google Scholar] [CrossRef]
Figure 1. HESM design: (a) HESM cross-section geometry sketch and stator winding layout (half of the machine is shown). The stator slots occupied by phase A conductors are shown in red, the stator slots occupied by phase B conductors are shown in dark blue, and the stator slots occupied by phase C conductors are shown in green. The rotor slots occupied by phase a conductors are shown in blue, and the rotor slots occupied by phase b conductors are shown in yellow. (b) Rotor harmonic exciter winding layout. The harmonic winding of phase a is shown in blue. The harmonic winding of phase b is shown in yellow.
Figure 1. HESM design: (a) HESM cross-section geometry sketch and stator winding layout (half of the machine is shown). The stator slots occupied by phase A conductors are shown in red, the stator slots occupied by phase B conductors are shown in dark blue, and the stator slots occupied by phase C conductors are shown in green. The rotor slots occupied by phase a conductors are shown in blue, and the rotor slots occupied by phase b conductors are shown in yellow. (b) Rotor harmonic exciter winding layout. The harmonic winding of phase a is shown in blue. The harmonic winding of phase b is shown in yellow.
Wevj 16 00599 g001
Figure 2. HESM circuitry: (a) Stator; (b) Rotor, voltage levels Ua, Ub, Uc and Ush are shown relative to the lower negative rectifier bus.
Figure 2. HESM circuitry: (a) Stator; (b) Rotor, voltage levels Ua, Ub, Uc and Ush are shown relative to the lower negative rectifier bus.
Wevj 16 00599 g002
Figure 3. HESM parameters: (a) Stator; (b) Rotor. The magnetic core area is shown in gray, the winding area is shown in yellow, and the rotor shaft area is shown in purple.
Figure 3. HESM parameters: (a) Stator; (b) Rotor. The magnetic core area is shown in gray, the winding area is shown in yellow, and the rotor shaft area is shown in purple.
Wevj 16 00599 g003
Figure 4. Flux density amplitude (T) in the cross-section before optimization: (a) Operating point 1; (b) Operating point 2.
Figure 4. Flux density amplitude (T) in the cross-section before optimization: (a) Operating point 1; (b) Operating point 2.
Wevj 16 00599 g004
Figure 5. Flux density amplitude (T) in the cross-section after optimization: (a) Operating point 1; (b) Operating point 2.
Figure 5. Flux density amplitude (T) in the cross-section after optimization: (a) Operating point 1; (b) Operating point 2.
Wevj 16 00599 g005
Figure 6. Flux linkage waveforms obtained using the ROM: (a) Operating point 1; (b) Operating point 2.
Figure 6. Flux linkage waveforms obtained using the ROM: (a) Operating point 1; (b) Operating point 2.
Wevj 16 00599 g006
Figure 7. Phase current waveforms obtained using the ROM: (a) Operating point 1; (b) Operating point 2. Purple, green, and turquoise indicate the stator phase currents in the basic model. Red, blue, and yellow indicate the stator phase currents in ROM.
Figure 7. Phase current waveforms obtained using the ROM: (a) Operating point 1; (b) Operating point 2. Purple, green, and turquoise indicate the stator phase currents in the basic model. Red, blue, and yellow indicate the stator phase currents in ROM.
Wevj 16 00599 g007
Figure 8. Field current waveforms obtained using the ROM: (a) Operating point 1; (b) Operating point 2. Red indicates the current in the basic model. Blue indicates the current in ROM.
Figure 8. Field current waveforms obtained using the ROM: (a) Operating point 1; (b) Operating point 2. Red indicates the current in the basic model. Blue indicates the current in ROM.
Wevj 16 00599 g008
Figure 9. Neutral stator current waveform obtained using the ROM: (a) Operating point 1; (b) Operating point 2.
Figure 9. Neutral stator current waveform obtained using the ROM: (a) Operating point 1; (b) Operating point 2.
Wevj 16 00599 g009
Table 1. Motor design parameters.
Table 1. Motor design parameters.
ParameterValue
Lamination length, mm125
Stator outer diameter D, mm191
Electric steel grade/thickness, mmM270-50A/0.5
DC-link voltage, V230
Rated power, kW1.72
Base speed, rpm1200
Constant speed power range (CPSR)3.5:1
Table 2. Motor operating points (duty cycle).
Table 2. Motor operating points (duty cycle).
Operating Point, iOperating Point NameSpeed, rpmOutput Mechanical Power, W
1Maximum speed42001720
2Base speed12001720
Table 3. Predefined HESM Parameters.
Table 3. Predefined HESM Parameters.
ParameterValue
Stack length, mm125
Outer stator diameter D, mm191
α0, mechanical degrees2
h1, mm0.8
h2, mm1.6
Electric steel grade/thickness, mmM270-50A/0.5 mm
Current angle at operating point 2, electrical degrees90
α2/α1 ratio1.14
Number of turns of the field winding100
Table 4. Variable Parameters of the Outer Optimization Procedure.
Table 4. Variable Parameters of the Outer Optimization Procedure.
ParameterInitial ValueOptimized Value
Stator inner diameter 2∙r, mm130131.3
Stator slot bottom diameter 2∙r1, mm154157.6
α1, mechanical degrees4.14.4
Air gap, mm0.30.35
y1, mm1518.1
y2, mm1519.5
a1, mm33.6
b1, mm32.4
α4, mechanical degrees3028.5
RMS slot current at operating point 1, A85.492.4
RMS slot current at operating point 2, A90.097.7
Field winding section current (per coil) at operating point 1, A 375.7327.1
Field winding section current (per coil) at operating point 2, A412.5437.0
Current angle at operating point 1, electrical degrees160150.17
Table 5. Variable Parameters of the Inner Optimization Procedure.
Table 5. Variable Parameters of the Inner Optimization Procedure.
ParameterInitial Value at First F(x) CallOptimized Value at First F(x) CallInitial Value at F(xopt) CallOptimized Value at F(xopt) Call
Number of turns of phase a of the harmonic winding43.777.377.50
Number of turns of phase b of the harmonic winding65.599.609.22
Number of turns of the stator winding1418.2734.8334.69
PWM duty cycle ratio at operating point 10.20.1950.03650.0374
PWM duty cycle ratio at operating point 20.250.2040.04270.0432
Table 6. HESM Performance Using the Basic Model.
Table 6. HESM Performance Using the Basic Model.
ParameterBefore OptimizationAfter Optimization
Operating point1212
Speed, rpm4200120042001200
Supply frequency, Hz1404014040
Torque, N∙m5.1613.834.0814.34
Mechanical power, W2269.81738.41795.711802.39
Stator armature RMS current per slot, A84.8583.4492.3897.67
Field current per coil, A373.32382.32327.13436.95
Stator core loss, W132.7444.0450.2035.70
Rotor core loss, W21.533.728.532.97
Armature copper loss, W70.4368.1069.4977.67
Field copper loss, W57.7360.5523.0841.19
Efficiency0.8890.9080.920.92
Armature winding EMF per turn, V12.787.446.506.31
Three-phase apparent power (without taking into account the power loss), V∙A3254.01863.51800.541848.63
Power requirement, V∙A3254.0-1848.63-
Inverter utilization factor0.53-0.97-
Table 7. HESM Performance Using ROM.
Table 7. HESM Performance Using ROM.
ParameterBefore OptimizationAfter Optimization
Operating point number1212
Speed, rpm4200120042001200
Supply frequency, Hz1404014040
Torque, N∙m3.9113.833.9113.71
Mechanical power, W1720.61737.51717.901722.90
Stator armature current RMS, A4.044.802.782.95
Stator core loss, W158.558.156.6044.77
Rotor core loss, W29.910.210.015.99
Armature copper loss, W54.176.575.9885.25
Field copper loss, W45.965.224.9641.63
Rotor phase a copper loss, W1.01.32.254.09
Rotor phase b copper loss, W0.91.72.584.53
Total loss, W290.2213.0172.38186.25
Efficiency0.8560.8910.9090.902
Phase voltage RMS, V230230230230
Three-phase apparent power (without taking into account the power loss), V∙A2785.23313.51921.42035.2
Power requirement, V∙A3313.5-2035.2-
Inverter utilization factor0.52-0.84-
Disclaimer/Publisher’s Note: The statements, opinions and data contained in all publications are solely those of the individual author(s) and contributor(s) and not of MDPI and/or the editor(s). MDPI and/or the editor(s) disclaim responsibility for any injury to people or property resulting from any ideas, methods, instructions or products referred to in the content.

Share and Cite

MDPI and ACS Style

Prakht, V.; Dmitrievskii, V.; Kazakbaev, V.; Valeev, E.; Goman, V. The Design Optimization of a Harmonic-Excited Synchronous Machine Operating in the Field-Weakening Region. World Electr. Veh. J. 2025, 16, 599. https://doi.org/10.3390/wevj16110599

AMA Style

Prakht V, Dmitrievskii V, Kazakbaev V, Valeev E, Goman V. The Design Optimization of a Harmonic-Excited Synchronous Machine Operating in the Field-Weakening Region. World Electric Vehicle Journal. 2025; 16(11):599. https://doi.org/10.3390/wevj16110599

Chicago/Turabian Style

Prakht, Vladimir, Vladimir Dmitrievskii, Vadim Kazakbaev, Eduard Valeev, and Victor Goman. 2025. "The Design Optimization of a Harmonic-Excited Synchronous Machine Operating in the Field-Weakening Region" World Electric Vehicle Journal 16, no. 11: 599. https://doi.org/10.3390/wevj16110599

APA Style

Prakht, V., Dmitrievskii, V., Kazakbaev, V., Valeev, E., & Goman, V. (2025). The Design Optimization of a Harmonic-Excited Synchronous Machine Operating in the Field-Weakening Region. World Electric Vehicle Journal, 16(11), 599. https://doi.org/10.3390/wevj16110599

Article Metrics

Back to TopTop